Introduction
Controlled nuclear fusion is an active research field with the ultimate goal of supplying sustainable and clean energy solutions to humans [1-5]. Yet it is difficult to achieve the condition of self-sustained nuclear fusion (i.e. ignition) in laboratory environments, essentially due to the fact that nuclear fusion cross sections are very small. To increase the cross section, the nuclear fuel must be heated to very high temperatures, typically on the order of 107 K. Achieving and maintaining such high temperatures is challenging in practice. Therefore, it is sensible and meaningful to consider methods that may increase the fusion cross section and reduce the temperature requirement.
The possibility of using advanced light sources to influence and enhance nuclear fusion yields has attracted attention recently [6-10]. These are interesting and timely attempts to observe rapid progress in light-source technologies, especially those with extremities in intensity or frequency (photon energy). Light sources with extreme intensities include the extreme light infrastructure (ELI) of Europe [11-13] and the superintense ultrafast laser facility (SULF) in Shanghai [14-16]. These lasers are expected to reach peak intensities on the order of 1023 W/cm2 in the coming years. The frequency is in the near-infrared regime with very small single-photon energies (approximately 1.5 eV). Light sources with extreme frequencies, notably synchrotron radiation and X-ray free-electron lasers [17, 18], are capable of generating light with photon energies of 1–10 keV. Recently, the feasibility of using these light sources to control nuclear processes has been explored, with investigations covering α decay [19-22], nuclear fission [23], and nuclear optical effects [24-30]. The scope of research also extends to particle generation (neutrons [31], protons [32], muons [33]), plasma-based cross-section measurements [34-36], isomeric excitation [37-41], and nuclear clock [42-44].
It is not unreasonable to expect that these light sources influence the nuclear fusion process. The relevant energy scale of controlled nuclear fusion is on the order of 1 keV (= 1.16×107 K). For high-frequency light sources, the absorption of a single photon will increase the energy of the fusion system by an order of 1 keV. For low-frequency-high-intensity light sources, the simultaneous absorption of 1,000 photons will increase the energy of the fusion system by a similar amount, and it will be shown later that this is not difficult with intensities that are readily available nowadays.
Existing studies on this topic focus either on light sources with high frequencies [6, 7] or those with low frequencies [8, 9]. This is mainly due to the theoretical techniques used to address the problem. For example, Queisser et al. employ a Floquet scattering method [6], and Lv et al. adopt the Kramers-Henneberger approximation [7], both of which are feasible only for high frequencies. Several studies have comparatively discussed different approaches for laser-assisted nuclear fusion to a certain extent [45-49], with particular emphasis on laser frequencies in the X-ray regime. A comprehensive theoretical analysis applicable to both high and low laser frequencies is still lacking. Without an analysis that considers different laser frequencies on the same footing, conclusions cannot be drawn regarding the type of laser that would be most efficient in enhancing fusion. Is an X-ray free-electron laser more efficient in enhancing fusion than near-infrared lasers? One might think that the answer would be yes because the absorption of a single photon from an X-ray laser is equivalent to the absorption of 1,000 photons from a near-infrared laser. However, it will be shown that the answer is no.
Extending the theoretical foundations laid by previous studies on low-frequency laser fields [8], this study provides a unified theoretical framework that covers both high-frequency lasers, such as X-ray free-electron lasers, and low-frequency lasers, such as near-infrared solid-state lasers. Different lasers were treated on the same footing. Conclusions were drawn on the preferable laser parameters to enhance the fusion yields. The analysis is physically oriented with the aim of providing a physical understanding using the least possible numerical calculations. Fundamentally, the process of laser-assisted nuclear fusion is a complex many-body problem, and an ab initio calculation starting from quantum chromodynamics remains impossible. A feasible theoretical treatment inevitably involves approximations at different levels. A highly precise and numerically intense theoretical technique is not desirable at this stage.
The remainder of this paper is organized as follows. In Sect. 2, the effects of laser fields on each stage (region) of a nuclear fusion process are analyzed. The calculation results are presented in Sect. 3. Discussions on various aspects of our analyses are provided in Sect. 4. A summary and outlook are provided in Sect. 5 to conclude the article.
