1 Introduction
Although protons have a low linear energy transfer (LET) in silicon, they are the most abundant and significant component in the environment of space [1-3]. High-energy protons can interact with atoms to produce secondary particles and induce single-event effects (SEEs) in electronic systems. However, a lower critical charge enables low-energy protons to deposit enough charges to cause effects. Therefore, potential advanced nanoscale electronic systems must be evaluated for their sensitivity to proton-induced SEEs. For this reason, SEEs induced by protons of various energies have been studied continuously in recent years [4-7].
To evaluate the SEE sensitivity of electronic systems, irradiation tests should ideally be performed in space. However, owing to limitations caused by multiple factors, it is difficult to run irradiation tests on advanced electronic systems in space. Terrestrial accelerator irradiation tests make these evaluations easier and more convenient. The National Innovation Center of Radiation Application built the first 100 MeV proton cyclotron irradiation terminal at the China Institute of Atomic Energy (CIAE) and produced an intermediate-energy proton beam in 2017 [8], which gives Chinese researchers more opportunities to conduct proton SEE tests in China.
The SEE susceptibility of the Xilinx Zynq-7000 28 nm system-on-chip (SoC) has been studied using various particles [9-16]. In particular, 28 nm SoCs were tested for proton-induced SEEs [12-16]. As reported in [12], SEE events caused by low-energy protons were studied in various blocks, and the SEE sensitivities of the blocks were compared. As reported in [13], single-event latch-ups (SELs) and the total dose effect of an SoC were examined using 105 MeV protons and no SEL events were detected; further, the tolerance dose was considered to be greater than 10 krad. As reported in [14], the SEE cross sections for the configuration memory and L2 cache were measured using protons with energies ranging from 50 MeV to 250 MeV. As reported in [15], a 28 nm SoC processor sub-system that was irradiated with 64 MeV protons hanged at 5 failure-in-time (FIT) and had silent data corruptions below 15 FIT. As reported in [16], the on-chip memory (OCM) of a 28 nm SoC was irradiated with 18 MeV protons and only single-bit upset (SBU) events were discovered. The purpose of this work is to complement the studies mentioned above for a 28 nm SoC, because not enough medium-energy proton tests on the OCM of the SoC have been provided.
In this work, a 28 nm SoC was irradiated with 90 MeV and 70 MeV protons at the latest running 100 MeV proton irradiation terminal based at the CIAE, and the SEE sensitivity of the 28 nm SoC was examined.
2 Proton Irradiation Experiment
2.1 Proton irradiation setup
The protons were produced by a cyclotron accelerator and adjusted by a quadrupole magnet, slit, and scatter rings before reaching the terminal. The proton irradiation terminal at the CIAE is shown in Fig.1. At this terminal, the proton beam was processed by a depletion film and collimator to hit the device under test (DUT). The DUTs were mounted on a sample holder, which was movable. During the experiments, various areas of the DUT were irradiated by moving the sample holder without fluctuating the beam spot. The beam spot size ranged from 1 cm × 1 cm to 10 cm × 10 cm. The flux of the proton beam could be adjusted from 105 p·cm-2·s-1 to 1012 p·cm-2·s-1 [8].
-201910/1001-8042-30-10-007/alternativeImage/1001-8042-30-10-007-F001.jpg)
As Fig.2 shows, the host computer communicated with the DUT via a universal asynchronous receiver/transmitter interface and programmable power was supplied to the DUT through a Bayonet Neill–Concelman cable. The power was kept at 5 V and monitored for possible SELs. The experiments were performed at room temperature and the chip temperatures were also recorded in real-time by an integrated temperature sensor.
-201910/1001-8042-30-10-007/alternativeImage/1001-8042-30-10-007-F002.jpg)
2.2 Single-event effect test
The DUT was a Xilinx Zynq-7000 28 nm SoC [17] and the OCM block was tested in the experiments. The basic structure of the OCM was comprised of 6 transistors and the area of one cell was about 650 nm × 250 nm. The size of the chip was about 1.8 cm × 1.8 cm, and the entire chip was irradiated during the tests. Two boards were mounted on the sample holder. One was irradiated with 90 MeV protons and the other with 70 MeV protons.
