1 Introduction
Tokamak is a toroidal device used in nuclear fusion research for magnetic confinement plasmas. It provides a place to test integrated technologies, materials, and physics regimes necessary for future commercial production of fusion-based electricity [1]. The neutral particle analyzer (NPA) is a crucial diagnostic device in the Tokamak facilities. It is used to determine the bulk ion temperature, isotopic ratio, and fast ion distribution of the plasma by measuring the charge exchange neutral particles escaping from the plasma. Different types of NPAs have been built in Tokamak facilities worldwide [2-13], such as the parallel direction of electric and magnetic fields (E//B) NPA on the Tokamak Fusion Test Reactor (TFTR) [2], compact neutral particle analyzer (CNPA) on the Wendelstein 7-AS stellarator [3], low- and high-energy NPAs (LENPA and HENPA) on the International Thermonuclear Experimental Reactor (ITER) [10], solid-state NPA (ssNPA) on the Experimental Advanced Superconducting Tokamak (EAST) [11], and the CP-NPA on the HuanLiuqi-2A (HL-2A) [12].
The stripping unit of the NPA plays an important role in the analysis of neutral particles, except in flux measurement NPAs, such as ssNPA [11]. It provides a place to re-ionize the charge-exchange neutral particles. According to the state of the stripping material, the stripping unit can be divided into two types: stripping foil and gas chamber. When a stripping foil is used in the NPA for low-energy neutrals, an additional accelerating or focusing voltage is required for the secondary ions [3, 9, 10]. A carbon foil with a thickness of 100 Å is commonly used as the stripping foil. In contrast, a gas chamber requires a differential pumping system when stripping gas is used. Typically, an integrated target thickness of the order of 1016 atoms/cm2 for H2 gas is used in the Joint European Torus (JET) NPA [13], and 1015 atoms/cm2 for He gas is used in the E//B NPA on TFTR [2].
The energetic particles, also known as fast, superthermal, hot, and high-energy particles, are expected to play a critical role in plasma heating, current drive, momentum transport, energy transfer, and plasma stability [14, 15]. Many experimental and theoretical studies have been conducted in this field [16-20], and other related fields [21-26]. To study the frontier physics of energetic particles and to measure the fuel ratio, a new E//B NPA was designed in the present experimental devices [27]. This E//B NPA is a tandem-type NPA –– similar to the CNPA built at the Ioffe Physicotechnical Institute, Russia [3]. It provides mass resolution (H and D resolution) for particles in the energy range of 20 to 200 keV. The magnetic field is generated with a permanent magnet for a smaller size of the NPA and easy maintenance. The upper limit energy of the E//B NPA was determined from the negative ion source neutral beam heating on the Huanliuqi-2M (HL-2M) device. The lower limit was set to 20 keV because our study focused on the fast ions instead of the background ions. For more details, refer to our previous work in Ref. [27].
In this study, a gas stripping chamber of a new E//B NPA was designed and studied. A windowless gas stripping chamber was adopted to avoid the replacement of the stripping foils and ensure their easy maintenance during actual operation. The performance of the gas-stripping chamber was investigated using ANSYS Fluent [28, 29] and MolFlow+ [30], together with GEANT4 [32, 33]. This article is organized as follows: The design and pressure calculation of the gas stripping chamber are presented in Sect. 2. The results of the GEANT4 simulation and discussions are presented in Sect. 3. A brief summary is provided in Sect. 4.
2 Design and pressure calculation of the gas stripping chamber
The stripping unit is one of the main parts of the NPA. The electrons of the escaped neutral particles are stripped in the stripping unit. A windowless gas stripping chamber was adopted in the design to avoid replacement of the stripping foil and for easy maintenance. To obtain a specific high pressure inside the stripping room and high vacuum in the outside vacuum chamber at the same time, two differential pipes with small flow conductance were used for the stripping room. Figure 1 shows the schematic layout of the stripping chamber. The stripping room (1) with two differential pipes (2) 36 mm in length and 4 mm in diameter was placed inside a vacuum chamber (3). Two holes with diameters of 6 mm (7 and 8) were made on the entrance and exit flanges to limit the beam size and maximize the vacuum isolation from the upstream pipe and downstream chamber. H2 gas was used as the stripping gas to avoid polluting the Tokamak fuel. It was filled in the stripping room from the top flange (5) of the vacuum chamber through a bellow (4). A machinery-bearing molecular pump with a pumping speed of 340 L/s was used at the bottom of the vacuum chamber together with a gate valve (11).
