1 Introduction
Research reactors are commonly used to obtain sufficient neutron flux to irradiate materials for scientific and commercial purposes. The safe utilization of such a reactor demands evaluation of reactor physics parameters. The temperature changes in the reactor core effect many of these parameters. For instance the fluctuation in reactor temperature leads to change in effective multiplication factor which in turn affects core reactivity as a feedback. Since reactivity is degree of off-criticality, so a change in reactivity actually shows a change in neutron population[1]. Therefore temperature change can lead to a change in neutron flux and reactor power. The reactivity change due to the temperature is called temperature coefficient of reactivity. This temperature change can occur in fuel, moderator, coolant and structural material[2]. Reactivity feedback coefficients are amongst the most important reactor safety parameters. They quantify the variation of reactivity with core temperature[3]. Reactivity feedback plays a vital role in control of the reactor. Negative reactivity feedback keeps the reactor inherently safe[3], whereas positive reactivity feedback can lead to unstable and hence dangerous situations[4].
In a reactor core, there are different materials with different temperatures. An increase in reactor power will increase temperature of fuel first, since power is generated in the fuel and then heat is transferred to the coolant. The time required for temperature change in fuel is shorter than the coolant so the fuel temperature coefficient is the prompt coefficient and moderator temperature coefficient is the delayed one[3]. Magnitude and effect of different feedback coefficients is also different and hence the affect they produce on reactivity needs to be quantified for the safe reactor operation.
The temperature coefficient of reactivity
Whereas reactivity is calculated using Eq.2:
Differentiating Eq. (2), with respect to temperature and noting that
If T in the Eq.(3) is temperature of fuel
Void coefficient (VC) of reactivity is the rate of change of reactivity in a light water moderated reactor with an increase in the steam bubble formation. This reduces the moderation and produces negative feedback effect.
Although the reactivity coefficients are calculated independent of each other, in reality, a change in temperature of one region also effects the other regions. To account for this coupling effect, the calculation scheme used for feedback reactivity coefficients needs to be changed[4]. For instance, in determination of moderator coefficient of reactivity, change in moderator temperature also causes spectral changes in the fuel region[7]. Therefore, for accurate representation of feedback reactivity coefficients, the incorporation of coupling effects to determine feedback coefficient is necessary.
This paper presents the effect of changing one parameter on the other. These effects include the effect of changing fuel temperature (Tf) on the MTC, effect of changing moderator temperature (Tm) on VC, effect of changing moderator void (V) on FTC, and vice-versa respectively.
2 Materials and Methods
There are many research reactors operating all over the world. Due to proliferation concerns, most of the reactors employing highly enriched uranium (HEU) fuel are redesigned to use low enriched uranium (LEU) fuels. The International Atomic Energy Agency (IAEA) has published a standard MTR benchmark problem to help this reactor redesigning[8]. Several organizations have performed reactor physics calculations which are reported in various documents[8,9].
The LEU core of 10 MW IAEA MTR benchmark reactor is considered[10] for this study. The core configuration consists of a 6×5 grid containing 21 standard fuel elements (SFE) and 4 control fuel elements (CFE). The core is reflected by graphite reflecting elements (GRE) on two opposite faces and surrounded by light water on all of the faces. Axially core is reflected on both the faces by a 15.0 cm thickness of mixture of Al and H2O containing 20% Aluminum and 80% water by volume. Each SFE contains 23 fuel plates while each CFE has 17 fuel plates with two regions for fork type control absorber blades[11]. To benchmark the feedback reactivity coefficients, the water in central flux trap is replaced with a block of Aluminum containing a square hole of 5 cm on each side[10]. The reactor was modeled with exact specifications as given in the IAEA benchmark problem.
