1 Introduction
The properties of nuclei near a beta-stable line including the nuclear structure and reactions have been well known through decades of effort by various scientists. The characteristics of exotic nuclei near neutron and proton drip lines have gradually attracted attention since Tanihata first found the neutron-halo structure of 11Li, and a large number of radioactive ion beam facilities have been built in many national laboratories in recent years. As the most important structural behavior of a neutron-rich nucleus, the neutrons have much more extended density distributions than the protons, i.e., a neutron skin or halo, which can be applied by certain theoretical models of nuclear structures, such as the relativistic-mean-field [1-4], Skyrme—Hartree–Fock [5-7], and shell model [8-10]. It also has some other properties such as a small separation energy, low angular momentum on the orbits of the last few nucleons, and an increased reaction cross section, which can be measured experimentally [11-14]. However, studies have mostly focused on neutron skins and halos, with fewer studies conducted on proton skins and halos, and the experimental approaches used to study exotic nuclei must be expanded to include the isospin. Directed and elliptical flows have been identified as sensitive observables with regard to the isospin effect in equations of state for nuclear matter and the dynamics of nuclear collisions [15-20]; for instance, neutron-rich systems have a higher balance energy (at which the in-plane transverse flow disappears) compared to neutron-deficient systems for all colliding parameters [20], and the isospin dependence of collective flows has been explained as competition among various isospin-dependent reaction mechanisms including nucleon-nucleon collisions, symmetry energy, the surface property of the colliding nuclei, and the Coulomb force. The yield ratio of neutrons to protons has also been proposed as a candidate to investigate the isospin physics, such as the symmetry energy at subnormal and supranormal densities, isospin splitting of the nucleon effective mass, and an in-medium nucleon-nucleon cross section [21-30]. However, such studies have mostly focused on neutron-rich nuclei-induced collisions, with a lack of research conducted on reactions induced through proton-rich nuclei. In this work, the yield ratios and directed flows of light particles from proton-rich nucleus 28S induced reactions 28S + 28Si at 50 and 400 MeV/u are explored, and stable isotopic nuclei 32S induced collisions 32S + 28Si are used for comparison.
2 Theoretical descriptions
The dynamics of heavy ion reactions should consist of three components: propagation of nucleons in the mean field, nucleon-nucleon collisions in a nuclear medium, and Pauli blocking. The quantum-molecular-dynamics (QMD) model is a successful many-body theory that can explicitly describe the state of a reaction system and can represent the time evolution of the colliding system extremely well from intermediate to relativistic energies. A detailed review of the QMD model can be found in Ref.[31]. The isospin-dependent quantum molecular dynamics (IQMD) model is based on the above theory, affiliated with the isospin effect on the above three constituents [32, 33].
The nuclear mean-field potential used in the IQMD model can be parameterized as follows [32, 33]:
where ρ0 is the normal nuclear matter density (0.16 fm-3); ρ, ρp, and ρn are the total, proton, and neutron densities, respectively; and τz is the zth constituent of the isospin degree of freedom, which equals 1 or -1 for neutrons or protons, respectively. The different parameters α, β, and γ represent the different nuclear equations of state. In addition, Csym is the symmetry energy strength owing to the asymmetry of the neutrons and protons in the nucleus. In this work, Csym= 32 MeV is used. Here, Vc is the Coulomb potential and UYuk is the Yukawa (surface) potential. In the present study, we also adopt α = -356 MeV, β = 303 MeV, and γ = 1.17, corresponding to the so-called soft EOS with an incompressibility of K = 200 MeV.
In the IQMD model, clusters emitted during a collision are usually distinguished through a coalescence method: When the two nucleons in a phase space satisfy a spatial distance Δr of smaller than 3.5 fm and a momentum difference Δp of smaller than 300 MeV/c, they can be treated as a part of a cluster [31, 34]. With this simple coalescence method, different sized clusters can be recognized, which has been extensively applied in transport theory for a cluster formation.
