Introduction
Bremsstrahlung high-energy photons produced in heavy-ion reactions have attracted increasing interest because of their relevance to the nuclear equation of state (nEOS) and their short-range correlation in nuclei. In nEOS studies, particularly for nuclear matter with large neutron-to-proton asymmetry, a variety of isospin probes have been identified to constrain
Recently, the full γ energy spectrum up to 80 MeV was measured in reactions 86Kr+124Sn at 25 MeV/u with a 15-unit CsI(Tl) hodoscope mounted on a compact spectrometer for heavy-ion experiments (CSHINE) [9-13]. It has been demonstrated that the γ energy spectrum above 20 MeV is reproduced fairly well by transport model simulations that incorporate γ production from incoherent np scattering with an approximate 15% HMT ratio [14]. However, CsI(Tl) is a slow detector, and the microsecond response time of CsI(Tl) crystals makes it difficult to reconstruct the total energy from multiple firing units. Therefore, we are motivated to develop a fast and relatively cheap detector containing a sufficiently large-volume-sensitive material to detect high-energy γrays in heavy-ion reactions. The Čerenkov radiation [15] detector is a favorable option because of its fast response time in the order of tens of nanoseconds and its ability to infer the incident direction information of the initial γ-rays, the latter of which can be used to suppress the cosmic-ray muon background from random directions.
In this paper, we report the design of a Čerenkov γ calorimeter using water and lead glass as sensitive media. Based on Geant4 packages, the geometric size of the detectors was optimized. The energy resolution was obtained by tracking each Čerenkov photon before it arrived at the photomultiplier tube (PMT) for which the quantum response was modeled. The incident direction reconstruction was implemented using the Hough transform method. The remainder of this paper is organized as follows. Section 2 describes the simulations framework of the calorimeter. Section 3 presents the optimization of the detector size and the reconstruction of γ direction. Finally, Sect. 4 concludes the paper.
Simulation Setup
In this study, Geant4 (version 4.10.05)[16] packages were used for Monte Carlo simulation and optimization of the detector. “QBBC” and “G4OpticalPhysics” are applied as the physical process list to describe the electromagnetic (EM) showers of γ rays in materials, and to model the generation and transport of Čerenkov photons. For each event in the simulations, incident γ-rays hit the front of the detector. Then, Čerenkov photons are generated if fast electrons are produced by Compton scattering or e-e+ generation. Each Čerenkov photon is tracked to its termination, either to be absorbed during propagation or to reach the surface of the PMTs, where the waveform pulse of the given parameters is generated with a certain quantum efficiency. The waveforms were recorded at intervals of 2 ns for digitization. The final data corresponding to each incident γ ray are saved as a matrix of N1 × N2 dimensions, where N1 represents the number of fired PMTs and N2 represents the number of sampling points for the corresponding waveform.
Detector geometry
The detector structure and locations of the PMTs are shown in Fig. 1 for lead glass and water as sensitive materials, defined as “G4_GLASS_LEAD"(left) and “G4_WATER"(right), respectively. The water tank size was 60 cm×60 cm×120 cm, and the size of the lead glass was 30 cm×30 cm×30 cm. The PMTs were arranged in an 8×8 array with a water configuration. In the lead glass configuration, the PMTs were arranged in 4×4 arrays on the four sides of the detecting tank. The diameter of each PMT was 51 mm, and the distance between each neighboring PMT pair was 70 mm, both vertically and horizontally.
-202402/1001-8042-35-02-007/alternativeImage/1001-8042-35-02-007-F001.jpg)
Optical process
Upon invoking the Čerenkov mechanism in Geant4, the energy and number of Čerenkov photons were sampled in each G4step according to[17].