The detailed description of the reactor is given in Table 1. Control absorber material considered in this work was Ag-In-Cd alloy in the ratio 80%, 15%, and 5% respectively.
| Parameter | Value |
|---|---|
| Active core height | 600 mm |
| Space at the grid plate per fuel element | 77 mm × 81 mm |
| Fuel element cross-section (including support plate) | 76 mm × 80.5 mm |
| Fuel meat dimensions | 63 mm × 0.51 mm × 600 mm |
| Density of aluminum | 2.7 g/cm3 |
| Thickness of support plate | 4.75 mm |
| Thickness of fuel plate | 1.27 mm |
| Number of fuel plates per SFE | 23 identical |
| Number of fuel plates per CFE | 17 identical |
| Weight percent of U in UAlx-Al | 72 w/o |
| Mass of U-235 per SFE | 390 g |
| Total power | 10 MWth |
| Graphite reflecting element dimensions | 77 mm × 81 mm |
The OpenMC[12] and WIMS/D4[13] are used as neutronics simulating tools. For benchmarking analysis, the literature results are reported for fresh fuel, BOL, and EOL LEU cores[8,10]. However, the present work focuses on the fresh fuel and BOL cores for the purpose of benchmarking.
The WIMS (Winfrith Improved Multigroup Scheme) is a general purpose multi-group transport theory based deterministic code[13]. As input, WIMS/D4 requires isotopic nuclear data and the description of the reactor lattice. It then solves the neutron transport equation over a specified region of the lattice. This region is called the lattice cell or unit cell[14]. Isotopic data includes number densities of isotopes and the microscopic cross-section data for the isotopes. The main purpose of the code is the generation of homogenized macroscopic cross-sections for the representative zones of the reactor core and burn-up of the fuel[14]. In present work, the main aim in using WIMS/D4 is to obtain the number densities of different isotopes at different burn-up steps, needed in the BOL core. The unit-cell model and the energy group structure in WIMS/D4 is the same as described in literature[11].
OpenMC is an open source and Monte Carlo neutron transport code developed by Computational Reactor Physics Group (CRPG) at Massachusetts Institute of Technology (MIT), starting in 2011. Like MCNP[15], it is capable of simulating 3D models based on Constructive Solid Geometry (CSG). The continuous energy particle interaction data is based on HDF5 format. The OpenMC (version 0.9.0) equipped with temperature dependent JEFF 3.2 cross-sections[16] is used to find the reactivity coefficients and their associated coupling effects as improvements.
3 Methodology
The main objective of this work was to develop the calculation methodology to determine the reactivity feedback coefficients incorporating the coupling effects of one parameter on the others. In order to account for such coupling effects, reactivity is taken under consideration as a function of two variable. The number of variables can be increased once this method is developed.
In the coupling FTC and VC,.i.e. to quantify the effect of change in void fraction on FTC, the variables are fuel temperature, TF, and void percent, V[4,7]. First FTC and VC are determined independent of each other, these are the uncoupled reactivity coefficients. The coupling method consists of considering the uncoupled coefficients as first order-terms in Taylor expansion[7]. The expression for reactivity is expanded up to the third order term in Taylor expansion, which provides terms for simultaneous changes of two coefficients[4]. Equation (4) is the Taylor expansion of reactivity by considering it a function of two variables.
-201904/1001-8042-30-04-011/media/1001-8042-30-04-011-M001.jpg)
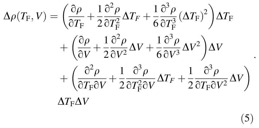
where TF is fuel temperature, ∆TF is change in fuel temperature, V is coolant void and ∆V is change in coolant void. In the present work, fuel temperature was changed in increments of 100 K starting from 300 K and up to 900 K, while void percent was changed in increments of 3%, starting from 0% and ending at 18%. Therefore ∆TF is 100 K and ∆V is 3%. By re-arranging the above, Equation (5) is obtained:
-201904/1001-8042-30-04-011/media/1001-8042-30-04-011-M002.jpg)
In Eq. (5) there are three terms: the first term is for individual (uncoupled) FTC, the second term accounts for uncoupled VC, and the third term accounts for their coupling. Identifying the terms in Eq. (5), the following equations are obtained.
Equation (6) represents independent FTC,
Equation (10) gives the void-fraction-dependent Doppler coefficient of reactivity and Eq. (11) shows the fuel-temperature-dependent void coefficient of reactivity[4,7]. These are the improved or modified reactivity coefficients which incorporate the coupling effects.
Similarly equations can be developed to couple MTC with VC, FTC with MTC, and vice-versa respectively.
