Introduction
The equation of state (EOS) of nuclear matter, which originates from the interactions between nuclear matter, plays an important role in nuclear physics and astrophysics. Heavy-ion collisions, the properties of nuclei, and neutron stars (NSs) have been widely studied to extract the nuclear EOS. Because nuclear many-body problems are highly nonlinear and the EOS is not a directly observable quantity in experiments, there are still some uncertainties in the EOS despite great efforts [1-6]. For instance, the EOS extracted from the GW170817 event has uncertainties at high nuclear densities [2]. Although the EOS can be extracted from the properties of NSs, the internal composition of NSs is still poorly understood. The core of an NS may contain exotic materials such as hyperons, kaons, pions, and deconfined quark matter [7-12]. Heavy-ion collisions in terrestrial laboratories provide a unique opportunity to study both the EOS and exotic materials.
Collective flows of heavy-ion collisions were proposed in the 1970s and first detected in experiments at Bevalac [13-16]. Because collective flows are associated with nucleon-nucleon interactions, nucleon-nucleon scattering, etc., collective flows have been used to extract the nuclear EOS [1]. Collective flows are also helpful for understanding the phase transition between hadronic and quark matter. Generally, when a phase transition between hadronic and quark matter occurs, the collective flows of heavy-ion collisions indicate a soft EOS [17-21]. In addition, the ratios of the isospin particles in heavy-ion collisions, such as π-/π+, K0/K+, and ∑-/∑+, are thought to be sensitive to the stiffness of the EOS [22-28]. The production of pions and kaons has been experimentally measured in 197Au+197Au collisions. The K+ production predicted by various transport models favors a soft EOS of isospin-symmetric nuclear matter at high baryon densities [29-33]. The π-/π+ ratio predicted by various transport models is still model-dependent [34-37]. Based on the FOPI data for the π-/π+ ratio [38], some results favor a stiff symmetry energy (isospin asymmetric part of the EOS) [34, 35], whereas others imply a soft symmetry energy [36, 37]. Recently, by analyzing the ratios of charged pions in 132Sn + 124Sn, 112Sn +124Sn, and 108Sn + 112Sn collisions [39], a slope of the symmetry energy ranging from 42 to 117 MeV was suggested [40, 41]. The collective flows and ratios of charged pions are still worth studying to find the sources of the difference in various transport models and to extract information about the EOS from heavy-ion collisions.
Quantum molecular dynamics (QMD) is a popular transport model that has been developed into many versions and used to successfully describe the properties of nuclear matter, nuclei, mesons, and hyperons [33, 34, 42-55]. In high-energy heavy-ion collisions, the relativistic effects should be considered in QMD because they become significant. The RQMD approach has been proposed for this purpose [42, 43]. Recently, relativistic mean field theory (RMF) was implemented in RQMD (RQMD.RMF) [44-46]. The RQMD.RMF has been successfully applied to investigate the collective flows of hadrons [44-46]. In this study, we implemented RMF theory with isovector-vector and isovector-scalar fields in the Lanzhou quantum molecular dynamics model (LQMD.RMF). The channels for the generation and decay of resonances (Δ(1232), N*(1440), N*(1535), etc.), hyperons, and mesons were included in the previous LQMD model [33, 34, 47-50]. Using the LQMD.RMF, we explored the relationship between the symmetry energy and the properties of the collective flow and pion production.
The remainder of this paper is organized as follows. In Sect. 2, we briefly introduce the formulas and approaches used in this study. The formulas include RMF theory, the dispersion relation, and the production of pions. The results and discussion are presented in Sect. 3. Finally, a summary is presented in Sect. 4.
