Introduction
Uranium is a chemical element with atomic number 92 and symbol U. U is the most well-known fissile metal, and one of its isotopes (235U) is used in nuclear power fuel to generate electricity, which covers approximately 10–20% of the world’s electricity production [1-3].
Because uranium as a natural composition cannot be directly used in nuclear power reactors, it is converted into uranium oxide through a series of physical and chemical processes, as shown in Fig. 1 under the title “Nuclear Fuel Cycle” [4-7]. As shown in Fig. 1, the first step in the nuclear fuel cycle is “Mining and milling”, and the last step is “Disposal”, in which production waste is disposed of. The steps before the “Power generation” step are called “Front end”, and the steps after it are called “Back end” [6-8].
_2026_03/1001-8042-2026-03-47/alternativeImage/1001-8042-2026-03-47-F001.jpg)
As shown in Fig. 1, “uranium enrichment” is the third step in the nuclear fuel cycle. There are various methods for enriching uranium, and currently, owing to economic efficiency, the gas centrifuge method is used in the industry. In this method, natural UF6 gas is used as the feed, and the final products in this step are enriched and depleted UF6. In the fourth step of the nuclear fuel cycle, enriched UF6 is converted to uranium oxide in the form of fuel pellets.
A single gas centrifuge cannot increase the 235U concentration from its natural composition from its natural abundance of approximately 0.711% to the 3-5% needed to power a nuclear reactor [9-11]. Consequently, centrifuges are connected in series and parallel to form a cascade. The pattern of this connection is determined according to each centrifuge’s specifications and the amount and concentration of the product. In a typical enrichment plant, thousands of centrifuges are arranged in parallel cascades. There are several separation stages in each cascade, and gas centrifuges are arranged in parallel in each of these stages. Gas centrifuges generate the same characteristics of feed, product, and waste. This is because each gas centrifuge is optimized for a specific throughput. The total input flow rate determines the number of gas centrifuges in each stage [9, 10]. Thus, increasing the number of centrifuges in a stage increases the throughput. The stages of the cascade are connected in series. The number of gas centrifuges in each stage of a tapered cascade for uranium enrichment decreases as the stages move towards the product and waste [9, 10].
The ideal symmetric tapered cascade is the most efficient centrifuge arrangement, and the summation of the feed flow rates of the stage is minimal. In other words, in this type of cascade, the fewest number of centrifuges are used to achieve the desired product. An ideal tapered cascade has two significant features: (1). the separation coefficients of all stages are the same, and (2) streams entering and exiting each node have the same isotopic concentration. The first condition enables the use of the same centrifuge throughout the cascade. The second condition reduces energy consumption because flows with different concentrations do not mix, and no separation power is wasted. To achieve this goal, the cut -off stages are adjusted so that the concentration of waste and product flows at each node is the same [9, 10]. In other words, the cut-off stages are approximately 0.5 and fluctuate around this value. If one of the two conditions mentioned is not met for a cascade, it is referred to as a non-ideal cascade.
An ideal cascade does not work in practice. This is because the behavior of all centrifuges in the cascade is not exactly the same; therefore, the non-mixing rule is violated at the node points of the cascade. Theoretically, the cut-off stages during the cascade should be different so that the product and waste flows have the same concentration at the node points. In addition, the flows were not mixed at the node points. For an ideal symmetric tapered cascade, the cut of stages is approximately 0.5 and fluctuates around this value. In practice, owing to the lack of measurement of the feed and product flow rates at each stage, it is not possible to adjust the cut of the stages. As gas centrifuges are usually optimized for a specific cut and throughput, the theoretically optimal flow rate for each stage may correspond to an incorrect number of centrifuges (decimal numbers). Thus, gas centrifuges inside a cascade must work under suboptimal conditions to balance flow rates or mix streams with different isotopic concentrations (235U) at node points (i.e., there will always be separation power losses in a cascade). In practice, the values of the operating parameters of the separation cascade are selected using the theoretical results obtained from simulation and optimization. This ensures that the actual cascade performance is as close as possible to the ideal cascade performance [9-11].
In uranium enrichment facilities, tapered cascades are employed to produce enriched uranium for annual fresh fuel production in power reactors. The most important issues regarding the cascades used in these facilities are as follows: (1) In cascade design for enrichment facilities, what is the permissible range of the number of centrifuges used in an optimal tapered cascade? (2) In enrichment facilities, which cascade among fat (big) and thin (small) cascades is more suitable for use in enrichment facilities? (3) What effect will the fatness and thinness of the tapered cascade have on the annual separation power loss and total number of centrifuges required in the enrichment facility? In this study, for the first time, using two types of centrifuges with different separation powers and variable separation factors and by developing a calculation code called “STC-PSOA”, the performance of large and small optimal cascades with the aim of producing the enriched uranium required for a power reactor in the equilibrium cycle is investigated to answer the questions [1, 8, 12, 13]. The considered VVER-1000 power reactor fuel has three enrichment levels: yP1=4.10%, yP2=3.70%, and yP3=3.30% [8, 14]. In the calculation code, the PSO algorithm was used to optimize the cascades. To evaluate the performance of cascades, the number of gas centrifuges required for enrichment facilities, average separation power of each centrifuge, and loss of separation power in enrichment facilities (caused by diluting an enrichment level of 4.10% to produce a lower enrichment level product) were calculated. In addition, the effect of the gas centrifuge type on the small and large cascade performances was compared.
Tapered cascade
As mentioned, tapered cascades are used for uranium enrichment on an industrial scales. To define this cascade, three coefficients are first introduced: separation, enrichment, and depletion factors.
The amount of separation obtained in a single stage is called the stage separation factor or, briefly, separation factor (α). Corresponding to Eq. (1), for a two-component mixture, this quantity is calculated by dividing the abundance ratio of the desired component in the enriched stream (_2026_03/1001-8042-2026-03-47/alternativeImage/1001-8042-2026-03-47-M001.png)
There is also a quantity known as the separation factor of the desired component in the enriched stream (β) or the enrichment factor. Corresponding to Eq. (2), for a two-component mixture, is defined as the abundance ratio of the desired component in the enriched stream divided by the abundance ratio of the desired component in the feed stream. This can be expressed as follows:_2026_03/1001-8042-2026-03-47/alternativeImage/1001-8042-2026-03-47-M002.png)
The last quantity is the separation factor of the desired component in the depleted stream (γ), or the depletion factor. This quantity is defined as the abundance ratio of the desired component in the feed stream divided by the abundance ratio of the desired component in the depleted stream. It is expressed in Eq. (3) for a two-component mixture. The relationship between the separation, enrichment, and depletion factors is expressed by Eq. (4) [10, 13, 15, 16]:_2026_03/1001-8042-2026-03-47/alternativeImage/1001-8042-2026-03-47-M003.png)
_2026_03/1001-8042-2026-03-47/alternativeImage/1001-8042-2026-03-47-M004.png)
In Eqs. (1)-(3), the parameters zn, yn, and xn are the desired isotope concentrations (235U) in the feed, product, and waste streams, respectively. The separation factor α is always greater than or equal to one, and the higher this number, the higher the separation rate of a single centrifuge, and the number of stages required in a cascade to reach the desired richness will be reduced.
Tapered cascades can be classified into symmetric and asymmetric cascades. In a symmetric cascade, product and waste flows from stage n enter stages n+1 and n-1, respectively. However, in asymmetric cascades, these flows enter stages lower than n-1 or higher than n+1. Asymmetric cascades are rarely used in gas centrifuge enrichment facilities and are mostly used to separate aerodynamic nozzle processes [10, 11, 13, 15, 16].
Figure 2 shows a schematic of a symmetric tapered cascade, which is the simplest form of a reverse-flow cascade. The length of the cascade or the number of stages is denoted by N. In other words, the stages in this cascade are numbered 1 to N. This cascade involves the product flow entering the next stage and waste flow returning to the previous stage. This cascade is also known as 1-up and 1-down, where a final product and waste are produced. In this cascade F, the input feed rate to the cascade is zF, and the product and waste flow rates are represented by the symbols P and W, with concentrations of yp and xw, respectively. In each stage, Zn, Mn, and Nn correspond to feed, product, and waste flow rates, respectively, with concentrations of zn, yn, and xn [10, 11, 13, 15, 16].
_2026_03/1001-8042-2026-03-47/alternativeImage/1001-8042-2026-03-47-F002.jpg)
As mentioned, gas centrifuges are connected in parallel in each stage, and the stages are connected in series to form a cascade. To better vissalize the connection between the gas centrifuges and stages in the cascade, Fig. 2 has been expanded in line with to Fig. 3.
_2026_03/1001-8042-2026-03-47/alternativeImage/1001-8042-2026-03-47-F003.jpg)
As shown in Fig. 3, stage n consists of four connected gas centrifuges, labeled GC1, GC2, GC3, and GC4. The product and waste flow rates from these centrifuges were combined and serve as the feed rates for the next and previous stages, respectively. Additionally, the feed for this stage is a mixture of the product from the previous stage and waste from the next stage.