The partial derivatives in Eqs. (6) to (8) are calculated using the three-point midpoint difference technique since it incurs minimum error in three-point techniques[17,18].
The independent and modified FTC are calculated by varying Tf and keeping the void fraction constant. A total of forty nine simulations are performed to calculate the void-fraction-dependent Doppler coefficient and fuel-temperature dependent void coefficient of reactivity.
Similarly, void-fraction-dependent moderator temperature coefficient, Moderator-temperature-dependent void coefficient, fuel-temperature dependent moderator temperature coefficient, and moderator-temperature-dependent fuel temperature coefficient of reactivity have been calculated using Eqs. (6) to (10).
4 OpenMC Computer Model
The IAEA benchmark reactor core is modeled using detailed specifications[8] and OpenMC neutron transport computer code[12] equipped with temperature dependent nuclear cross section library JEFF 3.2. The MTR benchmark reactor given in IAEA TECDOC-643 are slightly different than the one given in IAEA TECDOC-233[8]. The difference lies in the central flux trap. This work simulates both cores for the validation purpose. For feedback reactivity coefficients and their coupling, the MTR benchmark given in TECDOC-643 is considered. The model includes SFE, CFE (Fig. 1), flux trap, graphite, and water inside and outside the core as shown in Fig. 2.
-201904/1001-8042-30-04-011/alternativeImage/1001-8042-30-04-011-F001.jpg)
-201904/1001-8042-30-04-011/alternativeImage/1001-8042-30-04-011-F002.jpg)
Fig. 3 shows the axial view of the core. Axially, the core is reflected by a 15 cm region containing a homogenized mixture of 80% water and 20% Aluminum (Al) as volume fractions[11]. Al is added to compensate the non-fuel length of fuel plates, side plates, and the grid support structure[19,20].
-201904/1001-8042-30-04-011/alternativeImage/1001-8042-30-04-011-F003.jpg)
5 Model Validation
The developed model is validated against reference results[9,11] of: eigenvalues with all absorber rods in the fully withdrawn position and fully inserted position, control rod reactivity worth, power fractions, average thermal neutron flux in the central flux trap, and feedback reactivity coefficients.
The comparison of the effective multiplication factor when control absorber blades are fully out is shown in Table 2 [9,11]. A small difference between the simulated and reference results may be attributed to the different cross-section libraries and uncertainties in cross-sections at different temperatures. For this work JEFF 3.2 cross-section library at 311 K was employed.
| Fresh | BOL | |
|---|---|---|
| Present Work | 1.17402 ± 0.00020 | 1.05478 ± 0.00019 |
| Khurrum et al., | 1.15296 ± 0.00026 | 1.05916 ± 0.00025 |
| Bousbia et al., | 1.17238 ± 0.00033 | 1.05617 ± 0.00032 |
The comparison of other parameters (fresh core) used for the model validation, with the reference results[9,10] is given in Table 3. The comparison involving control blades is based on IAEA benchmark reactor as given in TECDOC-643[10], whereas the value for thermal flux is compared with that of Khurrum et al.[9].
| Parameter | Reference Value | Computed Value |
|---|---|---|
| keff with control blades fully withdrawn | 1.17404 ± 0.00314 | 1.17948 ± 0.00019 |
| keff with control blades fully inserted | 1.03720 ± 0.00328 | 1.03722 ± 0.00019 |
| Control blade reactivity worth (pcm) | 11237 | 11628 |
| Flux trap thermal flux (n/cm2·s) | 1.93× 1014 | 1.88 × 1014 |
Table 3 shows that the values of keff for both cases when absorber blades are inserted and withdrawn are close to the reference values. The relative difference in control blade reactivity worth between computed and reference values is 3.5%. Similarly, the relative difference in thermal flux in the central flux trap between computed and reference results is 2.6%.
Fig. 4 presents the comparison of computed power fractions in percentage (%) for the BOL core with the reference results[9,11]. The computed values of power fractions are quite close to the reference values.
-201904/1001-8042-30-04-011/alternativeImage/1001-8042-30-04-011-F004.jpg)
The validation of the developed OpenMC model is extended to the comparison of the simulated feedback reactivity coefficients with the published values using conventional methodology. For this purpose, the following four coefficients are considered[10,21].