The nucleon-nucleon cross section used in this model is an experimental parametrization, which is also isospin-dependent. The cross section between a neutron and proton is about 3-times bigger than that between a neutron and neutron, or proton and proton, when the collision energy is below 300 MeV/u.
3 Results and discussion
Approximately 300,000 collisions are simulated for 28S + 28Si and 32S + 28Si with soft EOS at 50 and 400 MeV/u, respectively. In this study, the physical information of the projectile-like particles are extracted at 200 fm/c.
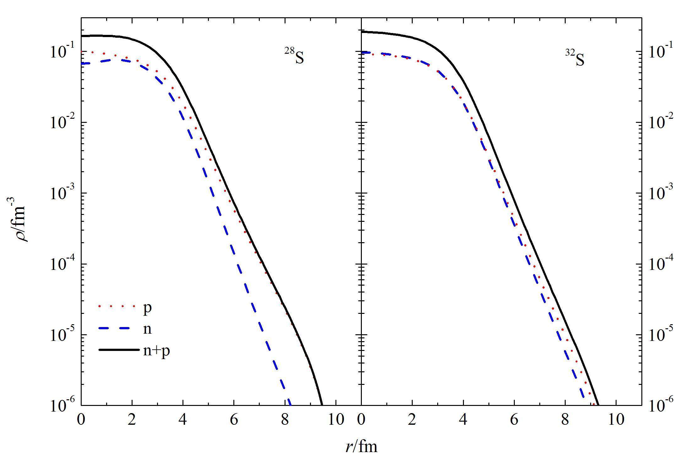
For the initialization of the nucleons of a projectile and target, the protons and neutrons are distinguished in the IQMD model, and the stability of the initialization sample must be tested. The Skyrme—Hartree–Fock (SHF) theory is used to determine the neutron and proton density distributions of the projectile and target nuclei. The proton (dot), neutron (dash), and total matter (solid) densities of 28S and 32S, given by the SHF method, are shown in the left and right panels of Fig. 1, respectively. It can be observed that an apparent proton skin exists in 28S [1, 35], but not in 32S.
-201901/1001-8042-30-01-015/alternativeImage/1001-8042-30-01-015-F001.jpg)
The upper panel of Fig. 2 shows the reduced impact parameter (bre) dependence of the proton-to-neutron (n/p, solid square) and 3H-to-3He (3H/3He, solid circle) yield ratios from a 28S + 28Si system at 50 MeV/u, where the hollow symbols are for the corresponding fragments from the 32S + 28Si system. Here, bre=b/bmax, where bmax is the total radii of the projectile and target nuclei. The yield ratios of n/p and 3H/3He both decrease slightly with the reduced impact parameter for the attracting mean field and Coulomb effect within this energy range. The average ratios of n/p and 3H/3He are roughly evaluated to be 1.0 and 1.1, respectively, for the32S + 28Si system and 0.75 and 0.85, respectively, for the 28S + 28Si system. The ratios of constituent neutrons to protons (N/P) of the two projectiles 32S and 28S are 1.0 and 0.75, respectively, which nearly coincide with the above yield ratios of the projectile-like fragments. This is a consequence of the coalescence method used in the IQMD model, and the emission probability of projectile-like particles should be proportional to the emission probabilities of their constituent nucleons. Thus, the yield ratio of 3H/3He should be close to that of n/p. The reason why the ratio of 3H/3He is larger than that of n/p may be because the larger charge of 3He causes a much lower yield in low-energy collisions in which the attractive mean field plays a critical role. The lower panel of Fig. 2 shows the same correlation but for a collision energy of 400 MeV/u. It can be observed that the yield ratios of both n/p and 3H/3He are nearly unchanged with the reduced impact parameter because nucleon-nucleon collisions play a dominant role within this energy range. The yield ratios of n/p and 3H/3He are nearly equal for a certain collision system; in other words, they are both approximately 1.0 for the 32S + 28Si system and approximately 0.75 for the 28S + 28Si system, which is coincident with the N/P ratio of the projectile nucleus. Therefore, the yield ratios of n/p and 3H/3He can be used as isospin-dependent observables for investigating the reaction dynamics induced through a proton-rich nucleus.