PMT Response
In the full case, photons are converted into photoelectrons with a certain quantum efficiency after hitting the PMT, and a pulse is formed after multiplication. A pulse formed by a single photon is described in [25]
-202402/1001-8042-35-02-007/alternativeImage/1001-8042-35-02-007-F002.jpg)
Result and discussion
Influence of detector size on energy resolution
We used the photoelectron peak number
-202402/1001-8042-35-02-007/alternativeImage/1001-8042-35-02-007-F003.jpg)
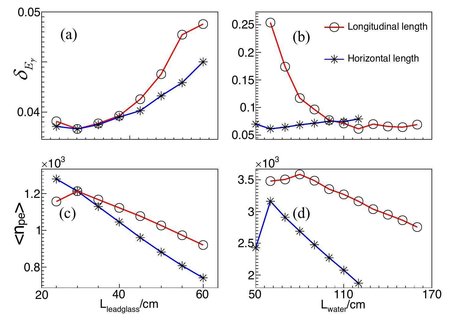
We then optimized the detector size at a given maximum γ energy of 160 MeV, which covered the range of interest for Eγ in heavy-ion reactions at Fermi energies. For each event, the distribution of photoelectron number was analyzed to obtain
-202402/1001-8042-35-02-007/alternativeImage/1001-8042-35-02-007-F004.jpg)
Given the good linear response of the water and lead glass Čerenkov calorimeter to the γ energy, as shown in Fig. 3 (b), one can reconstruct the γ energy from the signal height equivalent to the number of photoelectrons. To test this ability, we simulated the detector response for 105 γ events with an initial energy Einitial in an exponential distribution. The slope of the input exponential distribution is set to -0.05, as shown in Fig. 5 (a). The reconstructed energy (Erec) is plotted in panel (b) with the slope parameter fitted at -0.049. It is shown that the Čerenkov calorimeter of lead glass measures high-energy γ in the range from 5 MeV to 160 MeV. Figure 6 shows the resolution at various incident energies for the lead glass and water configurations. Inherent resolutions of
-202402/1001-8042-35-02-007/alternativeImage/1001-8042-35-02-007-F005.jpg)
-202402/1001-8042-35-02-007/alternativeImage/1001-8042-35-02-007-F006.jpg)
Direction reconstruction
It is well known that a definite angle exists between the Čerenkov photons and charged particles [17], which is the basis for direction reconstruction. In fact, γ shower also partially retains this feature. Figure 7 shows the angle distribution between the Čerenkov radiation direction and the initial direction of electrons (γ rays) in water (lead glass), which was obtained by the Geant4 simulation, where the energies of electrons and γ were sampled evenly from 5 to 160 MeV in the simulation. The refractive index of lead glass and water are 1.7 and 1.3, so the cosine of their Čerenkov angle are
-202402/1001-8042-35-02-007/alternativeImage/1001-8042-35-02-007-F007.jpg)
Vertex reconstruction
To reconstruct the direction of the electrons, it is usually assumed that the electrons emit Čerenkov light from a fixed point. According to the angle distribution in Fig. 7, it can be assumed that the γ rays emit Čerenkov light from a fixed point with a specific Čerenkov angle; hence, the time taken for photons to reach the PMT can be expressed as [30, 31]
-202402/1001-8042-35-02-007/alternativeImage/1001-8042-35-02-007-F008.jpg)
Hough transform
The Hough transform [32-34] has been successfully applied to identify Čerenkov rings that can map the vector space of the vertex-to-PMT direction to that of the electron incident direction. An example of this application is SuperKamiokande [35]. Similarly, we can define the vector from the vertex of the γ ray to the firing PMT and the initial direction vector of the γ ray as Vp and Vγ respectively, where θ represents the angle between the two vectors. The probability distribution of θ is indicated by the red line in Fig. 7. The vector space of the incident direction of γ-ray was divided by 100 × 100 according to (cosθ,ϕ), and the weight of each cell can be expressed as
-202402/1001-8042-35-02-007/alternativeImage/1001-8042-35-02-007-F009.jpg)
Figure 10 shows the distribution of cosΔθ, where Δθ is the angle between the reconstructed direction and the initial direction of γ-rays hitting the front of the lead glass uniformly from the target. The peak of the cosine values is close to cosΔθ=1, indicating that the detector can reconstruct the direction of the signal in the lead-glass configuration. However, the cosine distribution broadens considerably because of the rough assumption that γ rays emit Čerenkov light at a fixed point. In fact, according to the red line in Fig. 7, most γ rays would generate Čerenkov light in a path whose length is comparable to the detector size, which contributes to the bias in the direction reconstruction. The antisymmetry of the locations of the PMTs also causes bias.
