Introduction
During the development and application of third-generation nuclear power technology, passive safety is an important factor to consider when designing safety facilities for nuclear power plants. In the AP1000 advanced passive Pressurized Water Reactor (PWR) system, designed by Westinghouse, the use of passive safety technology increases the safety margin of a nuclear power plant [1]. CAP1400 (China Advanced PWR 1400), a large-scale advanced nuclear power plant project in China, adopts passive safety technology similar to AP1000 [2]. This technology improves system safety over that of second-generation nuclear power plants, which are being widely built, while reducing cost and simplifying the structure. The HPR1000 (Hua-long Pressurized Reactor) nuclear power plant project independently developed by China also applies a reliable passive safety design concept [3].
Passive safety systems, such as passive core cooling and passive containment cooling, are widely used in third-generation nuclear power plants and require rigorous safety performance assessments to verify the reliability and stability of the facilities before they are used. From an economic point of view, using full-scale prototype models to verify the reliability of passive safety features is unrealistic. Therefore, a validation experiment using a scaled-down experimental facility is a reasonable and widely used method. Many such scaled-down test facilities are already in use. Examples include the ACME (Advanced Core-cooling Mechanism Experiment) facility [2], APEX (Advanced Plant Experiment) facility [4], ATLAS (Advanced Thermal-hydraulic Test Loop for Accident Simulation) test loop [5], ROSA (Rig of Safety Assessment) large-scale test facility[6].
In recent years, many scaling methods have been reported [7,8]. Hsu et al. [9] analyzed the applicability of the linear scaling method based on the mass-energy balance equations and flow pressure drop relationship in the simulation of small-break LOCA accidents. Nahavandi et al. [10] derived the corresponding series of scaling criteria using three scaling methods: time-reducing scaling laws, time-preserving volumetric scaling laws, and time-preserving idealized model/prototype scaling laws. They discussed the rationality of these criteria for simulating and predicting the application of nuclear reactor systems. The power-volume method is suitable for establishing full-height test facilities [11]. Ishii et al. deduced the corresponding scaling criteria for single-phase and two-phase natural circulation flows and indicated that it can be applied to experimentally simulate the natural circulation of pressurized water reactors in a LOFT (Loss Of Fluid Test) facility [12]. Ishii developed a three-level scaling method to guide the design of an overall test facility [13]. This method obtains scaling criteria through both top-down and bottom-up scaling analysis. Zuber et al. developed Hierarchical Two-Tiered Scaling (H2TS) method suitable for more complex multiphase thermal experimental systems [14,15]. By nondimensionalizing the conservation equations at multiple levels, a similar standard consisting of geometric and fluid parameter scaling factors was obtained. In addition, Zuber proposed the fractional scaling analysis method and applied it to analyze the loss of coolant accidents [16,17].
Scale analysis based on the above scaling criteria often focuses on the static parameter deviation of the scaled model, whereas the actual situation it simulates is mainly a dynamic process. This type of simulation can lead to scaling errors if the actual parameters change over time throughout the dynamics. To address this defect, recent natural circulation simulation studies have sought improvement by focusing on transient processes. Kuran et al. simulated the start-up transient of a boiling water reactor following a natural cycle at low pressure and flow using a PUMA (Purdue University Multi-Dimensional Integral Test Assembly facility) [18]. Lakshmanan et al. confirmed that the Natural Circulation Test Facility (CNTF) model developed by Relap5 could predict transient cases of natural circulation under low pressure and power [19]. Dixit simulated two-phase natural circulation instability in an integrated modular water reactor [20]. Basu used rectangular natural circulation to study the dynamic response to a change in the input power of a single-phase natural circulation system [21]. Reyes developed a new dynamic system scaling (DSS) method to simulate the dynamic process and evaluate the dynamic distortion of the scaled model [22]. In this scale-up process, five types of similarity criteria are generated, for which different arrays of similar criteria can be obtained. The dynamic deviation generated during the scaling process can be effectively evaluated by comparing the original dynamic process with the scaling process. Li et al. used the DSS method to evaluate the scaling distortion of gravity-driven drainage systems and explored the dynamic changes of key parameters in the gravity drainage process under different scaled-down cases [23]. In addition, a similarity criterion array based on the DSS identity transformation law for single-phase natural circulation is derived. Using a simple loop model, dynamical scaling analysis theory is enriched by comparing the difference between the simulation results of the DSS method and that of the traditional H2TS method [24].