Analyses of the laser-assisted nuclear fusion process
Nuclear fusion without laser fields
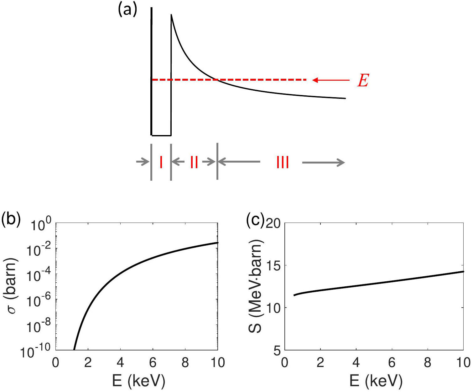
We began with nuclear fusion in the absence of laser fields. The nuclear fusion process is usually divided into three regions according to the relative distance between the two nuclei, as illustrated in Fig. 1(a). From the rest frame of one nucleus (noted nucleus 1 for convenience), the other nucleus (nucleus 2) is initially in region III with an asymptotic energy E, which is usually between 1 and 10 keV depending on the temperature of the fusion environment. As it approaches, nucleus 2 will reach a classical turning point, where the Coulomb repulsive energy between the two nuclei equals the energy E. Via the quantum tunneling effect, nucleus 2 enters and passes through region II with a small probability. In region I, the two nuclei are very close to each other, and fusion reactions occur. The spatial range of region I is on the order of 1 fm (10-15 m), and the spatial range of region II is on the order of 100 fm for the typical energies of controlled fusion research.
_2026_03/1001-8042-2026-03-53/alternativeImage/1001-8042-2026-03-53-F001.jpg)
Indeed, a fusion cross section is usually written in the following form corresponding to the three-region division [50]_2026_03/1001-8042-2026-03-53/alternativeImage/1001-8042-2026-03-53-M001.png)
_2026_03/1001-8042-2026-03-53/alternativeImage/1001-8042-2026-03-53-M002.png)
_2026_03/1001-8042-2026-03-53/alternativeImage/1001-8042-2026-03-53-M003.png)
Two nuclei in a laser field, the center-of-mass reference frame
Now, let us consider the effects of an external laser field on the fusion process. Consider two nuclei with charge and mass _2026_03/1001-8042-2026-03-53/alternativeImage/1001-8042-2026-03-53-M004.png)
For a fusion process, the relative motion between the two nuclei is the most relevant. Therefore, it is more convenient to work in the center-of-mass (CM) reference frame. Define_2026_03/1001-8042-2026-03-53/alternativeImage/1001-8042-2026-03-53-M005.png)
_2026_03/1001-8042-2026-03-53/alternativeImage/1001-8042-2026-03-53-M006.png)
_2026_03/1001-8042-2026-03-53/alternativeImage/1001-8042-2026-03-53-M007.png)
_2026_03/1001-8042-2026-03-53/alternativeImage/1001-8042-2026-03-53-M008.png)
_2026_03/1001-8042-2026-03-53/alternativeImage/1001-8042-2026-03-53-M009.png)
_2026_03/1001-8042-2026-03-53/alternativeImage/1001-8042-2026-03-53-M010.png)
_2026_03/1001-8042-2026-03-53/alternativeImage/1001-8042-2026-03-53-M011.png)
_2026_03/1001-8042-2026-03-53/alternativeImage/1001-8042-2026-03-53-M012.png)
_2026_03/1001-8042-2026-03-53/alternativeImage/1001-8042-2026-03-53-M013.png)
Alternatively one may use the so-called length gauge and the Hamiltonian is given as_2026_03/1001-8042-2026-03-53/alternativeImage/1001-8042-2026-03-53-M014.png)
_2026_03/1001-8042-2026-03-53/alternativeImage/1001-8042-2026-03-53-M015.png)
Assumption on region I
The size of region I is on the order of 1 fm. In this region, the two nuclei fuse, and new particles are generated. For the DT fusion reaction, an α particle and a neutron are generated. This is a complex many-body nuclear process, and an ab initio treatment of this process is usually impossible. The addition of influences from an external laser field complicates the process.
