I. INTRODUCTION
Radiation therapy is a common therapeutic modalitiy for thoracic malignancies such as lung, esophagus and breast cancers. However, large doses of ionizing radiation may induce acute pulmonary inflammation and subsequently pulmonary fibrosis, which causes a low quality of life of the patients [1, 2]. Radiation pneumonia may occur in two weeks after the initiation of radiation therapy, thus interrupting the radiation treatment. Several months after radiation therapy, excessive fibrotic tissues may replace the inflammatory lung parenchyma and suppress the oxygen diffusion capacity. Currently, there are rarely effective clinical methods to treat radiation-induced injuries to a patient lung. Commonly, radiation pneumonia is treated with glucocorticoids, Ami Fording, antibiotics, auxiliary γ interferon, bronchodilator agents etc. Chinese medicine can also be applied, but there is not determinate efficacy for the late pulmonary fibrosis.
Gelsolin (GSN), a calcium-dependent actin filament severing and capping protein, is an actin-binding protein of particularly high abundance [3, 4, 5]. GSN is composed of six structurally homologous domains of 120–130 amino acids, designated (from the N-terminus) as G1–G6 where three different actin binding domains distributed. GSN can be modeled as two halves (the N-terminal S1–S3 and the C-terminal S4–S6) separated by a 70 amino acid linker sequence. The linker can be cleaved by some proteases [3, 5]. Actin is the fundamental component of cytoskeleton and can be released into circulation by cellular injury. Circulating actin can interfere with the microcirculation of the lungs and may be directly toxic to pulmonary endothelium. Studies have revealed that plasma GSN participates in the clearance of actin from the circulation, and lower level GSN is found in many tissue damages, such as sepsis, acute lung injury, end stage renal disease, and bronchopulmonary dysplasia of prematurity [6, 7, 8, 9, 10]. Goetzl et al. [11] and Osbom et al. [12] reported an important function that GSN might inhibit the inflammatory response. They found that the binding of bioactive inflammatory mediators such as platelet-activating factor (PAF) and lysophosphatidic acid (LPA) to GSN attenuated their deleterious effects. PAF and LPA are important mediators of recruiting acute inflammatory cells to sites of injury. The administration of recombinant GSN significantly restrained the inflammatory responses and immune reactions, and thus reduces mortality of the animals [7, 9, 13].
Ionizing radiations induce injuries in the epithelial and endothelial cells in the lung, and recruits circulating neutrophils into the injuring sites. Alveolar macrophages could be activated to release toxic products to exacerbates inflammatory and oxidative injuries [6, 13, 14]. GSN deficiency causes increased pulmonary vascular permeability, and exhibits delayed pulmonary neutrophils migration into the lungs upon injury [14, 15, 16, 17]. GSN is released by lung epithelial cells into airways, while the mRNA and protein levels of GSN could be increased by interleukin-4 in vitro in lung samples of patients with idiopathic interstitial pneumonia [16, 18]. GSN contributes to the maintenance of vascular barrier function in the lungs and repletion of GSN can partially abrogate the resultant exudative response in the injury lung [13, 15, 17].
To evaluate the roles of GSN in radiation-induced lung injury, GSN antibody was administrated to Balb/c mice 0.5 hour before thoracic irradiation. The parameters of lung inflammatory responses and pulmonary vascular permeability were assessed. Our data revealed that pretreatment of GSN antibody aggravates radiation-induced pneumonitis, suggesting a radioprotective role of GSN in radiation-induced lung injury.
II. MATERIALS AND METHODS
A. Animals
Eight-week-old female Balb/c mice (Silaike Experimental Animal, China) were maintained in a laboratory animal facility with temperature and relative humidity maintained at (23±2) ℃ and (50 ± 20) %, respectively. All mice were given a standard chow diet and water ad libitum. All experimental procedures were in accordance with the guidelines provided by the Animal Ethical Committee of Soochow University.
Mice were divided into four groups: (1) the control group (control, n = 15), (2) the irradiation group (IR, n = 35), (3) the irradiation group pretreated with control IgG (IgG, n = 25), and (4) the irradiation group pretreated with GSN antibody (anti-GSN, n = 25).