To further understand the DSS method and expand its application in the field of natural circulation, a scaling criterion based on dilation transformation was deduced using the two-parameter affine transformation concept. Based on single-phase natural circulation in a simple rectangular loop, the corresponding two-parameter dynamical scaling analysis similarity arrays under different combinations of length ratios and dilation numbers are obtained. The Relap5 code is used to establish a natural-circulation loop model. Different scaling cases are developed according to the calculated similar array, and the dynamical scaling characteristics are evaluated under different length ratios and dilation numbers.
Two-parameter scaling analysis based on Dilation transformation
Physical model
For the convenience of analysis, a simple rectangular loop model was built. The simplification of the model involves several assumptions.
(1) Flow is one-dimensional along the loop axis, and the fluid properties of the cross section remain uniform.
(2) Boussinesq approximation is applied to loops.
(3) Heat loss is negligible throughout the rest of the piping, except for the piping sections used to simulate heating and cooling.
(4) Pipes have the same diameter and cross-sectional area throughout the circuit.
A simple rectangular loop is illustrated in Fig. 1. The circuit is mainly composed of heating, cooling, ascending and descending pipes, and horizontal pipe sections. The heating section is used to simulate the heating of the water in the core of the nuclear reactor, whereas the cooling section is used to simulate the heat exchange and cooling process between the primary coolant circuit and the secondary side of the steam generator. The density of the heated fluid decreases, and the density increases after cooling, thereby realizing circulation in a rectangular loop. To create a dynamic process for analysis, in the heating section, the thermal component provides the circuit with an initial power of 12,000 W. In this case, the natural circulation in the loop reaches a steady state. The power is then increased by 5% at 12,600 W, after which the cycle gradually reaches the second steady state. The dynamic process to be analyzed lies between these two states. The main parameters of the simple rectangular natural-circulation loop are listed in Table 1.
| Item | Value |
|---|---|
| System pressure (MPa) | 1 |
| Loop length (m) | 24 |
| Heating section length (m) | 2 |
| Cooling section length (m) | 2 |
| Ascent section length (m) | 8 |
| Drop section length (m) | 8 |
| Horizontal section length (m) | 2 |
| Pipe inner diameter (m) | 0.08 |
| Pipe wall thickness (m) | 0.0005 |
| Initial input power (W) | 12,000 |
| Initial water temperature (℃) | 20 |
-202212/1001-8042-33-12-006/alternativeImage/1001-8042-33-12-006-F001.jpg)
Similarity criterion
Using the above simple rectangular loop model, a similarity criterion array based on the dilation transformation can be derived.
The momentum conservation equation for single-phase natural circulation is given by:
Eq. (1) can be transformed into the following form:
Here,
Reyes provides a detailed description of the theoretical analysis of the DSS method [22]. Here, we use the DSS method to process the momentum balance equation above.
Define
Combining Eq. (3) with Eq. (2) yields
Defining
The natural circulation agents-of-change similarity criteria are
Assuming that the dimensionless mass flow response variables of the model and prototype are
In Eq. (11),
Combining Eq. (9) and Eq. (11), we have
According to the DSS analysis method,
Combining Eq. (14) and Eq. (15) gives
According to the dilation transformation criteria,
Eq. (17) can be simplified to
By simultaneously simplifying Eqs. (17), Eq. (20), and Eq. (21),
The scaling of vertical and horizontal segment heights is assumed to follow the same guidelines,
Substituting Eq. (20) into Eq. (23),
The above shows the result derived from the momentum balance equation. The energy conservation equation for the natural circulation circuit is as follows:
Assuming that the circulating system is in a steady state, we ignore the correlation of the time differential in the equation
Thus,
The constant scaling factor is given as
Thus,
Assuming that the heat source is a point heat source,
The dilation similarity criterion gives
Combining Eq. (32) and Eq.(33) gives
By reconsidering Eq. (20),
Clearly, the main parameter ratios of the scaled models are dilation number
By selecting the range of dilation numbers and length ratios, different scaling ratios can be obtained by changing the combination of the two variables. The two-parameter scaling curves based on the above criteria array are shown in Fig. 2.
