Introduction
Radiation is widely used in life science research. X-rays [1–2], γ-ray [3], proton beam [4], HZE ion, and 252Cf fission neutron sources are used extensively [5]. In 1928, the American botanist Stadler proved that X-rays can cause mutagenic effects based on research in barley irradiated by X-ray[6]. Since then, scientists have carried out research on the biological effects and applications produced by the interaction between radiation and plants at all levels. In this research process, the most commonly used radioactive sources are X-ray and γ-ray sources, which have been used to obtain excellent mutants, such as rust-resistant wheat mutants [7], high-palmitic-acid mutant soybean [8] and Chinese Cabbage mutants [9]. There have also been studies of the genetic characteristics [10] and molecular mechanisms [11] of plants using mutants obtained by γ-ray irradiation. Additionally, heavy ion [12], γ-ray [13–14] or UV ray [15] have been used to study the effects of radiation by dose.
Research on radiation dose effects is an important component of research into the biological effects of radiation, primarily because the biological effects of radiation often vary significantly with radiation dose. Studies have shown that the biological effects of radiation on plants at low doses are often stimulative. For example, rice and mung exposed to low doses of γ-rays show significant biological effects that promote growth [16]. Low doses of 60Co-γ ray irradiation of Terminalia arjuna Roxb. seeds can induce such biological effects as improved seed germination rate, vigor index, relative growth rate of seedlings, and fresh weight [17]. Other studies have shown that the biological effects of plants exposed to high doses of radiation mainly involve inhibitive effects. For example, after the dry seeds of Zoysia japonica were irradiated with high doses of 60Co-γ radiation above 300 Gy, such biological effects as plant height shortening, decreased seedling emergence rate, and decreased seedling fresh weight were observed [18]. At present, the research in this field has mainly focused on the radiation dose effect of X-ray and γ-ray, whereas there is comparatively less research on the neutron radiation dose effect [19]. Neutrons, discovered by Chadwich et al. [20], are high linear energy transfer rays. The interaction between neutrons and matter is obviously different from other rays and has the characteristics of strong penetrability, a wide variation spectrum, a high variation rate, and stable characteristics of the offspring of variation. Therefore, neutrons can produce more obvious and greater biological effects [21]. One study by Zhang et al. showed that the biological effects of irradiation of onion dry seeds by 252Cf fission neutrons were 124 times that of 60Co-γ rays [22]. Thus, neutrons have mostly been used to obtain mutants [23–25]. However, the dose effects require further study.
Pea (Pisum sativum L.) is an important food crop [26], it is also one of the top 10 vegetables preferred by consumers globally. Fresh pods and pea seedlings are very popular ingredients [27], and research on pea has always been of great scientific interest [28–30]. Plant morphological parameters are closely related to biological research and breeding. Existing studies have suggested that the development trends of maize breeding are closely related to the morphological parameter indices [31]. Therefore, selecting and implementing appropriate morphological parameters are conducive to plant biological research. Currently, the traditional plant morphological parameters fail to meet the requirements in the process of radiation plant research, which is one of the important factors hindering the progress of this research direction.
In this study, the morphological development of M1 generation peas was studied in the field using neutrons produced by 252Cf-irradiated dried pea seeds, and the relationship between the neutron absorption dose and morphological development of pea plants across a wide gradient dose range was first explored. This study provides a rich scientific basis for understanding biological effects of neutron radiation and neutron mutation breeding.
Materials and Methods
Radioactive sources and biological samples
The radioactive source used in this study was a 252Cf isotope neutron source. The neutron source is a spontaneous fission neutron source, in which the neutron emissivity is 2.31 × 1012 n/s.g, and the half-life is 2.647 years. The neutron spectrum of spontaneous fission is close to a pure fission spectrum, and the average neutron energy is 2.158 MeV [32].
Needle-leafed pea MZ-1 (P. sativum var. MZ-1) is a leafless pea variety introduced from the United States by the Institute of Soil Fertilizer and Water-saving Agriculture, Gansu Academy of Agricultural Sciences [33]. Dry pea seed pods that were full of seeds and that exhibited a germination rate higher than 96% were selected and divided into 10 groups for different doses of neutron radiation.
Neutron radiation dose
We have fully considered the space that can accommodate samples in the 252Cf source irradiation device and placed 10 groups of peas in the channel of the device (the device is detailed in reference [34]). To ensure that the irradiation dose can cover as wide a range as possible, we first conducted analysis and calculation, and then set the irradiation time as 14153.7 hours. In this way, the neutron absorbed doses of 10 groups of peas were 0.51 Gy, 0.64 Gy, 0.81 Gy, 1.03 Gy, 1.32 Gy, 1.80 Gy, 2.40 Gy, 3.55 Gy, 5.47 Gy and 9.27 Gy.