Formalism
Relativistic mean field approach
The RMF interaction is achieved by exchanging mesons. Scalar and vector mesons provide medium-range attraction and short-range repulsion between nucleons, respectively [56]. The nonlinear self-interaction of the σ meson is introduced to reduce the incompressibility to a reasonable domain [57]. To investigate the properties of symmetry energy, we also consider the isovector-vector ρ [58] and isovector-scalar δ mesons [59]. The Lagrangian density is expressed as [59, 60]
In the RMF approximation, the energy density is given by
-202401/1001-8042-35-01-014/alternativeImage/1001-8042-35-01-014-F001.jpg)
Using the isospin asymmetry parameter
| Model | gω | g2 (fm-1) | g3 | gρ | gδ | K (MeV) | Esym(ρ0) (MeV) | L (ρ0) (MeV) | Ksym (MeV) | ||
|---|---|---|---|---|---|---|---|---|---|---|---|
| Set1 | 8.145 | 7.570 | 31.820 | 28.100 | 4.049 | - | 230 | 31.6 | 85.3 | 0.81 | -15 |
| Set2 | 8.145 | 7.570 | 31.820 | 28.100 | 8.673 | 5.347 | 230 | 31.6 | 109.3 | 0.81 | 141 |
| Set3 | 8.145 | 7.570 | 31.820 | 28.100 | 11.768 | 7.752 | 230 | 31.6 | 145.0 | 0.81 | 391 |
-202401/1001-8042-35-01-014/alternativeImage/1001-8042-35-01-014-F002.jpg)
Relativistic quantum molecular dynamics approach
To investigate high-energy heavy-ion collisions, RQMD was proposed [42, 43]. Recently, RMF was implemented in RQMD [44-46]. In RQMD, for an N-body system, there are 4N position coordinates
Dispersion relation and production of pions
The Hamiltonian of the mesons is defined as [48, 83-85]
Both the Coulomb and pion potentials contribute to the decay of resonances and the reabsorption of pions. For instance, the energy balance of Δ0 in the decay of resonances and the reabsorption of pions can be written as
The pion is generated from direct nucleon-nucleon collision and decay of the resonances Δ(1232) and N* (1440). The reaction channels of the resonances and pions, which are the same as those in the LQMD model, are as follows [33, 48, 86, 87]:
The decay width of Δ(1232) and N* (1440), which originates from the p-wave resonances, is momentum-dependent and is expressed as [88]
Note that the threshold effect was neglected in this study. The threshold effect mainly refers to the Δ production threshold energy and incident energy of two colliding nucleons modified by the medium. The incident and threshold energies in the medium are defined as
Results and discussions
The directed and elliptic flows were derived from the Fourier expansion of the azimuthal distribution:
Firstly, the collective flows of LQMD.RMF in the 197Au + 197Au collisions have been investigated at an incident energy of 2.92 GeV/nucleon (the corresponding nucleon-nucleon center-of-mass energy is