For modeling and simulation, the unknowns related to the flows in a symmetric tapered cascade include the feed, product, and waste flow rates of the stages. In addition, the cut of the stages and cascade cut, and the flow rate of the cascade product and waste were considered. The total number of unknowns is 4N+3. Furthermore, the feed concentration, product concentration, and waste flow rate at stage 6N are unknown. Table 1 lists the equations and unknowns of the symmetrical tapered cascade. The number of equations, N, is less than the number of unknowns. To solve the equations and obtain the unknown values, the cut value of N stages was estimated for each N equation. These values were modified using numerical methods in an iteration loop to obtain the desired solution. This is achieved by establishing convergence conditions for a predetermined error epsilon. Nonlinear equations, like linear equations, are solved using numerical methods of iteration and convergence [10, 11, 13, 15, 16].
| Respect to the Concentration | Item | Equations | Number | Unknowns | Number |
| 1 | |
2N | zn | 2N | |
| 2 | |
N | |||
| 3 | |
N | yn | 2N | |
| 4 | |
2N | xn | 2N | |
| 5 | |
||||
| 6 | |
||||
| Respect to the flow | Total | 6N | Total | 6N | |
| Item | Equations | Number | Unknowns | Number | |
| 1 | |
N | Zn | N | |
| 2 | |
N | Mn | N | |
| 3 | |
1 | Nn | N | |
| 4 | |
1 | |
N | |
| 5 | |
1 | |
1 | |
| 6 | |
N | P | 1 | |
| 7 | |
W | 1 | ||
| 8 | |
||||
| Total | 3N+3 | Total | 4N+3 | ||
| Kronecker’s function: |
|||||
Optimization method and objective function
Optimization method
Optimizing a system means minimizing or maximizing the function. This is a standard function of the system performance, which ultimately leads to an improvement in the system efficiency. In general, three significant steps can be mentioned to optimize a system [17]. (1) The first step is to understand the system and the variables that affect it. (2) The second step is to select a function as the system performance criterion. This criterion depends on the system variables and significantly affects the system efficiency. (3) The third step is to choose the optimal value for the system variables. This was obtained by simulating the system and connecting it to a suitable optimization algorithm. Optimization algorithms use random methods to determine the best solution. Optimization algorithms usually have two limited states for generating a new position of particles (response): (1) the ability to create a “new” response (exploration) and (2) the ability to grow current responses and generate new responses. In the optimization scenario, if an algorithm is fully explored, it is essentially the same random search, where the algorithm is not bound by previous answers to produce a new answer. In another scenario, related to “full exploitation,” the algorithm may be trapped in points. Therefore, an intermediate state is considered in most algorithms. However, in an optimal state, it is better to obtain answers randomly and gradually, leading to new solutions.
Different types of optimization algorithms include particle swarm optimization (PSO), simulated heating and cooling (SA), harmony search (HS), genetics (GA), ant colony (ACO), firefly (FA), direct search (DS), grasshopper optimization algorithm (GOA), whale (WOA), gray wolf (GWOA), sine and cosine (SCOA), anteater optimization (ALOA), salpa swarm (SSA), binary search (BSA), and colony artificial bee (ABC). The PSO algorithm is a stochastic population-based approach that was introduced by Kennedy and Eberhart in 1995. This algorithm is based on sampling and simulating the group flight behavior of birds and fish. The most significant aspect of this algorithm is that it uses social intelligence to find the best solutions. The PSO algorithm uses acceleration coefficients C1 and C2 and the inertia weight W, all of which are influenced by the two modes mentioned above. When the inertia weight W changes during the execution of the algorithm, the effectiveness of coefficients C1 and C2 decreases. Conversely, if the coefficients are set too high, it can lead to erratic and random behavior in the algorithm. However, if these coefficients are too low, the algorithm may rely too heavily on previous responses, which can hinder its exploration capabilities.
PSO has several advantages that can be used to solve nonlinear, non-differentiable, and multi-peak optimization problems. This algorithm has been successfully applied to a wide range of optimization problems, such as automotive engineering, nuclear fuel management, electric power systems, economic power dispatch, step-by-step optimization for humanoid robots, and tapered, square, and squared-off cascades in multi-component systems [13, 18-32]. In addition, according to the comparisons made between the optimization algorithms of centrifuge cascades, one of the most suitable algorithms is the PSO algorithm [13, 16, 29, 33]. Owing to the advantages and capabilities of the PSO optimization algorithm, it has been used for the optimization of tapered cascades [16, 33].
Objective function
In optimization processes, choosing a function as a performance criterion is critical. This function measures the performance of the input variables and causes the optimization algorithm to choose the most appropriate values for the parameters [13, 16, 27, 33-38]. In a centrifuge cascade, different results are obtained by changing the input parameters. This is essential for comparing and determining the optimal solution and choosing an objective function depending on the nature of the problem [13, 16, 27, 33-38]. For example, Safdari et al. developed a code called RCPSO based on the PSO optimization algorithm. They applied it to design a tapered cascade with the objective function of the maximum separation work unit versus the number of centrifuges [27]. Additionally, Mirmohammadi et al. optimized the parameters of a squared-off cascade for the separation of xenon isotopes using a PSO algorithm. This was done maximize the recovery coefficient, D function, and product capacity [33]. In addition, Mirmohammadi et al. optimized the parameters of tapered, square, and squared-off cascades for the production of uranium required by two typical power reactors based on the PSO optimization algorithm [16]. Also, they used PSO and GOA optimization algorithms to optimize the square cascade parameters. This was done to produce the enriched uranium required for a typical power reactor. They compared the optimization method with the SCA, ALOA, DA, SSA, HSA, GA, WOA, and GWOA algorithms [13]. The objective function of their study was to maximize the production and separation capacities by using a single gas centrifuge in the cascade for optimal feed consumption. In that study, it was found that the PSO and GOA algorithms optimized better than the other algorithms studied [13, 16]. Mansourzade et al. developed an efficient code based on the TLBO improvement algorithm to optimize a cascade for the separation of xenon isotopes. In this code, the objective function is to maximize the D function and minimize the number of centrifuges and the sum of interstage flows [39]. In 2019, Mansourzade et al. used a harmony search algorithm to minimize the interstage flow in an R cascade [40]. Azizov et al. developed an optimization technique based on a meta-heuristic algorithm, the “ABC” algorithm, for optimizing the square cascade parameters according to the criterion of the minimum total flow normalized to the sum of the enriched flows for the separation of intermediate isotopes in multicomponent mixtures [36, 37]. Ezazi et al. used ABC and PSO algorithms to design adaptive matched X cascades, and they chose the maximization of the product concentration, the minimization of the waste concentration of the target component, and the total interstage flow of the cascade as the main items of the objective function [41]. In addition, Ezazi et al. chose the ant colony optimization code (ACORNET) to optimize NET cascades [41]. The objective function of their study was to minimize the waste concentration, maximize the product concentration, and maximize the separation power of the centrifuge in the cascade [41]. In addition, Ezazi et al. optimized the square and squared-off cascade parameters for 125Te isotope separation based on PSO and SCA algorithms with the objective functions of minimizing the number of stages, maximizing the recovery factor, and increasing the concentration and capacity of the product. They also compared the results with optimization results based on the SCA, ALO, DA, SSA, and HS algorithms [42, 43].
The objective function used in this study is as follows:_2026_03/1001-8042-2026-03-47/alternativeImage/1001-8042-2026-03-47-M005.png)
In summary, the process can be better understood through the following key points.
Inspiration It is based on the social behavior of birds and fish, where individuals adjust their positions based on their own experiences and those of their neighbors.
Initialization The process begins with a set of random solutions, referred to as particles, within the search space. This search space encompasses the range of input parameters that the user, leveraging their expertise, has identified and provided as input to the optimization code.
Velocity Update Each particle adjusts its velocity based on its best-known position and the best-known positions of its neighbors.
Position Update Particles traverse the search space by updating their positions based on their velocities.
Fitness or Objective Function Evaluation Each particle’s position is assessed using a fitness or objective function to gauge the quality of the solution. This evaluation focuses on minimizing the fitness function, maximizing the objective function, and meeting the specified constraints. Iteration: The process of updating velocity and position is repeated for a predetermined number of iterations or until a stopping criterion is satisfied.
Convergence Gradually, the particles are drawn closer to the best solution identified within the swarm.
In this regard, the “STC-PSOA” software code was developed to design and optimize the parameters of the symmetric tapered cascade based on the aforementioned objective function. Figure 4 shows a flowchart of the “STC-PSOA” code.
_2026_03/1001-8042-2026-03-47/alternativeImage/1001-8042-2026-03-47-F004.jpg)
Method of work
To fuel a nuclear power plant, such as VVER-1000, tapered cascades with a single configuration are usually used to produce enriched uranium at different levels. In the enrichment facilities, the basis for the design and optimization of the cascades is to reach the highest level of uranium enrichment required for the production of the considered VVER-1000 power reactor fuel (4.10%), and other required uranium with enrichment levels lower than 4.10% (3.30% and 3.70%) are obtained by diluting the 4.10% product with natural uranium. In this study, symmetric tapered cascades were selected to produce fuel for a nuclear power reactor in small and large sizes (up to 6,000 gas centrifuges per cascade). To compare their performance, the entire method of work is summarized as a flowchart in the seven steps represented in Fig. 5.