For the OCM test, 64 kB of data was tested dynamically. The test pattern data, 0xA5A5A5A5, was written into the addresses and read back continuously. The SoC compared the read-back data with the expected data to detect single-event upset (SEU) occurrences. Once an event occurred, the information, including the failure addresses and upset bits, was recorded in text files and displayed on the HyperTerminal simultaneously.
For the 90 MeV proton irradiation, the flux was about 1.3 × 108 p·cm-2·s-1, and the flux for the 70 MeV proton irradiation was about 2.3 × 108 p·cm-2·s-1. The cumulative fluence was 1.0 × 1011 p·cm-2 for both irradiation energies.
3 Results and Discussions
3.1 Irradiation results
Both SEU and single-event functional interruption (SEFI) events were detected in the two irradiation tests, and no SELs were captured. There was no obvious drift in the chip’s currents and temperatures during the irradiation. In the 90 MeV test, 143 SEU and 7 SEFI events were detected. In the 70 MeV test, 118 SEU and 6 SEFI events were detected. The SEU events consisted of SBUs and multi-cell upsets (MCUs).
The results of the 90 MeV test are shown in Table I, including SBUs, 2-cell upsets, 3-cell upsets, 4-cell upsets, 5-cell upsets, and the uppermost 9-cell upsets. SBUs and 2-cell upsets dominate the results. Although 4-cells upsets, 5-cell upsets, and 9-cell upsets were discovered only once, this indeed demonstrates that the 28 nm SoC is very sensitive. In terms of the SBUs in the 90 MeV test, the ratios of 0→1 upset and 1→0 upset were 52.9% and 47.1%, respectively. For the 2-cell upset events, the ratios of 0→1 upset and 1→0 upset were 44.4% and 55.6%, respectively. These phenomena indicate that the probabilities of 0→1 upset and 1→0 upset were similar for the unhardened SoC.
| Single-bitupset | 2-cell upset | 3-cell upset | 4-cellupset | 5-cell upset | 9-cell upset | |
|---|---|---|---|---|---|---|
| Total | 102 | 27 | 11 | 1 | 1 | 1 |
| 0→1 | 54 | 12 | 4 | 0 | 1 | 1 |
| 1→0 | 48 | 15 | 7 | 1 | 0 | 0 |
The results of the 70 MeV test are presented in Table II. Similar to the results of the 90 MeV test, the majority of the events were SBUs and 2-cell upsets, with an uppermost number of 4 upset cells. It can be seen that the proportions of 0→1 upset and 1→0 upset were 52.2% and 47.8% respectively for SBUs and 55.6% and 44.4% respectively for 2-cell upsets. This verifies that the probabilities of 0→1 upset and 1→0 upset were again similar for the unhardened SoC. These results are consistent with the non-hardened 6-transistor memory irradiation test reported in [18].
| Single-bit upset | 2-cell upset | 3-cell upset | 4-cell upset | |
|---|---|---|---|---|
| Total | 88 | 18 | 8 | 3 |
| 0→1 | 46 | 10 | 4 | 1 |
| 1→0 | 42 | 8 | 4 | 2 |
The SEU bit cross section can be obtained from Eq.(1), where σis the cross section in cm2·bit-1, n is the upset number, Ф is the cumulative fluence in cm-2, and Nbit is the total number of tested bits. The device cross section can be calculated without Nbit in Eq.(1) and in cm2.
For the 90 MeV and 70 MeV proton irradiation tests, the device cross sections of the SBUs were 1.02 × 10-9 cm2 and 0.88 × 10-9 cm2, respectively. Moreover, the bit cross sections were (1.95 ± 0.39) × 10-15 cm2·bit-1 and (1.67 ± 0.37) × 10-15 cm2·bit-1, respectively.