However, it is reasonable to expect that the effect of the laser field in this region is negligibly. From the uncertainty principle, the spatial confinement of
Effects of laser fields on region II
The size of region II is on the order of 100 fm. In this section, we show that an intense laser field has a finite but small effect on the tunneling process occurring in this region. The probability of tunneling, or the “penetrability”, through a laser-modified Coulomb potential barrier can be calculated using the Wentzel-Kramers-Brillouin (WKB) method as_2026_03/1001-8042-2026-03-53/alternativeImage/1001-8042-2026-03-53-M016.png)
What is implicit in writing Eq. (15) is a quasi-static approximation of the pressure. That is, the laser potential can be viewed as static at each time. This approximation is valid when the period of the laser field is much longer than the timescale of the tunneling process. More discussion on this point is provided in Sect. 4.
It can be estimated that the magnitude of VI is much smaller than that of VC or _2026_03/1001-8042-2026-03-53/alternativeImage/1001-8042-2026-03-53-M017.png)
_2026_03/1001-8042-2026-03-53/alternativeImage/1001-8042-2026-03-53-M018.png)
Therefore one can see, for currently available state-of-the-art laser intensities, the effects of laser fields on region II are finite but small.
Effects of laser fields on region III
The major effects of a laser field on the fusion process originate from region III. The laser field can substantially influence the collision energy E.
Without external laser fields, the incoming relative-motion virtual particle is usually described asymptotically as a plane wave_2026_03/1001-8042-2026-03-53/alternativeImage/1001-8042-2026-03-53-M019.png)
In the presence of a laser field, the asymptotic plane-wave state becomes a Volkov state [53]_2026_03/1001-8042-2026-03-53/alternativeImage/1001-8042-2026-03-53-M020.png)
_2026_03/1001-8042-2026-03-53/alternativeImage/1001-8042-2026-03-53-M021.png)
The Volkov state can be expanded in terms of photon numbers_2026_03/1001-8042-2026-03-53/alternativeImage/1001-8042-2026-03-53-M022.png)
_2026_03/1001-8042-2026-03-53/alternativeImage/1001-8042-2026-03-53-M023.png)
One sees from Eq. (21) that in the presence of a laser field, the collision energy is no longer a well-defined single value. Instead, the energy becomes a distribution, which is centered at E+Up (ponderomotive shift) and separated by the photon energy. The energy of the particle can be higher or lower than E+Up, corresponding to the absorption or emission of photons. The probability of finding the system with energy _2026_03/1001-8042-2026-03-53/alternativeImage/1001-8042-2026-03-53-M024.png)
_2026_03/1001-8042-2026-03-53/alternativeImage/1001-8042-2026-03-53-M025.png)
Numerical Results
Energy distribution with different laser parameters
The energy distribution Pn depends sensitively on the laser parameters, particularly the frequency (photon energy). At the same laser intensity, the energy distribution can vary significantly for lasers with different photon energies. This is illustrated in Fig. 2, which shows the energy distributions for six different photon energies under the same intensity. The bare collision energy without the laser fields was assumed to be 5 keV (corresponding to a temperature of 5.8×107 K).
_2026_03/1001-8042-2026-03-53/alternativeImage/1001-8042-2026-03-53-F002.jpg)
One can see that for a high-frequency laser with a photon energy of 1 keV (1,000 eV), almost the entire population still has the original collision energy of 5 keV. The probability of absorbing (emitting) a photon and changing the energy to 6 keV (4 keV) is very small, with a value of 2.6×10-6. This probability is not visually distinguishable on a linear scale, as shown in Fig. 2(a). The probability of absorbing (emitting) two photons and changing the energy to 7 keV (3 keV) is on the order of 10-12. It is very difficult to absorb (emit) energy from (to) a high-frequency laser field, even if the intensity is high. The probability of absorbing or emitting more photons exhibits a perturbative feature. That is, the probability decreases substantially as the number of photons increases.
As the photon energy decreases to 100 eV (Fig. 2(b)), the probability of absorbing (emitting) a photon increases to about 0.025. This indicates that 2.5% of the population has an energy of 5.1 keV, and another 2.5% has an energy of 4.9 keV. The probability of absorbing (emitting) two photons is on the order of 10-4. As the photon energy decreased to 50 eV (Fig. 2(c)), the probability of absorbing (emitting) one photon is about 27%, and that of absorbing (emitting) two photons is about 3.3%. The probability of remaining with the original collision energy decreased to 39%.