_2026_03/1001-8042-2026-03-47/alternativeImage/1001-8042-2026-03-47-F005.jpg)
Step 1. Selecting the type of gas centrifuge for designing and optimizing the tapered cascade: In this study, two types of gas centrifuges with different separation powers and variable separation factors, called GC-1 and GC-2, are used to produce uranium for the fuel of a power nuclear reactor. The separation factors for these gas centrifuges are given by Eqs. (6) and (7), respectively [44]._2026_03/1001-8042-2026-03-47/alternativeImage/1001-8042-2026-03-47-M006.png)
_2026_03/1001-8042-2026-03-47/alternativeImage/1001-8042-2026-03-47-M007.png)
The specifications of these gas centrifuges under optimal conditions are listed in Table 2 [44].
| OptimumαGC | FSingle (Opt) (mg/s) | Optimum θ | Centrifuge type | Item |
|---|---|---|---|---|
| 1.25 | 33 | 0.44 | GC-1 | 1 |
| 2.22 | 7 | 0.42 | Gc-2 | 2 |
Step 2: Determine the amount and level of uranium enrichment used for the annual fuel production of a power reactor: For the considered Fig. 6 VVER-type power reactor, the levels and amount of enriched uranium in the equilibrium cycle are listed in Table 3 [12, 13, 16].
_2026_03/1001-8042-2026-03-47/alternativeImage/1001-8042-2026-03-47-F006.jpg)
| Power reactor | ||
|---|---|---|
| Item | Enrichment level required (%) | Annual UF6 requirement (kg) |
| 1 | 4.100 | 18,110 |
| 2 | 3.700 | 10,915 |
| 3 | 3.300 | 1627 |
Step 3: Preparation of a computational code for the design and optimization of tapered cascades:In this step, a software code called “STC-PSOA” was developed for design and optimization. Input variables must be determined to design and optimize uranium cascades for different enrichment levels. Table 4 shows the values of these variables.
| Item | Parameters | Sign | Value |
|---|---|---|---|
| 1 | Feed concentration (%) | |
0.711 |
| 2 | Molecular weight (g mol-1) | |
349 |
| 3 | Product concentration (%) | yP | 4.10 |
| 4 | Waste concentration (%) | xW | <0.30 |
| 5 | Centrifuge machine number | n | 1< n ≤ 6000 |
Step 4: As mentioned in the optimization section, the PSO algorithm is one of the most suitable algorithms for centrifuge cascade optimization. To prove this claim, the value of the fitness function of this algorithm was compared with other algorithms [45-54]. The results show that the PSO algorithm has the lowest fitness function and converges faster than the other algorithms. Noted that the lowest value of the fitness function represents the highest value of the objective function.
Step 5: Design and optimization of tapered cascades: In this step, after designing all the cascades to enrich uranium with a 4.10% enrichment level using a set of gas centrifuges in the range of 1<n<6,000 and determining the total number of usable cascades in small and large sizes, the cascades will be optimized. The PSO algorithm was used for optimization. It should be noted that in the calculations, the input feed rate to a gas centrifuge in each cascade was considered in the range of 0.2FSingle (Opt) ≤FSingle ≤1.3FSingle (Opt).
Step 6: Determining the total number of cascades required in the enrichment facility: In this step, to produce the enriched uranium needed for the annual fuel of a power reactor, the total number of cascades required with small or large sizes and the total number of gas centrifuges are calculated. Achieving lower enrichment-level uranium products using a single infrastructure is challenging because of the limitations in changing the feed stages and ensuring optimal depleted uranium concentration. Additionally, modifications to the fixed infrastructure should ideally keep the cascade separation power deviations within 2-3%, which is not always feasible. The inflexibility of tapered cascades necessitates varied arrangements for different enrichment levels, rendering a single infrastructure insufficient. Therefore, to obtain uranium products at various concentrations from one infrastructure, it is recommended to first produce the highest enrichment level product and then dilute it to achieve lower enrichment levels. Therefore, uranium with enrichment levels of 3.70% and 3.30% was obtained from the dilution operation of a 4.10% product with natural uranium. The annual separation power losses of enrichment facilities are obtained from the dilution of the product with natural uranium. In this study, the maximum surplus amount of enriched uranium in a power plant was considered to be 200 kg. It is important to mention that the annual separation power losses are calculated using Eq. (8):_2026_03/1001-8042-2026-03-47/alternativeImage/1001-8042-2026-03-47-M008.png)
In this equation, the variables are defined as follows.
PReq represents the required product for the fuel of a nuclear power plant with an enrichment level of yTarget.
PProd denotes the product produced by the cascade with an enrichment level of yP.
FNU represents the amount of natural or depleted uranium for dilution with a concentration of zNU.
This equation allows for the calculation of annual separation power losses based on these variables and their respective values.
Step 7. Comparison of the performance of small and large tapered cascades that can be used in uranium enrichment facilities:In this step, the parameters “average separation power per centrifuge in the cascade”, “annual separation power losses”, “number of gas centrifuges needed to produce power reactor fuel”, and ”total amount of natural uranium used for dilution” are calculated to compare the performance of cascades.
Step 8. Validation of the STC-PSOA calculation code: To validate the calculation code developed under the title STC-PSOA, the specifications of three types of gas centrifuges and three types of cascades proposed by Bresevich et al. were used. Table 5 lists the specifications of the gas centrifuges, and Table 6 lists the specifications of the optimized cascades. A comparison of the characteristics of each Bresevich cascade with the cascade designed using the STC-PSOA code indicates that the developed calculation code has reasonable validity.
| Item | GC type | Separation factor | FSingle (Opt). (mg/s) | SWUopt (kg U/y) | SWUopt (kg UF6/y) |
|---|---|---|---|---|---|
| 1 | GC-1 | |
33.0 | 4.5 | 6.75 |
| 2 | GC-2 | |
7.0 | 11.6 | 17.40 |
| 3 | GC-3 | |
31.0 | 30.0 | 45.00 |
| Item | GC type | N | xW (%) | yP (%) | Optimum separation capacity (g UF6 SWU/s) | Total flow (g/s) |
|---|---|---|---|---|---|---|
| Result of Borisevich et al | ||||||
| 1 | GC-1 | 19 | 0.323 | 2.944 | 3.1762 | 512.44 |
| 2 | GC-2 | 5 | 0.323 | 3.380 | 3.9421 | 50.32 |
| 3 | GC-3 | 11 | 0.323 | 3.373 | 3.9275 | 201.29 |
| Result of STC-PSOA Code | ||||||
| 1 | GC-1 | 19 | 0.322 | 3.035 | 3.2734 | 508.89 |
| 2 | GC-2 | 5 | 0.320 | 3.434 | 4.0144 | 50.67 |
| 3 | GC-3 | 11 | 0.324 | 3.362 | 3.9274 | 201.91 |
Results and discussion
In the design of tapered-type cascades, the type of gas centrifuge (separation factor) and product enrichment level are the two main parameters that determining the number of stages in the cascade. Furthermore, because the number of gas centrifuges in a cascade depends on the input cascade feed rate (or generation product), many cascades with small and large sizes can generate products with a richness of approximately 4.10% by choosing the appropriate gas centrifuge feed rate within the allowed limits. In tapered cascades, it is not possible to directly produce products with 3.70% and 3.30% by changing the feed stage and operating conditions; therefore, optimal tapered cascades specific to 4.10% products are also used to produce 3.70% and 3.30% products. As a result, these two products were obtained by diluting the 4.10% product with natural uranium.
This section presents the number and characteristics of the proposed cascades for power reactor fuel production. Because two types of gas centrifuges were used, each set of results is presented separately.
Performance investigation of small and large cascades with GC-1 for use in enrichment facilities
Comparison of GC-1 average separation power in cascade
Because the optimum feed rate of a single GC-1 is equal to 33 mg/s, in the range of 1 < n≤ 6000 and PExcess≤200 kg, the number of 41 small and large tapered cascades based on the numbering in Table 7 can be used in enrichment facilities to produce enriched uranium for the annual fuel of a power reactor (the numbering of the cascades starts from the smallest cascade and ends with the largest cascade). There will be 91 gas centrifuges in the smallest cascade and 4897 in the largest cascade (see Table A-1 for details).