In the experiments, the striking energies of the protons were 90 MeV and 70 MeV, and their effects depended more on the secondary particles depositing energy; because the proton energies and their mechanisms were similar, their cross sections were therefore also similar.
As reported in [16], an OCM was tested with 18 MeV protons and no other effects were detected except for SBU events. However, in our work, the detected events contained several types, including SBU, MCU, and SEFI. The SBU cross section reported in [16] is about 8.0×10-15 cm2·bit-1. There are some discrepancies with our results, although they are of the same orders of magnitude. The equivalent LETs and the 50% and 90% critical radii for protons of differing energies in silicon have been simulated by Geant4 [19]. When compared with 18 MeV protons, the equivalent LETs for 70 MeV and 90 MeV protons are larger and the 50% and 90% critical radii are longer. This illustrates that it is possible for 70 MeV and 90 MeV protons to induce MCU events. For 70 MeV and 90 MeV protons, these parameters are approximate, and that is why the SBU cross sections of the 70 MeV and 90 MeV protons are similar.
The cross sections of the 2-cell upsets and MCUs are shown in Fig.3. For 2-cell upsets and 3-cell upsets, the cross sections of the 90 MeV and 70 MeV protons are similar. For 4-cell upsets, 5-cell upsets, and even 9-cell upsets, there is a difference between the 90 MeV and 70 MeV protons owing to the occurrence of very few upset numbers. Additionally, the SEFI cross sections of the 90 MeV and 70 MeV proton tests were calculated and were approximately 7 × 10-11 cm2 and 6 × 10-11 cm2, respectively.
-201910/1001-8042-30-10-007/alternativeImage/1001-8042-30-10-007-F003.jpg)
Consequently, we can make the preliminary conclusion that the effects of 90 MeV and 70 MeV protons on a 28 nm SoC are similar.
3.2 Simulation results
To analyze the experimental results further, Cosmic Ray Effects on Micro-Electronics Monte Carlo (CRÈME-MC) simulations were performed [20, 21]. For the CRÈME-MC simulations, a vertical sketch of the chip was created based on reverse engineering and extracted information. The thicknesses of the layers are listed in Fig.4. The size of the module was 0.7 µm × 0.3 µm × 19.78 µm, and the number of incident particles was 107. The sensitive volume was 160 nm × 160 nm × 160 nm and the critical charge was 0.18 fC.
-201910/1001-8042-30-10-007/alternativeImage/1001-8042-30-10-007-F004.jpg)
As Fig.5 shows, the cross-section results of the CRÈME-MC simulations for the 90 MeV and 70 MeV protons were 1.68 × 10-15 cm2·bit-1 and 1.41 × 10-15 cm2·bit-1, respectively. Compared with the SBU cross sections obtained from the experiment, the CRÈME-MC simulations reported in this paper are convincing. However, the simulations demonstrate the trend that the cross sections of lower energies were higher than those of higher energies by 4-5 orders of magnitude. Further, the peak values were obtained at 2 MeV. Effects could be observed only when the proton energies were greater than 1.4 MeV. For 1.4 MeV protons, the effects were caused by direct ionization, the corresponding LET was 0.142 MeV·cm²·mg-1, and the range in silicon was 27.22 µm [22].
-201910/1001-8042-30-10-007/alternativeImage/1001-8042-30-10-007-F005.jpg)
3.3 Results discussion
The numbers of SEEs for the 90 MeV and 70 MeV proton tests were 150 and 124, respectively. These numbers are low when compared with the number of tested bits, which was 524288. The deviations of the tests can be obtained by Eq.(2). In this formula, α is the significance level,
The cumulative dose can be calculated from the SEE test with an accuracy of ±10% by Eq.(3), where D is the deposited dose in rad, Ф is the fluence in cm-2, and LET is expressed in MeV·cm2·mg-1 [24]. In the test, Ф was 1011 p·cm-2 and the LETs of the 90 MeV and 70 MeV protons were 0.00632 MeV·cm2·mg-1 and 0.0076 MeV·cm2·mg-1, respectively. The total doses were 10.11 krad and 12.16 krad, respectively. These results indicate that the tolerance dose for the device was possibly higher. This is in agreement with the results reported in [13]. The current range during the test was 0.35-0.37 A for the two boards without spiking.