Field trials and recording of morphological characters
Ten irradiation groups of pea seeds treated with different neutron absorption doses and the control group without radiation were seeded in the field. Five replications were set up with 16 plants in each replication to carry out the field planting experiment of the M1 generation. The experimental field was located in Yuzhong Campus of Lanzhou University. From the second day of pea sowing, the seedling emergence and the development of the stipules of each pea were recorded in detail daily at 9 a.m., and these records were made until the 52nd day (that is, the day when the fifth pair of stipules of the last pea was opened). The appearance of the flower buds and the flowering of peas were immediately recorded, and all peas were recorded for 25 days.
Confirmatory experiment
Needle pea seeds matching those in the field trial were selected. Five groups were irradiated in the scope of the middle-high doses. Neutron absorption doses in each irradiated pea group had an equal gradient interval of 2 Gy, 4 Gy, 6 Gy, 8 Gy, and 10 Gy. Five treatments and one control group without irradiation were placed in germinating boxes for seed germination at 20℃. Five days later, when seeds basically completed germination, seven germinated peas chosen from each group at random were planted in flowerpots for the greenhouse experiment. Three repetitions were established in each group. The day after the peas were planted, the stipule situation of each pea was observed in detail every morning until the 32nd day (on the day when the fifth pair stipule of the last pea unfolded). A dividing ruler was used to measure the height of all peas at three different growth periods for 15 days. The measurements were taken once every five days for a total of three measurements.
Definition of morphological development parameters
Based on years of experimental experience on pea and referring to the germination index and vitality index commonly used in seed germination experiments, we defined seven parameters that closely reflected the overall development of the plants.
The seedling emergence index (SEI) is an index that can accurately reflect the morphological development of pea seedling emergence. The definition formula of the index is as follows:
The nth pair of stipule expansion index (StEI) is an index that can accurately reflect the morphological development of pea seedling. The definition formula of the index is as follows:
The plant height composite index (PHCI) is an index that can accurately reflect the morphological development of plant height. The definition formula of the index is as follows:
The flower bud index (FBI) is an index that can accurately reflect the morphological development of flower buds of plant reproductive organs. The definition formula of the index is as follows:
The bud stage duration index (BSDI) is an index that can accurately reflect the morphological development process of budding of the plant reproductive organs. The definition formula of the index is as follows:
The flowering index (FI) is also an index that can accurately reflect the morphological development of flower organs. The definition formula of the index is as follows:
The flower stage duration index (FSDI) is an index that can accurately reflect the morphological development process of the flowering of plant reproductive organs. The definition formula of the index is as follows:
Data analysis
Before the data analysis, it was necessary to calculate the background of spurious (potentially mutant) plants and remove these data. Following this calculation, the data for the slowest-growing pea were removed from each replication of each experiment group. One-way ANOVA and least significant difference (LSD) multiple comparison tests (SPSS 21.0, IBM Corp., Armonk, NY, USA) were used to analyze the experimental data of the M1 generation pea in the control group and irradiation group. The standard deviation of each experimental group was calculated and plotted using Excel (Microsoft Corp., Albuquerque, NM, USA) software. The flowchart of our research scheme is shown in Fig. 1.
-202111/1001-8042-32-11-007/alternativeImage/1001-8042-32-11-007-F001.jpg)
Results
Relationship between neutron absorption dose and main plant morphological development of M1 generation pea
The coniferous pea we selected is a type of leafless pea. In the seedling stage, the main form of morphological development is the increase in the number of stipules. Therefore, as described in the “Definition of morphological development parameters”, we defined the SEI and the nth pair of StEI. The data processing results are shown in Fig. 2.
-202111/1001-8042-32-11-007/alternativeImage/1001-8042-32-11-007-F002.jpg)
It can be observed from Fig. 2(a) that the SEI had three regular fluctuations with the increase in neutron absorption dose; that is, the SEI initially exhibited three fluctuations with the decrease in neutron absorption dose, followed by an increase in the neutron absorption dose. Significance analysis showed that there was a significant difference between the highest point of SEI (dose points: 0.81 Gy, 1.80 Gy, 9.27 Gy) and the lowest point of SEI (dose points: 0.64 Gy, 1.32 Gy, 3.55 Gy) in each of the three fluctuations. Three regular fluctuations similar to those described above can also be found in Fig. 2(b–f). After analysis of the first, second, third, fourth, and fifth pair of StEI, it was also found that in any one of the fluctuations, there were significant differences between the highest point and the lowest point.
In addition, as observed from Fig. 2(a), the lower dose of neutron irradiation reduced the SEI of M1 generation pea. The decrease in this index indicated that it could promote seedling emergence. The ANOVA indicated a significant difference between the SEI of the best dose point (0.64 Gy) and that of the control group (0 Gy). Fig. 2(a) also indicated that when the neutron irradiation dose was ≥0.81 Gy, the SEI of all irradiation groups was higher than that of the control group, indicating that it had an inhibitory effect on seedling emergence. We also analyzed the differences between the M1 generation pea 0.64 Gy-dose group and the control group in all the StEI, and found no significant differences. This indicated that with the development of M1 generation pea, the promoting effect of the low dose was gradually weakened.