-202107/1001-8042-32-07-003/alternativeImage/1001-8042-32-07-003-F001.jpg)
The pressure distribution inside the stripping chamber is one of the main concerns in our design. A pressure of dozens of Pa is required in the stripping room to obtain sufficient stripping efficiency for high-energy hydrogen (H) and deuteron (D) atoms. In this pressure region, the gas flow state in the stripping room remains in a viscous-molecular flow state [31]. The pressure in the gas inlet and bellow was higher than that in the stripping room. On the contrary, a pressure, two or three orders of magnitude lower, was estimated in the vacuum chamber. The mean free path of the gas molecule inside the vacuum chamber is larger than the size of the chamber, and the motion of the gas molecule can be treated as collision-less. The Monte Carlo code of MolFlow+ is often used to calculate the pressure distribution of collision-less gas in a high-vacuum system. However, it is not accurate for all gas regions in the gas stripping chamber. The computational fluid dynamics (CFD) software, which can evaluate the nonlinear effect of viscous fluid, has a better performance in the high-pressure region. However, the calculations of the CFD software in the high-vacuum region show an unnatural bump at the corners. Therefore, the gas pressure distribution of the stripping chamber was calculated by combining the CFD software of ANSYS Fluent [28, 29] (for the viscous region in the bellow, stripping room, and differential pipes) and the Monte Carlo software of MolFlow+ [30] (for the low-pressure collision-less region in the vacuum chamber).
Three-dimensional CFD calculations were performed using the ANSYS Fluent software. The fluid region was established according to the structure of the stripping chamber, as shown inFig. 1. A laminar viscous model was adopted in the calculations. A pressure-type gas inlet was present at the top flange (5) of the vacuum chamber, and the pressure at the gas inlet P0 ranged from 20 to 400 Pa with a step of 20 Pa set in the simulation. Three pressure-type gas outlets were present at the entrance and exit holes (7 and 8), and at the bottom of the gate valve (11). A pressure of 10-3 Pa was assumed for all three outlets. Owing to the large flow conductance of the two differential pipes (2), a small change in the outlet pressure does not affect the pressure distribution in the stripping room. Moreover, the pressure distribution in the vacuum chamber was changed based on the results from MolFlow+. Therefore, a pressure of 10-3 Pa at the outlets was used for all the ANSYS Fluent calculations. Stainless steel was used as the wall material. A room temperature of 300 K was used for the calculations. A typical gas flow rate of 9.97 Pa⋅L/s was obtained at the bottom of the bellow for the input pressure P0 = 100 Pa.
In the low-pressure region in the vacuum chamber (3) inFig. 1 and inside the differential pipe (2) at |z| > 42 mm, where z = 0 was set at the center of the stripping room, the pressure distribution was simulated by MolFlow+ at the same temperature of 300 K. For the MolFlow+ simulation, the outgassing rate was adopted from the ANSYS Fluent calculations at z = ±42 mm inside the differential pipe, 4 mm from the pipe exit. For pumping, it was assumed that the gas molecules are absorbed when they hit the surfaces of the entrance and exit holes (7 and 8); that is, the sticking factor was set to 1 on the surfaces. This resulted in a pumping speed of 12.4 L/s through the entrance and exit holes. A pumping speed of 340 L/s was set at the bottom of the gate valve (11).
The simulated two-dimensional (2D) pressure distribution at P0= 100 Pa in the y-z plane at x = 0 is shown inFig. 2 (a). The detailed pressure distribution around the stripping room is shown inFig. 2 (b) at a magnified scale. The pressure distribution along the beam line is shown inFig. 2 (c) plotted on a logarithmic scale. Using the two differential pipes in the design, the desired high pressure was achieved inside the stripping room, and a linear decrease in pressure was observed inside the two differential pipes and the entrance and exit holes. A sharp change in pressure at the entrance of the two differential pipes was observed in the ANSYS Fluent calculations. However, it was not found when MolFlow+ was used to simulate the entire gas region in the stripping chamber.