-202401/1001-8042-35-01-014/alternativeImage/1001-8042-35-01-014-F003.jpg)
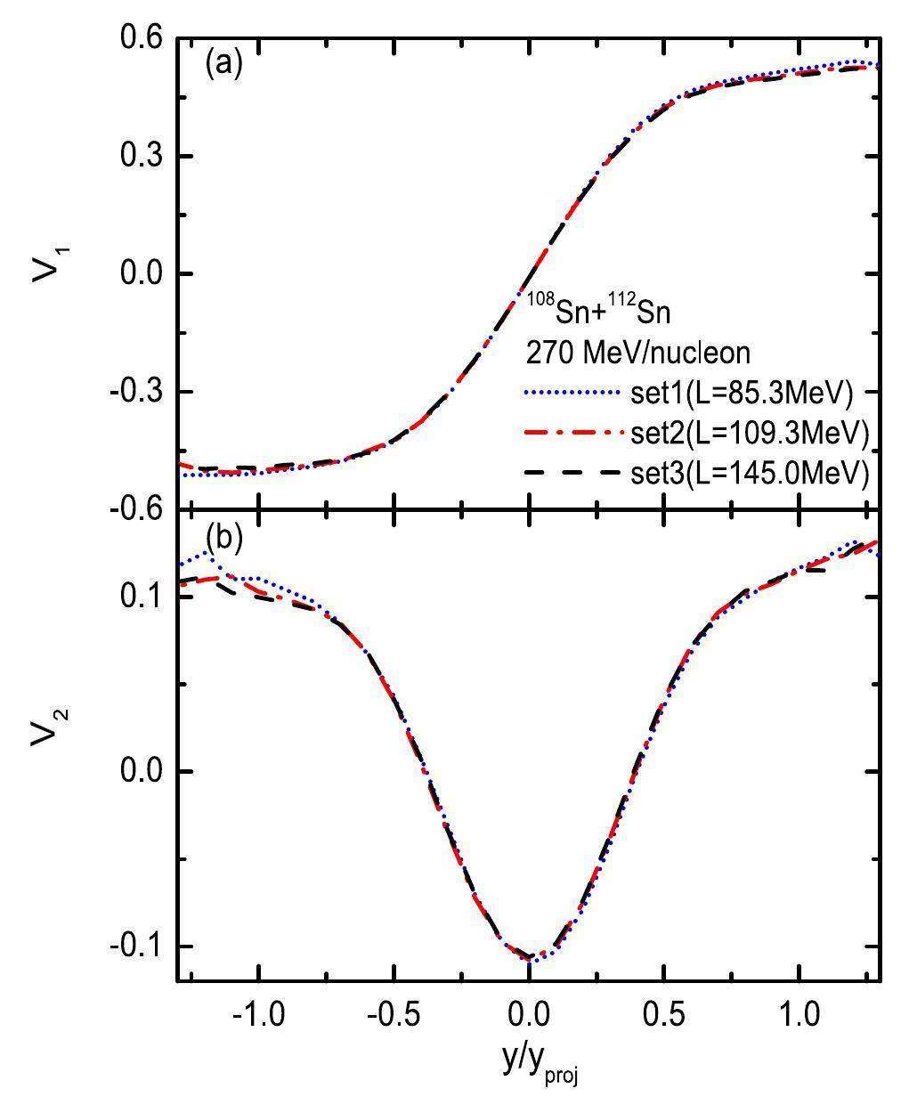
With this LQMD.RMF model, the 108Sn + 112Sn and 132Sn + 124Sn collisions in this study were investigated at an incident energy of 270 A MeV and an impact parameter b=3 fm. At an incident energy of 270 A MeV, the nuclear matter of the collision center can be compressed to densities approaching 2ρ0. In this dense region, collective flows, which reflect nucleon-nucleon interactions, can be used to extract the high-density behavior of the EOS [1, 44, 79, 86, 95]. The collective flows of free protons in the 108Sn + 112Sn and 132Sn + 124Sn collisions are shown in Fig. 4 and Fig. 5, respectively. It is reasonable that the maximum value of the directed flow V1 was significantly larger than that of the elliptic flow V2. In the same reaction system, the difference in the directed flows with various slopes of symmetry energy (set1, set2, and set3) was small. The difference in the elliptic flows with various slopes of symmetry energy was also small. To determine the relationship between the slope of the symmetry energy and the collective flow, we must process the collective flow data.
-202401/1001-8042-35-01-014/alternativeImage/1001-8042-35-01-014-F004.jpg)
-202401/1001-8042-35-01-014/alternativeImage/1001-8042-35-01-014-F005.jpg)
The difference between neutron and proton directed flows emitted from heavy-ion collisions can be used to extract the density dependence of the symmetry energy [86, 95]. The difference between the neutron and proton directed flows is defined as V1n-V1p, as shown in Fig. 6. The trend and shape of the difference between the neutron and proton directed flows were similar to those of nonrelativistic LQMD [86]. For a given reaction system (nearly symmetric 108Sn + 112Sn system or neutron-rich 132Sn + 124Sn system), the absolute value of the difference between the neutron and proton directed flows with a soft symmetry energy was higher than that with a stiff symmetry energy. Interestingly, the stiffness of the symmetry energy can be reflected through the difference between the neutron and proton directed flows. The relationship between the curvature of the symmetry energy Ksym and the collective flows was then investigated. The difference between Ksym of set1 and Ksym of set3 was 406 MeV, which was significantly larger than the 59.7 MeV difference between L of set1 and L of set3. Although the curvature of the symmetry energy Ksym also affected the difference between the neutron and proton directed flows, because the nuclear matter of the collision center could only approach 2ρ0 at an incident energy of 270 A MeV, the effects of Ksym were not significant compared to the effects of the slope parameter L.