Relationship between the neutron absorption dose and plant height development of M1 generation pea
Plant height is affected by many biological and environmental factors, and so the accuracy of the traditional random sampling methods is limited. Therefore, we used a comprehensive method whereby we measured each plant and defined the PHCI. In addition, in order to reflect the development of plant height morphology, we selected four equal interval time points (time interval of 5 days) to measure the plant height of all M1 generation peas. The data processing results are shown in Fig. 3.
-202111/1001-8042-32-11-007/alternativeImage/1001-8042-32-11-007-F003.jpg)
It is evident from Fig. 3(a) and (b) that the PHCI fluctuated three times with the increase in neutron absorption dose. After analyzing the significant difference of PHCI at the first time point and second time point, it was found that there were significant differences between the maximum PHCI (dose points: 0.51 Gy, 1.32 Gy, 2.40 Gy) and the minimum of the corresponding fluctuation PHCI (dose points: 0.81 Gy, 1.80 Gy, 9.27 Gy) in each fluctuation. However, the analysis of the PHCI of the third time point and fourth time point showed that there was no significant difference between the PHCI of the 0.51 Gy dose point of the first waveform and that of the 0.81 Gy dose point. It can also be seen from Fig. 3(c) and (d) that the waveform also weakened. The results showed that with the development of M1 generation pea, the regularity of the three wave shapes of PHCI gradually weakened with neutron absorption dose.
It was observed in Fig. 3 that the PHCI of M1 generation pea could be increased by low-dose neutron irradiation. The significant difference analysis showed that there was no significant difference between the highest PHCI (0.51 Gy dose point) and the PHCI of the control group in the (a), (c), and (d). This indicated that the strength of promoting the plant height development of M1 generation pea by low-dose neutron irradiation was limited.
Relationship between the neutron absorption dose and morphological development of M1 generation pea floral organs
We defined four parameters that could accurately and reasonably reflect the morphological development of the reproductive organ flowers: FBI, FI, BSDI, and FSDI (see the “Definition of morphological development parameters” for details). The processing and analysis results of the four parameters are shown in Fig. 4.
-202111/1001-8042-32-11-007/alternativeImage/1001-8042-32-11-007-F004.jpg)
It is evident from Fig. 4(a) and (b) that, with the exception of the lowest dose of neutron irradiation (0.51 Gy), the other higher doses of neutron irradiation will cause a decline in the FBI and FI of M1 generation peas. The decrease in FBI and FI means that the reproductive phenology of pea will be delayed. After analyzing the difference in FBI and FI, it was found that there were significant differences between the FBI of the neutron irradiation group with an absorbed dose of 1.03 Gy or more and that of the control group, and between the neutron irradiation group with an absorbed dose of ≥ 0.81 Gy and that of the control group. Therefore, this suggested that when the neutron irradiation dose was higher than a certain value, the reproductive phenology of M1 generation pea could be significantly delayed.
Figure 4(c) and (d) indicates that the BSDI and FSDI of all irradiation groups were higher than those of the control group. There were significant differences between the three high-dose groups (3.55 Gy, 5.47 Gy, and 9.27 Gy) and the control group. This indicated that neutron irradiation could prolong the flower bud and flowering period of M1 generation pea, and the effect was significant at higher doses (3.55 Gy and above).