-202107/1001-8042-32-07-003/alternativeImage/1001-8042-32-07-003-F002.jpg)
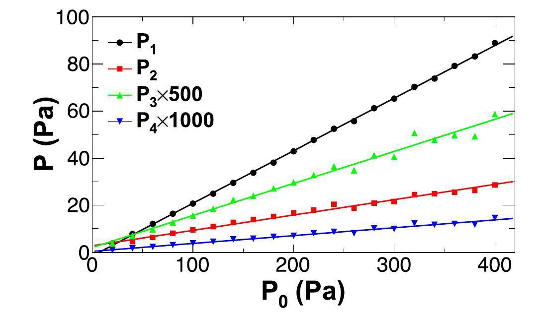
To evaluate the pressure distribution change as the pressure at the gas inlet changes, the pressures at four typical positions were examined for all the P0 values investigated. Figure 3 shows the pressure inside the stripping room (P1), at the entrance of the differential pipes (P2), at the vacuum chamber (P3), and at the outside surfaces of the entrance and exit holes (P4), as shown inFig. 2 (c) as a function of pressure at the gas inlet P0. Linear changes in P1, P2, P3, and P4 on P0 were obtained, although slight fluctuations were observed. By using the two differential pipes in the design, the pressure in the vacuum chamber was observed to be more than 500 times lower than that in the stripping room. Through the entrance and exit holes, pressure, approximately one order of magnitude lower, was obtained for the upstream pipe and downstream chamber.
-202107/1001-8042-32-07-003/alternativeImage/1001-8042-32-07-003-F003.jpg)
The integrated target thickness (nT) is an important quantity in gas-stripping chambers. It is commonly used to evaluate the efficiency of the stripping chamber. Because the pressures at the four typical positions were used to construct the pressure distribution in GEANT4 in the next section, a comparison of the exact nT and the nT calculated from the pressure distribution used in GEANT4 is necessary. Figure 4 shows nT as a function of P0 for the results of ANSYS Fluent and MolFlow+ (solid circles) and that of GEANT4 (open circles). A good agreement was found between them.
-202107/1001-8042-32-07-003/alternativeImage/1001-8042-32-07-003-F004.jpg)
3 Results of GEANT4 simulation and discussions
Utilizing the obtained P1, P2, P3, and P4, the stripping efficiencies of the stripping room were further studied using GEANT4 [32, 33]. GEANT4 is a toolkit for simulating the passage of particles through matter. It has been applied in various studies, such as our previous studies on the average neutron detection efficiency for the DEtecteur MOdulaire de Neutrons detectors (DEMON) [35] and the module test of the Collision Centrality Detector Array (CCDA) [36], as well as many other studies of electron backscattering [34], neutron time-of-flight spectrometer system at HL-2M [37], and performance of a large-size CsI detector [38].
In the GEANT4 simulation, the physics list includes electromagnetic physics [39] and hadronic physics [40], in which ion transportation and electromagnetic, nuclear elastic, and inelastic processes are activated –– although some of the processes may not be used in the actual simulation. This is because the integrated target thickness is approximately 1016 atoms/cm2, and the scattering probability of the incident particles and the target atoms is small enough such that multi-scattering is negligible. Therefore, the G4ScreenedNuclearRecoil class [41, 42] is included in the standard electromagnetic physics for incident energies ranging from 10 eV to 100 MeV.
