Introduction
Hypernuclei are nuclear many-body systems that contain one or more bound hyperons within ordinary nuclei. Since the experimental discovery of the first hypernucleus in 1952 [1], different types of hyperons, such as Λ, ∑+,0,-, and Ξ0,-, have been identified. Unlike nucleons, a hyperon is not subject to the Pauli exclusion principle within the nucleus, allowing it to penetrate deeply into the center of a nuclear core. This unique property enables a hyperon to serve as a valuable probe for investigating nuclear properties that are otherwise inaccessible through conventional methods. The addition of a hyperon to the nucleus as an impurity has been shown to have significant effects on various aspects, including the modification of deformation [2-4], size [5, 6], and drip lines [7, 8]. Hypernuclei also provide an essential platform for testing hyperon-nucleon (YN) and hyperon-hyperon (YY) interactions, which are crucial for understanding the properties of multi-strange systems and their astrophysical applications [9-12].
Hyperons are believed to be abundantly present in the dense inner regions of neutron stars, where extreme temperature and density conditions prevail [13-15]. Experimentally, hyperons and hypernuclei are typically produced through high-energy beam collisions. Relativistic heavy ion collisions offer a distinctive methodology for generating hypernuclei and investigating nuclear matter under severe conditions characterized by elevated temperatures and densities. These processes facilitate the production of hypernuclei across a spectrum of sizes and isospin compositions, as the hyperons synthesized in these reactions are subsequently captured by either nucleons or nuclear fragments [16-18]. Recent experimental collaborations, including STAR [19, 20], ALICE [21, 22], and HypHI [23], have provided significant insights into hypernuclear production mechanisms, with additional measurements in plan. Furthermore, experimental facilities such as PANDA [24], CBM [25], WASA@Super-FRS at FAIR [26], BM@N, MPD at NICA [27], and HFRS at HIAF [28] aim to further explore hypernuclear properties through relativistic particle-induced reactions [29]. Temperature plays a crucial role in the production of hypernuclei, as the short-lived nature of hypernuclei makes their formation highly temperature-dependent [30, 31]. Understanding the effects of temperature on hypernuclear properties is essential not only for interpreting experimental results but also for gaining insights into the behavior of hot nuclear matter, which has implications for astrophysical environments such as supernovae and neutron star mergers [32-35].
In recent years, several studies have investigated the properties of hypernuclei under finite-temperature conditions. For example, a study based on the relativistic Thomas-Fermi approach demonstrated that as the temperature increases, the radii of Λ hyperons expand more rapidly than those of nucleons, because it is easier to excite a small number of hyperons than to excite a large number of nucleons [36]. Furthermore, the finite-temperature Hartree-Fock-Bogoliubov (FT-HFB) framework has been applied to investigate the interplay between temperature and pairing correlations in multi-Λ hypernuclei, such as Ca, Sn, and Pb. The results reveal a critical temperature in agreement with the BCS prediction, as well as the emergence of a pairing re-entrance phenomenon in the
The aforementioned studies have highlighted the impact of temperature on the hypernuclear structure, including modifications to the nuclear density distributions, which may influence nucleon localization and clustering behavior. For instance, clustering in nuclear matter, is generally expected to occur under low-density and low-temperature conditions. Previous studies have focused primarily on the temperature effects on the clustering of nucleons in nuclear matter [38-42] and finite nuclei [43, 44]. Additionally, several investigations using both relativistic and non-relativistic nuclear energy density functionals have been conducted to understand the nuclear properties when the temperature increases [45-48]. While clustering in light nuclei at zero and finite temperatures has been extensively investigated, the effects of temperature on the localization and clustering in hypernuclei remain unknown. The presence of a hyperon introduces additional degrees of freedom and modifies nucleonic correlations, potentially affecting the formation and dissolution of clusters during thermal excitation. Gaining insight into these effects is important for a more comprehensive understanding of hypernuclear matter, particularly under thermal conditions relevant to astrophysical environments.
Over the past few decades, the Skyrme-Hartree-Fock (SHF) model has been widely and successfully applied to investigate normal nuclear structures (see, for example, Refs. [49-51]) and has also been extended to hypernuclear systems [52-59]. The clustering phenomenon in light stable and exotic nuclei has been explored within the SHF approach in Refs. [60-63].