| Cascade number | F (mg/s) | Number of GC in one cascade | Enrichment level of cascade product (%) | SWU/GC (kg UF6/y) | Annual natural UF6 requirement (Kg) | Annual production by one cascade (kg UF6/y) | Total number of cascade requirement | Total number of GCs | Excess product (kg UF6/y) | Total SWU loss (kg UF6/y) | Total required SWU (kg UF6/y) |
|---|---|---|---|---|---|---|---|---|---|---|---|
| 1 | 30.0 | 91 | 4.303 | 6.60 | 3313.3 | 100.0 | 274 | 24,934 | 63.7 | 3151.0 | 164,564.40 |
| 2 | 35.0 | 105 | 4.282 | 6.64 | 3150.0 | 117.1 | 235 | 24,675 | 12.1 | 2985.8 | 163,842.00 |
| 3 | 40.0 | 119 | 4.243 | 6.65 | 2849.3 | 134.9 | 207 | 24,633 | 114.7 | 2683.4 | 163,809.45 |
| 4 | 45.0 | 132 | 4.190 | 6.67 | 2423.2 | 153.2 | 185 | 24,420 | 120.1 | 2259.3 | 162,881.40 |
| 5 | 50.0 | 148 | 4.215 | 6.66 | 2627.3 | 169.6 | 166 | 24,568 | 137.2 | 2461.9 | 163,622.88 |
| 6 | 55.0 | 163 | 4.211 | 6.65 | 2592.6 | 186.9 | 151 | 24,613 | 159.3 | 2427.3 | 163,676.45 |
| 7 | 60.0 | 176 | 4.184 | 6.68 | 2375.1 | 204.8 | 139 | 24,464 | 187.1 | 2211.7 | 163,419.52 |
| 8 | 65.0 | 191 | 4.201 | 6.69 | 2604.2 | 220.4 | 128 | 24,448 | 164.7 | 2438.9 | 163,557.12 |
| 9 | 70.0 | 207 | 4.221 | 6.67 | 2578.9 | 237.8 | 118 | 24,426 | 2.8 | 2505.8 | 162,921.42 |
| 10 | 75.0 | 220 | 4.163 | 6.67 | 2192.8 | 257.4 | 111 | 24,420 | 117.2 | 2032.0 | 162,881.40 |
| 11 | 80.0 | 236 | 4.189 | 6.66 | 2412.6 | 273.2 | 104 | 24,544 | 168.7 | 2248.8 | 163,463.04 |
| 12 | 90.0 | 267 | 4.210 | 6.66 | 2582.8 | 306.2 | 92 | 24,564 | 96.9 | 2417.6 | 163,596.24 |
| 13 | 100.0 | 296 | 4.192 | 6.65 | 2435.7 | 341.5 | 83 | 24,568 | 128.0 | 2271.7 | 163,377.20 |
| 14 | 105.0 | 310 | 4.209 | 6.68 | 2579.3 | 356.8 | 79 | 24,490 | 116.7 | 2414.1 | 163,593.20 |
| 15 | 110.0 | 327 | 4.257 | 6.68 | 2959.3 | 370.1 | 75 | 24,525 | 67.5 | 2793.8 | 163,827.00 |
| 16 | 115.0 | 342 | 4.250 | 6.68 | 2900.0 | 387.7 | 72 | 24,624 | 163.9 | 2734.2 | 164,488.32 |
| 17 | 120.0 | 355 | 4.224 | 6.68 | 2692.0 | 406.7 | 69 | 24,495 | 100.5 | 2526.3 | 163,626.60 |
| 18 | 140.0 | 414 | 4.221 | 6.68 | 2672.7 | 474.7 | 59 | 24,426 | 27.8 | 2507.1 | 163,165.68 |
| 19 | 180.0 | 530 | 4.199 | 6.68 | 2469.8 | 613.4 | 46 | 24,380 | 34.8 | 2305.5 | 162,858.40 |
| 20 | 185.0 | 545 | 4.194 | 6.68 | 2456.2 | 630.8 | 45 | 24,525 | 191.7 | 2292.0 | 163,827.00 |
| 21 | 225.0 | 663 | 4.192 | 6.67 | 2437.0 | 767.7 | 37 | 24,531 | 190.4 | 2272.9 | 163,621.77 |
| 22 | 230.0 | 678 | 4.196 | 6.68 | 2469.1 | 784.1 | 36 | 24,408 | 44.5 | 2305.5 | 163,045.44 |
| 23 | 260.0 | 766 | 4.201 | 6.68 | 2507.2 | 885.3 | 32 | 24,512 | 183.9 | 2342.6 | 163,740.16 |
| 24 | 285.0 | 842 | 4.206 | 6.67 | 2552.5 | 969.7 | 29 | 24,418 | 21.2 | 2387.5 | 162,868.06 |
| 25 | 320.0 | 944 | 4.203 | 6.68 | 2525.4 | 1089.3 | 26 | 24,544 | 194.9 | 2360.6 | 163,953.92 |
| 26 | 345.0 | 1020 | 4.207 | 6.67 | 2562.9 | 1173.7 | 24 | 24,480 | 78.5 | 2397.8 | 163,281.60 |
| 27 | 360.0 | 1064 | 4.207 | 6.67 | 2558.5 | 1224.7 | 23 | 24,472 | 75.5 | 2393.5 | 163,228.24 |
| 28 | 395.0 | 1167 | 4.213 | 6.68 | 2606.3 | 1341.8 | 21 | 24,507 | 132.0 | 2441.0 | 163,706.76 |
| 29 | 415.0 | 1225 | 4.209 | 6.68 | 2574.5 | 1410.8 | 20 | 24,500 | 138.6 | 2409.4 | 163,660.00 |
| 30 | 460.0 | 1357 | 4.202 | 6.68 | 2521.9 | 1566.0 | 18 | 24,426 | 58.5 | 2357.1 | 163,165.68 |
| 31 | 690.0 | 2036 | 4.204 | 6.68 | 2534.3 | 2348.3 | 12 | 24,432 | 62.2 | 2369.4 | 163,205.76 |
| 32 | 755.0 | 2229 | 4.207 | 6.68 | 2556.8 | 2568.1 | 11 | 24,519 | 154.1 | 2391.8 | 163,786.92 |
| 33 | 830.0 | 2449 | 4.206 | 6.68 | 2547.4 | 2823.7 | 10 | 24,490 | 132.0 | 2382.4 | 163,593.20 |
| 34 | 920.0 | 2714 | 4.202 | 6.68 | 2520.7 | 3132.2 | 9 | 24,426 | 58.5 | 2356.0 | 163,165.68 |
| 35 | 1035.0 | 3056 | 4.207 | 6.68 | 2558.8 | 3520.4 | 8 | 24,448 | 70.1 | 2393.7 | 163,312.64 |
| 36 | 1040.0 | 3067 | 4.201 | 6.68 | 2512.1 | 3541.4 | 8 | 24,536 | 191.3 | 2347.4 | 163,900.48 |
| 37 | 1185.0 | 3497 | 4.202 | 6.68 | 2520.4 | 4034.8 | 7 | 24,479 | 111.7 | 2355.6 | 163,519.72 |
| 38 | 1380.0 | 4072 | 4.204 | 6.68 | 2538.9 | 4696.0 | 6 | 24,432 | 62.9 | 2374.0 | 163,205.76 |
| 39 | 1385.0 | 4086 | 4.204 | 6.68 | 2535.5 | 4713.3 | 6 | 24,516 | 163.3 | 2370.7 | 163,766.88 |
| 40 | 1655.0 | 4883 | 4.202 | 6.68 | 2515.2 | 5635.7 | 5 | 24,415 | 41.6 | 2350.5 | 163,092.20 |
| 41 | 1660.0 | 4897 | 4.201 | 6.68 | 2510.7 | 5653.3 | 5 | 24,485 | 125.1 | 2346.0 | 163,559.80 |
As shown in Fig. 7, as the cascade size increases (i.e., the number of centrifuges in each cascade increases), the average separation power of a gas centrifuge increases in small cascades and remains constant in large cascades. The average separation power for all small and large cascades was almost constant and equal to 6.68 kg SWU UF6/y. The average separation power in large cascades remains constant because of the insignificant difference between the feed rate of gas centrifuges and their optimal value.
_2026_03/1001-8042-2026-03-47/alternativeImage/1001-8042-2026-03-47-F007.jpg)
Comparison of required SWU, SWU losses, and the total number of GC-1
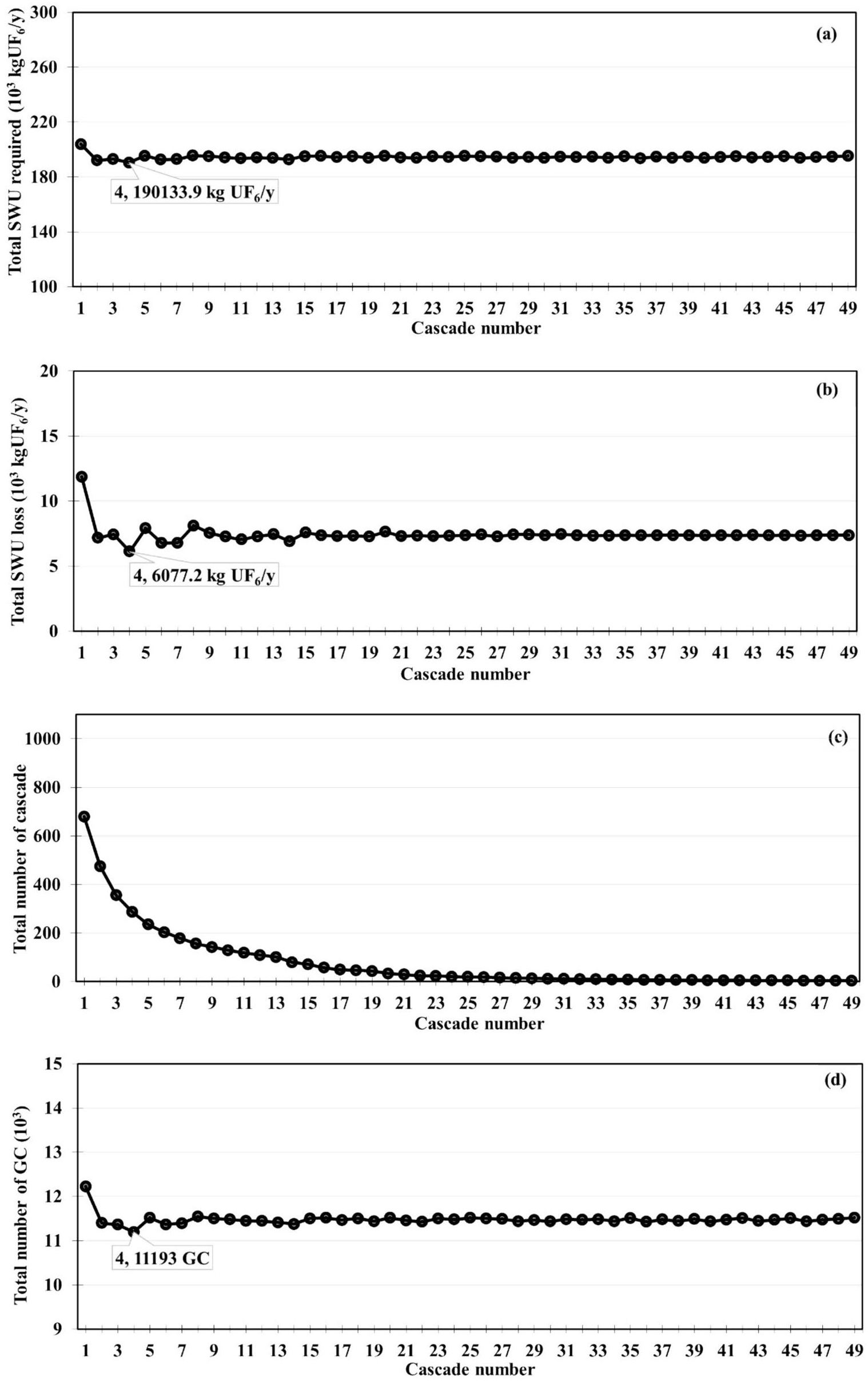
Based on Table 7, only 41 symmetrical tapered cascades with small and large sizes can produce uranium-enriched power reactor fuel. In enrichment facilities, numerical parameters such as the ”total number of cascades and gas centrifuges”, ”annual SWU required of total cascades”, and ”annual SWU losses” are used to compare their performance. Table 7 lists the values of these parameters for each cascade, and their plots are shown in Fig. 8.