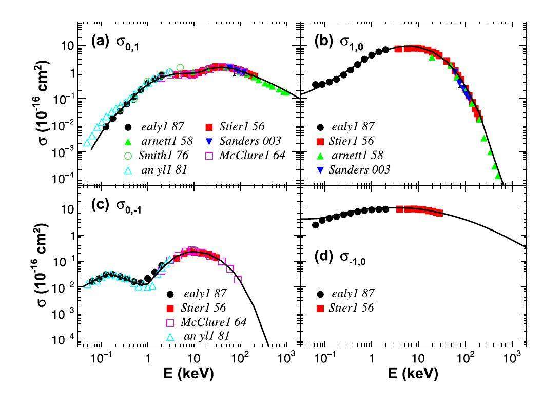
The charge states of the H and D atoms are the key variables in this study. However, the original GEANT4 could not properly handle the charge state. To simulate the charge state variation, the hadron reaction physics was modified to trace the charge state of each particle in a cross-section based method. By introducing a global charge state variable in the hadron reaction physics, the charge states of H and D were recorded when the charge exchange reaction occurred in the gas stripping chamber. During the last century, many charge-exchange cross-section measurements have been performed for H on H2 gas [43-53]. Figure 5 shows the electron loss cross-sections of H0 (σ0,1), electron capture cross sections of H+ (σ1,0), electron capture cross-sections of H0 (σ0,-1), and electron loss cross-sections of H- (σ-1,0) on H2 gas as a function of the incident energy (E) in (a), (b), (c), and (d), respectively. Solid circles, solid squares, solid up triangles, solid down triangles, open circles, open squares, and open triangles represent the data from Gealy [43], Stier [44], Barnett [45], Sanders [46], Smith [47], McClure [48], and Van Zyl [49], respectively. Solid curves represent the ORNL-recommended cross section [52, 53]. Because the experimental σ-1,0 does not cover the high-energy region at E greater than 30 keV, the ORNL recommended cross section of the H atom on H2 gas is used in the simulation. For a given velocity, the charge exchange cross sections of D on Cs [54] or Rb [55] vapor are the same as those of H. Incident energies per nucleon (E/A) of H and D are the same for the investigated energy range when they have the same velocity. Therefore, the charge exchange cross-sections of H are also used for D at the same E/A in the simulations.
-202107/1001-8042-32-07-003/alternativeImage/1001-8042-32-07-003-F005.jpg)
The simulations were performed for H and D on H2 gas with incident energies ranging from 20 to 200 keV in steps of 20 keV and with P0 ranging from 20 to 400 Pa in steps of 20 Pa. H and D atoms are generated at the entrance hole (7) of the vacuum chamber, corresponding to the z position of -120 mm, and distributed uniformly on the entrance hole surface with the same diameter of 6 mm. The momentum direction was assumed to be parallel to the z-axis. One million events were generated for each run. The energy losses (ΔE/E) of H and D at 20 keV as a function of P0 are shown inFig. 6. A slightly lower energy loss is observed for D because the mass of D is twice that of H, which causes less energy loss during the collisions. It can be seen fromFig. 6 that H and D increase linearly as P0 increases. The maximum energy loss of 20 keV for H and D was less than 4% for all P0 investigated. Compared to the energy resolution of this NPA, the energy losses of H and D after passing through the stripping chamber are small and can be neglected.
-202107/1001-8042-32-07-003/alternativeImage/1001-8042-32-07-003-F006.jpg)
Because the diameters of the two differential pipes are smaller than those of the entrance and exit holes, some of the incident particles will be stopped by the geometry of the stripping chamber. Moreover, owing to the Coulomb scattering of the incident particles and the target atoms, some of the incident particles are scattered away from their original directions. Therefore, the transmission rate (R) of the incident particles is important, especially for low-energy particles that suffer more Coulomb scattering when they pass through the stripping chamber. In this study, the transmission rate is defined as the ratio between the number of particles reached at the exit hole (8) after passing through the stripping chamber with H2 gas (P0 > 0 Pa) and that without the gas (P0= 0 Pa, vacuum). Thus, the particle loss caused by the geometry of the stripping chamber was canceled out. Figure 7 shows the transmission rate as a function of the incident energy for P0 = 20 Pa (circles), 100 Pa (squares), and 400 Pa (triangles) in (a); and as a function of P0 for the incident energy E = 20 keV (circles), 40 keV (squares), and 100 keV (triangles) in (b). The solid and open symbols represent H and D, respectively. A slight increasing trend was observed for the transmission rate as the incident energy increased, but it showed an opposite trend as P0 increased. The scattering loss was small (less than 3%) for all the investigated incident energies and input pressures.