As shown in Fig.5, the CRÈME-MC simulation results are consistent with the experimental results. Moreover, the 18 MeV proton SBU cross section based on the CRÈME-MC simulation was about 6.5 × 10-15 cm2·bit-1, which is also consistent with the results reported in [16]. This demonstrates that the constructed CRÈME-MC module shown in Fig.4, including a module size of 0.7 µm × 0.3 µm × 19.78 µm based on the extracted vertical structure, a sensitive volume of 160 nm × 160 nm × 160 nm, and a critical charge of 0.18 fC, can be used to preliminarily simulate the SEE sensitivity of the SoC and that the results can be analyzed further.
Fig.5 shows that the cross sections of lower energies (<4 MeV) were higher than those of higher energies (>10 MeV) by 4-5 orders of magnitude. This implies that factors from nuclear reaction to direct ionization cause upset in a 28 nm SoC. As reported in [25], proton-induced SEEs in a 90 nm static random-access memory (SRAM) were analyzed. In [26], the proton SEE data for a 65 nm SRAM were presented. As Fig.6 shows, the SEE cross sections of low-energy protons are higher than those of high-energy protons by multiple orders of magnitudes. As the technology scales down, the peak cross section moves in the higher-energy direction: 0.7 MeV for a 90 nm SRAM [25], 1.2 MeV for a 65 nm SRAM [26], and 2 MeV for a 28 nm SRAM. The reason behind this observation is that as the thickness of the passive layer increases, higher energies are stopped. Specifically, the thickness of the passive layer is less than 5 µm for the 90 nm SRAM reported in [25], about 5 µm for the 65 nm SRAM reported in [26], and more than 10 µm for the 28 nm SRAM in this work. Moreover, in silicon, the energy at which proton inelastic scattering reactions begin is about 3 MeV. A cross section valley may appear in the interval between the energy of the peak SEU cross section and 3-4 MeV (the reaction cross section is very small at the beginning). As shown in Fig.6, for a 90 nm SRAM, a cross section valley appears at approximately 4 MeV. As the size of the manufactured technology decreases, the energy of the peak cross section shifts to the right, the critical charge decreases, and there is no cross section valley for smaller-scale SRAM. In a 28 nm SRAM, direct ionization causes effects at low energies. The energy interval for direct ionization is slightly wide owing to its low critical charge. This can lead to a direct cross-over of the interval in which there is a low probability of reaction. The consequence of this is that there will no longer be a cross section valley for the 28 nm SRAM.
-201910/1001-8042-30-10-007/alternativeImage/1001-8042-30-10-007-F006.jpg)
To analyze the similarities of the effects of the 90 MeV and 70 MeV protons, and to further explain the differences between this work and that reported in [16], a Geant4 simulation of protons striking silicon was performed [27, 28]. In the simulation, the size of the silicon detector was 7 µm × 3 µm × 20 µm, and the particle number was 5 × 106. Because the effects of medium-energy protons are mainly produced by nuclear reactions, the secondary charged heavy ions from the nuclear reactions were analyzed for 18 MeV, 70 MeV, and 90 MeV protons, respectively.