Linear correlation analysis between morphological development parameters and absorbed neutron dose in the high-dose area
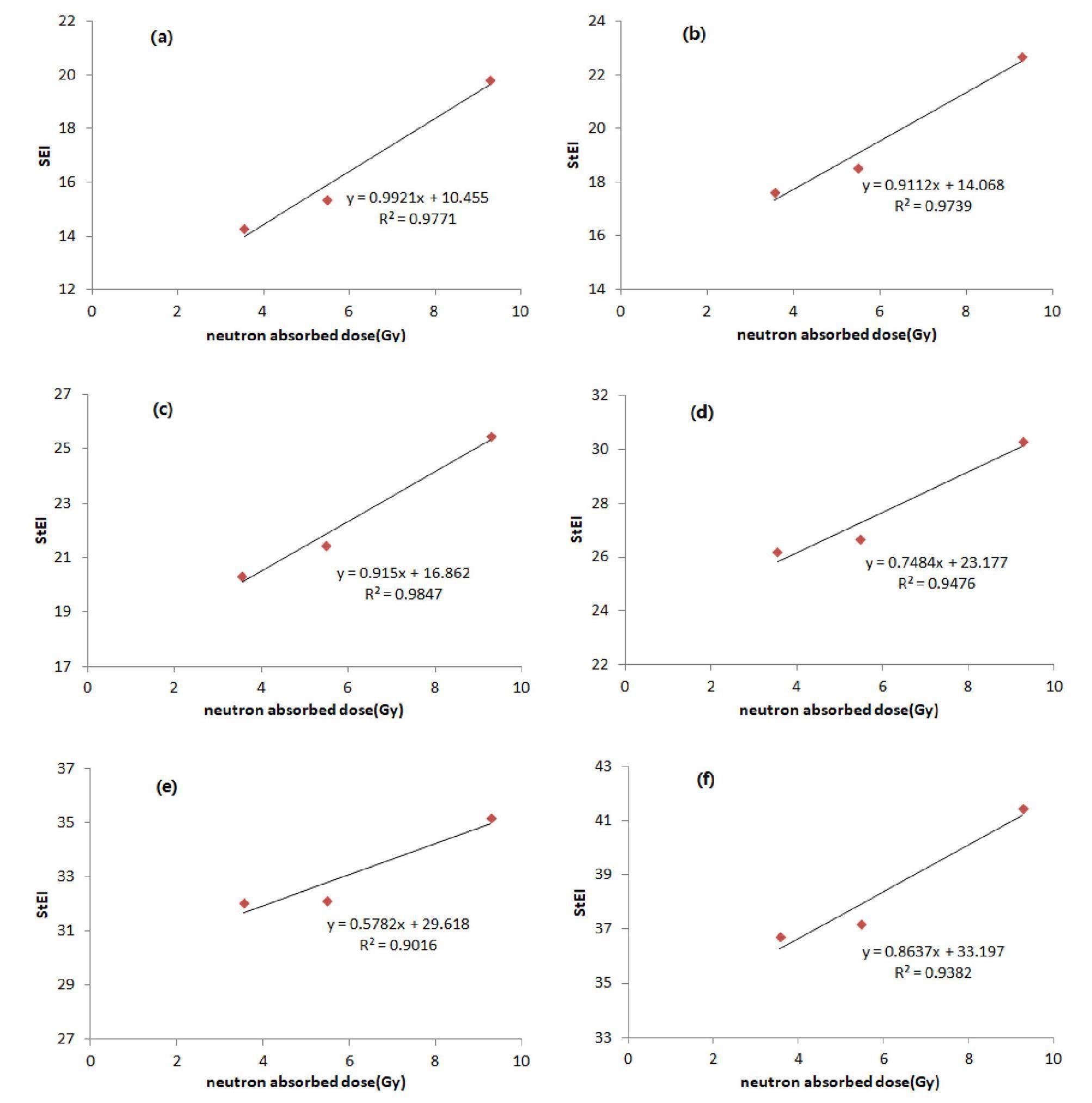
We analyzed the linear correlation between the morphological development parameters and the absorbed neutron dose at three dose points (3.55 Gy, 5.47 Gy, and 9.27 Gy) in the high-dose region. The linear correlation analysis results of the various morphological development indices and neutron absorption dose are shown in Fig. 5.
-202111/1001-8042-32-11-007/alternativeImage/1001-8042-32-11-007-F005.jpg)
The six linear equations shown in Fig. 5 are all positive correlations, which demonstrates a phenomenon whereby the plant morphological development time of M1 generation pea was continuously delayed with the increase in neutron absorption dose, i.e., inhibited. Among these values, the R2 values of the linear equations shown in Fig. 5(a–d) suggests that the goodness-of-fit of the equation was good, and the linear correlation was high. The P-values obtained by the F-test were 0.0962, 0.1021, 0.0783, and 0.1468 in Fig. 5(a–d), respectively. This shows that there was a linear correlation between the growth time of plant morphology and neutron absorption dose during and before the three pairs of stipules were expanded in the high-dose range. Of course, we also found that the linear correlation shown in Fig. 5(e) and (f) became lower. This suggests that with the development of M1 generation pea, the linear correlation between the growth time of plant morphology and the absorbed neutron dose decreased.
The four linear equations shown in Fig. 6 are all negative correlations, which suggests that the height morphological development of M1 generation pea plant decreased with the increase in neutron absorption dose; that is, it was inhibited. The R2 value of the linear equation shown in Fig. 6(a) is 0.9983, indicating that the equation had a high goodness-of-fit, and the P-value of the F-test was 0.0258, indicating that the linear correlation was significant. As the first measurement time point was before the initial seedling stage of pea development state (the initial seedling has three pairs of stipules), it can be considered that there was a good linear correlation between plant height morphological development and neutron absorption dose in the high-dose range. In addition, although the R2 values of the linear equations in Fig. 6(b–d) were all greater than 0.99, the P-values of the F-tests were all greater than 0.05 (0.0502, 0.0509, and 0.0525, respectively). This shows that with the development of M1 generation pea, the linear correlation gradually decreased.