-202401/1001-8042-35-01-014/alternativeImage/1001-8042-35-01-014-F006.jpg)
In addition to collective flows, the production of isospin exotic particles such as hyperons, kaons, and pions can also be used to extract the symmetry energy [22-28]. Because the thresholds of hyperons and kaons were not reached at the incident energies in this study, the isospin exotic particles were pions. First, we calculated the ratio between the π- and π+ yields of the neutron-rich 132Sn + 124Sn system as a function of the collision energy at the impact parameter b=3fm and θcm<90°. Because set1 had the softest symmetry energy, it had the highest neutron density. Consequently, there were more neutron-neutron scatterings in set1, resulting in the production of more Δ- and π-. As shown in Fig. 7, the π-/π+ ratio of set1 was the highest, and the π-/π+ ratio of set2 was higher than that of set3. Specifically, at a collision energy of 270 MeV/nucleon, the π-/π+ ratio without (with) the π potential changed from 2.71 (2.54) to 2.23 (2.06) when the slope parameter was varied from L=85.3 to 145.0 MeV, that is, from set1 to set3. In other words, the π-/π+ ratio as a function of collision energy depends on the stiffness of the symmetry energy. This result was consistent with the predictions of most transport models [28, 39, 90]. When the π potential was considered, the interaction between π and the nucleon became attractive, resulting in a decrease in both π- and π+ via the absorbed channels
-202401/1001-8042-35-01-014/alternativeImage/1001-8042-35-01-014-F007.jpg)
Next, the properties of π were predicted as a function of the transverse momentum. As shown in Fig. 8, the left and right panels are the transverse momentum spectra of pions for the nearly symmetric 108Sn + 112Sn and neutron rich 132Sn + 124Sn reactions at θcm<90°, respectively. In collisions between isotopes, π+ is mainly generated from collisions between protons and π- is mainly generated from collisions between neutrons. Theoretically, a stiffer symmetry energy would have a stronger repulsive force to push out neutrons and a stronger attractive force to squeeze protons, resulting in a decrease in the π- yield and an increase in the π+ yield, respectively. As shown in panels (b) and (d) of Fig. 8, the stiffer symmetry energy indeed led to larger transverse momentum spectra for π+. However, the relationship between the transverse momentum spectra of π- and the stiffness of the symmetry energy could not be directly explained. Compared with the stiffness of the symmetry energy, the π potential had a more significant impact on the transverse momentum spectrum of π. For the neutron-rich 132Sn + 124Sn system, the transverse momentum spectra of both π+ and π- without the π potential were lower than those of the SπRIT data at pT≲200 MeV. When the π potential was considered, the transverse momentum spectra of both π+ and π- increased at pT≲200 MeV but decreased at pT≳200 MeV. Consequently, the transverse momentum spectra of π+ with the π potential were almost consistent with the SπRIT data [40]; however, the transverse momentum spectra of π- were still lower than the SπRIT data for the entire pT domain. The lower transverse momentum spectra of π- may be due to the absence of a threshold effect. The threshold effect, which was not considered in this study, may enhance the production of π- [81, 90, 91].
-202401/1001-8042-35-01-014/alternativeImage/1001-8042-35-01-014-F008.jpg)
Because a stiffer symmetry energy would have a stronger repulsive force to push out neutrons and a stronger attractive force to squeeze protons, resulting in a decrease in the π- yield and an increase in the π+ yield, respectively, the single ratio
-202401/1001-8042-35-01-014/alternativeImage/1001-8042-35-01-014-F009.jpg)
The double ratio between the neutron rich system and the nearly symmetric system
-202401/1001-8042-35-01-014/alternativeImage/1001-8042-35-01-014-F010.jpg)
Conclusion
An RMF with various symmetry energies, namely set1, set2, and set3, was implemented in LQMD. The collective flows of the nearly symmetric 108Sn + 112Sn and neutron-rich 132Sn + 124Sn systems were successfully generated from the LQMD.RMF. It has been observed that the directed flow V1 was an order of magnitude larger than the elliptic flow V2. However, the difference between the directed flows V1 with various slopes of symmetry energy was small. The difference in the directed flows V2 with various slopes of symmetry energy was also small. To explore the relationship between the collective flow and the stiffness of the symmetry energy, we defined the difference between neutron and proton directed flows V1n-V1p. For a given nearly symmetric system or neutron-rich system, the absolute value of V1n-V1p increased with decreasing slope of the symmetry energy.