-202212/1001-8042-33-12-006/alternativeImage/1001-8042-33-12-006-F002.jpg)
By fixing the dilation number
In addition, combining the two images reveals that the ratio of the heating power of the scaled-down model to that of the prototype case is smaller in the criterion array derived from the dilation transformation based on the DSS analysis (less than 0.15). This is conducive to the construction of a scale-model experimental bench, which would benefit from the smaller power. This is one of the advantages of DSS.
Numerical Model
The simple rectangular-loop natural circulation model shown in Fig. 3 was established using the Relap5 computational code. Relap5 is a transient analysis program for light-water reactors, developed by Idaho National Laboratory for the US Nuclear Regulatory Commission, and is widely used in thermal hydraulic analysis and calculation [27]. It should be noted that Relap5 uses a one-dimensional computational method for a simple natural loop.
-202212/1001-8042-33-12-006/alternativeImage/1001-8042-33-12-006-F003.jpg)
The heating pipe section was simulated using Pipe160, whereas the cooling section was completed by heat exchange between the Pipe110 and Pipe120 components. The heat of the fluid in the main circulation loop was removed by two time-dependent control bodies: TDV200 and TDV220 components. The distance between Pipe110 and Pipe160 represents the height difference between the heating and cooling sections. This provides the driving force for natural circulation in the circuit. In addition, the Pipe180 and TDV182 components are set on the loop to simulate the pressurizer to ensure that the pressure in the loop is maintained at the set value during the cycle. Considering that only the natural circulation process is simulated, no pump components are set up in this simple circuit. Before the calculation, the node sensitivity of the simple rectangular loop model is analyzed, which ensures that the calculation is independent of the number of nodes.
Results and discussion
According to the array of dilation transformation and scaling criteria, the two-parameter scaling criteria, based on the length ratio and dilation number, are calculated, summarized in Table 2.
| 0.25 | 0.25 | 0.0625 | 0.000015 | 0.0625 | 0.0625 |
| 0.5 | 0.1649 | 0.0004 | 0.125 | 0.1250 | |
| 0.75 | 0.2910 | 0.0030 | 0.1875 | 0.1875 | |
| 1.0 | 0.4353 | 0.0118 | 0.25 | 0.25 | |
| 1.25 | 0.5949 | 0.0346 | 0.3125 | 0.3125 | |
| 1.5 | 0.7679 | 0.0829 | 0.375 | 0.375 | |
| 1.75 | 0.9528 | 0.1738 | 0.4375 | 0.4375 | |
| 0.5 | 0.25 | 0.0947 | 0.0001 | 0.125 | 0.125 |
| 0.5 | 0.2500 | 0.0039 | 0.25 | 0.25 | |
| 0.75 | 0.4410 | 0.0274 | 0.375 | 0.375 | |
| 1.0 | 0.6598 | 0.1088 | 0.5 | 0.5 | |
| 1.25 | 0.9017 | 0.3176 | 0.625 | 0.625 | |
| 0.75 | 0.25 | 0.1208 | 0.0005 | 0.1875 | 0.1875 |
| 0.5 | 0.3189 | 0.0143 | 0.375 | 0.375 | |
| 0.75 | 0.5625 | 0.1001 | 0.5625 | 0.5625 | |
| 1.0 | 0.8415 | 0.3983 | 0.75 | 0.75 | |
| 1.0 | 0.25 | 0.1436 | 0.0013 | 0.25 | 0.25 |
| 0.5 | 0.3789 | 0.0359 | 0.5 | 0.5 | |
| 0.75 | 0.6685 | 0.2514 | 0.75 | 0.75 |
To ensure the rationality of the scaled-down case setting, after length ratio
First, we analyzed the static errors of the flow velocity and temperature difference between the prototype and model cases.
As shown in Fig. 4 and 5, compared with the prototype cases of natural circulation under steady-state cases, all cases based on the scaling of the two parameters can achieve good agreement regarding the flow parameters. The calculation errors of the steady-state flow velocity and temperature difference between the hot and cold sections can be controlled within a level of no greater than 7%. This shows that the setting of the length-ratio-dilation-number two-parameter scaling case is reasonable, based on the above criteria.