-201901/1001-8042-30-01-015/alternativeImage/1001-8042-30-01-015-F002.jpg)
The transverse collective flows carry important information regarding the pressure gradient, which builds up in the compressed zone, and are a direct way to the study the nuclear EOS. The invariant azimuthal distribution of the emitted fragments can be stated in the form of a Fourier expansion, as described below:
Here, ϕ is the azimuthal angle, which is defined as the angle between the particle’s transverse momentum and the collision plane, labeled as the x-z plane, whereas the beam direction is defined as the z-axis of the coordinate system, and the collision parameter direction is the x-axis. The so-called directed flow is the first harmonic coefficient v1, which is expressed as follows:
where pt (
We show the scaled rapidity dependence of directed flows for neutrons and protons in a different centrality from 28S + 28Si and 32S + 28Si for the collisions at 50 and 400 MeV/u shown in Fig. 3. The directed flow at mid-rapidity (0 lt;y lt;0.5) is negative for collisions at 50 MeV/u, but positive for those at 400 MeV/u, which is because the attractive mean field and rotation effect of the overlap zone play an important role in 50 MeV/u collisions, whereas the compulsive nucleon-nucleon collisions and expansion of the overlap zone play a dominant role at 400 MeV/u. Looking at the various panels in Fig. 3, there is a large similarity of the data in the different centralities. It can be observed that there are clear differences between the neutron and proton directed flows from 28S + 28Si collisions at 50 MeV/u, i.e., the absolute strength of v1 in a proton is clearly larger than that in a neutron, which may be because protons have a positive symmetric potential, whereas neutrons have negative symmetric potential in 28S; in other words, protons in a larger attractive mean field are emitted with a stronger directed flow. Thus, for the 32S + 28Si system, the directed flows of protons and neutrons are nearly equal to each other. For a similar reason, at high energy where compulsive nucleon-nucleon collisions play a dominant role, the neutrons should have a larger v1 than the protons for 28S + 28Si collisions at 400 MeV/u, which we can also observe in Fig. 3, although not so clearly, for a small value of v1 at this energy level.
-201901/1001-8042-30-01-015/alternativeImage/1001-8042-30-01-015-F003.jpg)
The directed flows of isospin-related fragments 3H and 3He are also investigated, as shown in Fig. 4, for 28S + 28Si and 32S + 28Si at 50 MeV/u; however, no data are available for 400 MeV/u collisions owing to such small yields of 3H and 3He from such small impact systems at such a high collision energy. It can be observed that 3He has a stronger directed flow than 3H, which is similarly due to more protons and fewer neutrons present in 3He.
-201901/1001-8042-30-01-015/alternativeImage/1001-8042-30-01-015-F004.jpg)
The differential transverse momentum per nucleon (pt/A) dependence of a directed flow limited in terms of the mid-rapidity interval 0 lt;y lt;0.5 for a neutron and proton in a different centrality from 28S + 28Si and 32S + 28Si in collisions at 50 and 400 MeV/u is shown in Fig. 5. The figure also shows that the directed flows of neutrons and protons are negative at 50 MeV/u and positive at 400 MeV/u for the same reason discussed above, and that a change of v1 occurs at 50 MeV/u after reaching the extremum, which may be due to the shadow effect of the spectators. Similarly, the absolute strength of v1 of a proton is larger than that of a neutron from 28S + 28Si collisions at 50 MeV/u, whereas the absolute strength of v1 of a proton is smaller (although not so clearly so) than that of a neutron for 400 MeV/u 28S + 28Si collisions. Fig. 6 shows the same results as Fig. 5 but for fragments 3H and 3He at 50 MeV/u, and no data are available for 400 MeV/u collisions for the low yields of 3H and 3He. This indicates that 3He has a stronger directed flow than 3H, particularly in the middle centrality.