-202111/1001-8042-32-11-007/alternativeImage/1001-8042-32-11-007-F006.jpg)
The linear equations shown in Fig. 7(a) and (b) are all negative correlations, which suggested that the morphological development of pea flower buds and flowers was delayed with the increase in neutron absorption dose; that is, it was inhibited. The two linear equations have high goodness-of-fit, and the P-values of the F-test were 0.0493 and 0.0378, which indicated that the linear correlation was significant. The two linear equations shown in Fig. 7(c) and (d) are all positive correlations, which suggests that the duration of pea flower bud period and flowering period increased with the increase in neutron absorption dose. The two linear equations also have high goodness-of-fit. The P-values of the F-test were 0.085 2 and 0.1067, respectively, which indicated that the linear correlation was not significant.
-202111/1001-8042-32-11-007/alternativeImage/1001-8042-32-11-007-F007.jpg)
Discussion and verification
Methodology
During plant growth and development, there is a certain probability that mutant progeny will be produced. The experimental data of these mutant progeny will have a negative impact on the overall data analysis, and thus it is necessary to eliminate the experimental data obtained from mutant progeny. For this reason, we defined the background of plants believed to be mutant progeny. Through the study of the development time of pea in the control group and the overall data analysis, we calculated and determined the background value of the potential mutant plants as 5%, which was used in correcting all the data in the experimental group.
There are individual differences in plant growth and development. Under all circumstances, it is the best choice to fully record the characteristics of all plants. In addition, in the study of plant development, a continuous data record is better able to reflect the developmental process than a single data record at a selected time point. If there are data records of all plants, parameters can be set according to each repetition of each group. If there are continuous data records, time can be further integrated into the set parameters. Our research was based on full records and daily continuous records for all plants, and seven parameters closely associated with the overall development state of plants were defined.
Low-dose promotion and high-dose inhibition of neutron radiation
Through the above research and analysis, we can confirm that in the 0.51–9.27 Gy range of neutron radiation in the pea seeds, the development of main plant morphology and plant height morphology of M1 generation pea exhibited three regular obvious fluctuations with the increase in neutron absorption dose, among which the biological effect of the first fluctuation was mainly manifested in a promoting effect, and the biological effect of the second and third fluctuations was mainly reflected in an inhibitory effect, with the inhibitory effect of the third fluctuation being more obvious. This result differs from the previously reported simple inhibitory effect of neutron irradiation on the seedling height and plant height of ornamental kale [35]. The main reason is that there were many dosage groups and low-dose neutron irradiation in this study. The promoting effect of low-dose radiation and the inhibitory effect of high-dose radiation have been verified in research on γ-ray irradiated plants [13,18].
We also found that in the neutron absorption dose range that we studied, with the development of M1 generation pea, the waveform character of the three regular fluctuations gradually weakened, and the amplitude gradually decreased. This shows that the pea plants were constantly repairing the effects of the neutron radiation on the plant morphology and height during the development of peas.
Neutron radiation has a general inhibitory effect on the reproductive flower organs of M1 generation pea
In the studied range of neutron absorption dose, neutron radiation generally caused a delay in the morphological development of M1 generation pea flower organs and the prolonging of flower bud emergence and flowering duration; that is, it had a universal inhibitory effect. Although 0.51 Gy neutron irradiation could promote the growth of the pea flower organs, the effect was not obvious. Even so, we think that low-dose neutron irradiation could promote the growth of the M1 generation pea flower organs. However, due to the relatively conservative and stable genetic characteristics of the flower organs, the promoting effect on them will be relatively weak.
Linear correlation between absorbed neutron dose and morphological development parameters in the full-dose range
According to the above analysis of the linear correlation between the absorbed neutron dose and the morphological development parameters in the high-dose range. We speculated that the linear correlation could be found in the whole-dose range. Therefore, the data of the control group (0 Gy) and three high-dose irradiation groups (3.55 Gy, 5.47 Gy, and 9.27 Gy) were analyzed for linear correlations. The results are shown in Table 1.
| Parameters | Linear regression equation y =ax +b | Coefficient of determination R2 | Significance P |
|---|---|---|---|
| SEI | y = 0.6448x + 12.894 | 0.8351 | 0.0862 |
| First pair of StEI | y = 0.5693x + 16.47 | 0.8031 | 0.1038 |
| The second pair of StEI | y = 0.6122x + 18.988 | 0.8607 | 0.0720 |
| The third pair of StEI | y = 0.5043x + 24.891 | 0.8415 | 0.0823 |
| The fourth pair of StEI | y = 0.3914x + 30.931 | 0.8138 | 0.0982 |
| The fifth pair of StEI | y = 0.5707x + 35.255 | 0.8215 | 0.0933 |
| PHCI (first time) | y = -2.1358x +38.791 | 0.9079 | 0.0472 |
| PHCI (the second time) | y = -3.146x +55.53 | 0.9555 | 0.0225 |
| PHCI (the third time) | y = -3.9094x +71.698 | 0.9683 | 0.0160 |
| PHCI (the fourth time) | y = -5.8559x +100.93 | 0.9791 | 0.0105 |
| FBI | y = -8.0593x +179.62 | 0.9249 | 0.0383 |
| FI | y = -8.487x +164.52 | 0.9272 | 0.0371 |
| BSDI | y = 0.3406x + 7.1228 | 0.9935 | 0.0033 |
| FSDI | y = 0.2802x + 5.8189 | 0.9738 | 0.0131 |
It can be seen from Table 1 that although the determination coefficient R2 values of the linear correlation analysis in the table were mostly lower than those of only three high-dose irradiation groups, most of the significant P-values in the table were smaller than those of the three high-dose irradiation groups. In addition, the significant P-values in the morphological development parameters of plant height and flower organs were less than 0.05, indicating that these linear correlations were significant. All of these results showed that the linear correlation between the morphological parameters and absorbed neutron dose increased following treatment of the control group and three high-dose irradiation groups. Within the range of 10 Gy after excluding low dose, there was a good linear correlation between the neutron absorption dose and morphological parameters.