-202212/1001-8042-33-12-006/alternativeImage/1001-8042-33-12-006-F004.jpg)
-202212/1001-8042-33-12-006/alternativeImage/1001-8042-33-12-006-F005.jpg)
Figures 6 and 7 show the transient mass flow curves of the prototype case and each scaled-down model case. Based on the two-parameter analysis criteria, a comparison of transient mass flow rate is carried out from the two parameters. In Fig. 6, the length ratio is given, and the transient change in the mass flow rate of the model operating cases corresponding to different dilation numbers is compared. Figure 7 shows a comparison of the transient trend of the mass flow rate under different length ratios for a given dilation number. Notably, based on the DSS method, the processing time will be distorted for different scaled models, which is reflected in the time difference required for the fluid to circulate in a rectangular loop. To consider the influence of this process distortion on the analysis, the horizontal ordinate in the figure is defined as
-202212/1001-8042-33-12-006/alternativeImage/1001-8042-33-12-006-F006.jpg)
-202212/1001-8042-33-12-006/alternativeImage/1001-8042-33-12-006-F007.jpg)
The same method is used to obtain the transient change curve of the normalized temperature difference between the hot and cold sections for each case, shown in Fig. 8 and 9.
-202212/1001-8042-33-12-006/alternativeImage/1001-8042-33-12-006-F008.jpg)
-202212/1001-8042-33-12-006/alternativeImage/1001-8042-33-12-006-F009.jpg)
By comparison, the normalized temperature difference for the scaled-down cases containing a small length ratio and large dilation number (Fig. 8(a-c)) can be very close to that of the prototype case. However, for the normalized mass flow rate (Fig. 6(a-c)), even if a larger dilation number is selected, the time to reach the second steady state in the scaled-down cases is still significantly less than in the prototype case. This may be due to a change in the Reynolds number. A small length ratio corresponds to a small Reynolds number, which may cause errors in the calculation.
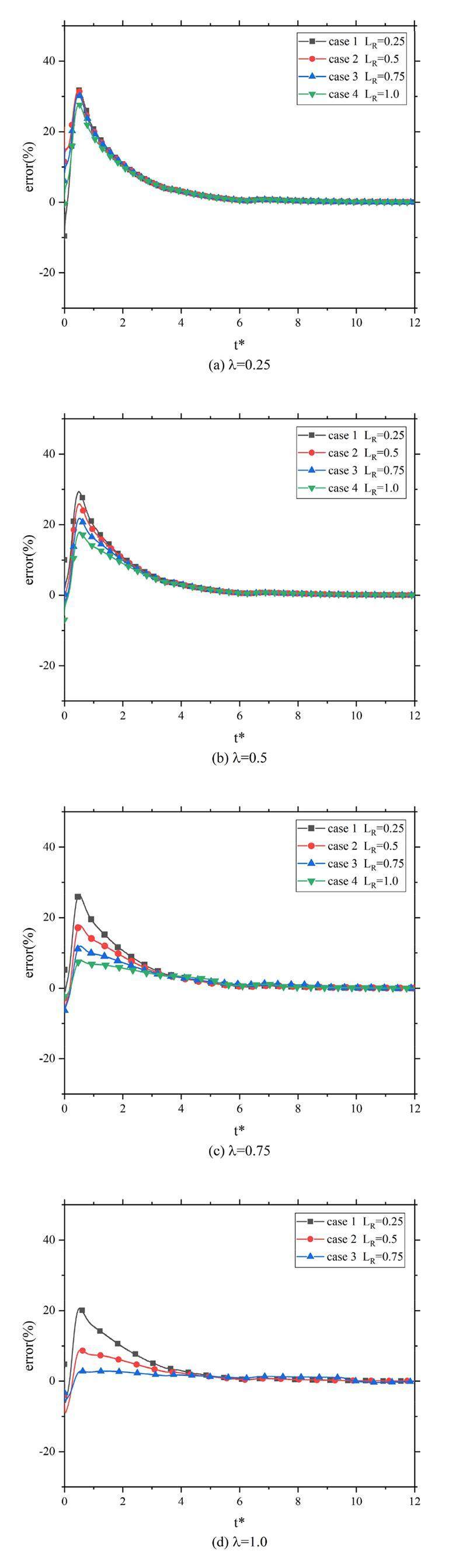
Figures 10 and 11 show the comparison of the transient deviation of the normalized mass flow rate. The dynamic deviation of the normalized mass flow rate is defined as
-202212/1001-8042-33-12-006/alternativeImage/1001-8042-33-12-006-F010.jpg)
-202212/1001-8042-33-12-006/alternativeImage/1001-8042-33-12-006-F011.jpg)
The normalized deviations in the temperature difference between the hot and cold sections are similar to those of the mass flow rate (Fig. 12 and 13). Correspondingly, under a fixed length ratio, a larger dilation number yields a smaller error than that of the mass flow rate under the same parameters.