This study aims to investigate the effects of temperature on the localization and clustering features of hypernuclei using the finite temperature SHF model, offering new insights into their structure and interactions under extreme conditions. 20Ne is a well-known nucleus characterized by a strong intrinsic quadrupole deformation and pronounced localization in its intrinsic densities [64-67]. To investigate the effect of temperature on clustering in hypernuclei, we selected 20Ne as the core nucleus.
The remainder of this paper is organized as follows. In Sect. 2, the formalism of the finite-temperature SHF approach is introduced. The numerical details are presented in Sect. 3. In Sect. 4, we discuss the results of the binding energy, mean-field potentials, and density distributions in detail. Finally, a summary is given in Sect. 5.
Theoretical framework
Our calculations were performed using the self-consistent SHF model, which was extended to the theoretical description of hypernuclei in Refs. [54, 55, 68-70]. In this approach, the total energy of a hypernucleus can be written as [50]_2026_03/1001-8042-2026-03-56/alternativeImage/1001-8042-2026-03-56-M001.png)
_2026_03/1001-8042-2026-03-56/alternativeImage/1001-8042-2026-03-56-M002.png)
_2026_03/1001-8042-2026-03-56/alternativeImage/1001-8042-2026-03-56-M003.png)
In the extension of the SHF model to the finite temperature case, one merely replaces the occupation factor _2026_03/1001-8042-2026-03-56/alternativeImage/1001-8042-2026-03-56-M004.png)
The energy density functional εN represents the conventional nucleon-nucleon interaction [49]. The corresponding single-particle potential for neutrons or protons, VN, can be expressed as:_2026_03/1001-8042-2026-03-56/alternativeImage/1001-8042-2026-03-56-M005.png)
_2026_03/1001-8042-2026-03-56/alternativeImage/1001-8042-2026-03-56-M006.png)
_2026_03/1001-8042-2026-03-56/alternativeImage/1001-8042-2026-03-56-M007.png)
Correspondingly, one obtains the SHF mean-fields_2026_03/1001-8042-2026-03-56/alternativeImage/1001-8042-2026-03-56-M008.png)
_2026_03/1001-8042-2026-03-56/alternativeImage/1001-8042-2026-03-56-M009.png)
_2026_03/1001-8042-2026-03-56/alternativeImage/1001-8042-2026-03-56-M010.png)
By solving the Schrödinger equation, we can obtain the wave functions