1. Change of water temperature only
2. Change of water density only
3. Change of fuel temperature only
4. Core void coefficient
Table 4 shows the comparison of the results with the reference values for various temperature ranges. The results of the current work are listed in last column.
| ANL | INTERATOM | JAERI | EIR | JEN | Batan | Current Work | |
|---|---|---|---|---|---|---|---|
| Temperature Range 20 – 38 oC |
|||||||
| αTM | 8.2 | 7.9 | 9.6 | 8.5 | 7.1 | 8.2 | 7.3 |
| (-) | (-3.7)* | (+17.1) | (+3.7) | (-13.4) | (0) | (-11) | |
| αD | 8.3 | 7.9 | 6.3 | 8.5 | 13.6 | 8 | 7.9 |
| (-) | (-4.8) | (-24.1) | (+2.4) | (+63.9) | (-3.6) | (-4.8) | |
| αTF | 2.63 | 2.19 | 1.94 | 2.37 | 3.15 | 2.73 | 2.18 |
| (-) | (-16.7) | (-26.2) | (-9.9) | (+19.8) | (+3.8) | (-17.1) | |
| Temperature Range 38 – 50 oC |
|||||||
| αTM | 8.1 | 7.7 | 9.2 | 8.2 | 6.8 | 7.8 | 7.3 |
| (-) | (-4.9) | (13.6) | (1.2) | (-16) | (-3.7) | (-9.9) | |
| αD | 12.3 | 11.2 | 9.7 | 11.7 | 19.6 | 11.7 | 12.9 |
| (-) | (-8.9) | (-21.1) | (-4.9) | (59.3) | (-4.9) | (4.9) | |
| αTF | 2.58 | 2.17 | 1.92 | 2.16 | 3.08 | 2.68 | 2.47 |
| (-) | (-15.9) | (-25.6) | (-16.3) | (19.4) | (3.9) | (-4.3) | |
| Temperature Range 50 – 100 oC |
|||||||
| αTM | 7.8 | 7.5 | 8.2 | 7.8 | 6.2 | 7.2 | 8.4 |
| (-) | (-3.8) | (5.1) | (0) | (-20.5) | (-7.7) | (7.7) | |
| αD | 18.6 | 17.1 | 14.3 | 18.1 | 29.8 | 17.5 | 17.4 |
| (-) | (-8.1) | (-23.1) | (-2.7) | (60.2) | (-5.9) | (-6.5) | |
| αTF | 2.52 | 2.12 | 1.89 | 2.19 | 2.94 | 2.55 | 2.45 |
| (-) | (-15.9) | (-25) | (-13.1) | (16.7) | (1.2) | (-2.8) | |
| Water Density Range: 0.998 – 0.958 g/cc |
|||||||
| αV | 0.344 | 0.316 | 0.232 | 0.337 | 0.513 | 0.322 | 0.29 |
| (-) | (-8.1) | (-32.6) | (-2) | (49.1) | (-6.4) | (-15.7) | |
| Water Density Range: 0.958 – 0.900 g/cc |
|||||||
| αV | 0.305 | 0.28 | 0.237 | 0.299 | 0.49 | 0.289 | 0.319 |
| (-) | (-8.2) | (-22.3) | (-2) | (60.7) | (-5.2) | (4.6) | |
The relative difference between the current work and ANL values is given in the table and results lie in the acceptable range.
6 Results and Discussion
Conventionally, the FTC determines the reactivity change due to fuel temperature only whereas in actuality, the change in fuel temperature also causes the change in moderator temperature[22]. This associated (or coupled) effect of moderator temperature with fuel temperature is ignored in conventional FTC calculation. The incorporation of moderator temperature effect associated with fuel temperature improves the overall FTC. Similarly, MTC and VC can also be improved[22].
The validated model is used to quantify the effect of one parameter (e.g. fuel temperature) over the other (e.g. moderator temp) and vice-versa. Following, coupling effects are studied.