As the photon energy decreased to 30 eV (Fig. 2(d)), the energy distribution shows clear nonperturbative features. For example, the probability of absorbing (emitting) two photons is higher than that of absorbing (emitting) a single photon. The number of photons absorbed or emitted was approximately 5, and the energy range populated was approximately 4.85–5.15 keV.
As the photon energy decreases to 10 eV (Fig. 2(e)), the number of photons absorbed or emitted is about 40. The populated energy range was between 4.6 and 5.4 keV. In addition, the distribution shows an overall structure with peaks near the two ends and a valley in the middle. This indicates that the collision has substantial probabilities with energies away from the original bare energy. As the photon energy decreased to 1.55 eV (Fig. 2(f)), which corresponds to a wavelength of 800 nm from Ti:sapphire intense lasers, the number of photons absorbed or emitted is over 1,300, and energy range between 3.1 and 7.3 keV is substantially populated. In this case, the ponderomotive shift Up = 109 eV, and the distribution is not exactly symmetric.
The main message from the above results is that it is easier for low-frequency lasers to deliver energy to a fusion system. Although the energy of a single photon is small, the number of participating photons can be very large, so the populated energy range is wide.
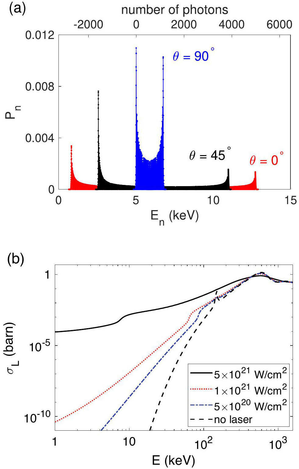
Note that the energy distribution Pn depends on the parameter u, which depends on the angle θ between the laser polarization direction and collision (relative motion) direction. We set θ=0° for all cases shown in Fig. 2. As θ increases from 0° to 90°, the energy distribution becomes narrower, as shown in Fig. 3 for the case of 1.55 eV (800 nm). Pn for θ>90° is the same as that for (180°-θ). It is easier for the laser to deliver energy to the fusion system if the axis of collision and the axis of laser polarization are aligned.
_2026_03/1001-8042-2026-03-53/alternativeImage/1001-8042-2026-03-53-F003.jpg)
Enhancement of fusion
In the presence of a laser field, the collision energy E changes from a single value to a distribution, the character of which depends on the laser parameters. The fusion system can either absorb energy from the laser field, leading to collision energies higher than E, or lose energy to the laser field, leading to energies lower than E (the center of the energy distribution is shifted to E+Up). Energies higher than E lead to higher fusion yields, and energies lower than E lead to lower fusion yields.
However, the net effect is an enhancement of the fusion yield. This is because the cross section function in Eq. (1) depends exponentially on the collision energy (concave upward), as shown in Fig. 4 in linear scale. The fusion yields gained at higher energies are greater than those lost at lower energies. This is the mechanism of fusion-yield enhancement in the presence of laser fields.
_2026_03/1001-8042-2026-03-53/alternativeImage/1001-8042-2026-03-53-F004.jpg)
Effective fusion cross section
It is sensible to define an effective fusion cross section in the presence of a laser field. We denote this laser-assisted cross section as σL (E), which can be calculated by averaging over all θ angles between the collision direction and the laser polarization direction_2026_03/1001-8042-2026-03-53/alternativeImage/1001-8042-2026-03-53-M026.png)
_2026_03/1001-8042-2026-03-53/alternativeImage/1001-8042-2026-03-53-M027.png)
Figure 5 shows the laser-assisted effective DT fusion cross section for three bare energies (E = 1, 5, and 10 keV) and different laser intensities and photon energies. These three energies represent the typical temperatures in thermonuclear fusion experiments. One sees from Fig. 5 that to have noticeable effects on nuclear fusion, the laser intensity needs to be higher than 1018 or 1019 W/cm2.