Because the candidate core nuclei in this study are deformed, it is necessary to use the deformed SHF calculation. In the current work, axial symmetry is assumed for the SHF deformed potentials, and the Schrödinger equation is solved in cylindrical coordinates (r, z) [49, 50, 73]. The geometric quadrupole deformation parameter of the nuclear core is calculated as_2026_03/1001-8042-2026-03-56/alternativeImage/1001-8042-2026-03-56-M011.png)
In a nucleus or hypernucleus, the free energy is calculated by_2026_03/1001-8042-2026-03-56/alternativeImage/1001-8042-2026-03-56-M012.png)
_2026_03/1001-8042-2026-03-56/alternativeImage/1001-8042-2026-03-56-M013.png)
The relevant finite-temperature properties can be calculated from the lowest state on the free energy surface, characterized by a quadrupole deformation _2026_03/1001-8042-2026-03-56/alternativeImage/1001-8042-2026-03-56-M014.png)
_2026_03/1001-8042-2026-03-56/alternativeImage/1001-8042-2026-03-56-M015.png)
_2026_03/1001-8042-2026-03-56/alternativeImage/1001-8042-2026-03-56-M016.png)
Numerical details
In this study, the properties of hot Λ hypernucleus
Pairing effects are often considered to play an important role in some nuclear phenomena. To quantify the effect of pairing correlations on the density distribution, we performed additional calculations for
_2026_03/1001-8042-2026-03-56/alternativeImage/1001-8042-2026-03-56-F001.jpg)
Results and discussion
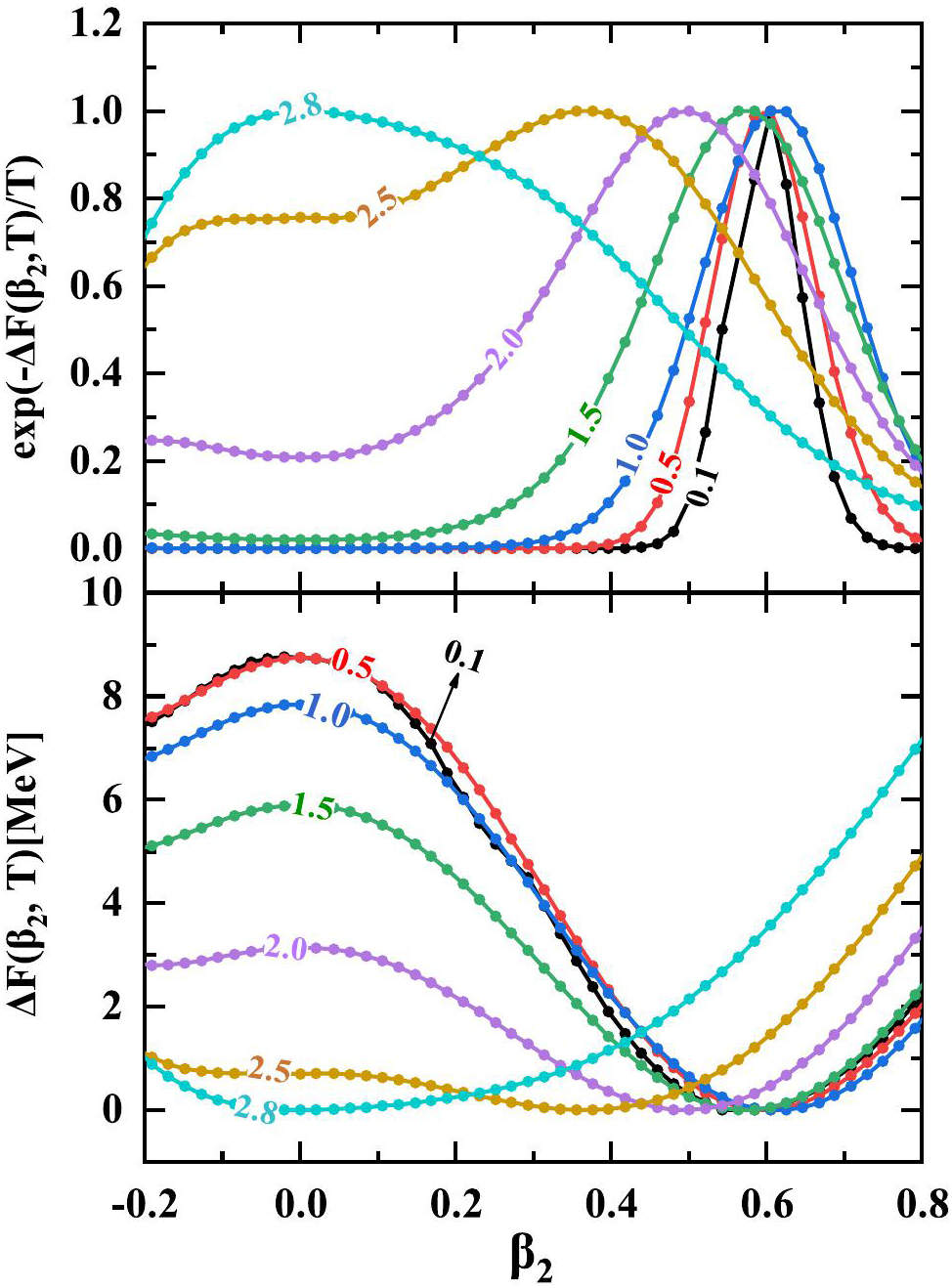
Figure 2 presents the free energy surfaces and probability factors as functions of deformation at finite temperatures. The probability factor, as defined by Eq. (15), is determined by the free energy and temperature with
_2026_03/1001-8042-2026-03-56/alternativeImage/1001-8042-2026-03-56-F002.jpg)
At T = 0.1 MeV, the free energy surface exhibits a well-defined minimum around β2 = 0.60, corresponding to a probability factor of 1. This indicates a stable configuration characterized by a robust quadrupole deformation and well-defined clustering.
As the temperature increases from 0.1 to 2.8 MeV, thermal excitations enhance the probability of populating a wider range of deformed states, reducing the dominance of the
As the temperature increases, the hypernuclear system gradually reduces its tendency for strong quadrupole deformation, which is observed at lower temperatures. The nuclear shape transitions to a more symmetric configuration, resulting in the dissolution of the clustering structures. This highlights the strong thermal sensitivity of clusters.