_2026_03/1001-8042-2026-03-47/alternativeImage/1001-8042-2026-03-47-F008.jpg)
A comparison of the results presented in Fig. 8(a), 8(b), 8(c), and 8(d) shows: (1) the permissible range of the number of GC-1 in a cascade for enrichment facilities to produce power reactor fuel in the balance cycle is 91 ≤n≤4897. In other words, the largest usable cascade had 4897 GC-1 and the smallest had 91 GC-1. (2) Only the small cascade 19 with 530 GC-1 performs better than the other cascades. This is because the required SWU and total number of GC-1 are the lowest, and it also has a SWU loss comparable to the lowest. For the mentioned cascade, the values of the required SWU, annual SWU loss, total number of GC-1, and number of cascades were 162858.4 kg SWU UF6/y, 305.5 kg SWU UF6/y, 24380 GC-1, and 46 cascades, respectively. (3) In the range of 91≤n≤600, the cascade behavior is variable. In this range, the largest difference in the total number of GC-1 required compared to the most appropriate cascade for enrichment facilities was approximately 2.30%. (4) In the range of 600<n≤4897, the changes in the behavior of the cascades are very small and almost constant. In this range, the largest difference in the total number of GC-1 compared to the most appropriate cascade was approximately 0.64%. This means that the use of each large cascade for enrichment does not make much difference. (5) The SWU losses in enrichment facilities range between 1.25% and 1.91% of the total required SWU (equivalent to 3151.0–2032.0 kg SWU UF6/y). The SWU losses were due to the dilution of the 4.10% product with natural uranium to produce two products with 3.30% and 3.70% enrichment [55].
As mentioned, the numbering of the 41 cascades in Table 7 is defined solely from the smallest to the largest for ease of discussion regarding the selected cascades.
Characteristics of the selected cascade for use in uranium enrichment facilities using GC-1
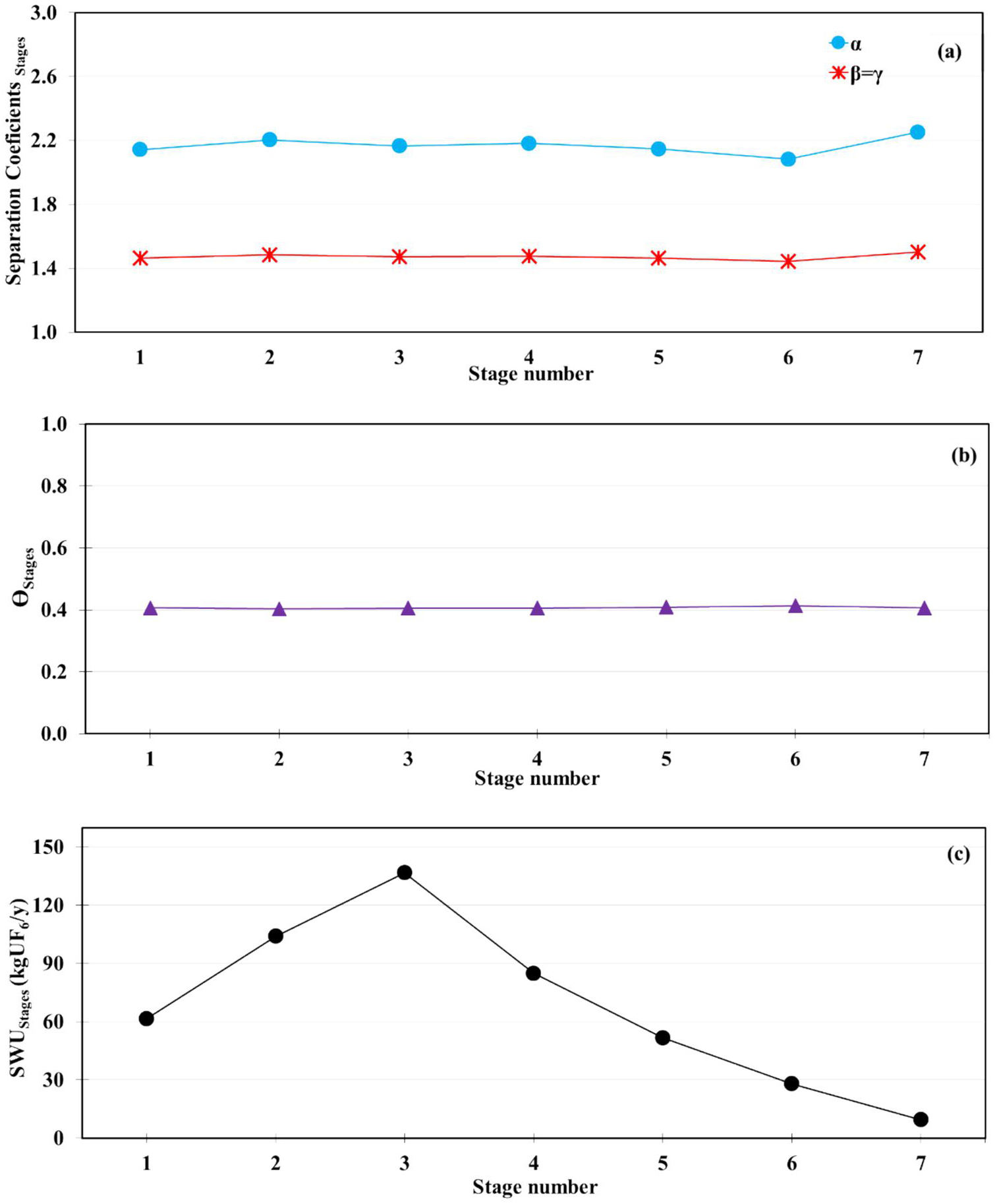
Based on the 41 symmetric tapered cascades proposed with small and large sizes, tapered cascade number 19 with 530 GC-1 in 23 stages exhibited better performance than the other cascades. If an enrichment facility uses this cascade to produce enriched uranium for the annual fuel of power plant, it requires 46 cascades, including 24380 GC-1. The other characteristics of this cascade, such as the arrangement of gas centrifuges, cut of stages, separation, enrichment, depletion factor, flow rates of the stages, and 235U concentrations, are shown in Figs. 9–11.
_2026_03/1001-8042-2026-03-47/alternativeImage/1001-8042-2026-03-47-F009.jpg)
_2026_03/1001-8042-2026-03-47/alternativeImage/1001-8042-2026-03-47-F010.jpg)
_2026_03/1001-8042-2026-03-47/alternativeImage/1001-8042-2026-03-47-F011.jpg)
As shown in Fig. 10(a), the β and γ values of the stages of this chain are almost equal; therefore, the behavior of this cascade is close to that of an ideal cascade. The slight difference in the values of β and γ of each stage compared to the other stage, or, in other words, being far from the ideal state, is due to the variable separation factor of GC-1. Figure 10(b) also shows the cut of the stages of this tapered cascade, which are not very different from each other and are caused by the conicity of the tapered cascade. According to Fig. 10(c), the separation work of each stage during the cascade increases before the feed stage and then decreases. This is because the separation work at each stage depends on the number of gas centrifuges at that stage. In the ideal state or close to it, the separation work of each gas centrifuge is close to the optimal state; therefore, the more gas centrifuges in a stage, the greater the separation work of that stage.
As shown in Fig. 11(a), the changes in the feed, product, and waste flow rates during the cascade up to the feed stage show an increasing trend, and from the feed stage onwards, they show a decreasing trend because the feed rate of each stage depends on the number of gas centrifuges at that stage, and the product and waste flow rates of each stage are proportional to the feed rate of that stage. As another feature of an ideal symmetrical tapered cascade, the concentration of 235U in the feed stream of each stage is close to that in the waste stream of the next stage and product stream of previous stage. Figure 11(b) indicates that this cascade performs very similarly to an ideal cascade.