-202402/1001-8042-35-02-007/alternativeImage/1001-8042-35-02-007-F010.jpg)
Discrimination between γ and cosmic ray muon
In a real beam experiment, only γ rays from the reactions on the target are of interest. Because the direction of γ rays from the reaction target is different from that of the cosmic rays, it provides a way to suppress the background. To test the ability to suppress the cosmic-ray background, we generated γ rays with energies between 5-160 MeV at the front of the detector and mixed them with uniform μ- emissions from the top of the detector. The μ- energy Eμ (in GeV) and zenith angle θμ were sampled using the Gaisser formula [36]
-202402/1001-8042-35-02-007/alternativeImage/1001-8042-35-02-007-F011.jpg)
Conclusion
In this study, we investigated the feasibility of using a Čerenkov calorimeter to detect bremsstrahlung γ rays from heavy-ion reactions at Fermi energies. A full framework was established to simulate the response and performance of the Čerenkov gamma calorimeter based on Geant4 packages, including γ-induced EM shower, Čerenkov photon generation and propagation, and the parameterization of PMT waveform. The optimal volume, linear response, and energy resolution of the detector were obtained using water and lead glass as sensitive media. The inherent energy resolutions at
Neutron and Proton Transverse Emission Ratio Measurements and the Density Dependence of the Asymmetry Term of the Nuclear Equation of State.Phys
. Rev. Lett 97, 052701 (2006). https://doi.org/10.1103/PhysRevLett.97.0527013H/3He ratio as a probe of the nuclear symmetry energy at sub-saturation densities
. Eur. Phys. J. A 51, 37 (2015). https://doi.org/10.1140/epja/i2015-15037-8Application of microscopic transport model in the study of nuclear equation of state from heavy ion collisions at intermediate energies
. Front. Phys. 15, 44302 (2020). https://doi.org/10.1007/s11467-020-0964-6Neutron–proton bremsstrahlung from intermediate energy heavy-ion reactions as a probe of the nuclear symmetry energy
. Phys. Lett. B 661, 82(2008) https://doi.org/10.1016/j.physletb.2008.02.013Energetic photons from interiiiediate energy proton- and heavy-ion-induced reactions
. Phys. Rev. C 34, 2127(1986) https://doi.org/10.1103/PhysRevC.34.2127Neutron–proton bremsstrahlung as a possible probe of high-momentum component in nucleon momentum distribution
. Phys. Lett. B 755, 486(2016) https://doi.org/10.1016/j.physletb.2016.02.044Nucleon momentum and density distributions of nuclei
. Z Physik A 297, 257(1980). https://doi.org/10.1007/BF01892806Imprints of high-momentum nucleons in nuclei on hard photons from heavy-ion collisions near the Fermi energy
. Phys. Rev. C 104, 034603(2021) https://doi.org/10.1103/PhysRevC.104.034603A compact spectrometer for heavy ion experiments in the Fermi energy regime
. Nucl. Inst. Meth. A 1011, 165592 (2021). https://doi.org/10.1016/j.nima.2021.165592Track recognition for the telescopes with silicon strip detectors
. Nucl. Inst. Meth. A 1029, 166461 (2022) https://doi.org/10.1016/j.nima.2022.166461A CsI(Tl) hodoscope on CSHINE for Bremsstrahlung γ-rays in heavy ion reactions
. Nucl. Inst. Meth. A 1053, 168330 (2022) https://doi.org/10.1016/j.nima.2023.168330An FPGA-based trigger system for CSHINE
. Nucl. Sci. Tech. 33, 162(2022) https://doi.org/10.1007/s41365-022-01149-0CSHINE for studies of HBT correlation in Heavy Ion Reactions