B. Irradiation
The mice were anesthetized with 7% chloral hydrate (3.5 ml kg-1) via intraperitoneal injection. A single irradiation dose of 20 Gy (160 kV, 1.15 Gy/min) was delivered to the whole thorax using RS 2000Pro Biological Research Irradiator (Rad Source Technologies, Suwanee, GA, USA). Non-irradiated parts of the mice were shielded with 2 cm thick lead.
C. Treatment of GSN antibody
The GSN antibody and control IgG were friendly supplied by Department of Immunology of Soochow University. The GSN antibody used in the study was multiclonal antibody. Half an hour before the 20 Gy thoracic irradiation, mice were injected with 50 μg GSN antibodies, or IgG as control, through the tail vein.
D. Measurement of GSN levels
The mice were sacrificed 6; 12; 24; 48; 72; 96; 120 hours after irradiation. Serum samples were collected and stored at -80 ℃ until use. Bronchoalveolar lavage (BAL) of the lungs was performed by lavaging three times with 0.5 mL phosphate-buffered saline (PBS) containing protease inhibitors. Recovery of fluid exceeded 90%. The lavage fluid was spun at 1500 rpm for 10 min and the supernatant were stored at -80 ℃. The levels of GSN in plasma and BAL fluid were measured by ELISA kit (Yuan Ye Biotechnology, China).
E. RT-PCR
Total RNA was extracted from approximately 100 mg lung tissues using 1 mL of RNAiso reagent (TAKARA, Japan). RNA was precipitated with isopropanol and dissolved in diethyl pyrocarbonate-treated distilled water. cDNA was synthesized using M-MuLV reverse transcriptase (New England Biolabs, Ipswich, MA, USA) with oligo dT-adaptor primers. PCR was performed using Tag DNA polymerase (New England Biolabs) with the following primers: β-actin, sense: 5’-TGCGTGACATTAAGGAGAAG-3’, antisense: 5’-CTGCATCCTGTCGGCAATG-3’; GSN, sense: 5’-AAAACTCGAGCCACCATGGCTCCGTACCGCTCTTC-3’, antisense: 5’-AAAATCTAGATCAGGCAGCCAGCTCAGC-3’.
F. Assessment of lung damage
After centrifuge of the BAL fluid, the cell pellets were resuspended in 1 mL PBS and stained with Wright’s-Giemsa staining solution. The absolute numbers of leukocytes in BAL fluid were counted using hemocytometer. Protein concentration of BAL fluid was measured using BCA protein assay kit (Beyotime, China).
One month after radiation treatment, lung tissues were removed and immediately fixed in 10% neutral-buffered formalin. The lungs were processed for conventional paraffin embedding, stained with hematoxylin-eosin (HE) and then evaluated under light microscopy.
G. Assessment of oxidative damage
Superoxide dismutase (SOD) activity and malondialdehyde (MDA) concentration were determined spectrophotometrically using their corresponding diagnostic reagent kits (Jiancheng Bioengineering, China) according to the manufacturer’s instructions.
H. Statistical analyses
All results are expressed as mean ± SD. Differences in GSN levels and lung injury parameters were determined using one way analysis of variance (ANOVA). p<0.05 was considered statistically significant.
III. RESULTS
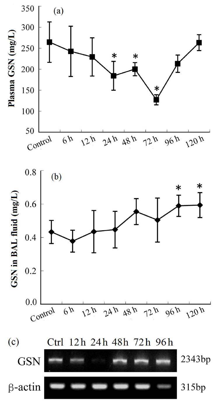
A. Thoracic irradiation alters the GSN levels in plasma and BAL fluid
Plasma samples and BAL fluid from the control and IR groups were collected for measuring GSN concentration. As shown in Fig. 1(a), GSN levels were significantly declined within 72 hours after irradiation, and gradually recovered to the basal levels after 120 hours. While GSN concentration in the BAL fluid increased slightly within 120 hours (Fig. 1(b)). GSN mRNA abundance declined significantly after irradiation, peaked at 24 hour, and then started to increase after 48 hours (Fig. 1(c)). Our previous data also showed the same time-dependent changes of GSN protein levels as the mRNA levels in the lung tissues [19]. These suggest GSN may involve in the pathogenesis of radiation-induced lung injury.