-202107/1001-8042-32-07-003/alternativeImage/1001-8042-32-07-003-F007.jpg)
The stripping efficiency in the stripping chamber was evaluated using the charge fraction variable (f) for the incident particles after the stripping area. The evolution of the charge fraction inside the stripping area is the most important aspect of this study. Figure 8 shows the charge state fraction as a function of the z position in the stripping chamber for H and D atoms at 20, 100, and 200 keV. The pressures used in the simulation are those from the results of P0 = 100 Pa, as shown in Sect. 2. The solid, dashed, and long-dashed curves correspond to the fractions of the charge states 0, +1, and -1, respectively. Owing to the small cross section of σ0,-1, the fraction of charge state -1 is less than 2% for H and D at an incident energy of 20 keV and becomes negligible for higher incident energies. The fraction of charge states 0 and +1 shows a sharp change starting from around z -40 mm, which is because the stripping room is located at -46 mm <z< 46 mm. Owing to the energy dependence of the charge exchange cross section, particles with lower incident energies have smaller saturation thicknesses for the charge fractions. The higher stripping efficiency for particles with larger energies is mainly caused by the sharp decrease in σ1,0 as the incident energy increases.
-202107/1001-8042-32-07-003/alternativeImage/1001-8042-32-07-003-F008.jpg)
Figure 9 shows the fraction of charge state +1 (f+1) at z = 120 mm as a function of E/A for P0 = 20 Pa (circles), 100 Pa (squares) and 400 Pa (triangles) in (a), and as a function of P0 for the incident energy E = 20 keV (circles), 100 keV (squares) and 200 keV (triangles) in (b). Solid and open symbols represent H and D, respectively. One can see fromFig. 9 (a) that f+1 increases at lower incident energies for different P0 up to E/A around 100 keV. After reaching the maximum value, f+1 decreases for P0 = 20 Pa, and stays flat for P0 = 100 Pa, but keeps slowly increasing for P0 = 400 Pa as E/A increases. This indicates that the thickness of the stripping gas is not enough for higher energy particles at P0 = 20 Pa. No noticeable difference between H and D is observed, indicating that the results can also be applied to neutral Tritium particles when E/A is used. As shown inFig. 9 (b), the fractions of charge state +1 quickly reach a maximum value and keep the maximum as P0 increases at lower E. For larger E, the fractions increase faster at lower P0 and reach the maximum at a pressure of around P0 = 240 Pa.
-202107/1001-8042-32-07-003/alternativeImage/1001-8042-32-07-003-F009.jpg)
To verify the GEANT4 results, f+1 is also calculated using the gas-integrated target thickness (nT) as
σ01 and σ10 are the stripping (electron loss) and charge exchange (electron capture) cross-sections of H(D) and H+(D+), respectively. The small amount of particle loss due to the electron capture of H(D), σ0-1, and σ-10, is neglected in Eq. (1). The results are shown inFig. 10. The symbols are the same f+1 values from the GEANT4 simulation inFig. 9 (b) but plotted as a function of nT, and the solid and dashed lines are those from Eq. (1) for H and D, respectively. Good agreement was found between the calculations and GEANT4 simulations. These good agreements originate from the following facts: In the GEANT4 simulation, the evaluation of f+1 is obtained from a Monte Carlo sampling of the charge state along the particle track according to the cross-sections of σ01, σ10, σ0-1, and σ-10. As mentioned earlier, in Eq. (1), only a part of the cross-sections (σ01 and σ10) are used, neglecting σ0-1 and σ-10, because the latter values are orders of magnitude smaller.
-202107/1001-8042-32-07-003/alternativeImage/1001-8042-32-07-003-F010.jpg)
To determine the optimum condition, the global efficiency, a combination of transmission rate and fraction of charge state +1, R × f+1, was further studied. Figure 11 shows the global efficiency of R × f+1 as a function of P0 for the incident energies E = 20, 100, and 200 keV in (a), (b), and (c), and as a function of nT in (d), (e), and (f), respectively. The global efficiency of H and D decreases gradually as the pressure P0 increases for E = 20 keV. On the other hand, the global efficiency shows a trend similar to that of f+1 as the pressure P0 increases for E = 100 and 200 keV. For pressures P0> 240 Pa, the global efficiency becomes flat for all conditions of H and D at the incident energy E≥100 keV. Considering the low temperature of the plasma in HL-2A/M, the number of high-energy particles is orders of magnitude lower than that of the low-energy particles. Therefore, P0 = 240 Pa was obtained as the optimum pressure for the maximum global efficiency in the incident energy range investigated. At this P0, the pressure in the vacuum chamber is less than 0.1 Pa, which is within the operating pressure range of the molecular pump. The simulation results would provide a useful guide for practical applications.