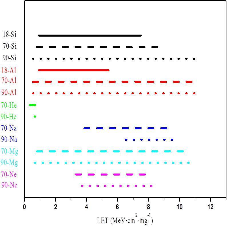
Table III lists the majority of the secondary charged heavy ions from the 18 MeV, 70 MeV, and 90 MeV protons hitting the silicon detector. It can be seen that 28Si and 27Al are the major secondary particles from the 18 MeV protons, and 4He, 23Na, 24Mg, 27Al, 27Si, and 20Ne are the main secondary particles from the 70 MeV and 90 MeV protons. The secondary particles from the 70 MeV and 90 MeV protons are obviously more numerous in type than those from the 18 MeV protons. The LET intervals of the secondary particles from the 70 MeV and 90 MeV protons can be much broader than those of the secondary particles from the 18 MeV protons. This can lead to a difference in the observed effects between the 70 MeV and 90 MeV protons and 18 MeV protons.
| Proton energy (MeV) | 18 | 70/90 | ||||||
|---|---|---|---|---|---|---|---|---|
| Secondary particle | 28Si | 27Al | 4He | 23Na | 24Mg | 27Al | 27Si | 20Ne |
The LET intervals of the various particles are depicted in Fig.7 in which, for example, 18-Si means that Si is the secondary particle from an 18 MeV proton interacting with silicon, and the other annotations have similar meanings. As shown in Fig.7, except for Si, the LETs of the other particles from the 90 MeV and 70 MeV protons are similar, and this can explain why the effects of the 90 MeV and 70 MeV protons are similar but their uppermost numbers of upset cells are different.
-201910/1001-8042-30-10-007/alternativeImage/1001-8042-30-10-007-F007.jpg)
Similar to Fig.7, the ranges of the intervals in silicon for the secondary particles are shown in Fig.8, in which (a) displays the ranges of the other particles and (b) depicts the ranges of He. As can be seen in this figure, the ranges of the particles from the 90 MeV protons are generally larger than those of the particles from the 70 MeV protons. It is more likely that 90 MeV protons will induce a greater number of upset cells than 70 MeV protons.
-201910/1001-8042-30-10-007/alternativeImage/1001-8042-30-10-007-F008.jpg)
After comprehensively analyzing the results of our work, the cross sections reported in [16], and the results of the CRÈME-MC and Geant4 simulations, we can conclude that the effects of the 90 MeV and 70 MeV protons were similar because the majority of the secondary charged heavy ions produced by the two proton energies and the values of their LETs were similar. In addition, a greater number of MCUs was possible owing to 90 MeV protons than 70 MeV protons because the ranges of the secondary particles from the 90 MeV protons in silicon were larger than those of the secondary particles from the 70 MeV protons.
4 Conclusion
Proton irradiation tests were conducted with 90 MeV and 70 MeV protons on a 28 nm SoC at the CIAE. In the 90 MeV test, 143 SEU events and 7 SEFI events were detected. In the 70 MeV test, 118 SEU events and 6 SEFI events were detected. The SBU cross sections of the 90 MeV and 70 MeV protons were (1.95 ± 0.39) × 10-15 cm2·bit-1 and (1.67 ± 0.37) × 10-15 cm2·bit-1, respectively. The MCU and SBU cross sections demonstrate that the 90 MeV and 70 MeV protons induced similar SEE sensitivities in the 28 nm SoC. The CRÈME-MC simulation results demonstrate that the cross sections of lower energies were higher than those of higher energies by 4-5 orders of magnitude. The direct ionization of particles caused effects in the 28 nm SoC if the LETs of the charged ions were greater than 0.142 MeV·cm²·mg-1. Compared with that of the 90 nm SRAM, the SEU peak cross section of the protons for the 28 nm SRAM occurred at a higher energy and no cross section valley appeared between the lower and higher energy protons. The effects of the 90 MeV and 70 MeV protons were similar because the secondary charged heavy ions produced by both energies and the values of their LETs were similar.