To analyze the effect of thermal shape fluctuations at a finite temperature, we evaluate the thermal average of the quadrupole deformation parameter using Eq. (16), as shown in Fig. 3. As expected, once thermal fluctuations are included, the sharp shape phase transition is smoothed out, and the decrease in β2 becomes more gradual with increasing temperature. Although the average deformation remains small, it does not vanish even at T = 3.0 MeV, indicating that thermal fluctuations effectively wash out abrupt structural transitions.
_2026_03/1001-8042-2026-03-56/alternativeImage/1001-8042-2026-03-56-F003.jpg)
We further studied the changes in the localization properties and behavior of the α clusters in
_2026_03/1001-8042-2026-03-56/alternativeImage/1001-8042-2026-03-56-F004.jpg)
The deformation of both nuclei and hypernuclei is generally determined by the single-particle energy levels occupied by nucleons that are close to the Fermi surface. The energy density functional method provides an understanding of this phenomenon by utilizing nucleon density distributions. However, the nucleon density distribution is the result of the accumulation of all occupied single-particle energy levels; thus, it loses much more detailed information.
In this study, we employed the localization function, which incorporates contributions from the kinetic energy, density, and current density, to provide a more comprehensive analysis of the nuclear localization structure [6, 85, 86]. It can be written as the probability of finding the second particle located within a shell of small radius around the assumed particle at r with the same spin σ (↑ and ↓) and isospin q (=n, p, or Λ) [60]_2026_03/1001-8042-2026-03-56/alternativeImage/1001-8042-2026-03-56-M017.png)
Owing to the above convenience, the current study utilizes the localization distribution of spin-up neutrons (
At low temperatures, the localization function predicts highly localized regions at the outer ends, and the α clusters are clearly visible for
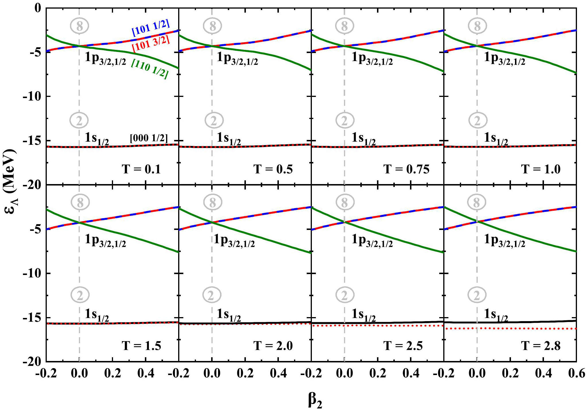
As the temperature increases, the clustering in hypernuclei gradually weakens and eventually disappears. This phenomenon is closely linked to the thermal evolution of single-particle energy levels. To investigate these thermal effects, Fig. 5 presents the Nilsson single-particle level diagram for neutrons.
_2026_03/1001-8042-2026-03-56/alternativeImage/1001-8042-2026-03-56-F005.jpg)
First of all, Fig. 5 shows that as the temperature increases, the Fermi surface shifts downward. This shift occurs because thermal excitation promotes more nucleons to higher energy states, and to conserve the total particle number, the Fermi level must decrease to compensate for the increased occupation of high-energy levels. The Fermi-Dirac distribution further modifies the occupation probabilities near the Fermi surface.
Second, in deformed nuclei, the 1d5/2 orbit is split into multiple energy states owing to the combined effects of the deformation potential and spin-orbit interaction. As the temperature increases, nucleons become increasingly excited for higher angular momentum orbitals, leading to an enhancement of the spin-orbit coupling. This, in turn, amplifies the energy separation between split states. The effect is particularly evident in the pronounced energy gap between the [202 5/2] and [211 1/2] orbitals at small deformations.
To further investigate the temperature-dependent behavior of the hyperon, we analyzed its Nilsson single-particle energy levels in comparison with neutron orbitals. As illustrated in Fig. 6, the temperature evolution of the hyperon single-particle energy levels closely resembles that of the neutron single-particle energy levels.