-201402/1001-8042-25-02-005/alternativeImage/1001-8042-25-02-005-F001.jpg)
B. Administration of GSN antibody exacerbates radiation-induced lung injury
GSN antibody was administrated to Balb/c mice by intravenous injection. Half an hour after the injection, the animals were irradiated to 20 Gy in the whole thorax. Histological examination of lung sections from mice 30 days after the irradiation revealed severe diffuse congestion, focal alveolar hemorrhage, thickening alveolar septa and infiltration of inflammatory cells (Fig. 2). The IgG group showed equivalent grade of lung injury with the IR group. In addition, mice injected with GSN antibody showed more vascular congestion, alveolar hemorrhage and leukocytes infiltration, compared with that of mice treated with control IgG.
-201402/1001-8042-25-02-005/alternativeImage/1001-8042-25-02-005-F002.jpg)
As shown in Fig. 3, protein concentrations in BAL fluid, which indicates pulmonary vascular permeability, increased after thoracic irradiation. Protein levels were peaked at 24 hour and decreased at 48 hour. However, pretreatment of GSN antibody greatly increased protein concentration in BAL fluid, and maintained high level at 48 hour. These indicate that pretreatment of GSN antibody is able to exacerbate radiation-induced lung injury.
-201402/1001-8042-25-02-005/alternativeImage/1001-8042-25-02-005-F003.jpg)
C. Pretreatment of GSN antibody increases leukocytes infiltration in irradiated lung
Figure 4 shows typical images of differential leukocytes count in BAL fluid of mice after 20 Gy thoracic irradiation. There were more leukocytes in irradiated mice injected with GSN antibody than the control (injected with IgG). The leukocyte numbers were quantified (Fig. 5). The results showed that IR treatment increased leukocyte infiltration in BAL fluid, with the leukocyte number in BAL fluid of the anti-GSN group 24 h after irradiation being three-fold higher than the control.
-201402/1001-8042-25-02-005/alternativeImage/1001-8042-25-02-005-F004.jpg)
-201402/1001-8042-25-02-005/alternativeImage/1001-8042-25-02-005-F005.jpg)
D. GSN antibody pretreatment aggravates oxidative damage induced by irradiation
Three days after thoracic irradiation, SOD activity and MDA concentration in plasma and BAL fluid were detected. As shown in Fig. 6, SOD activity in plasma decreased by 35% in irradiated mice injected with GSN antibody compared with the IgG control. However, there was no statistical significance of SOD activity in the BAL fluid. MDA concentration was about 1.5-fold higher in plasma and 1.9-fold higher in BAL fluid than that of the IgG control.
-201402/1001-8042-25-02-005/alternativeImage/1001-8042-25-02-005-F006.jpg)
IV. DISCUSSION
Radiation-induced lung injury, which is characterized by acute pulmonary inflammation and inreversible pulmonary fibrosis, has been considered as a major dose-limit factors for radiation therapy of thoracic malignancies [1, 2]. The roles of GSN in radiation-induced pneumonitis were investigated. Mice pretreated with GSN antibody were subjected to 20 Gy thoracic irradiation. The GSN levels in plasma significantly declined and gradually recovered to the basal levels 120 hours after irradiation. GSN concentration in BAL fluid slightly increased within 120 hours. While GSN mRNA in lung tissues declined significantly, peaked at 24 hour, and then started to increase. The time-dependent changes of GSN protein levels in lung tissues were the same as the mRNA levels [19]. The changes of GSN levels indicated that GSN may play a critical important role in the radiation-induced lung injury. Our data revealed deteriorative effects of GSN antibody on radiation-induced lung inflammation, suggesting GSN may protect mice against radiation-induced lung injury.