Single event upset of dynamic RAMs by neutrons and protons
. IEEE Trans. Nucl. Sci. 26, 5048-5053 (1979). doi: 10.1109/TNS.1979.4330270An experimental study of single event effects induced in commercial SRAMs by neutrons and protons from thermal energies to 500 MeV
. IEEE Trans. Nucl. Sci. 51, 2817-2824 (2004). doi: 10.1109/TNS.2004.835083Single-event effects in avionics
. IEEE Trans. Nucl. Sci. 43, 461-474 (1996). doi: 10.1109/23.490893Low-Energy Proton-Induced Single-Event-Upsets in 65 nm node, Silicon-on-Insulator, Latches and Memory Cells
. IEEE Trans. Nucl. Sci. 54, 2474-2479 (2007). doi: 10.1109/TNS.2007.909845Assessment and comparison of the low energy proton sensitivity in 65nm to 28nm SRAM devices
. inSoft error rate comparison of 6T and 8T SRAM ICs using mono-energetic proton and neutron irradiation sources
. Microelectron Reliab. 78, 38-45 (2017). doi: 10.1016/j.microrel.2017.07.093Prediction of proton-induced SEE error rates for the VATA160 ASIC
, Nucl. Sci. Tech. 28, 13 (2017). doi: 10.1007/s41365-016-0153-zStudy on Experimental Ability of 100 MeV Proton Single Event Effect Test Facility in China Institute of Atomic Energy
. Atomic Energy Science and Technology. 52, 2101-2105 (2018). (in Chinese)Analyzing the impact of radiation-induced failures in programmable SoCs
. IEEE Trans. Nucl. Sci. 63, 2217-2224 (2016). doi: 10.1109/TNS.2016.2522508Heavy Ion Single Event Effects Measurements of Xilinx Zynq-7000 FPGA
.Microbeam Heavy-Ion Single-Event Effect on Xilinx 28-nm System on Chip
. IEEE Trans. Nucl. Sci. 65, 545-549 (2018). doi: 10.1109/TNS.2017.2776244Single event effects sensitivity of low energy proton in Xilinx Zynq-7010 system-on chip
. Microelectron Reliab. 71, 65-70 (2017). doi: 10.1016/j.microrel.2017.02.014Single Event Upset Characterization of the Zynq-7000 ARM® Cortex™-A9 Processor Unit Using Proton Irradiation
.On the Characterization of Embedded Memories of Zynq-7000 All Programmable SoC under Single Event Upsets Induced by Heavy Ions and Protons
.Soft Error Study of ARM SoC at 28 Nanometers
.Zynq SoC Radiation Test Results and Plans for the Altera MAX10
.A comparison of heavy ion induced single event upset susceptibility in unhardened 6T/SRAM and hardened ADE/SRAM
. Nucl. Instrum. Methods Phys. Res. B. 406, 437-442 (2017). doi: 10.1016/j.nimb.2017.01.034Characteristics of energy deposition from 1-1000 MeV proton and neutron induced nuclear reactions in silicon
, AIP Advances 7, 115220 (2017). doi: 10.1063/1.4995529Investigation of maximum proton energy for qualified ground-based evaluation of single-event effects in SRAM devices
, Nucl Sci Tech. 30, 47 (2019). doi: 10.1007/s41365-019-0570-xSRIM–The stopping and range of ions in matter (2010)
. Nucl. Instrum. Methods Phys. Res. B. 268, 1818-1823 (2010). doi: 10.1016/j.nimb.2010.02.091Measurement and Reporting of Alpha Particles and Terrestrial Cosmic Ray-Induced Soft Errors in Semiconductor Devices: JESD89A, JEDEC STANDARD
, JEDEC Solid State Technology Association. 89, 1-85 (2006).Monte carlo predictions of proton SEE cross sections from heavy ion test data
. Chinese Physics C, 40, 066001 (2016). doi: 10.1088/1674-1137/40/6/066001Impact of Low-Energy Proton Induced Upsets on Test Methods and Rate Predictions
. IEEE Trans. Nucl. Sci. 56, 3085-3092 (2009). doi: 10.1109/TNS.2009.2032545GEANT4—a simulation toolkit
. Nucl. Instrum. Methods Phys. Res. A. 506, 250-303 (2003). doi: 10.1016/S0168-9002(03)01368-8Heavy ion-induced single event upset sensitivity evaluation of 3D integrated static random access memory
. Nucl Sci Tech. 29, 31(2018). doi: 10.1007/s41365-018-0377-1