We also investigated the relationship between isospin exotic particles and the stiffness of the symmetry energy. The ratio between π- yield and π+ yield of the neutron-rich 132Sn + 124Sn system as a function of the collision energy increased with a decrease in the slope parameter of the symmetry energy. At an incident energy of 270 MeV/nucleon, the properties of π were predicted as a function of the transverse momentum. For the nearly symmetric 108Sn + 112Sn system, the single ratio of the nearly symmetric system was consistent with the experimental data. However, for the neutron-rich 132Sn + 124Sn system, the single ratio was lower than the experimental data, resulting in a double ratio lower than the experimental data. The π potential did not explain the lower transverse momentum spectra of π- in the neutron-rich system. Considering the π potential, the double ratio increased slightly with increasing transverse momentum. However, the increasing trend was still considerably weaker than that observed in the experimental results. The single ratio of the neutron-rich system and the double ratio may be lower than the experimental data because of the lack of a threshold effect. The threshold effect, which can enhance the production of π-, could be a candidate for enhancing the single ratio of the neutron-rich system to a double ratio. Moreover, because a softer symmetry energy led to a larger single ratio for both nearly symmetric and neutron-rich systems, the dependence of the double ratio on the stiffness of the symmetry energy was not significant. The sensitivity of the double ratio to the stiffness of the symmetry energy may also be due to the lack of a threshold effect. When the threshold effect is considered, the production of π- in a neutron-rich system may be more significant than that in a nearly symmetric system. In the future, when collective flows, the single ratio of the neutron-rich system and the double ratio of the LQMD.RMF are consistent with the experimental data,
Determination of the Equation of State of Dense Matter
. Science, 298, 1592(2002). https://doi.org/10.1126/science.1078070Measurements of Neutron Star Radii and Equation of State
. Phys. Rev. Lett. 121, 161101 (2018). https://doi.org/10.1103/PhysRevLett.121.161101Constraining neutron-star matter with microscopic and macroscopic collisions
. Nature 606, 276-280 (2022). https://doi.org/10.1038/s41586-022-04750-wNucl. Symmetry Energy in Nucleon and Quark Matter
. Phys. Rev.,34, 20-28(2017). https://doi.org/10.11804/NuclPhysRev.34.01.020Towards understanding astrophysical effects of nuclear symmetry energy
. Eur. Phys. J. A, 55, 117(2019). https://doi.org/10.1140/epja/i2019-12780-8Implications of PREX-2 on the Equation of State of Neutron-Rich Matter
. Phys. Rev. Lett. 126, 172503(2021). https://doi.org/10.1103/PhysRevLett.126.172503Neutron star observations: Prognosis for equation of state Constraints
. Science, 442, 109-165 (2007). https://doi.org/10.1016/j.physrep.2007.02.003Early appearance of Δ isobars in neutron stars
. Phys. Rev. C 90, 065809 (2014). https://doi.org/10.1103/PhysRevC.90.065809The equation of state of hot, dense matter and neutron stars, Phys
. Rep. 621, 127 (2016). https://doi.org/10.1016/j.physrep.2015.12.005Symmetry energy constraints from GW170817 and laboratory experiments
. Phys. Lett. B 795, 533 (2019). https://doi.org/10.1016/j.physletb.2019.06.059Pions in hot dense matter and their astrophysical implications
. Phys. Rev. C 101, 035809 (2020). https://doi.org/10.1103/PhysRevC.101.035809High-energy nuclear physics meets machine learning
. Nucl. Sci. Tech. 34, 88 (2023). https://doi.org/10.1007/s41365-023-01233-zNuclear Shock Waves in Heavy-Ion Collisions
. Phys. Rev. Lett. 32, 741 (1974). https://doi.org/10.1103/PhysRevLett.32.741Global analysis of relativistic heavy-ion collisions