-202107/1001-8042-32-07-003/alternativeImage/1001-8042-32-07-003-F011.jpg)
4 Summary
The neutral particle analyzer (NPA) is a crucial diagnostic device in Tokamak facilities. The stripping unit is one of the main parts of NPA. A windowless gas tripping room with two differential pipes was adopted to maintain a certain pressure in the parallel electric and magnetic fields (E//B) NPA. The gas pressure distribution of the striping chamber was calculated by combining the computational fluid dynamics (CFD) software ANSYS Fluent, and the Monte Carlo software MolFlow+ for the low-pressure collision-less region in the vacuum chamber. The pressure distribution along the beam direction was obtained for different input pressures. A certain high pressure was achieved inside the stripping room, and a linear decreasing pressure was obtained inside the differential pipes and the entrance and exit holes. A pressure more than two orders smaller was obtained in the vacuum chamber than that inside the stripping room.
Based on the pressure distributions calculated by ANSYS Fluent and MolFlow+, the stripping efficiency of the stripping chamber for H and D atoms at incident energies ranging from 20 to 200 keV was studied using GEANT4. The energy losses of H and D after passing through the stripping chamber are small and can be neglected for all the investigated incident energies and input pressures. The scattering loss of H and D atoms on H2 gas was studied using the transmission rate (R) of the incident atoms. A slight increasing trend was observed for R as the incident energy increased, but showed an opposite trend as the input pressure (P0) increased. The scattering loss is small (less than 3%) for all the investigated incident energies and input pressures.
A charge state variable was introduced to track the charge state of the particles in the GEANT4 simulation. Adopting the ORNL-recommended charge exchange cross sections with modified hadron reaction physics, the charge state of each particle is traced in the simulation. The behaviors of the charge fractions along the beam direction (z-axis) in the H2 gas were investigated for E = 20, 100, and 200 keV H and D atoms. The stripping efficiency was obtained as the fraction of charge state +1 at the exit hole of the vacuum chamber (z = 120 mm). After reaching the maximum value, f+1 decreases for P0 = 20 Pa, and remains flat for P0 = 100 Pa, but continues to increase slowly for P0 = 400 Pa as the incident energy per nucleon increases. f+1 quickly reaches a maximum value and maintains the maximum as P0 increases at lower E. For larger E, the fractions increase faster at lower P0 and reach a maximum at an input pressure of approximately P0 = 240 Pa.
According to the combined global efficiency, R × f+1, P0 = 240 Pa was found to be the optimum pressure for the maximum global efficiency in the incident energy range investigated. The simulation results would provide a useful guide for practical applications.