GSN is widely distributed in mammalian and non-mammalian animals and the effects of GSN are rapid, stoichiometric, and highly efficient. There are evidences that GSN may lead to new considerations of this protein as a potential biomarker and/or therapeutic target [3, 4, 5]. Studies also revealed that GSN binds circulating actin and inflammatory mediators could prevent damage in diverse states of acute insults, such as hepatic failure, trauma, myonecrosis and sepsis [7, 8, 9, 20, 21]. GSN might be cleaved by proteases involved in epithelial remodeling that are expressed in airways which have been found increased in the lungs in inflammatory lung diseases, including radiation-induced lung injury [5, 16, 18]. Our results showed the time-dependent changes in the levels of GSN in plasma, BAL fluid and lung tissues in the mice after thoracic irradiation. It was reported that GSN exhibited strong positive staining within areas of the epithelium of bronchial and alveolar, and could be released by epithelial cells into the airways [5, 16, 18]. Therefore, it is hypothesized that GSN involved in the pathogenesis of radiation-induced lung injury of mice.
In the present study, GSN antibody was treated to mice before thoracic irradiation to suppress the functionality of GSN. Histological examination displayed aggravated radiation-induced lung injury in the mice pretreated with GSN antibody. Accordingly, it revealed the deteriorative effects of GSN antibody on pulmonary vascular permeability, inflammatory cell recruitment and oxidative stress.
Thoracic irradiation may cause cellular damage and the following release of intracellular actin in the early time. The increased levels of circulating actin were considered as a harmful factor for microcirculation. As an actin-scavenging protein, GSN could counteract actin toxicity when actin is released into the extracellular space. The plasma levels of GSN were significantly decreased after 72 hours post-irradiation in mice, suggesting the clearance of circulating actin by plasma GSN. To some extent, the degree of plasma GSN depletion should reflect the degree of lung injury. The intravenous infusion of GSN prevented burn-induced pulmonary microvascular dysfunction [17]. Administration of recombinant human GSN can diminish the acute inflammatory response of hyperoxic lung injury [13]. So GSN levels maybe provide early evidence of evolving lung injury and an innovative diagnostic modality for acute lung injury. In the late period, due to high expression of GSN, large amounts of GSN were secreted into micro-circulation from tissues and cells or peripheral GSN consumption reduced, thus plasma GSN levels quickly recovered to the normal.
There was a large number of leukocytes infiltration in the lungs of mice within 48 hours after thoracic irradiation. The leukocyte number in BAL fluid 24 h after irradiation of the mice treated with GSN antibody were three-fold higher than that of the IgG-treated mice. GSN antibody injection resulted in significantly increased leukocytes infiltration. GSN is able to bind and inhibit bioactive inflammatory mediators, thus attenuate the inflammatory response. On the other hand, GSN deficiency not only contributed to impaired cytoskeletal rearrangement, but also resulted in the development of increased pulmonary vascular permeability [5, 15]. Through cytospin preparations and histological examination, significantly more leukocytes were observed in irradiated mice injected with anti-GSN antibody compared with injection with control IgG.
Radiation results in the production of free oxygen radicals that likely contribute to subtle but critical cell injury in the lung very early after thoracic exposure [22]. From a structural point of view, GSN has some antioxidant potential [3, 5]. SOD activity and MDA concentration in plasma and BAL fluid were detected at three days after thoracic irradiation. These data showed more oxidative damage in the mice pretreated with GSN antibody, indicating GSN may play an important role in the scavenging free oxygen radicals induced by thoracic irradiation.
V. CONCLUSION
The role of GSN in radiation-induced lung injury was investigated in Balb/c mice. The GSN levels in plasma, BAL fluid and lung tissues could be altered by thoracic irradiation. Pretreatment of GSN antibody aggravates radiation-induced pneumonitis, evidenced by increased lung inflammation, vascular permeability and infiltration of leukocytes. GSN antibody also induced more oxidative damage induced by ionizing radiation. Thus, it is concluded that GSN may serve a protective role against radiation-induced lung injury under some circumstances.