_2026_03/1001-8042-2026-03-56/alternativeImage/1001-8042-2026-03-56-F006.jpg)
At low temperatures, the Λ hyperon exclusively occupies the 1s1/2 orbit, resulting in the Fermi surface coinciding with this orbit. As the temperature increases, the Fermi surface gradually shifts downward relative to the 1s1/2 orbit, and the splitting of the 1p3/2 orbit becomes enhanced, particularly at large quadrupole deformations. The occupancy probabilities of the hyperon orbitals undergo marked redistribution, indicating that thermal excitation increases the probability of hyperons occupying higher-energy states.
The observations of the downward shift of the Fermi energy and enhanced orbital splitting in both neutron and hyperon single-particle energy levels suggest a universal response of single-particle dynamics to thermal excitations in deformed nuclei.
The properties of the single-Λ hypernucleus
| T (MeV) | |
|
|
β2n | β2p | |
BΛ (MeV) | S | v2 | ||
|---|---|---|---|---|---|---|---|---|---|---|---|
| [000 1/2] | [110 1/2] | [101 1/2,3/2] | |||||||||
| 0.0 | 2.88 | 2.90 | 2.52 | 0.45 | 0.61 | 0.23 | 16.00 | 0.00 | 0.50 | 0.00 | 0.00 |
| 0.5 | 2.89 | 2.91 | 2.53 | 0.46 | 0.63 | 0.25 | 15.98 | 2.44 | 0.50 | 0.00 | 0.00 |
| 1.0 | 2.90 | 2.92 | 2.54 | 0.45 | 0.63 | 0.28 | 15.96 | 6.15 | 0.50 | 0.00 | 0.00 |
| 1.5 | 2.89 | 2.92 | 2.55 | 0.42 | 0.59 | 0.28 | 15.98 | 8.06 | 0.50 | 0.00 | 0.00 |
| 2.0 | 2.88 | 2.92 | 2.57 | 0.38 | 0.53 | 0.28 | 15.93 | 9.24 | 0.48 | 0.01 | 0.00 |
| 2.5 | 2.87 | 2.92 | 2.60 | 0.29 | 0.40 | 0.22 | 15.78 | 10.12 | 0.46 | 0.02 | 0.01 |
| 2.8 | 2.87 | 2.92 | 2.62 | 0.00 | 0.00 | 0.00 | 15.42 | 10.65 | 0.46 | 0.01 | 0.01 |
At low temperatures (T≤1.0 MeV), nucleons are thermally excited from low-energy levels to high-energy orbitals near the Fermi surface, where they are more sensitive to the nuclear deformation potentials. This resulted in a slight increase in the overall deformation.
However, as the temperature exceeded 1.0 MeV, the deformation gradually decreased and eventually vanished at 2.8 MeV. This trend arises because higher temperatures lead to increased nucleon excitations from lower-energy states to higher-energy states, causing the nucleon distribution to become more uniform. Consequently, the Fermi surface smears, shell effects weaken, and deformation diminishes as the temperature increases.
Moreover, the single-Λ binding energy BΛ is a key observable characterizing hypernuclear stability, which is defined as the difference between the hypernucleus and the core nucleus without a hyperon. BΛ decreases monotonically with temperature, with the rate of decrease accelerating above T>2.0 MeV. This behavior originates from the reduction of the hyperon potential with increasing temperature, leading to a decrease in the binding energy at higher temperatures. Simultaneously, the entropy S of the hypernuclear system increases with temperature, directly reflecting the enhanced thermal excitation of this system. As more particles transition from low-energy to high-energy states, the resulting broadening of the nucleon and hyperon wave functions leads to increased disorder in the quantum many-body system. In addition to the global quantities, the Λ hyperon occupation probabilities v2 with temperature provide valuable microscopic insight into the thermal response of the hypernuclear system. At low temperatures (T≤1.5 MeV), the Λ hyperon predominantly occupies the lowest s-orbit, [000 1/2], with an occupation probability close to
To assess the robustness of the conclusion that cluster structures in
In contrast, varying the NN interaction parameters (SkI3, SkI4, SLy4, and SLy5) produced more noticeable differences in the relative free-energy surfaces, as shown in Fig. 7. The SkI3 and SkI4 results are similar, with clustering weakening as the temperature increased and vanishing at T = 2.8 MeV. In contrast, with SLy4 and SLy5, clustering disappeared at a lower temperature of T = 2.2 MeV. These differences are reflected in the slight shifts in the position and depth of the local minima on the free-energy surface. However, the overall trend, clustering suppression with increasing temperature, remained unchanged, indicating that while the NN interaction affects the quantitative details, it does not alter the qualitative behavior.