Performance investigation of small and large cascades with GC-2 for use in enrichment facilities
Comparison of GC-2 average separation power in cascade
Because the optimum feed rate of a single GC-2 is equal to 7 mg/s, in the range of 1 < n≤ 6000 and PExcess≤200 kg, the number of 49 small and large tapered cascades based on the numbering in Table 8 can be used in enrichment facilities to produce fuel for a power reactor (the numbering of the cascades starts from the smallest cascade and ends with the largest cascade). There will be 18 gas centrifuges in the smallest cascade and 3839 in the largest cascade (see Table A-2 for details).
| Cascade number | F (mg/s) | Number of GC in one cascade | Enrichment level of cascade product (%) | SWU/GC (kg UF6/y) | Annual natural UF6 requirement (kg) | Annual production by one cascade (kg UF6/y) | Total number of cascade requirement | Total number of GCs | Excess product (kg UF6/y) | Total SWU loss (kg UF6/y) | Total required SWU (kg UF6/y) |
|---|---|---|---|---|---|---|---|---|---|---|---|
| 1 | 10.0 | 18 | 5.653 | 16.68 | 10,976.3 | 29.0 | 679 | 12,222 | 3.8 | 11,866.6 | 203,862.96 |
| 2 | 15.0 | 24 | 4.875 | 16.85 | 7066.8 | 49.7 | 475 | 11,400 | 26.5 | 7166.7 | 192,090.00 |
| 3 | 20.0 | 32 | 4.917 | 16.99 | 7303.7 | 65.9 | 355 | 11,360 | 31.5 | 7435.3 | 193,006.40 |
| 4 | 25.0 | 39 | 4.709 | 16.99 | 6088.2 | 85.6 | 287 | 11,193 | 17.6 | 6077.2 | 190,169.07 |
| 5 | 30.0 | 49 | 4.993 | 16.97 | 7716.7 | 97.9 | 235 | 11,515 | 66.0 | 7908.2 | 195,409.55 |
| 6 | 35.0 | 56 | 4.815 | 16.94 | 6723.1 | 118.0 | 203 | 11,368 | 19.8 | 6780.4 | 192,573.92 |
| 7 | 40.0 | 64 | 4.816 | 16.93 | 6726.3 | 134.8 | 178 | 11,392 | 64.7 | 6784.0 | 192,866.56 |
| 8 | 45.0 | 74 | 5.027 | 16.94 | 7895.7 | 146.0 | 156 | 11,544 | 19.2 | 8115.1 | 195,555.36 |
| 9 | 50.0 | 81 | 4.933 | 16.96 | 7391.4 | 164.8 | 142 | 11,502 | 141.9 | 7535.2 | 195,073.92 |
| 10 | 55.0 | 89 | 4.891 | 16.92 | 7155.9 | 182.9 | 129 | 11,481 | 91.6 | 7267.5 | 194,258.52 |
| 11 | 60.0 | 97 | 4.857 | 16.91 | 6962.3 | 201.0 | 118 | 11,446 | 27.4 | 7048.8 | 193,551.86 |
| 12 | 65.0 | 105 | 4.893 | 16.96 | 7167.5 | 216.0 | 109 | 11,445 | 63.4 | 7280.6 | 194,107.20 |
| 13 | 70.0 | 113 | 4.919 | 16.97 | 7312.0 | 231.3 | 101 | 11,413 | 16.3 | 7444.8 | 193,678.61 |
| 14 | 90.0 | 144 | 4.834 | 16.95 | 6833.4 | 302.0 | 79 | 11,376 | 42.1 | 6903.9 | 192,823.20 |
| 15 | 100.0 | 162 | 4.938 | 16.97 | 7419.0 | 329.3 | 71 | 11,502 | 148.0 | 7566.7 | 195,188.94 |
| 16 | 125.0 | 202 | 4.908 | 16.95 | 7252.7 | 414.0 | 57 | 11,514 | 197.1 | 7377.3 | 195,162.30 |
| 17 | 145.0 | 234 | 4.896 | 16.96 | 7182.2 | 481.4 | 49 | 11,466 | 119.9 | 7297.3 | 194,463.36 |
| 18 | 155.0 | 250 | 4.900 | 16.96 | 7208.2 | 514.0 | 46 | 11,500 | 198.8 | 7326.8 | 195,040.00 |
| 19 | 165.0 | 266 | 4.894 | 16.96 | 7171.6 | 547.8 | 43 | 11,438 | 75.7 | 7285.3 | 193,988.48 |
| 20 | 215.0 | 349 | 4.949 | 16.97 | 7476.1 | 706.9 | 33 | 11,517 | 153.1 | 7632.0 | 195,443.49 |
| 21 | 245.0 | 395 | 4.895 | 16.96 | 7181.0 | 813.2 | 29 | 11,455 | 110.5 | 7295.9 | 194,276.80 |
| 22 | 295.0 | 476 | 4.903 | 16.96 | 7222.6 | 977.8 | 24 | 11,424 | 37.2 | 7343.2 | 193,751.04 |
| 23 | 310.0 | 500 | 4.894 | 16.96 | 7175.4 | 1029.3 | 23 | 11,500 | 196.8 | 7289.6 | 195,040.00 |
| 24 | 355.0 | 574 | 4.901 | 16.94 | 7212.7 | 1177.6 | 20 | 11,480 | 112.3 | 7331.9 | 194,471.20 |
| 25 | 375.0 | 606 | 4.909 | 16.95 | 7255.3 | 1241.8 | 19 | 11,514 | 198.0 | 7380.3 | 195,162.30 |
| 26 | 395.0 | 639 | 4.916 | 16.95 | 7295.4 | 1306.4 | 18 | 11,502 | 158.9 | 7425.9 | 194,958.90 |
| 27 | 445.0 | 718 | 4.891 | 16.95 | 7154.5 | 1478.6 | 16 | 11,488 | 160.7 | 7265.9 | 194,721.60 |
| 28 | 505.0 | 817 | 4.917 | 16.95 | 7301.7 | 1669.9 | 14 | 11,438 | 27.8 | 7433.1 | 193,874.10 |
| 29 | 545.0 | 882 | 4.918 | 16.96 | 7306.6 | 1802.1 | 13 | 11,466 | 81.9 | 7438.6 | 194,463.36 |
| 30 | 590.0 | 953 | 4.909 | 16.96 | 7255.2 | 1953.6 | 12 | 11,436 | 46.8 | 7380.2 | 193,954.56 |
| 31 | 645.0 | 1044 | 4.920 | 16.96 | 7320.5 | 2131.6 | 11 | 11,484 | 116.6 | 7454.4 | 194,768.64 |
| 32 | 710.0 | 1147 | 4.908 | 16.96 | 7249.0 | 2351.7 | 10 | 11,470 | 113.9 | 7373.1 | 194,531.20 |
| 33 | 790.0 | 1276 | 4.902 | 16.95 | 7220.7 | 2619.2 | 9 | 11,484 | 141.4 | 7341.0 | 194,653.80 |
| 34 | 885.0 | 1430 | 4.904 | 16.95 | 7228.0 | 2933.6 | 8 | 11,440 | 44.8 | 7349.2 | 193,908.00 |
| 35 | 890.0 | 1439 | 4.909 | 16.95 | 7255.0 | 2947.7 | 8 | 11,512 | 184.2 | 7379.9 | 195,128.40 |
| 36 | 1010.0 | 1632 | 4.906 | 16.95 | 7241.5 | 3346.4 | 7 | 11,424 | 14.3 | 7364.6 | 193,636.80 |
| 37 | 1015.0 | 1640 | 4.907 | 16.95 | 7246.4 | 3362.2 | 7 | 11,480 | 130.0 | 7370.2 | 194,586.00 |
| 38 | 1180.0 | 1907 | 4.907 | 16.95 | 7243.3 | 3909.4 | 6 | 11,442 | 47.8 | 7366.6 | 193,941.90 |
| 39 | 1185.0 | 1915 | 4.907 | 16.95 | 7246.2 | 3925.5 | 6 | 11,490 | 147.3 | 7370.0 | 194,755.50 |
| 40 | 1415.0 | 2287 | 4.906 | 16.95 | 7238.2 | 4689.0 | 5 | 11,435 | 31.1 | 7360.9 | 193,823.25 |
| 41 | 1420.0 | 2295 | 4.909 | 16.95 | 7255.3 | 4702.5 | 5 | 11,475 | 115.9 | 7380.3 | 194,501.25 |
| 42 | 1425.0 | 2302 | 4.905 | 16.95 | 7232.8 | 4722.5 | 5 | 11,510 | 193.5 | 7354.8 | 195,094.50 |
| 43 | 1770.0 | 2861 | 4.910 | 16.95 | 7262.4 | 5860.2 | 4 | 11,444 | 51.3 | 7388.3 | 193,975.80 |
| 44 | 1775.0 | 2868 | 4.905 | 16.95 | 7236.8 | 5881.8 | 4 | 11,472 | 112.2 | 7359.3 | 194,450.40 |
| 45 | 1780.0 | 2877 | 4.908 | 16.95 | 7249.3 | 5896.1 | 4 | 11,508 | 181.7 | 7373.5 | 195,060.60 |
| 46 | 2360.0 | 3813 | 4.904 | 16.95 | 7228.6 | 7821.9 | 3 | 11,439 | 42.3 | 7349.9 | 193,891.05 |
| 47 | 2365.0 | 3823 | 4.909 | 16.95 | 7255.6 | 7832.2 | 3 | 11,469 | 100.3 | 7380.6 | 194,399.55 |
| 48 | 2370.0 | 3831 | 4.908 | 16.95 | 7249.9 | 7850.4 | 3 | 11,493 | 149.1 | 7374.2 | 194,806.35 |
| 49 | 2375.0 | 3839 | 4.907 | 16.95 | 7246.5 | 7867.9 | 3 | 11,517 | 198.3 | 7370.3 | 195,213.15 |
As shown in Fig. 12, as the cascade size increases (i.e., the number of centrifuges in each cascade increases), the average separation power of a gas centrifuge increases in small cascades and remains constant in large cascades. The average separation power for all small and large cascades is almost constant and equal to 16.95 kg SWU UF6/y. The average separation power in large cascades remains constant due to the insignificant difference between the feed rate of gas centrifuges and its optimal value.