-202212/1001-8042-33-12-006/alternativeImage/1001-8042-33-12-006-F012.jpg)
-202212/1001-8042-33-12-006/alternativeImage/1001-8042-33-12-006-F013.jpg)
In addition, a comparison of the error between the normalized mass flow rate and the normalized temperature difference between the hot and cold sections shows an evident phenomenon: if a small dilation number is selected, the difference between the dynamic error curves corresponding to different length ratios is very small (Fig. 11(a) and Fig. 13(a)). The same conclusion is obtained for the normalized mass flow rate and normalized temperature difference between the hot and cold sections. When the dilation number is gradually increased, this phenomenon disappears (Fig. 11(b-d) and Fig. 13(b-d)). These results are consistent with the previous analysis of Fig.11.
In the H2TS scaling analysis method, a series of criteria arrays was obtained by the dimensionless transformation of relevant control equations. In single-phase flow, this mainly includes the Richardson number, heat source number, and Stanton number. According to the scaling method, the theoretical ratios are all 1, and the specific scaling criteria are derived from these criteria. Therefore, in the H2TS method, the Richardson number, heat source number, and Stanton number are decisive criterion numbers. However, in the DSS method, the control equation of the system is treated using the entire method, by which the similarity criteria are obtained. This differs from the H2TS method.
To facilitate comparison with the traditional scaling analysis method, the relevant criterion numbers are defined as follows:
Equations (41)-(43) represent the Richardson, heat source, and Stanton numbers, respectively. Notably, for the Richardson and Stanton numbers, their theoretical values are not 1 but will change with the length ratio and dilation number. The final scaling criteria were not determined based on their proportions. Therefore, in the DSS method, the Richardson number and Stanton number are considered non-decisive criterion numbers. The theoretical ratios of the criterion numbers for the different scaled-down cases are listed in Table 3. Here, the theoretical ratio of the heat source number is 1 for all scaled-down cases, whereas the Richardson number and Stanton number follow their respective ratios.
| 0.25 | 0.25 | 4.000 | 1 | 1024.000 |
| 0.5 | 2.000 | 1 | 73.517 | |
| 0.75 | 1.333 | 1 | 15.748 | |
| 1 | 1.000 | 1 | 5.278 | |
| 1.25 | 0.800 | 1 | 2.261 | |
| 1.5 | 0.667 | 1 | 1.131 | |
| 1.75 | 0.571 | 1 | 0.629 | |
| 0.5 | 0.25 | 4.000 | 1 | 445.722 |
| 0.5 | 2.000 | 1 | 32.000 | |
| 0.75 | 1.333 | 1 | 6.855 | |
| 1 | 1.000 | 1 | 2.297 | |
| 1.25 | 0.800 | 1 | 0.984 | |
| 0.75 | 0.25 | 4.000 | 1 | 274.002 |
| 0.5 | 2.000 | 1 | 19.672 | |
| 0.75 | 1.333 | 1 | 4.214 | |
| 1 | 1.000 | 1 | 1.412 | |
| 1.0 | 0.25 | 4.000 | 1 | 194.012 |
| 0.5 | 2.000 | 1 | 13.929 | |
| 0.75 | 1.333 | 1 | 2.984 |
Figures 14, 15 and 16 show the steady-state errors of the criterion numbers for each scaled-down case when the loop reached the second steady state. The error in the Richardson number is shown in Fig. 14. In all the cases, the static deviation is within ±15%. The deviation in the Stanton number is smaller, as shown in Fig. 15. All scaled-down cases are controlled within ±7%. It is easy to explain from Eq. (41) and Eq. (43) that the error sources of the Richardson number and Stanton number are the deviation of the flow velocity and temperature difference between the hot and cold sections. An error analysis of multiple groups of independent variables reveals that the error of the Richardson number should be slightly larger. As shown in Fig. 16, the variation in the heat source number is very small compared to the first two criterion numbers, within ±0.5%. This is because the number of heat sources, as a decisive parameter, is obtained during the derivation of the scaling criterion of the DSS method, and its theoretical ratio is always 1. The Richardson and Stanton numbers are composed of other criterion numbers. The error in the criterion number varies with the error of the independent variable. In addition, for each length scale that has been determined, there is a corresponding dilation number, making the steady-state heat source number of the scaled-down cases the same as that in the prototype case.