. Nucl. Sci. Tech. 32, 4(2021) https://doi.org/10.1007/s41365-020-00842-2Probing high-momentum component in nucleon momentum distribution by neutron-proton bremsstrahlung γ-rays in heavy ion reactions
. arXiv: 2307.10717v1 https://doi.org/10.48550/arXiv.2307.10717Influence of wall effect on detection efficiency of β-emitters in TDCR-Čerenkov method
. NUCLEAR TECHNIQUES 46, 6(2023) https://doi.org/10.11889/j.0253-3219.2023.hjs.46.060504Geant4–a simulation toolkit
. Nucl. Inst. Meth. A 506, 250(2022). https://doi.org/10.1016/S0168-9002(03)01368-8Coherent visible radiation of fast electrons passing through matter
. Compt. Rend. Acad. Sci. URSS. 14, 109(1937). https://doi.org/10.3367/UFNr.0093.196710o.0388Light tracking through ice and water—Scattering and absorption in heterogeneous media with PHOTONICS
. Nucl. Inst. Meth. A 581, 619(2007). https://doi.org/10.1016/j.nima.2007.07.143Optical properties of deep glacial ice at the South Pole
. Journal of Geophysical Research Atmospheres. 111, D13203(2006) https://doi.org/10.1029/2005JD006687Identifying key surface parameters for optical photon transport in GEANT4/GATE simulations
. Applied Radiation and Isotopes. 103, 15(2015). https://doi.org/10.1016/j.apradiso.2015.04.0173D surface topography from the specular lobe of scattered light
. Optics and Lasers in Engineering. 45, 1018(2007). https://doi.org/10.1016/j.optlaseng.2007.04.008A more physical approach to model the surface treatment of scintillation counters and its implementation into DETECT
. IEEE Nuclear Science Symposium. 2, 702(1996) https://doi.org/10.1109/NSSMIC.1996.591410Simulation of light transport in scintillators based on 3D characterization of crystal surfaces
. Physics in medicine and biology. 58, 2185(2013). https://doi.org/10.1088/0031-9155/58/7/2185GEANT4 simulation of plastic scintillator strips with embedded optical fibers for a prototype of tomographic system
. Nucl. Inst. Meth. A 624, 583(2010). https://doi.org/10.1016/j.nima.2010.10.012Prototype studies on the forward MWDC tracking array of the external target experiment at HIRFL-CSR
. Chinese Physics C 38, 126002(2014). https://doi.org/10.1088/1674-1137/38/12/126002The Sudbury Neutrino Observatory
. Nuclear Physics B 908, 30(2016) https://doi.org/10.1016/j.nuclphysb.2016.04.035Determination of the νe and total 8B solar neutrino fluxes using the Sudbury Neutrino Observatory Phase I data set
. Phys. Rev. C 75, 045505(2007). https://doi.org/10.1103/PhysRevC.75.045502The Super-Kamiokande detector
. Nucl. Inst. Meth. A 501, 418(2003). https://doi.org/10.1016/S0168-9002(03)00425-XSolar neutrino measurements in Super-Kamiokande-II
. Phys. Rev. D 78, 032002 (2008). https://doi.org/10.1103/PhysRevD.78.032002Solar neutrino results in Super-Kamiokande-III
. Phys. Rev. D 83, 052010(2011). https://doi.org/10.1103/PhysRevD.83.052010Performance test of the MAIKo active target
. Nucl. Inst. Meth. A 908, 215(2018). https://doi.org/10.1016/j.nima.2018.08.042Track reconstruction in the ATLAS detector using elastic arms
. Nucl. Inst. Meth. A 357, 129(1995). https://doi.org/10.1016/0168-9002(94)01544-9Machine Analysis of Bubble Chamber Pictures, Conf
. Proc. C, 590914, 554(1959)Reconstruction algorithms in the Super-Kamiokande large water Cherenkov detector
. Nucl. Inst. Meth. A 433, 240(1999). https://doi.org/10.1016/S0168-9002(99)00359-9The authors declare that they have no competing interests.