The linear dependence verification of neutron absorbed doses in the middle-high dosage range and each morphological development parameters
To verify the deduction in Sect. 4.4, we used independently developed neutron absorbed dose-distributed irradiation devices with high-dose evenness to irradiate five groups of pea seeds within the middle-high dose range (devices were shown in Ref. [3]) and used a greenhouse experiment with a more uniform environment to carry out further verification. The relational relations between stipule unfolding morphological development and neutron absorbed doses are presented in Table 2, which depicts that with the increase of neutron absorbed doses, the StEI first increased, then decreased, and again increased. This law was consistent with the law that peas’ main morphological development in middle-high dose areas changed with the doses as discussed in Sect. 3.1. Through the linear dependence analysis in Table 3, it could be found that the slopes of five corresponding linear equations were all positive. Significance of each linear equation were high (P-value verified by F was less than 0.05). This indicated the higher linear dependence between peas’ main morphological development and neutron absorbed doses. This result is high consistency with the analysis result in Sect. 4.4.
| Parameters | 0 Gy | 2 Gy | 4 Gy | 6 Gy | 8 Gy | 10 Gy |
|---|---|---|---|---|---|---|
| First pair of StEI | 5.75±0.79 | 6.60±1.67 | 6.20±1.58 | 6.90±1.55 | 7.15±1.72 | 8.75±3.11 |
| Second pair of StEI | 7.00±0.92 | 8.50±2.16 | 8.60±2.19 | 9.15±1.93 | 9.95±2.39 | 11.55±3.25 |
| Third pair of StEI | 9.25±0.79 | 11.40±2.26 | 11.25±2.55 | 11.85±2.39 | 13.20±3.61 | 16.70±3.67 |
| Fourth pair of StEI | 12.10±0.91 | 14.55±2.46 | 14.25±3.19 | 14.65±3.17 | 19.05±3.98 | 20.6±4.16 |
| Fifth pair of StEI | 15.05±1.39 | 17.35±2.87 | 16.95±3.56 | 17.9±4.44 | 23.0±4.70 | 24.4±5.02 |
| PHCI (first time) | 11.09±3.78 | 9.29±1.96 | 8.09±2.17 | 8.05±2.46 | 4.71±1.76 | 4.07±1.59 |
| PHCI (second time) | 13.08±4.38 | 11.78±2.15 | 10.52±2.28 | 10.52±2.94 | 7.06±2.48 | 5.99±2.50 |
| PHCI (third time) | 14.59±5.40 | 13.40±2.77 | 12.50±2.46 | 12.42±3.58 | 9.00±3.00 | 8.05±3.40 |
| Parameters | Linear regression equation y =ax +b | Coefficient of determination R2 | Significance P |
|---|---|---|---|
| First pair of StEI | y = 0.2479x +5.6524 | 0.7983 | 0.0378 |
| Second pair of StEI | y = 0.395x + 7.1500 | 0.9300 | 0.0052 |
| Third pair of StEI | y = 0.6179x + 9.1857 | 0.8461 | 0.0317 |
| Fourth pair of StEI | y = 0.8057x + 11.838 | 0.8647 | 0.0246 |
| Fifth pair of StEI | y = 0.9236x + 14.49 | 0.8675 | 0.0220 |
| PHCI (first time) | y = -0.6981x + 11.042 | 0.9412 | 0.0003 |
| PHCI (second time) | y = -0.7086x + 13.368 | 0.9314 | 0.0005 |
| PHCI (third time) | y = -0.6575x + 14.948 | 0.9155 | 0.0010 |
The result of relational analysis between the PHCI and neutron absorbed doses is described in Table 2, showing that with the increase of neutron absorption doses, the PHCI consistently declined. This was consistent with the law that PHCI showed a downward trend with the neutron absorption dose above 1.8 Gy as discussed in Sect. 3.2. According to the linear dependence analysis in Table 3, we also found that the linear equations of PHCI belonged to negative correlation. The R2 value of three equations was greater than 0.91. The P-value verified by F was less than 0.01, indicating that goodness-of-fit and significance of three equations were very high. This was highly consistent with the linear dependence results between the PHCI in the high-dose areas and neutron absorbed doses discussed in Sect. 4.4.