-201901/1001-8042-30-01-015/alternativeImage/1001-8042-30-01-015-F005.jpg)
-201901/1001-8042-30-01-015/alternativeImage/1001-8042-30-01-015-F006.jpg)
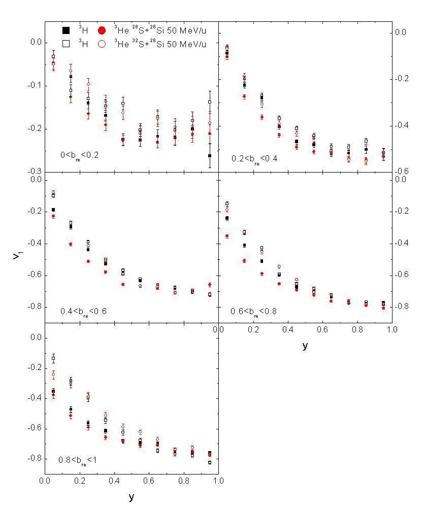
To quantitatively compare the difference between the isospin-related fragments and reduce the statistical error, the reduced impact parameter dependence of the directed flows integrated over 0 lt;y lt;0.5 and pt/A lt;0.15 GeV/A is determined. The upper panel of Fig. 7 shows the reduced impact parameter dependence of the directed flows of neutrons and protons from collisions at 50 MeV/u 28S + 28Si and 32S + 28Si. It can be observed that the integrated directed flows of neutrons and protons are both negative owing to the attractive mean field playing a dominant role at this low energy. The absolute values, i.e., the strength of directed flows of neutrons and protons, increase continuously with the reduced impact parameter for which the accompanied rotation effect also increases. This also indicates that the strength of v1 of a proton is clearly larger, as mentioned above, than that of a neutron from a 28S + 28Si reaction system; however, for 32S + 28Si, there is no significant difference between protons and neutrons. Similar phenomena exist for 3H and 3He, as shown in the middle panel labeled with upward and downward triangles, respectively, i.e., 3He has a stronger v1 than 3H for a 28S + 28Si system, although no clear distinction exists for a 32S + 28Si system. To quantify their distinctions, the differences in v1 (△v1) for neutron-proton (v1(n)-v1(p)) and 3H-3He (v1(3H)-v1(3He)) are determined, as shown in the lower panel of Fig. 7. The figure indicates that the differences for neutron-proton and 3H-3He are noticeable and are nearly equal to each other for 28S + 28Si, and larger at intermediate impact parameters; however, they are extremely small and fluctuate at near zero for 32S + 28Si within all collision parameters.
-201901/1001-8042-30-01-015/alternativeImage/1001-8042-30-01-015-F007.jpg)
The results shown in Fig. 8 are similar to those in Fig. 7 but at an impact energy of 400 MeV/u. It can be observed that the directed flows of the light particles (shown in the upper and middle panels) are positive because nucleon-nucleon collisions and the expansion of the overlap zone play a dominant role at 400 MeV/u, and because the directed flows increase with a reduced impact parameter, but decrease in peripheral collisions, which may be due to the decreasing compression energy and gradient in the overlap zone. It can also be observed that neutrons have a clearly larger v1 than protons from 28S + 28Si reactions, which may be because neutrons own a weaker mean-field potential for a negative symmetric potential, and are emitted with stronger directed flow during expansion. The differences in v1 for neutron-proton and 3H-3He are also presented in the lower panel of Fig. 8. The figure indicates that only the difference in neutron-proton from the 28S + 28Si system is relatively noticeable, and is larger for intermediate impact parameters, but much smaller than that from 50 MeV/u 28S + 28Si, and that the difference in n-p from a 32S + 28Si system is extremely small, reaching approximately zero, whereas the differences in 3H-3He from the two reaction systems fluctuate significantly owing to the small yields of 3H and 3He; in addition, the average value is also approximately zero within all collision parameters. Thus, from the previous analysis, the differences in directed flows for neutron-proton and 3H-3He can also represent isospin physics, and it is recommended to measure these physical quantities at low energies to obtain a larger value.