_2026_03/1001-8042-2026-03-53/alternativeImage/1001-8042-2026-03-53-F005.jpg)
One can also see that σL is larger for lower laser frequencies at the same intensity. For all three cases and with the intensity range shown, the fusion enhancement for the higher frequency cases (100 eV and 1,000 eV) is very small. This is the direct consequence of the point explained above, that low-frequency lasers are more efficient in delivering energy to the fusion system. It is difficult to absorb energy from high-frequency laser fields.
Substantial enhancements can be observed with low-frequency 1.55 eV lasers. For E = 1 keV, the enhancement is three orders of magnitude at an intensity of 1020 W/cm2 and nine orders of magnitude at an intensity 5×1021 W/cm2. The enhancement ratio decreases as E increases. This is because the cross section function σ(E) in Eq. (1) is more sensitive to E for smaller E values. The effect of the laser field was more pronounced for smaller E values.
The possibility of using lasers to reduce the temperature requirements of fusion reactions is evident. For example, without laser fields, the DT fusion cross section at E = 1 keV is 1.37×10-11 barn. With an 800-nm (1.55-eV) laser field of intensity 1020 W/cm2, the effective fusion cross section becomes 1.02×10-8 barn, which is equal to the cross section value at E = 1.6 keV without laser fields. If the laser intensity is 5×1021 W/cm2, the effective cross section becomes 0.027 barn, which is equal to the cross section value at E = 10 keV without laser fields. In other words, the enormous gap in the DT fusion cross section between 1 keV (1.16×107 K) and 10 keV (1.16×108 K) is filled or compensated completely by the intense laser field.
Discussions
Applicability to other fusion reactions
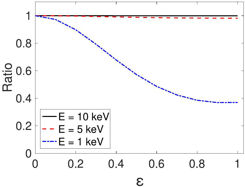
Although the results presented above are for the DT fusion reaction, our analyses also apply to other fusion reactions, such as the neutronless proton-boron (p-11B) fusion reaction [54-58], which is limited in its practical application because of its significantly lower fusion cross section compared to that of DT fusion under low bare energy conditions.
The p-11B interaction exhibits a larger effective charge, q = 0.5, in contrast to the value of q = 0.2 for the deuteron-triton (DT) system. Furthermore, the reduced mass for the p-11B pair is notably smaller, with
Figure 6(a) illustrates that the energy distribution of the Volkov state for the p-11B system is broader than that of the DT system, as depicted in Fig. 3. The laser was characterized by a photon energy of 1.55 eV and a peak intensity of 1020 W/cm2. Figure 6(b) presents the laser-assisted effective cross section for p–11B fusion as a function of bare collision energy, assuming a laser photon energy of 1.55 eV. Various laser intensities were considered, as indicated in the figure. The cross section in the absence of laser fields is given in Ref. [59], is indicated by the black dashed line. Notably, under the influence of a strong laser field with an intensity of 5 × 1021 W/cm2, the effective cross section of p–11B fusion can reach the order of 10-4 barn in the bare energy range of 1–10 keV, representing a significant enhancement in fusion reactivity. The resonant peak of the p–11B fusion cross section, originally located at approximately 150 keV, shifts toward a lower and broader bare energy range under the influence of the laser field. This further indicates an effective enhancement of the fusion reactivity. These results highlight the potential of laser-assisted p–11B fusion as a promising pathway for future research and development in clean, radiation-free energy generation.
_2026_03/1001-8042-2026-03-53/alternativeImage/1001-8042-2026-03-53-F006.jpg)
However, laser fields have no effect, at least within the approximations adopted in this study, on fusion reactions with two nuclei having the same charge-to-mass ratio. An example of this type is the deuteron-deuteron fusion reaction. If so, one can find from Eq. (12) that the charge of the relative-motion virtual particle is zero and the laser ceases to have an effect on the relative-motion degree of freedom. This is easily understood because the motion of a charged particle in a laser field is determined by its charge-to-mass ratio. If two nuclei have the same charge-to-mass ratio, then their motion in the laser field will be the same, and the laser field has no tendency to separate them apart or press them closer, that is, the laser field has no effect on the relative motion between the two nuclei.