_2026_03/1001-8042-2026-03-56/alternativeImage/1001-8042-2026-03-56-F007.jpg)
These findings indicate that the temperature-induced delocalization in the deformed hypernucleus
Summary
In this study, finite temperature SHF calculations were performed to investigate the localization and clustering phenomena in hypernucleus
By employing the total intrinsic density function in conjunction with the kernel localization function, the clustering characteristics of the highly deformed ground state in
Furthermore, we examined the effects of temperature on the neutron and hyperon Nilsson single-particle energy levels. As the temperature increases, the thermal excitations of nucleons enhance, leading to a downward shift of the Fermi surface and an enlarged orbital splitting. This effect is particularly pronounced in the well-deformed region, where the deformation-induced splitting of the energy levels becomes more significant with increasing temperature.
In addition, we investigate the temperature-dependence of the radii, deformation, single-Λ binding energy, and entropy for
Finally, it is demonstrated that the NN interactions can affect the precise value of the critical temperature. However, the general trend of temperature-driven delocalization in the system is robust against NN and YN interactions.
Delayed disintegration of a heavy nuclear fragment: I
. Philos. Mag. 44, 348 (1953). https://doi.org/10.1080/14786440308520318Deformation of hypernuclei studied with antisymmetrized molecular dynamics
. Phys. Rev. C 83,Modification of triaxial deformation and change of spectrum in Λ25Mg caused by the Λ hyperon
. Phys. Rev. C 85,Investigation of single- and double-Λ hypernuclei using a beyond-mean-field approach
. Phys. Rev. C 95,γ transitions in A=7 hypernuclei and a possible derivation of hypernuclear size
. Phys. Rev. C 59, 2351-2360 (1999). https://doi.org/10.1103/PhysRevC.59.2351Clusterization and deformation of multi-Λ hypernuclei within a relativistic mean-field model
. Phys. Rev. C 99,Relativistic meanfield description of light Λ hypernuclei with large neutron excess
. Phys. Rev. C 57, R1060-R1063 (1998). https://doi.org/10.1103/PhysRevC.57.R1060Λ hyperons and the neutron drip line
. Phys. Rev. C 78,Massive neutron star with strangeness in a relativistic mean-field model with a high-density cutoff
. Phys. Rev. C 97,Neutron stars and the nuclear equation of state
. Prog. Part. Nucl. Phys. 120,Hypernuclei as a laboratory to test hyperon-nucleon interactions
. Nucl. Sci. Tech. 34, 97 (2023). https://doi.org/10.1007/s41365-023-01248-6Production of exotic hadrons in pp and nuclear collisions
. Nucl. Sci. Tech. 36, 55 (2025). https://doi.org/10.1007/s41365-025-01664-wHadronic phase transitions at supranuclear densities and the delayed collapse of newly formed neutron stars
. Astron. Astrophys. 296, 145 (1995) https://adsabs.harvard.edu/full/1995AThermal neutron stars including the hyperon-hyperon interactions
. Nucl. Phys. A 834, 97c-99c (2010). https://doi.org/10.1016/j.nuclphysa.2010.01.029Hyperons in neutron stars and supernova cores
. Eur. Phys. J. A 52, 1-22 (2016). https://doi.org/10.1140/epja/i2016-16050-1Formation of hypernuclei in heavy-ion collisions around the threshold energies
. Phys. Rev. C 95,Production of light nuclei and hypernuclei at high intensity accelerator facility energy region
. Nucl. Sci. Tech. 28, 55 (2017). https://doi.org/10.1007/s41365-017-0207-xFormation and dynamics of exotic hypernuclei in heavy-ion collisions
. Phys. Rev. C 102,Global polarization of Λ hyperons in Au + Au collisions at sNN=200
Gev. Phys. Rev. C 98,Measurement of the mass difference and the binding energy of the hypertriton and antihypertriton