6.1 Coupling of FTC and VC
To quantify the coupling effect of fuel temperature on VC and vice versa, the confirmed computational model is executed to simulate the eigen values. Fig. 5 shows that with increasing the void percentage in the core, the reactivity decreases. The increase in fuel temperature further reduces the reactivity. Using the keff values and the Eqs. (6) – (11), the void-fraction-dependent Doppler coefficient and fuel-temperature-dependent void coefficient of reactivity are calculated.
-201904/1001-8042-30-04-011/alternativeImage/1001-8042-30-04-011-F005.jpg)
Table 5 depicts the results of void coefficient of reactivity. This modified VC is calculated by taking into account the effect of the fuel temperature on the reactivity feedback coefficient of the void.
| Void (%) | VC without coupling (pcm/%void) | VC with coupling (pcm/%void) | Improvement (%) | |
|---|---|---|---|---|
| Tf = 500 K | ||||
| 6 | -313.0378 | -315.3755 | 0.75 | |
| 9 | -334.6119 | -335.9792 | 0.41 | |
| 12 | -359.1378 | -363.2013 | 1.13 | |
| Tf = 600 K | ||||
| 6 | -298.5897 | -301.3766 | 0.93 | |
| 9 | -348.8928 | -353.2155 | 1.24 | |
| 12 | -348.7683 | -351.8242 | 0.88 | |
| Tf = 700 K | ||||
| 6 | -318.3464 | -319.7300 | 0.43 | |
| 9 | -340.1575 | -343.9492 | 1.11 | |
| 12 | -366.1114 | -367.8799 | 0.48 | |
Fig. 6 shows effect of void percent on FTC. The decreasing trend is demonstrated since with an increase in fuel temperature, the neutron absorption in the resonance peaks increases which reduces the reactivity. The increase in void fraction in the core drastically reduces the multiplication factor. This is contrary to Fig. 5, where there is only a slight decrease in the multiplication factor with increasing fuel temperature. Thus the effect of void on FTC is more as compared to the effect of fuel temperature on VC.
-201904/1001-8042-30-04-011/alternativeImage/1001-8042-30-04-011-F006.jpg)
Table 6 presents the individual (i.e. conventional) FTC and modified (incorporating the coupling effects of void) FTC. More improvement in FTC is seen than that of Table 5 for modified VC. This may be due to the importance of thermal neutron spectrum in the regions. The neutrons that enter the fuel region for fission are thermalized in the moderator so thermal neutron spectrum is strongly dependent on moderator conditions as compared to fuel conditions. Thus the effect of void on FTC is more pronounced than the effect of fuel temperature on void. The value of VC is almost two orders of magnitude larger than FTC. This is due to larger spectral hardening as a result of reduced thermalization per unit volume. This also means that the reactivity is more sensitive to change in void percent as compared to the change in fuel temperature.
| Fuel temperature (K) | FTC without coupling (pcm/K) | FTC with coupling (pcm/K) | Improvement (%) | |
|---|---|---|---|---|
| V = 6% | ||||
| 500 | -2.0447 | -2.1148 | 3.43 | |
| 600 | -1.7360 | -1.8196 | 4.82 | |
| 700 | -1.9206 | -1.9621 | 2.16 | |
| V = 9% | ||||
| 500 | -1.8596 | -1.9007 | 2.21 | |
| 600 | -2.2597 | -2.3894 | 5.74 | |
| 700 | -1.9968 | -2.1105 | 5.70 | |
| V = 12% | ||||
| 500 | -2.1141 | -2.2360 | 5.77 | |
| 600 | -2.0445 | -2.1361 | 4.48 | |
| 700 | -1.9681 | -2.0211 | 2.70 | |
6.2 Coupling of MTC and VC
To calculate the coupling effect of void fraction on moderator temperature coefficient and vice versa, the respective eigen values have been simulated using the OpenMC model of the reactor core. Fig. 7 demonstrates the variation of keff with void fraction. The reactivity decrement is more pronounced in the case of high moderator temperature changes.