The long-wavelength approximation
We assumed the validity of the long-wavelength approximation by neglecting the spatial dependency of the laser vector potential or the electric field. This is justified if the spatial range relevant to fusion is significantly smaller than the laser wavelength. The former range can be estimated by the quiver motion amplitude _2026_03/1001-8042-2026-03-53/alternativeImage/1001-8042-2026-03-53-M028.png)
The quasi-static approximation
As mentioned in Sect. 2.4, when writing Eq. (15), we have implicitly used the quasi-static approximation. This approximation is valid when the laser period is much longer than the time scale of the tunneling process, which can be estimated using a classical model. For example, for E = 5 keV, the velocity of relative motion is
We note that the quasi-static approximation is also an important concept in strong-field atomic ionization [60, 61]. The ratio between the classically estimated electron tunneling time and the laser period is called the Keldysh parameter [60]. The quasi-static approximation is valid when the Keldysh parameter
The Coulomb Volkov state
For simplicity, we used the (plane-wave) Volkov state to describe the relative motion of the virtual particle. The Volkov state is the solution to the time-dependent Schrödinger equation for a free charged particle in the presence of a laser field. The Coulomb potential between the two nuclei was neglected.
The quantum state of the full Coulomb-plus-laser system does not have a general analytical solution. An approximate solution is the Coulomb-Volkov state [62, 63], which has the same form as the plane-wave Volkov state, except that replace the
Elliptical or circular polarization
The extension of the above formalism to elliptically or circularly polarized laser fields is straightforward; therefore, we only outline a few steps here. Assuming that the vector potential is in the z-y plane: _2026_03/1001-8042-2026-03-53/alternativeImage/1001-8042-2026-03-53-M029.png)
_2026_03/1001-8042-2026-03-53/alternativeImage/1001-8042-2026-03-53-F007.jpg)
Effects of plasma screening
In laser-induced plasmas, the range of charge screening effects can be characterized by a Debye sphere, with a radius given by the Debye length
Assuming a plasma electron temperature of 2 keV and electron density of 1017 cm-3, the corresponding Debye length is approximately 1 μm. This characteristic length scale is significantly larger than the amplitude of the quiver motion between two nuclei in a laser field with an intensity of 5×1021 W/cm2 and a photon energy of 1.55 eV, which is approximately 0.56 nm. Consequently, the inter-nuclear separation remains well below the Debye length, and the influence of plasma screening is negligible. Therefore, the two-nuclei interaction model employed in this study is well justified in disregarding the effects of the plasma screening.
The plasma environment may also involve additional effects, such as collisional interactions and radiation processes, which can be further investigated through advanced laser-plasma simulations in future studies.
Summary and Outlook
In summary, we considered the nuclear fusion process in the presence of a laser field. In the absence of laser fields, a nuclear fusion process is typically treated as a three-region process, and we analyzed the effects of laser fields on each of the three regions. Our analysis is physically oriented, aiming to provide a clear physical understanding of the laser-assisted nuclear fusion process. We show that the major effects of the laser field on the nuclear fusion process originate from influencing the collision energy before tunneling. We explain why this influence of the collision energy leads to enhanced fusion yields. By treating lasers with different frequencies on the same footing, we can draw conclusions regarding the optimal laser parameters to enhance fusion. We show that intense low-frequency lasers are the most efficient in delivering energy to the fusion system and enhancing the fusion yield.
The possibility is pointed out that lasers may be used to reduce the temperature requirement of controlled fusion research. The vast difference between the fusion cross sections at different temperatures decreases in the presence of laser fields. Controlled fusion experiments can be performed at lower temperatures with the aid of intense laser fields.
In this study, we only consider the (pure) system of two nuclei plus a laser field. We did not consider a more complicated plasma environment with nuclei, electrons, laser-plasma interactions, etc. These complications are important but are outside the scope of the current study. As the first step, we need to understand the laser-assisted nuclear fusion process, which is the goal of the current study. The next step is to add the above-mentioned complications and evaluate the effect of laser fields.