Construction and operation of parallel electric and magnetic field spectrometers for mass/energy resolved multi-ion charge exchange diagnostics on the Tokamak Fusion Test Reactor
. Rev. Sci. Instrum. 69, 2651 (1998). doi: 10.1063/1.1148994A compact neutral-particle analyzer for plasma diagnostics
. Instruments Exp. Tech. 47, 214 (2004). doi: 10.1023/B:INET.0000025204.01783.1aDesign features of the neutral particle diagnostic system for the ITER tokamak
. Phys. At. Nucl. 80, 1268 (2017). doi: 10.1134/S1063778817070109Charge exchange neutral particle analysis with natural diamond detectors on LHD heliotron
. Rev. Sci. Instrum. 72, 611 (2001). doi: 10.1063/1.1318250A diamond-detector-based system for spectrometry of fast atoms on the JET tokamak
. Instruments Exp. Tech. 51, 258-262 (2008). doi: 10.1134/S0020441208020188Design and calibration of the JET time of flight neutral particle analyzer with high noise rejection capability
. Rev. Sci. Instrum. 63, 5685 (1992). doi: 10.1063/1.1143350Compact and multi-view solid state neutral particle analyzer arrays on National Spherical Torus Experiment-Upgrade
. Rev. Sci. Instrum. 87, 11D803 (2016). doi: 10.1063/1.4959798Neutral particle analyzer/isotope separator for measurement of hydrogen isotope composition of JET plasmas
. Rev. Sci. Instrum. 74, 2338 (2003). doi: 10.1063/1.1542664Neutral particle analysis on ITER: present status and prospects
. Nucl. Instrum. Meth. A 621, 456 (2010). doi: 10.1016/j.nima.2010.06.201First results from solid state neutral particle analyzer on experimental advanced superconducting tokamak
. Rev. Sci. Instrum. 87, 11D834 (2016). doi: 10.1063/1.4962063A new neutral particle analyzer diagnostic and its first commissioning on HL-2A
. Rev. Sci. Instrum. 83, 10D702 (2012). doi: 10.1063/1.4729494Design and calibration of the JET neutral particle analyzer
. Rev. Sci. Instrum. 58, 788 (1987); doi: 10.1063/1.1139634Energetic particles in magnetic confinement fusion plasmas
. Chin. Phys. Lett. 37, 125001 (2020). doi: 10.1088/0256-307X/37/12/125001Physics of Alfvén waves and energetic particles in burning plasmas
. Rev. Mod. Phys. 88, 015008 (2016). doi: 10.1103/RevModPhys.88.015008Energetic particle physics on the HL-2A tokamak: A review
. Chin. Phys. Lett. 38, 035202 (2021). doi: 10.1088/0256-307X/38/3/035202Verification of energetic-particle-induced geodesic acoustic mode in gyrokinetic particle simulations
. Chin. Phys. Lett. 37, 095201 (2020). doi: 10.1088/0256-307X/37/9/095201Fast-ion velocity-space tomography using slowing-down regularization in EAST plasmas with co- and counter-current neutral beam injection
. Plasma Phys. Control. Fusion 62, 115019 (2020). doi: 10.1088/1361-6587/abb79bEnergetic particle physics in fusion research in preparation for burning plasma experiments
. Nucl. Fusion 54, 125001 (2014). doi: 10.1088/0029-5515/54/12/125001Review of the experiments for energetic particle physics on HL-2A
. Plasma Sci. Technol. 20, 094008 (2018). doi: 10.1088/2058-6272/aad27aNonlinear coupling of reversed shear alfvén eigenmode and toroidal alfvén eigenmode during current ramp
. Chin. Phys. Lett. 38, 035201 (2021). doi: 10.1088/0256-307X/38/3/035201A new path to improve high βp plasma performance on EAST for steady-state tokamak fusion reactor
. Chin. Phys. Lett. 37, 045202 (2020). doi: 10.1088/0256-307x/37/4/045202Stabilization of short wavelength resistive ballooning modes by ion-to-electron temperature and gradient ratios in tokamak edge plasmas
. Chin. Phys. Lett. 37, 062801 (2020). doi: 10.1088/0256-307X/37/6/062801Correction and verification of HL-2A Tokamak Bonner sphere spectrometer in monoenergetic neutron fields from 100 keV to 5 MeV
. Nucl. Sci. Tech. 30, 159 (2019). doi: 10.1007/s41365-019-0689-9Improved plasma position detection method in EAST Tokamak using fast CCD camera