. Nat. Phys. 16, 409-412 (2020). https://doi.org/10.1038/s41567-020-0799-7(Anti-)matter and hyper-matter production at the LHC with ALICE
. Nucl. Phys. A 904, 547c-550c (2013). https://doi.org/10.1016/j.nuclphysa.2013.02.073Exotica production with alice
. Eur. Phys. J. Web Conf. 97, 00013 (2015). https://doi.org/10.1051/epjconf/20159700013Production of hypernuclei in peripheral HI collisions: the HypHI project at GSI
. Nucl. Phys. A 881, 218-227 (2012). https://doi.org/10.1016/j.nuclphysa.2012.02.011Exploring the mysteries of strong interactions—the panda experiment
. Nucl. Phys. News 16, 15-18 (2006). https://doi.org/10.1080/10506890600579868Hypernuclei program at the CBM experiment
. JPS Conf. Proc. 17,Examination of experimental conditions for the production of proton-rich and neutron-rich hypernuclei
. Phys. Rev. C 94,Vorticity in heavy-ion collisions at the JINR nuclotron-based ion collider facility
. Phys. Rev. C 95,Study of eddy current effect in BRing at HIAF
. Nucl. Instrum. Methods A 920, 37-42 (2019). https://doi.org/10.1016/j.nima.2018.10.206Hypernuclei formation in spallation reactions by coupling the liège intranuclear cascade model to the deexcitation code abla
. Phys. Rev. C 105,Model for hypernucleus production in heavy ion collisions
. Phys. Rev. C 81,Loosely-bound objects produced in nuclear collisions at the LHC
. Nucl. Phys. A 987, 144-201 (2019). https://doi.org/10.1016/j.nuclphysa.2019.02.006Effects of strong and electromagnetic correlations on neutrino interactions in dense matter
. Phys. Rev. C 59, 2888-2918 (1999). https://doi.org/10.1103/PhysRevC.59.2888Protoneutron star cooling with convection: The effect of the symmetry energy
. Phys. Rev. Lett. 108,Formation of hypernuclei in evaporation and fission processes
. Phys. Rev. C 94,Expanding the limits of nuclear stability at finite temperature
. Nat. Commun. 14, 4834 (2023). https://doi.org/10.1038/s41467-023-40613-2Phase transition in hot Λ hypernuclei within the relativistic thomas-fermi approximation
. Phys. Rev. C 94,Effects of finite temperature and pairing correlations in multi-Λ hypernuclei
. Phys. Rev. C 110,Light clusters and pasta phases in warm and dense nuclear matter
. Phys. Rev. C 95,Light clusters in warm stellar matter: calibrating the cluster couplings
. Eur. Phys. J. A 56, 295 (2020). https://doi.org/10.1140/epja/s10050-020-00302-wLight nuclei quasiparticle energy shifts in hot and dense nuclear matter
. Phys. Rev. C 79,Appearance of light clusters in postbounce evolution of core-collapse supernovae
. Phys. Rev. C 77,Ab initio study of nuclear clustering in hot dilute nuclear matter
. Phys. Lett. B 850,Clustering in nuclei at finite temperature
. Phys. Rev. C 106,Fission dynamics, dissipation, and clustering at finite temperature
. Phys. Rev. C 107,Finite-temperature HFB theory
. Nucl. Phys. A 352, 30-44 (1981). https://doi.org/10.1016/0375-9474(81)90557-1Pairing transitions in finitetemperature relativistic hartree-bogoliubov theory
. Phys. Rev. C 88,Pairing phase transition: A finite-temperature relativistic hartree-fock-bogoliubov study
. Phys. Rev. C 92,Finite-temperature linear response theory based on relativistic hartree bogoliubov model with point-coupling interaction
. Phys. Rev. C 104,Self-consistent meanfield models for nuclear structure
. Rev. Mod. Phys. 75, 121-180 (2003). https://doi.org/10.1103/RevModPhys.75.121The Skyrme interaction in finite nuclei and nuclear matter
. Prog. Part. Nucl. Phys. 58, 587-657 (2007). https://doi.org/10.1016/j.ppnp.2006.07.001Continuum Skyrme Hartree–Fock–Bogoliubov theory with Green’s function method for neutron- rich Ca, Ni, Zr, and Sn isotopes
. Nucl. Sci. Tech. 34, 105 (2023). https://doi.org/10.1007/s41365-023-01261-9Hypernuclei in the deformed Skyrme–Hartree–Fock approach