Theory of plasma transport in toroidal confinement systems
. Rev. Mod. Phys. 48, 239 (1976). https://doi.org/10.1103/RevModPhys.48.239The physics of magnetic fusion reactors
. Rev. Mod. Phys. 66, 1015 (1994). https://doi.org/10.1103/RevModPhys.66.1015The physics basis for ignition using indirect-drive targets on the National Ignition Facility
. Phys. Plasmas 11, 339 (2004). https://doi.org/10.1063/1.1578638Fuel gain exceeding unity in an inertially confined fusion implosion
. Nature 506, 343 (2014). https://doi.org/10.1038/nature13008Inertial-confinement fusion with lasers
. Nat. Phys. 12, 435 (2016). https://doi.org/10.1038/nphys3736Dynamically assisted nuclear fusion
. Phys. Rev. C 100,Enhanced deuterium-tritium fusion cross sections in the presence of strong electromagnetic fields
. Phys. Rev. C 100,Substantially enhanced deuteron-triton fusion probabilities in intense low-frequency laser fields
. Phys. Rev. C 102,Multiphoton fusion of light nuclei in intense laser fields
. Phys. Rev. C 109,Deuterium-tritium fusion process in strong laser fields: Semiclassical simulation
. Phys. Rev. C 104,The ELI–NP facility for nuclear physics
. Nucl. Instrum. Methods Phys. Res. B 355, 198 (2015). https://doi.org/10.1016/j.nimb.2015.04.033New light in nuclear physics: The extreme light infrastructure
. Europhys. Lett. 117, 28001 (2017). https://doi.org/10.1209/0295-5075/117/28001Status of ELI-NP and opportunities for hyperfine research
. Hyperfine Interact. 240, 49 (2019). https://doi.org/10.1007/s10751-019-1594-7339 J high-energy Ti: sapphire chirped-pulse amplifier for 10 PW laser facility
. Opt. Lett. 43, 5681 (2018). https://doi.org/10.1364/ol.43.005681High-contrast front end based on cascaded XPWG and femtosecond OPA for 10-PW-level Ti:sapphire laser
. Opt. Express 26, 2625 (2018). https://doi.org/10.1364/oe.26.002625The laser beamline in SULF facility
. High Power Laser Sci. Eng. 8, E4 (2020). https://doi.org/10.1017/hpl.2020.3X-ray free-electron lasers
. Nat. Photon. 4, 814 (2010). https://doi.org/10.1038/nphoton.2010.239Brighter and faster: The promise and challenge of the X-ray free-electron laser
. Phys. Today 68(7), 26 (2015). https://doi.org/10.1063/pt.3.2845α decay in intense laser fields: Calculations using realistic nuclear potentials
. Phys. Rev. C 99,Can extreme electromagnetic fields accelerate the α decay of nuclei?
Phys. Rev. Lett. 124,Decays in superstrong static electric fields
. Commun. Theor. Phys. 70, 559 (2018). https://doi.org/10.1088/0253-6102/70/5/559Determinants in laser-assisted deformed α decay
. Phys. Lett. B 848,Nuclear fission in intense laser fields
. Phys. Rev. C 102,Collective Lamb shift in single-photon superradiance
, Science 328, 1248 (2010). https://doi.org/10.1126/science.1187770Electromagnetically induced transparency with resonant nuclei in a cavity
. Nature 482, 199 (2012). https://doi.org/10.1038/nature10741Coherent control of the waveforms of recoilless γ-ray photons
. Nature 508, 80 (2014). https://doi.org/10.1038/nature13018Coherent X-ray-optical control of nuclear excitons
. Nature 590, 401 (2021). https://doi.org/10.1038/s41586-021-03276-xNonlinear optical effects in a nucleus
. J. Phys. G 48,Highly nonlinear light-nucleus interaction
. Phys. Rev. Lett. 133,Triggering highly nonlinear responses in 229Th nuclei with an intense laser
. Nucl. Sci. Tech. 36, 20 (2025). https://doi.org/10.1007/s41365-024-01632-wAn ultra-short pulsed neutron source
. Phys. Rev. Lett. 113,Laser-driven proton acceleration beyond 100 MeV by radiation pressure and Coulomb repulsion in a conduction-restricted plasma