-202212/1001-8042-33-12-006/alternativeImage/1001-8042-33-12-006-F014.jpg)
-202212/1001-8042-33-12-006/alternativeImage/1001-8042-33-12-006-F015.jpg)
-202212/1001-8042-33-12-006/alternativeImage/1001-8042-33-12-006-F016.jpg)
Conclusion
Based on the dilation transformation in the DSS method, the corresponding scaling criteria are deduced, and the two-parameter dilation scaling criteria array is obtained by considering the two parameters of the length scaling ratio and dilation number as the independent variables. Two-parameter scaled-down cases were constructed, and the natural circulation transient process was calculated using the Relap5 code. The static and dynamic deviations associated with the natural circulation flow parameters were evaluated, and the following conclusions were drawn.
(1) The scaling criterion obtained using the dilation transformation method can be used to effectively simulate single-phase natural circulation in a rectangular loop. The DSS method considers the distortion of the process time in the dynamic process simulation of the scaled-down model and can evaluate the dynamic process. In addition, the error in the static parameters of natural circulation is small.
(2) All scaled-down models based on two parameters, length scaling and dilation number, can simulate the variation trends of the mass flow rate and temperature difference under the prototype case. When the length ratio is fixed, the results obtained with the scaled-down cases are closer to those of the prototype case with an increase in the dilation number. When the dilation number is fixed, the scaled-down model case conform to the prototype case with an increase in the length ratio. Considering the factors of the two parameters, selecting a moderate length ratio and slightly larger dilation number can make the scaled-down model fit the prototype more closely. In the case of the same combination of dilation number and length ratio, the deviation of the temperature difference is smaller than that of the mass flow rate.
(3) Overall, the static deviations of the Richardson number, Stanton number, and heat source number can be maintained within a reasonable range. Because the Richardson and Stanton numbers are non-decisive criterion numbers, the corresponding errors are significantly greater than that obtained when the heat source number is used as the decisive criterion number.
The above conclusions were obtained by analyzing the natural circulation of a simple rectangular loop using the dilation criterion of the DSS dynamical scaling method. To facilitate modeling, calculation, and analysis, ideal simplifications were made when the model was built using Relap5. Non-ideal cases such as pipe heat loss, wall thickness error, and two-parameter flow of fluid in the pipes need to be considered during the construction of the scaled model test bench. Additionally, there are other scaling criteria for the DSS method. It is especially noted that the
Westinghouse AP1000 advanced passive plant
. Nucl. Eng. Des. 236(14/16), 1547-1557 (2006). doi: 10.1016/j.nucengdes.2006.03.049Analyses of ACME integral test results on CAP1400 small-break loss of-coolant-accident transient
. Prog. Nucl. Energ. 88, 375-397 (2016). doi: 10.1016/j.pnucene.2016.01.012HPR1000 - Advanced pressurised water reactor with active and passive safety
. Engineering 2(1), 79-87 (2016). doi: 10.1016/J.ENG.2016.01.017Simulated AP1000 response to design basis small-break loca events in APEX-1000 test facility