-201904/1001-8042-30-04-011/alternativeImage/1001-8042-30-04-011-F007.jpg)
The calculated results of VC are listed in Table 7. There is an improvement in the value of VC since it gets more negative. Thus taking into account the effect of the moderator temperature on reactivity feedback incurred by void formation gives an improved value of VC.
| Void (%) | VC without coupling (pcm/%void) | VC with coupling (pcm/%void) | Improvement (%) | |
|---|---|---|---|---|
| TM = 353 K | ||||
| 6 | -302.0039 | -307.8439 | 1.93 | |
| 9 | -341.8392 | -347.2127 | 1.57 | |
| 12 | -367.9747 | -369.9228 | 0.53 | |
| TM = 373 K | ||||
| 6 | -326.8422 | -328.3466 | 0.46 | |
| 9 | -329.2672 | -335.4181 | 1.87 | |
| 12 | -376.8175 | -381.7508 | 1.31 | |
| TM = 393 K | ||||
| 6 | -295.7572 | -306.2197 | 3.54 | |
| 9 | -368.4422 | -376.3262 | 2.14 | |
| 12 | -356.8628 | -359.2572 | 0.67 | |
Fig. 8 shows the variation of keff with the change in TM for various void fractions. As the void fraction in the core increases, the reactivity reduces, keeping the moderator temperature constant. The reduction due to increased void formation is more than the reduction due to moderator temperature increase. This again confirms that reactivity is more sensitive to a change in void fraction as compared to the moderator temperature in LWR.
-201904/1001-8042-30-04-011/alternativeImage/1001-8042-30-04-011-F008.jpg)
The improved MTC after the incorporating effect of void are shown in Table 8. Table 7 and Table 8 show that the improvement in void-dependent MTC is greater than moderator-temperature-dependent VC.
| Moderator temperature (K) | MTC without coupling (pcm/K) | MTC with coupling (pcm/K) | Improvement (%) | |
|---|---|---|---|---|
| V = 6% | ||||
| 353 | -15.7158 | -16.5918 | 5.57 | |
| 373 | -21.4525 | -21.6782 | 1.05 | |
| 393 | -20.1717 | -21.7410 | 7.78 | |
| V= 9% | ||||
| 353 | -18.4481 | -19.2541 | 4.37 | |
| 373 | -17.0151 | -17.9377 | 5.42 | |
| 393 | -26.6598 | -27.8423 | 4.44 | |
| V= 12% | ||||
| 353 | -17.6938 | -17.9861 | 1.65 | |
| 373 | -22.3021 | -23.0421 | 3.32 | |
| 393 | -23.9813 | -24.3405 | 1.50 | |
6.3 Coupling of MTC and FTC
The modified MTC and FTC are calculated by varying TM keeping fuel temperature constant. The coupling effect of fuel temperature on the moderator temperature coefficient of reactivity and vice-versa are calculated. Fig. 9 presents the corresponding values of keff for variations of TM and TF.
-201904/1001-8042-30-04-011/alternativeImage/1001-8042-30-04-011-F009.jpg)
Table 9 demonstrates the improvements in MTC on incorporating the effect of fuel temperature. The change in moderator temperature effects the fuel temperature which in-turn incurs its own feedback. Thus the coupling of the moderator and fuel temperature is justified.
| Moderator temperature (K) | MTC without coupling (pcm/K) | MTC with coupling (pcm/K) | Improvement (%) | |
|---|---|---|---|---|
| Tf = 500 K | ||||
| 353 | -13.3858 | -13.8488 | 3.46 | |
| 373 | -19.4297 | -19.5433 | 0.58 | |
| 393 | -19.9039 | -20.2014 | 1.49 | |
| Tf = 600 K | ||||
| 353 | -12.2769 | -12.4534 | 1.44 | |
| 373 | -20.5348 | -20.7707 | 1.15 | |
| 393 | -21.0367 | -21.2602 | 1.06 | |
| Tf = 700 K | ||||
| 353 | -15.1171 | -15.2375 | 0.80 | |
| 373 | -18.3985 | -18.5679 | 0.92 | |
| 393 | -21.7210 | -21.8299 | 0.50 | |
The effect of moderator temperature variation on reactivity by changing fuel temperature is shown in Fig. 10. The reactivity decrease for change in TM from 313 K to 333 K is smaller as compared to the decrease for change in TM from 413 K to 433 K. Increasing moderator temperature further will increase this decrement further.