. Nat. Commun. 16, 1487 (2025). https://doi.org/10.1038/s41467-025-56667-3First Proof of Principle Experiment for Muon Production with Ultrashort High Intensity Laser
, Nat. Phys. 21, 1050 (2025). https://doi.org/10.1038/s41567-025-02872-2Laser-based approach to measure small nuclear cross sections in plasma
. P. Natl. Acad. Sci. USA 121,First measurement of the 7Li(D, n) astrophysical S-factor in laser-induced full plasma
. Phys. Lett. B 843, 10 (2023). https://doi.org/10.1016/j.physletb.2023.138034Recent progress in nuclear astrophysics research and its astrophysical implications at the China Institute of Atomic Energy
. Nucl. Sci. Tech. 35, 217 (2024). https://doi.org/10.1007/s41365-024-01590-3X-ray pumping of the 229Th nuclear clock isomer
. Nature 573, 238 (2019). https://doi.org/10.1038/s41586-019-1542-3Exciting the isomeric 229Th nuclear state via laser-driven electron recollision
. Phys. Rev. Lett. 127,Tailoring laser-generated plasmas for efficient nuclear excitation by electron capture
. Phys. Rev. Lett. 120,Femtosecond pumping of nuclear isomeric states by the Coulomb collision of ions with quivering electrons
. Phys. Rev. Lett. 128,Isomeric excitation of 229Th in laser-heated clusters
. Phys. Rev. Lett. 130,Laser excitation of the Th-229 nucleus
. Phys. Rev. Lett. 132,Laser excitation of the 229Th nuclear isomeric transition in a solid-state host
. Phys. Rev. Lett. 133,Frequency ratio of the 229mTh nuclear isomeric transition and the 87Sr atomic clock
. Nature (London) 633, 63 (2024). https://doi.org/10.1038/s41586-024-07839-6Dynamically assisted tunneling in the impulse regime
. Phys. Rev. Res. 3,Applicability of semiclassical methods for modeling laser-enhanced fusion rates in a realistic setting
. Phys. Rev. C 105,Effect of nuclear charge on laser-induced fusion enhancement in advanced fusion fuels
. Phys. Rev. C 106,Dynamically assisted nuclear fusion in the strong-field regime
. Phys. Rev. C 109,Laser-enhanced fusion burn fractions for advanced fuels
. Phys. Rev. C 110,Synthesis of the elements in stars
. Rev. Mod. Phys. 29, 547 (1957). https://doi.org/10.1103/RevModPhys.29.547Zur quantentheorie des atomkernes
, Z. Phys. 51, 204 (1928). https://doi.org/10.1007/bf01343196Improved formulas for fusion cross-sections and thermal reactivities
. Nucl. Fusion 32, 611 (1992). https://doi.org/10.1088/0029-5515/32/4/i07The solution for wave equations for a spin-charged particle moving in a classical field
. Z. Phys. 94, 250 (1935).Observation of neutronless fusion reactions in picosecond laser plasmas
. Phys. Rev. E 72,Fusion reactions initiated by laser-accelerated particle beams in a laser-produced plasma
. Nat. Commun. 4, 2506 (2013). https://doi.org/10.1038/ncomms3506Boron-proton nuclear-fusion enhancement induced in boron-doped silicon targets by low-contrast pulsed laser
. Phys. Rev. X 4,Response to “Comment on ‘Avalanche proton-boron fusion based on elastic nuclear collisions’” [Phys. Plasmas 23, 094703 (2016)]
, Phys. Plasmas 23,On the enhancement of p-11B fusion reaction rate in laser-driven plasma by α→p collisional energy transfer
, Phys. Plasmas 25,Revisiting p-11B fusion cross section and reactivity, and their analytic approximations
. Nucl. Fusion 63,Ionization in the field of a strong electromagnetic wave
. Sov. Phys. JETP 20, 1307(1965).Tunnel ionizationof complex atoms and atomic ions in electromagnetic field
. Sov. Phys. JETP 64, 1191 (1986).Compton scattering in the presence of coherent electromagnetic radiation
. Phys. Rev. A 18, 538 (1978). https://doi.org/10.1103/PhysRevA.18.538Strong-field S-matrix theory with final-state Coulomb interaction in all orders
. Phys. Rev. A 94,The authors declare that they have no competing interests