The above-mentioned verification experiment further indicated that neutron radiation showed the inhibiting effect within 10 Gy range after excluding low doses. Neutron absorbed doses showed the excellent linear dependence in this inhibiting effect. Further analysis showed that in the low-dose range (0.51–0.64 Gy), the protective system of pea was activated, which showed a certain promoting effect. The linear correlation between the inhibition effect and neutron absorption dose was weakened. In the middle-dose range (0.81–2.40 Gy), the pea protection system reached its limit, resulting in an overall inhibitory effect that was not too significant. The linear correlation between the inhibitory effect and neutron absorbed dose will also be disrupted to some extent. In the high-dose range (3.55–9.27 Gy), the pea protection system was hardly activated. The inhibitory effect became increasingly significant with an increase in dosage. The linear correlation between the inhibitory effect and neutron absorption dose was gradually restored. This is also the reason why SEI, StEI and PHCI had three regular fluctuations with the increase in neutron absorption dose.
Conclusion
In summary, the neutron-irradiated pea seeds obtained stress and showed a trend of gradual inhibition effect. The reproductive organs of plants have relatively conserved genetic characteristics that are highly stable and change little when affected by environmental factors. Therefore, the universal inhibitory effect of various morphological development parameters of M1 generation pea flower organs in our study provides support for this inference. The verification experiment shows that there is a good linear correlation between the whole inhibition effect and the neutron absorption dose. Previous studies on peripheral blood in healthy adults irradiated by X-rays have found that there is a dose-dependent relationship between the expression of the Pig-a and Gadd45α genes and the irradiation dosage [36]. The dose- dependent relationship we found is in our study of morphological characters of neutron irradiated plants, which offers a good reference for agriculture and for the study on the molecular biological mechanisms of neutron-irradiated plants.
We obtained the dose range of low-dose promotion effects, which could be useful for the cultivation of pea and other plants. Moreover, the dose range for the inhibition effect is obtained, and the dose range given above is the reference doses for radiation mutation breeding. In addition, seven parameters closely associated with the overall development state of plants defined by us have been successfully applied. With the maturity of automatic agricultural data acquisition methods, these plant development parameters will be widely applicable.
Characterization of metal element distributions in the rat brain following ischemic stroke by synchrotron radiation microfluorescence analysis
. Nucl. Sci. Tech. 31(10), 25 (2020). doi: 10.1007/s41365-020-00807-5Lepidium sativum natural seed plant extract in the structural and physical characteristics of polyvinyl alcohol
. International Journal of Environmental Studies. 75(6), 965-977 (2018). doi: 10.1080/00207233.2018.1479564Research on design of seed irradiation device based on 252Cf fission neutron source
. Nucl. Instrum. Meth. B 441, 18-22 (2019). doi: 10.1016/j.nimb.2018.12.042Dosimetry calculations of involved and noninvolved organs in proton therapy of liver cancer: a simulation study
. Nucl. Sci. Tech. 30(12), 173 (2019). doi: 10.1007/s41365-019-0698-8Genomic mapping in outbred mice reveals overlap in genetic susceptibility for HZE ion– and γ-ray–induced tumors
. Science Advances. 6(16), eaax5940 (2020). doi: 10.1126/sciadv.aax5940Mutations in barley induced by X-rays and radium
. Science 68, 186-187 (1928). doi: 10.1126/science.68.1756.186Induction of mutations for rust resistance in wheat
. Euphytica 10, 379-383 (1961). doi: 10.1007/BF00039109Molecular characterization of two high-palmitic-acid mutant loci induced by X-ray irradiation in soybean
. Breeding Sci. 61(5), 631-638 (2012). doi: 10.1270/jsbbs.61.631Screening of Chinese cabbage mutants produced by 60Co γ-ray mutagenesis of isolated microspore cultures
. Plant Breeding 133, 480-488 (2014). doi: 10.1111/pbr.12166A novel thermo/photoperiod-sensitive genic male-sterile (T/PGMS) rice mutant with green-revertible albino leaf color marker induced by gamma irradiation
. Field Crops Research 81(2-3), 141-147 (2003). doi: 10.1016/S0378-4290(02)00218-6Identification, cloning and sequence analysis of shallot like1-Fuhui673 from a rolled leaf mutant in rice