-201904/1001-8042-30-04-011/alternativeImage/1001-8042-30-04-011-F010.jpg)
This increase in the reactivity decrement means that the effect of MTC on fuel temperature intensifies with an increase in moderator temperature. The effect of moderator temperature on FTC leads to the improved value of FTC as shown in Table 10.
| Fuel temperature (K) | FTC without coupling (pcm/K) | FTC with coupling (pcm/K) | Improvement (%) | |
|---|---|---|---|---|
| TM = 353 K | ||||
| 500 | -2.0550 | -2.1476 | 4.50 | |
| 600 | -1.5006 | -1.5359 | 2.35 | |
| 700 | -2.3265 | -2.3505 | 1.04 | |
| TM = 373 K | ||||
| 500 | -1.7517 | -1.7744 | 1.30 | |
| 600 | -2.0876 | -2.1348 | 2.26 | |
| 700 | -1.4585 | -1.4923 | 2.32 | |
| TM = 393 K | ||||
| 500 | -1.9407 | -2.0002 | 3.07 | |
| 600 | -1.7357 | -1.7804 | 2.56 | |
| 700 | -2.0363 | -2.0581 | 1.07 | |
7 Conclusion
The conventional method to determine the feedback coefficient ignores the reactivity coupling effects i.e. effect of one parameter (fuel temperature) on the others (moderator temperature etc.) simultaneously. This methodology suggests the incorporation of coupling effects of fuel temperature, moderator temperature, and void fraction to improve the value of the corresponding feedback coefficient. The improvements in feedback reactivity coefficient, accounts for variation in fuel, moderator temperature and moderator void simultaneously. This work determines the improvements in feedback reactivity coefficients for IAEA 10 MW MTR benchmark research reactor as overall or improved reactivity coefficient.
The state of the art is the combination of the criticality calculations employing OpenMC transport code and application of Taylor series expansion for core reactivity. For improved or coupled FTC and VC, it was found that the effect of void on FTC is more pronounced than the effect of fuel temperature on void. This arises since thermal neutron spectrum is strongly dependent on moderator conditions as compared to fuel conditions. MTC and VC coupling dictates that reactivity is more sensitive to change in void fraction as compared to moderator temperature in LWRs. It is also found that the effect of moderator temperature on FTC is more pronounced than the effect of fuel temperature on MTC. The results conclude that the reactivity coefficient with coupled spectral effects is more accurate than the coefficient without spectral coupling. Moreover the change in reactivity is more sensitive to void than it is to fuel temperature.
Feedback reactivity coefficients and their coupling
, Nucl. Eng. Design, 237, 972-977 (2007). doi: 10.1016/j.nucengdes.2006.10.009Burnup dependent Monte Carlo neutron physics calculations of IAEA MTR benchmark
, Prog. Nucl. Energy, 81, 43-52 (2015). doi: 10.1016/j.pnucene.2014.12.018MTR benchmark static calculations with MCNP5 code
, Ann. Nucl. Energy, 35, 845-855 (2008). doi: 10.1016/j.anucene.2007.09.016The OpenMC Monte Carlo particle transort code
, Ann. Nucl. Energy, 51, 274-281 (2013). doi: 10.1016/j.anucene.2012.06.040A General Monte Carlo N-Particle (MCNP) Transport Code, (New Mexico, 2010)
, https://mcnp.lanl.gov/. AccessedJEFF-3.2 Evaluated Data Library - Neutron Data, (2016)
, http://www.oecd-nea.org/dbforms/data/eva/evatapes/jeff_32/. AccessedEffect of Updated WIMSD libraries on neutron energy spectrum at irradiation site of PARR-1 using 3D modeling
, Ann. Nucl. Energy, 32, 521-548 (2005). doi: 10.1016/j.anucene.2004.11.007Application of coupled code technique to a safety analysis of a standard MTR research reactor
, Nucl. Engg. Design, 239, 2104-2118 (2009). doi: 10.1016/j.nucengdes.2009.06.002Validation of Batan's Standard Diffusion Codes in IAEA Benchmark Static Calculations
, Atom Indonesia, 23, 73-91 (1997).