. Nucl. Eng. Technol. 39(4), 287-298 (2007). doi: 10.5516/NET.2007.39.4.287Integral effect test and code analysis on the cooling performance of the PAFS (passive auxiliary feedwater system) during an FLB (feedwater line break) accident
. Nucl. Eng. Des. 275, 249-263 (2014). doi: 10.1016/j.nucengdes.2014.05.023Summary of ROSA-IV LSTF first-phase test program — Integral simulation of PWR small-break LOCAs and transients
. Nucl. Eng. Des. 131(1), 101-111 (1991). doi: 10.1016/0029-5493(91)90320-HSystematic and exact scaling analysis of the single-phase natural circulation flow: The hydraulic similarity
. Prog. Nucl. Energ. 89, 78-87 (2016). doi: 10.1016/j.pnucene.2016.02.001Research on scaling design and applicability evaluation of integral thermal-hydraulic test facilities: A review
. Ann. Nucl. Energy 131, 273-290 (2019). doi: 10.1016/j.anucene.2019.03.042Scaling-modeling for small break LOCA test facilities
. Nucl. Eng. Des. 122(1-3), 175-194. (1990). doi: 10.1016/0029-5493(90)90205-CScaling laws for modeling nuclear reactor systems
. Nucl. Sci. Eng. 72, 75-83 (1979). doi: 10.13182/NSE79-A19310Scaling laws for thermal-hydraulic system under single phase and two-phase natural circulation
. Nucl. Eng. Des. 81(3), 411-425 (1984). doi: 10.1016/0029-5493(84)90287-5The three-level scaling approach with application to the Purdue University Multi-Dimensional Integral Test Assembly (PUMA)
. Nucl. Eng. Des. 186(1-2), 177-211 (1998). doi: 10.1016/S0029-5493(98)00222-2Scaling analysis for the OSU AP600 test facility (APEX)
. Nucl. Eng. Des. 186(1-2), 53-109 (1998). doi: 10.1016/S0029-5493(98)00218-0An integrated structure and scaling methodology for severe accident technical issue resolution: Development of methodology
. Nucl. Eng. Des. 186(1-2), 1-21 (1998). doi: 10.1016/S0029-5493(98)00215-5of simplicity and of scaling in thermal-hydraulics
. Nucl. Eng. Des. 204(1/3), 1-27 (2001). doi: 10.1016/S0029-5493(00)00324-1Application of fractional scaling analysis (FSA) to loss of coolant accidents (LOCA)
. Nucl. Eng. Des. 237(15-17), 1593-1607 (2007). doi: 10.1016/j.nucengdes.2007.01.017Startup transient simulation for natural circulation boiling water reactors in PUMA facility
. Nucl. Eng. Des. 236(22), 2365-2375 (2006). doi: 10.1016/j.nucengdes.2005.11.002Study of startup transients and power ramping of natural circulation boiling systems
. Nucl. Eng. Des. 239(6), 1076-1083 (2009). doi: 10.1016/j.nucengdes.2009.01.002Start-up transient test simulation with and without void-reactivity feedback for a two-phase natural circulation reactor
. Nucl. Eng. Des. 265, 1131-1147 (2013). doi: 10.1016/j.nucengdes.2013.08.069Dynamic response of a single-phase rectangular natural circulation loop to different excitations of input power
. Int. J. Heat. Mass. Tran. 65, 131-142 (2013). doi: 10.1016/j.ijheatmasstransfer.2013.06.006The dynamical system scaling methodology
. Proc. 16th Int. Topl. Mtg. Nuclear Reactor Thermal Hydraulics (NURETH-16) (2015).Dynamic characteristics and scaling distortion of gravity-driven draining process in Core Makeup Tank
. Ann. Nucl. Energy 151(4), 107963 (2021). doi: 10.1016/j.anucene.2020.107963DSS application on single-phase natural circulation in a simple rectangular loop
. Ann. Nucl. Energy 119, 214-228 (2018). doi: 10.1016/j.anucene.2018.05.004Constant thermodynamic speed for minimizing entropy production in thermodynamic processes and simulated annealing
. Phys. Rev. E 50, 4346 (1994). doi: 10.1103/PhysRevE.50.4346Thermodynamic Length, Time, Speed and Optimum Path to Minimize Entropy Production
. J. Chem. Phys. 105(24), 11220-11225. (1996). doi: 10.1063/1.472897