. Chinese Sci. Bull. 63(23), 2369-2377 (2018). doi: 10.1360/N972018-00007Photosynthetic profiling and response to heavy-ion irradiation in Dunaliella salina
. Journal of Radiation Research and Radiation Processing. 38(5), 34-41 (2020). doi: 10.11889/j.1000-3436.2020.rrj.38.050402. (in Chinese)Effect of 60Co γ ray radiation on tissue culture of gardenias
. Journal of Radiation Research and Radiation Processing. 39(3), 58-64 (2021). doi: 10.11889/j.1000-3436.2021.rrj.39.030401. (in Chinese)Different expression of miRNAs targeting helicases in rice in response to low and high dose rate γ-ray treatments
. Plant Signaling & Behavior. 8, e25128 (2013). doi: 10.4161/psb.25128Ocean acidification conditions increase resilience of marine diatoms
. Nature Communications 9, 2328 (2018). doi: 10.1038/s41467-018-04742-3Modulation of some quantitative and qualitative characteristics in rice (Oryza sativa L.) and mung(Phaseolus mungo L.) by ionizing radiation
. Radiat. Phys. Chem. 74(5), 391-394 (2005). doi: 10.1016/j.radphyschem.2004.08.005Effect of gamma irradiation on germination, growth, and biochemical parameters of Terminalia arjuna Roxb
. Radiation Protection Environment. 36(1), 38-44 (2013). doi: 10.4103/0972-0464.121826The effect of 60Co-γ irradiation on dry seeds of Zoysia japonica
. Pratacultural Science. 26(5), 155-160 (2009). (in Chinese)Study on the multiple characteristics of M3 generation of pea mutants obtained by neutron irradiation
. Nucl. Sci. Tech. 31, 67 (2020). doi: 10.1007/s41365-020-00777-8The nuclear photoelectric effect
. Proceedings of the Royal Society A. 151, 479-493 (1935). doi: 10.2307/96561Study on M1 and M2 generation effect of different dosages of neutron radiation on flax seed
. Nuclear Techniques. 40(2), 020203 (2017). doi: 10.11889/j.0253-3219.2017.hjs.40.020203. (in Chinese)Study of micronucleus induction in the root-tip cells of onion seedlings after irradiation as dry dormant seeds by 252Cf fission neutrons
. Journal of Radiation Research and Radiation Processing. 23(1), 15-18 (2005). doi: 10.3969/j.issn.1000-3436.2005.01.004Generation of nonvernal-obligate, faster-cycling Noccaea caerulescens lines through fast neutron mutagenesis
. New Phytologist. 189, 409-414 (2011). doi: 10.1111/j.1469-8137.2010.03554.xThe rice blast resistance gene Ptr encodes an atypical protein required for broad-spectrum disease resistance
. Nature Communications. 9, 2039 (2018). doi: 10.1038/s41467-018-04369-4Current strategies and advances in wheat biology
. The Crop Journal. 8(6), 879-891 (2020). doi: 10.1016/j.cj.2020.03.004Study on the relationship between seed absorbed dose and seed composition of 252Cf neutron source irradiated bean seed
. Scientific Reports. 9, 9635 (2019). doi: 10.1038/s41598-019-45829-1Economic value and high yield cultivation technology of pea
. Anhui Agricultural Science Bulletin. 15(8), 87-88 (2009). doi: 10.3969/j.issn.1007-7731.2009.08.049 (in Chinese)Phenotypic and genetic analysis of pod wall ratio, phenology and yield components in field pea
. Field Crops Research. 241, 107551 (2019). doi: 10.1016/j.fcr.2019.06.008Canopy architecture and leaf type as traits of heat resistance in pea
. Field Crops Research. 241, 107561 (2019). doi: 10.1016/j.fcr.2019.107561Identification of Stipules reduced, a leaf morphology gene in pea (Pisum sativum)
. New Phytologist. 220, 288-299 (2018). doi: 10.1111/nph.15286The Relationships between Development Trends of Maize Breeding and its Morphological Indexes
. (5), 8-9 (2010). doi: 10.3969/j.issn.1007-0907.2010.05.004. (in Chinese)Chapter 1 neutron production
,Study on Drought-resistance of A New Pea Cultivar with Needle Leaves MZ-1
. Gansu Agricultural Science and Technology. (12), 13-16 (2009). doi: 10.3969/j.issn.1001-1463.2009.12.005. (in Chinese)Preliminary study on biological effects of pea seeds (Pisum sativum L.) induced by 252Cf neutron source
. Nuclear Techniques. 36(11), 110207 (2013). doi: 10.11889/j.0253-3219.2013.hjs.36.110207. (in Chinese)Effects of neutron radiation on seed germination and seedling growth in ornamental kale
. Journal of Fujian Agriculture and Forestry University(Natural Science Edition). 37(3), 261-264 (2008). doi: 10.13323/j.cnki.j.fafu(nat.sci.).2008.03.013. (in Chinese)Investigating the use of radiation-sensitive genes Pig-a, Gadd45α, and Hprt as potential biodosimeters
. Journal of Radiation Research and Radiation Processing. 38(3), 46-53 (2020). doi: 10.11889/j.1000-3436.2020.rrj.38.030302. (in Chinese)