_2026_03/1001-8042-2026-03-47/alternativeImage/1001-8042-2026-03-47-F012.jpg)
Comparison of required SWU, SWU losses, and the total number of GC-2
Based on Table 8, only 49 symmetrical tapered cascades with small and large sizes can produce uranium-enriched power reactor fuel. In enrichment facilities, numerical parameters such as “total number of cascades and gas centrifuges”, “annual SWU required of total cascades”, and “annual SWU losses” are used to compare their performance. Table 8 lists the values of these parameters for each cascade, and their plots are shown in Fig. 13.
_2026_03/1001-8042-2026-03-47/alternativeImage/1001-8042-2026-03-47-F013.jpg)
A comparison of the results presented in Fig. 13a, b, c, and d shows: (1) the permissible range of the number of GC-1 in a cascade for enrichment facilities to produce power reactor fuel in the balance cycle is 18 ≤n≤3839. In other words, the largest usable cascade had 3839 GC-2, and the smallest had 18 GC-2. (2) Only the small cascade 4 with 39 GC-2 performs better than the other cascades. Because the required SWU and total number of GC-2 are the lowest, it also has a SWU loss comparable to the lowest. For the mentioned cascade, the values of the required SWU, annual SWU loss, total number of GC-2, and number of cascades were 190169.1 kg SWU UF6/y, 6077.2 kg SWU UF6/y, 11193 GC-2, and 287 cascades, respectively. (3) In the range of 18≤n≤600, the cascade behavior is variable. In this range, the largest difference in the total number of GC-2 required compared to the most appropriate cascade for enrichment facilities is approximately 9.19%. (4) In the range of 600<n≤4897, the changes in the behavior of the cascades is very small and almost constant. In this range, the largest difference in the total number of GC-2 compared to the most appropriate cascade was approximately 2.89%. This means that the use of each of large cascade for enrichment does not make much difference. (5) The SWU losses in enrichment facilities range between 3.20–4.82% of the total required SWU (equivalent to 11866.6–6077.6 kg SWU UF6/y). The SWU losses are due to the dilution of the 4.10% product with natural uranium to produce two products with 3.30% and 3.70% enrichment [55].
As mentioned, the numbering of the 49 cascades in Table 8 is defined from the smallest to the largest for ease of discussion regarding the selected cascades.
Characteristics of the selected cascade for use in uranium enrichment facilities with GC-2
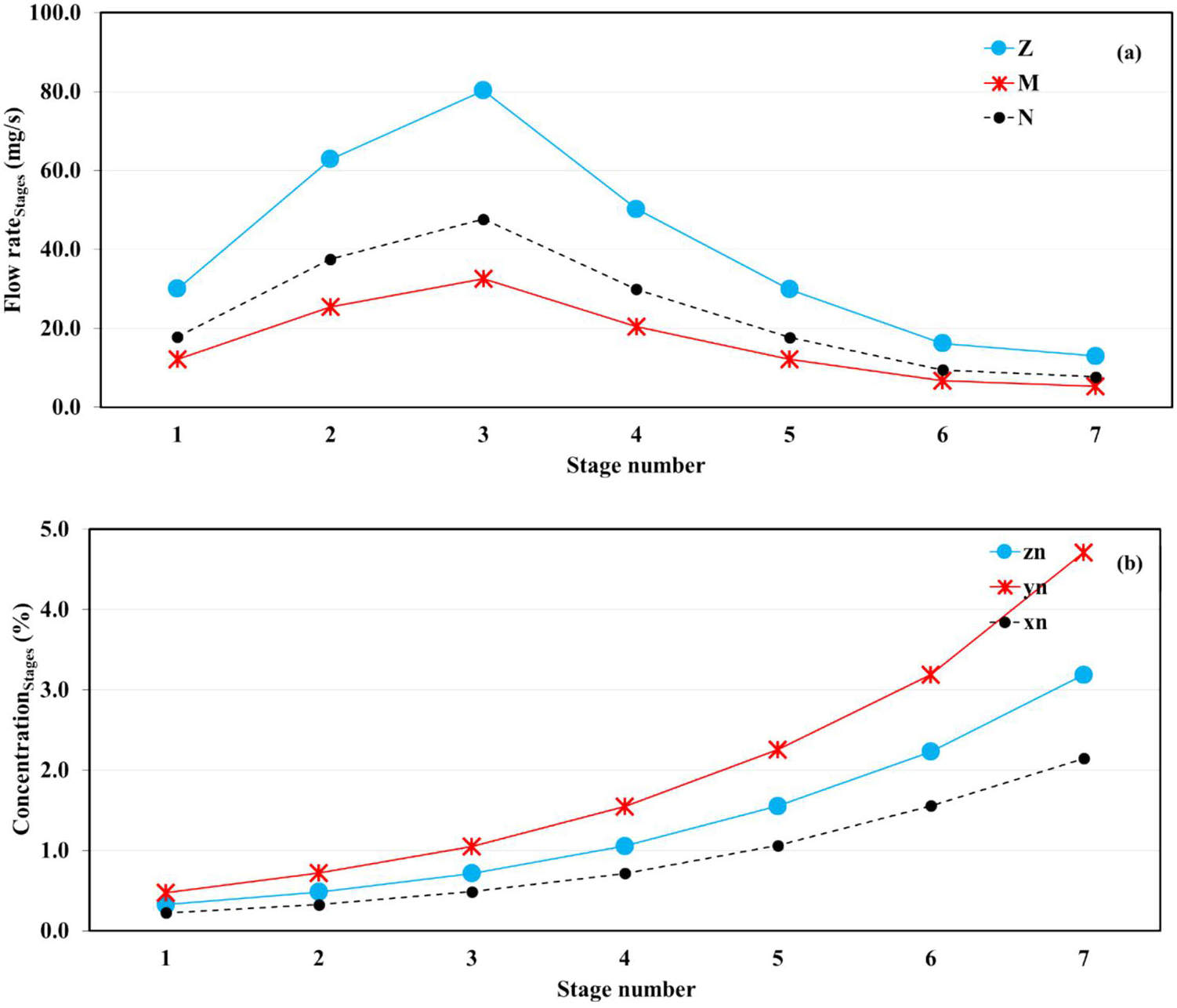
Based on the 49 symmetric tapered cascades proposed with small and large sizes, tapered cascade 4 with 39 GC-2 in 7 stages exhibited better performance than the other cascades. If an enrichment facility uses this cascade to produce enriched uranium for the power plant’s annual fuel, it requires 287 cascades, including 11193 GC-2. The other characteristics of this cascade, such as the arrangement of gas centrifuges, cut of stages, separation, enrichment, depletion factor, flow rates of the stages, and 235U concentrations, are presented in Figs. 14 – 16.
_2026_03/1001-8042-2026-03-47/alternativeImage/1001-8042-2026-03-47-F014.jpg)
_2026_03/1001-8042-2026-03-47/alternativeImage/1001-8042-2026-03-47-F015.jpg)
_2026_03/1001-8042-2026-03-47/alternativeImage/1001-8042-2026-03-47-F016.jpg)
As shown in Fig. 15(a), the β and γ values of the stages of this chain are almost equal; therefore, the behavior of this cascade is close to that of an ideal cascade. The slight difference in the values of β and γ of each stage compared to the other stage, or, in other words, being far from the ideal state, is due to the variable separation factor of GC-2. Figure 15-b also shows the cut of the stages of this tapered cascade, which are not very different from each other and are caused by the conicity of the tapered cascade. According to Fig. 15(c), the separation work of each stage during the cascade increased before the feed stage and then decreased. Because the separation work at each stage depends on the number of gas centrifuges at that stage. In the ideal state or close to it, the separation work of each gas centrifuge is close to the optimal state, so the more gas centrifuges in a stage, the greater the separation work of that stage.
As shown in Fig. 16(a), the changes in the feed, product, and waste flow rates during the cascade up to the feed stage have an increasing trend, and from the feed stage onwards, they have a decreasing trend because the feed rate of each stage depends on the number of gas centrifuges at that stage, and the product and waste flow rates of each stage are proportional to the feed rate of that stage. As another feature of an ideal symmetrical tapered cascade, the concentration of 235U in the feed stream of each stage is close to that in the next stage waste stream and previous stage product stream. Figure 16(b) indicates that this cascade performs very similarly to an ideal cascade.
Conclusion
One of the main issues in the design and optimization of tapered cascades for uranium enrichment to supply fresh fuel annually to a power plant is that if we want to employ large or small cascades in enrichment facilities, it is necessary to determine the permissible and appropriate range of the number of gas centrifuges that can be employed in a cascade and investigate the effect of the fatness and thinness of the cascade on the total number of centrifuges required in the enrichment facility.