-201901/1001-8042-30-01-015/alternativeImage/1001-8042-30-01-015-F008.jpg)
4 Summary
Using the IQMD model, we studied the rapidity and transverse momentum dependent directed flows of projectile-like neutrons, protons, 3H, and 3He within full collision parameters for simulations of 28S + 28Si and 32S + 28Si at 50 and 400 MeV/u; in addition, the differences in v1 for neutron-proton and 3H-3He, and the yield ratios of these light particles from the two reaction systems, were also investigated. It was also demonstrated that the yield ratios of n/p and 3H/3He for projectile-like fragments from low-energy collisions slightly decrease with reduced impact parameters, but are on average equal to the constituent N/P ratio of the projectile nuclei, whereas they are both nearly equal to the N/P of the projectile nuclei within all reduced impact parameters for high energy collisions. The detailed characteristics of this may depend on the different parameters of the EOS, collision system, and other factors, requiring further theoretical research. The differences in directed flows for neutron-proton and 3H-3He from 28S + 28Si collisions at low energies are noticeably equal and relatively larger under intermediate impact parameters, but reach zero for 32S + 28Si reactions, and only the difference in directed flows for neutron-proton from high-energy 28S + 28Si collisions is noticeable although much smaller than that from low-energy 28S + 28Si collisions. Thus, the differences of v1 and the yield ratios for neutron-proton and 3H-3He under medium impact parameters are proposed as isospin observables for exotic nuclei. Further study on the quantitative relationship between a proton or neutron skin, as well as the yield ratio and difference in the directed flow, is being conducted.
Elastic electron scattering on exotic light proton-rich nuclei
. Phys. Rev. C, 70, 034303 (2004). doi: 10.1103/PhysRevC.70.034303Neutron skin thickness and equation of state in asymmetric nuclear matter
. Phys. Rev. C, 69: 024318 (2004). doi: 10.1103/PhysRevC.69.024318Recently measured reaction cross sections with low energy fp-shell nuclei as projectiles: Microscopic description
. Phys. Rev. C, 73: 054601 (2006). doi: 10.1103/PhysRevC.73.054601Proton halo or skin in the excited states of light nuclei
. Chin. Phys. Lett., 20(7): 1021-1024 (2003). doi: 10.1088/0256-307X/20/7/314Parity violating measurements of neutron densities
. Phys. Rev. C, 63: 025501 (2001). doi: 10.1103/PhysRevC.63.025501Surface symmetry energy
. Nucl. Phys. A, 727: 233 (2005). doi: 10.1016/j.nuclphysa.2003.08.001Neutron skin thickness of nuclei and effective nucleon-nucleon interactions
. Chin. Phys. Lett., 23(4): 804 (2006). doi: 10.1088/0256-307X/23/4/012Study of the 7Be(p, y)8B and 7Li(n, y)8Li capture reactions using the shell model embedded in the continuum
. Nucl. Phys. A, 651: 289 (1999). doi: 10.1016/S0375-9474(99)00133-5Enhancement of high-spin collectivity in N = Z nuclei by the isoscalar neutron-proton pairing
. Nucl. Phys. A, 957: 144 (2017). doi: 10.1016/j.nuclphysa.2016.08.007Resonance and continuum Gamow shell model with realistic nuclear forces
. Phys. Lett. B, 769: 227-232 (2017). doi: 10.1016/j.physletb.2017.03.054Measurements of interaction cross sections and nuclear radii in the light p-shell region
. Phys. Rev. Lett., 55: 2676 (1985). doi: 10.1103/PhysRevLett.55.2676Examining the exotic structure of the proton-rich nucleus 23Al
. Phys. Rev. C, 76: 031601(R) (2007). doi: 10.1103/PhysRevC.76.031601Determination of the neutron skin thickness from interaction cross section and chargechanging cross section for B, C, N, O, F isotopes