. Phys. Rev. C 76,Hypernuclear structure with the Nijmegen ESC08 potentials
. Phys. Rev. C 88,Skyrme force for light and heavy hypernuclei
. Phys. Rev. C 90,Skyrme force for all known Ξ− hypernuclei
. Phys. Rev. C 104,Effects of hyperons on the deformations of even–even nuclei *
. Chin. Phys. C 46,ΛΛ pairing effects in spherical and deformed multi-Λ hyperisotopes
. Phys. Rev. C 105,Deformation and spin–orbit splitting of Λ hypernuclei in the Skyrme–Hartree–Fock approach
. Phys. Rev. C 107,Shape coexistence in ne isotopes and hyperon impurity effect on low-lying states
. Phys. Rev. C 110,Localization in light nuclei
. Phys. Rev. C 83,Linear chain structure of four-α clusters in 16O
. Phys. Rev. Lett. 107,Deformation and cluster structures in 12C studied with configuration mixing using skyrme interactions
. Phys. Rev. C 88,Clusterization and localization of multi-Λ hyperisotopes
. Phys. Rev. C 109,Nonlocalized clustering: A new concept in nuclear cluster structure physics
. Phys. Rev. Lett. 110,Properties of Kπ=01+, Kπ = 2−, and Kπ=01− bands of 20Ne probed via proton and α inelastic scattering
. Phys. Rev. C 101,The 5α condensate state in 20Ne
. Nat. Commun. 14, 8206 (2023). https://doi.org/10.1038/s41467-023-43816-9The 5α condensate state in 20Ne
. Nucl. Sci. Tech. 35, 35 (2024). https://doi.org/10.1007/s41365-024-01385-6Self-consistent calculations of hypernuclear properties with the Skyrme interaction
. Ann. Phys. 102, 226-251 (1976). https://doi.org/10.1016/0003-4916(76)90262-1Skyrme forces for lambda and cascade hypernuclei
. AIP Conf. Proc. 2130,Mean-field approaches for Ξ− hypernuclei and current experimental data
. Phys. Rev. C 94,Properties of highly excited nuclei
. Nucl. Phys. A 427, 278-296 (1984). https://doi.org/10.1016/0375-9474(84)90086-1The axial Hartree–Fock + BCS code SkyAx
. Comput. Phys. Commun. 258,Hartree–Fock calculations with Skyrme’s interaction. Ⅰ. Spherical nuclei
. Phys. Rev. C 5, 626-647 (1972). https://doi.org/10.1103/PhysRevC.5.626Hartree–Fock calculations with Skyrme’s interaction. Ⅱ. Axially deformed nuclei
. Phys. Rev. C 7, 296-316 (1973). https://doi.org/10.1103/PhysRevC.7.296Skyrme parametrization of an effective Λ-nucleon interaction
. Nucl. Phys. A 367, 381-397 (1981). https://doi.org/10.1016/0375-9474(81)90655-2Nuclear effective forces and isotope shifts
. Nucl. Phys. A 584, 467-488 (1995). https://doi.org/10.1016/0375-9474(94)00770-NA Skyrme parametrization from subnuclear to neutron star densities Part. Nuclei far from stabilitiesⅡ
. Nucl. Phys. A 635, 231-256 (1998). https://doi.org/10.1016/S0375-9474(98)00180-8Thermal shape fluctuation effects in the description of hot nuclei
. Phys. Rev. C 68,The decay of hot nuclei
. J. Phys. G: Nucl. Part. Phys. 19, 1 (1993). https://doi.org/10.1088/0954-3899/19/1/002Quantum versus statistical fluctuations in mean-field theories
. Phys. Rev. Lett. 61, 767-770 (1988). https://doi.org/10.1103/PhysRevLett.61.767Statistical fluctuations in the i132 model
. Phys. Rev. C 29, 1887-1896 (1984). https://doi.org/10.1103/PhysRevC.29.1887Systematic study of fission barriers of excited superheavy nuclei
. Phys. Rev. C 80,Dirac–Hartree–Bogoliubov calculation for spherical and deformed hot nuclei: temperature dependence of the pairing energy and gaps, nuclear deformation, nuclear radii, excitation energy, and entropy
. Phys. Rev. C 93,Localization and clustering in the nuclear Fermi liquid
. Phys. Rev. C 87,α-particle formation and clustering in nuclei
. Phys. Rev. C 106,Anatomy of molecular structures in 20Ne
. Phys. Lett. B 753, 227-231 (2016). https://doi.org/10.1016/j.physletb.2015.12.028The authors declare that they have no competing interests.