. Nucl. Sci. Tech. 30, 24 (2019). doi: 10.1007/s41365-019-0549-7Calculation of the heat flux in the lower divertor target plate using an infrared camera diagnostic system on the experimental advanced superconducting tokamak
. Nucl. Sci. Tech. 30, 94 (2019). doi: 10.1007/s41365-019-0625-zDesign of the electromagnetic field for an E//B neutral particle analyzer
. Plasma and Fusion Research, 15, 2402036 (2020). doi: 10.1585/pfr.15.2402036Simulation of nucleate boiling under ANSYS-FLUENT code by using RPI model coupling with artificial neural networks
. Nucl. Sci. Tech. 26, 040601 (2015). doi: 10.13538/j.1001-8042/nst.26.040601Introduction to the Latest Version of the Test-particle Monte Carlo Code Molflow+
.Geant4—a simulation toolkit
. Nucl. Instrum. Meth. A 506, 250 (2003). doi: 10.1016/S0168-9002(03)01368-8Recent developments in Geant4
. Nucl. Instrum. Meth. A 835, 186 (2016). doi: 10.1016/j.nima.2016.06.125Electron backscattering simulation in Geant4
. Nucl. Instrum. Meth. B 425, 18 (2018). doi: 10.1016/j.nimb.2018.03.037Average neutron detection efficiency for DEMON detectors
. Nucl. Instrum. Meth. A 709, 68 (2013). doi: 10.1016/j.nima.2013.01.039A module test of CCDA: an array to select the centrality of collisions in heavy ion collisions
. Chin. Phys. Lett. 31, 082502 (2014). doi: 10.1088/0256-307X/31/8/082502Development of the real-time double-ring fusion neutron time-of-flight spectrometer system at HL-2M
. Nucl. Sci. Tech. 30, 175 (2019). doi: 10.1007/s41365-019-0702-3Study on the performance of a large-size CsI detector for high energy γ-rays
. Nucl. Sci. Tech. 29, 7 (2018). doi: 10.1007/s41365-017-0345-1Recent progress of Geant4 electromagnetic physics for calorimeter simulation
. J. Inst. 13, C02054 (2018). doi: 10.1088/1748-0221/13/02/C02054Hadronic shower models in Geant4 – the frameworks
. Comp. Phys. Comm. 140, 65(2001). doi: 10.1016/S0010-4655(01)00256-9A screened Coulomb scattering module for displacement damage computations in Geant4
. IEEE Trans. Nucl. Sci. 51, 3669(2004). doi: 10.1109/TNS.2004.839643An algorithm for computing screened Coulomb scattering in Geant4
. Nucl. Instrum. Meth. B 227, 420 (2005). doi: 10.1016/j.nimb.2004.08.014Cross sections for electron capture and loss. I. H+ and H- impact on H and H2
. Phys. Rev. A 36, 3091 (1987) doi: 10.1103/physreva.36.3091;Charge exchange cross sections of hydrogen ions in gases
. Phys. Rev. 103, 896 (1956). doi: 10.1103/PhysRev.103.896X-ray study of deuteron-irradiated copper near 10°K
. Phys. Rev. 109, 355 (1958). doi: 10.1103/PhysRev.109.355Electron capture by protons and electron loss from hydrogen atoms in collisions with hydrocarbon and hydrogen molecules in the 60–120 keV energy range
. J. Phys. B At. Mol. Opt. Phys. 36, 3835 (2003). doi: 10.1088/0953-4075/36/18/311Measurement of electron loss cross sections for 0.25- to 5-keV hydrogen atoms in atmospheric gases
. J. Geophys. Res. 81, 2231 (1976). doi: 10.1029/JA081i013p02231Ionization and dissociation of fast H2 molecules incident on H2 gas
. Phys. Rev. 134, A1126 (1964). doi: 10.1103/PhysRev.134.A1226Charged particle production in low energy H+H2 and H+He collisions
. J. Chem. Phys. 74, 314 (1981). doi: 10.1063/1.440836Free-collision model calculations for projectile electron loss by the H2 molecule
. J. Phys. B At. Mol. Opt. Phys. 44, 225201 (2011). doi: 10.1088/0953-4075/44/22/225201Electron capture and loss by hydrogen atoms in molecular hydrogen
. Phys. Rev. 118, 1233 (1960). doi: 10.1103/PhysRev.118.1233Data for secondary-electron production from ion precipitation at Jupiter III: Target and projectile processes in H+, H, and H- + H2 collisions
. Atom. Data Nucl. Data 132, 101307 (2020). doi: 10.1016/j.adt.2019.101307Charge exchange cross sections for hydrogen and deuterium ions incident on a Cs vapor target
. Phys. Lett. A 54, 333 (1975). doi: 10.1016/0375-9601(75)90282-0Charge-exchange collisions between hydrogen ions and cesium vapor in the energy range 0.5-20 keV
. Phys. Rev. 177, 184, (1969). doi: 10.1103/PhysRev.177.184