. Nucl. Sci. Tech. 27: 71 (2016). doi: 10.1007/s41365-016-0064-zImproved FRACS parameterizations for cross sections of isotopes near the proton drip line in projectile fragmentation reactions
. Nucl. Sci. Tech. 29: 96 (2018). doi: 10.1007/s41365-018-0439-4Isospin dependence of collective flow
. Nucl. Phys. A, 654: 797c-802c (1999) doi: 10.1016/S0375-9474(00)88549-8Isospin effects on rotational flow in intermediate energy heavy ion collisions
. Phys. Rev. C, 61: 067601 (2000). doi: 10.1103/PhysRevC.61.067601Collective flow in heavy-ion collisions for Elab = 1-160 GeV/nucleon
. Phys. Rev. C, 74: 034904 (2006). doi: 10.1103/PhysRevC.74.034904Dynamics of strangeness and collective flows in heavy-ion collisions near threshold energies
. Nucl. Phys. A, 919: 32-45 (2013). doi: 10.1016/j.nuclphysa.2013.10.005Directed and elliptic flows in 40Ca + 40Ca and 112Sn + 112Sn collisions
. Eur. Phys. J. A, 15: 399-404 (2002). doi: 10.1140/epja/i2002-10043-7Isospin effects in the disappearance of flow as a function of colliding geometry
. Phys. Rev. C, 83: 014603 (2011). doi: 10.1103/PhysRevC.83.014603Neutron/proton ratio of nucleon emissions as a probe of neutron skin
. Phys. Lett. B, 682: 396-400 (2010). doi: 10.1016/j.physletb.2009.11.031Entrance channel dependence and isospin dependence of preequilibrium nucleon emission in intermediate energy heavy ion collisions
. Nucl. Phys. A, 687: 475-485 (2001). doi: 10.1016/S0375-9474(00)00581-9Impact parameter dependence of the double neutron/proton ratio of nucleon emissions in isotopic reaction systems
. Chin. Phys. Lett., 26(5): 052502 (2009). doi: 10.1088/0256-307X/26/5/052502Probing the momentum dependence of the symmetry potential by the free n/p ratio of pre-equilibrium emission
. Phys. Rev. C, 91: 024604 (2015). doi: 10.1103/PhysRevC.91.024604Neutron-to-proton ratios of quasiprojectile and midrapidity emission in the 64Zn + 64Zn reaction at 45 MeV/nucleon
. Phys. Rev. C, 74: 051602(R) (2006). doi: 10.1103/PhysRevC.74.051602Constraints on nucleon effective mass splitting with heavy ion collisions
. Phys. Lett. B, 732: 186-190 (2014). doi: 10.1016/j.physletb.2014.03.030Neutron-proton effective mass splitting in a Boltzmann-Langevin approach
. Phys. Rev. C, 88: 061601(R) (2013). doi: 10.1103/PhysRevC.88.061601Correlation between symmetry energy and effective κ-mass splitting with an improved isospin- and momentum-dependent interaction
. Phys. Rev. C, 94: 034619 (2016). doi: 10.1103/PhysRevC.94.034619A nuclear density probe: isobaric yield ratio difference
. Nucl. Sci. Tech. 26: S20503 (2015). doi: 10.13538/j.1001-8042/nst.26.S20503Isospin dependence of nucleon effective masses in neutron-rich matter
. Nucl. Sci. Tech. 27: 141 (2016). doi: 10.1007/s41365-016-0140-4“Quantum" molecular dynamics-a dynamical microscopic n-body approach to investigate fragment formation and the nuclear equation of state in heavy ion collisions
. Phys. Rep., 202: 233-360 (1991). doi: 10.1016/0370-1573(91)90094-3Analysis of isospin dependence of nuclear collective flow in an isospin-dependent quantum molecular dynamics model
. Phys. Rev. C, 58: 2283 (1998) doi: 10.1103/PhysRevC.58.2283Collective motion of reverse-reaction system in the intermediate-energy domain via the quantum-molecular-dynamics approach
. Phys. Rev. C, 51: 1029 (1995). doi: 10.1103/PhysRevC.51.1029Effect of isospin-dependent cluster recognition on the observables in heavy ion collisions
. Phys. Rev. C, 85: 051602(R) (2012). doi: 10.1103/PhysRevC.85.051602Light nuclei near neutron and proton drip lines in relativistic mean-field theory
. Nucl. Phys. A, 628: 221-254 (1998). doi: 10.1016/S0375-9474(97)00630-1