In this study, for the first time, the performance of optimal small and large cascades was studied using two types of centrifuges, GC-1 and GC-2, with variable separation factors and different separation powers. The cascades were optimized using a PSO algorithm. Based on the results obtained from this study, the following conclusions can be drawn:
The total number of centrifuges required in an enrichment facility to provide enriched uranium for the fuel of a power reactor depends on the type of gas centrifuge, the amount and level of uranium enrichment used in the reactor fuel, and the cascade size (large or small).
If GC-1 with a low separation factor and power is used, 41 small and large tapered cascades can produce uranium-enriched power reactor fuel. The permissible range of the number of centrifuges in each cascade was 91≤n≤4897. The most efficient cascade in this range had 530 GC-1 and 23 stages.
If GC-2 with a high separation factor and power is used, 49 small and large tapered cascades can be used to produce enriched uranium for power reactor fuel. The permissible range of the number of centrifuges in each cascade is 18≤n≤3839. In addition, the most efficient cascade in this range had 39 GC-2 and 7 stages.
For both GC-1 and GC-2, as the cascade size increases (i.e., the number of centrifuges in each cascade increases), the average value of the separation power per gas centrifuge increases in small cascades and remains constant in large cascades. The loss of separation power for GC-1 cascades is in the range of 3151.0–2032.0 kg SWU UF6/y, and for GC-2 cascades, it is in the range of 11866.6–6077.6 kg SWU UF6/y.
Because the concentration of 235U (approximately 0.8%) in the UF6 gas obtained from the reprocessing of spent fuel is not equal to the concentration of 235U (approximately 0.7%) in natural UF6, the proposed cascades cannot be used optimally. Calculations for the spent fuel must be perfomed separately.
Comparing the performance of square and squared-off cascades with small and large sizes for supplying fuel to a power reactor is suggested as future work.
The PSO algorithm is suitable for optimizing tapered cascades and is superior to other algorithms.
Energy, electricity, and nuclear power estimates for the period up to 2020
. Nuclear power reactors in the world, Atomnaya Ehnergiya 92, 333 (2002). IAEA-RDS-1/20Prospects for nuclear power
. J. Economic Perspectives 26, 49-66 (2011). http://www.jstor.org/stable/41348806Nuclear power reactors in the world
. Atom and Development 33, 43-55 (2021).Uranium: The nuclear fuel cycle and beyond
. Int. J. Mol. Sci 23, 4655 (2022) https://doi.org/10.3390/ijms23094655Managing the nuclear fuel cycle: policy implications of expanding global access to nuclear power
, 2008.The theory of uranium enrichment by the gas centrifuge
. Prog. Nucl. Energy 8, 1-33 (1981). https://doi.org/10.1016/0149-1970(81)90026-3Fuel Management of WWER-1000 Reactors of Kudankulam Nuclear Power Plant, India
. International conference on WWER fuel performance, modelling and experimental support,Comparison of the performance of optimal square, symmetric and asymmetric tapered cascades for production of enriched uranium for power reactors
. Ann. Nucl. Energy 186,Need for high temperature nuclear data library for LWR design computations
. J. Korean. Phys. Soc. 59, 1073 (2011). https://doi.org/10.3938/jkps.59.1073.The design and optimization of square cascades by PSOA and GOA to provide fresh fuel for a nuclear power reactor
. Sep. Sci. Technol. 58, 2008-2026 (2023). https://doi.org/10.1080/01496395.2023.2227340Self-adaptive particle swarm optimization: a review and analysis of convergence
. Swarm Intelligence 12, 187-226 (2018). https://doi.org/10.1007/s11721-017-0150-9Drag coefficient modeling of heterogeneous connected platooning vehicles via BP neural network and PSO algorithm
. Neurocomputing 484, 117-127 (2022). https://doi.org/10.1016/j.neucom.2020.12.136Compare between PSO and artificial bee colony optimization algorithm in detecting DoS attacks from network traffic
. TELKOMNIKA Telecommunication Computing Electronics and Control 20, 780-787 (2022). https://doi.org/10.12928/TELKOMNIKA.v20i4.23757Space nuclear reactor fuel design based on dynamic analysis and GA & PSO optimization
. Prog. Nucl. Energy 143,Outranking-based multi-objective PSO for scheduling unrelated parallel machines with a freight industry-oriented application
. Eng. Appl. Artif. Intelligence 108,Multi-objective optimization method for nuclear reactor radiation shielding design based on PSO algorithm
. Ann. Nucl. Energy 160,Particle swarm algorithm path-planning method for mobile robots based on artificial potential fields
. Sensors 23, 6082 (2023). https://doi.org/10.3390/s23136082Assessment of the radiotoxicity of spent nuclear fuel from a fleet of PWR reactors
. Energies 14, 3094 (2021). https://doi.org/10.3390/en14113094Numerical design of the Seed-Blanket Unit for the thorium nuclear fuel cycle
. E3S Web of Conferences 10, 00067 (2016). https://doi.org/10.1051/e3sconf/20161000067Using a real coded PSO algorithm in the design of a multi-component countercurrent cascade
. Sep. Sci. Technol. 52, 2855-2862 (2017). https://doi.org/10.1080/01496395.2017.1375524Enrichment of 111Cd isotope from natural Cadmium composition by 3-Section Squared-off Cascade
. 1st International & 28th National Conference on Nuclear Science and Technology (ICNST22) (2022)Optimization of the squared-off cascade for separation of molybdenum middle isotope by Grasshopper Optimization Algorithm (GOA)
. 1st International & 28th National Conference on Nuclear Science and Technology (ICNST22) (2022)Implementation of particle swarm optimization (PSO) algorithm for tuning of power system stabilizers in multimachine electric power systems
. Energies 13, 2093 (2020). https://doi.org/10.3390/en13082093Particle swarm optimization aided PID gait controller design for a humanoid robot
. ISA Transactions 114, 306-330 (2021). https://doi.org/10.1016/j.isatra.2020.12.033Shift quality optimization control of power shift transmission based on particle swarm optimization–genetic algorithm
. Proceedings of the Institution of Mechanical Engineers, Part D: Journal of Automobile Engineering 236, 872-892 (2022). https://doi.org/10.1177/09544070211031132Using optimal squared-off cascades instead of optimal square cascades to produce enriched uranium required for fresh fuel in the equilibrium cycle in power reactors
, Ann. Nucl. Energy 192,Parameters optimization of a counter-current cascade based on using a real coded genetic algorithm
. Separat. Sci. Technol. 46, 2223-2230 (2011). https://doi.org/10.1080/01496395.2011.595473Design and fabrication of nuclear fuel for WWER and RBMK reactors
. Workshop on Modelling and Quality Control for Advanced and Innovative Fuel Technologies,Optimization of a square cascade of centrifuges for separation of multicomponent mixtures of stable isotopes
. Atom Energy 128, 291-296 (2020). https://doi.org/10.1007/s10512-020-00690-8Optimization of a system of square cascades for efficient concentration of intermediate isotopes
. J. Phys. Conf. Ser. 1696,Optimization of cascades with variable overall separation factors by various efficiency criteria
. J. Phys. Conf. Ser. 1099,Comparison of optimum tapered cascade and optimal square cascade for separation of xenon isotopes using enhanced TLBO algorithm
. Sep. Sci. Technol. 53, 2074-2087 (2018). https://doi.org/10.1080/01496395.2018.1443135Utilization of harmony search algorithm to optimize a cascade for separating multicomponent mixtures
. Prog. Nucl. Energy 111, 165-173 (2019). https://doi.org/10.1016/j.pnucene.2018.11.005Investigation on the net cascade using Ant Colony optimization algorithm
. Prog. Nucl. Energy. 119,An application of nature-inspired paradigms in the overall optimization of square and squared-off cascades to separate a middle isotope of tellurium
. Ann. Nucl. Energy 171,Performance comparison of the optimized k-section squared-off cascades for enrichment of 124Te using two meta-heuristic paradigms
. Prog. Nucl. Energy 145,On ideal and optimum cascades of gas centrifuges with variable overall separation factors
. Chem. Eng. Sci. 116, 465-472 (2014). https://doi.org/10.1016/j.ces.2014.05.031Gait optimization on a humanoid robot using particle swarm optimization
. Proceedings of the Second Workshop on Humanoid Soccer Robots in conjunction with the, sn, (2007), pp. 1-7.SCA: A Sine Cosine Algorithm for solving optimization problems
. Knowledge-Based Systems 96, 120-133 (2016). https://doi.org/10.1016/j.knosys.2015.12.022Grasshopper optimisation algorithm: theory and application
. Adv. Eng. Softw. 105, 30-47 (2017). https://doi.org/10.1016/j.advengsoft.2017.01.004The whale optimization algorithm
. Adv. Eng. Software 95, 51-67 (2016). https://doi.org/10.1016/j.advengsoft.2016.01.008Monarch butterfly optimization: a comprehensive review
. Expert Syst. Appl. 168,A powerful and efficient algorithm for numerical function optimization: artificial bee colony (ABC) algorithm
. J. Glob. Optim. 39, 459-471 (2007). https://doi.org/10.1007/s10898-007-9149-xChaotic grey wolf optimization algorithm for constrained optimization problems
, J. Comp. Des. Eng. 5, 458-472 (2018). https://doi.org/10.1016/j.jcde.2017.02.005Teaching–learning-based optimization: a novel method for constrained mechanical design optimization problems
. Computer-Aided Des. 43, 303-315 (2011). https://doi.org/10.1016/j.cad.2010.12.015Firefly algorithm, Lévy flights and global optimization
. In:Management of high enriched uranium for peaceful purposes: status and trends. IAEA-TECDOC-1452
(2005).