. Phys. Lett. B 106, 33 (1981). https://doi.org/10.1016/0370-2693(81)91074-1Jets of nuclear matter from high energy heavy ion collisions
. Phys. Rev. C 25, 1873 (1982). https://doi.org/10.1103/PhysRevC.25.1873Collective Flow Observed in Relativistic Nuclear Collisions
. Phys. Rev. Lett. 52, 1590 (1984). https://doi.org/10.1103/PhysRevLett.52.1590The phase transition to the quark-gluon plasma and its effect on hydrodynamic flow
. Acta Phys. Hung. A 1, 309 (1995). https://doi.org/10.1007/BF03053749Antiflow of nucleons at the softest point of the equation of state
. Phys. Rev. C 61, 024909 (2000). https://doi.org/10.1103/PhysRevC.61.024909Third flow component as QGP signal
. Phys. Lett. B 458, 454 (1999). https://doi.org/10.1016/S0370-2693(99)00615-2Probing the softest region of the nuclear equation of state
. Phys. Rev. C 58, R1382 (1998). https://doi.org/10.1103/PhysRevC.58.R1382The Collective Flow from the Degree of Freedom of Nucleons to Quarks
. Journal of Fudan University (Natural Science)62, 273-292 (2023). https://doi.org/0427-7104(2023)03-0273-20Transverse flows in charge asymmetric collisions
. Phys. Lett. B 461, 9 (1999). https://doi.org/10.1016/S0370-2693(99)00835-7Proton differential elliptic flow and the isospin dependence of the nuclear equation of state
. Phys. Rev. C 64, 054604(2001). https://doi.org/10.1103/PhysRevC.64.054604Nonequilibrium dynamics in heavy-ion collisions at low energies available at the GSI Schwerionen Synchrotron
. Phys. Rev. C 83, 044617 (2011). https://doi.org/10.1103/PhysRevC.83.044617Neutron-proton elliptic flow difference as a probe for the high density dependence of the symmetry energy
. Phys. Lett. B 700, 139 (2011). https://doi.org/10.1016/j.physletb.2011.05.002Isospin Effects on Subthreshold Kaon Production at Intermediate Energies
. Phys. Rev. Lett. 97, 202301 (2006). https://doi.org/10.1103/PhysRevLett.97.202301Probing the High Density Behavior of the Nuclear Symmetry Energy with High Energy Heavy-Ion Collisions
. Phys. Rev. Lett. 88, 192701 (2002). https://doi.org/10.1103/PhysRevLett.88.192701On the Lorentz structure of the symmetry energy
. Nucl. Phys. A 732, 24 (2004). https://doi.org/10.1016/j.nuclphysa.2003.12.001(KaoS Collaboration), Evidence for a Soft Nuclear Equation-of-State from Kaon Production in Heavy-Ion Collisions
. Phys. Rev. Lett.86, 39 (2001). https://doi.org/10.1103/PhysRevLett.86.39Subthreshold kaon production and the nuclear equation of state
. Phys. Lett. B 349, 405 (1995). https://doi.org/10.1016/0370-2693(95)00301-ZProbing the Nuclear Equation of State by K+ Production in Heavy-Ion Collisions
. Phys. Rev. Lett. 86, 1974 (2001). https://doi.org/10.1103/PhysRevLett.86.1974Hadronic Matter Is Soft
. Phys. Rev. Lett. 96, 012302 (2006). https://doi.org/10.1103/PhysRevLett.96.012302Constraining the high-density behavior of the nuclear equation of state from strangeness production in heavy-ion collisions
. Phys. Rev. C 83, 067604 (2011). https://doi.org/10.1103/PhysRevC.83.067604Probing high-density behavior of symmetry energy from pion emission in heavy-ion collisions
. Phys. Lett. B 683, 140 (2010). https://doi.org/10.1016/j.physletb.2009.12.006Symmetry energy from elliptic flow in 197Au+ 197Au
. Phys. Lett. B 697, 471 (2011). https://doi.org/10.1016/j.physletb.2011.02.033Circumstantial Evidence for a Soft Nuclear Symmetry Energy at Suprasaturation Densities
. Phys. Rev. Lett. 102, 062502 (2009). https://doi.org/10.1103/PhysRevLett.102.062502Symmetry energy and pion production in the Boltzmann-Langevin approach
. Phys. Lett. B 718,1510 (2013). https://doi.org/10.1016/j.physletb.2012.12.021Systematics of pion emission in heavy ion collisions in the 1 A GeV regime
. Nucl. Phys. A 781, 459 (2007). https://doi.org/10.1016/j.nuclphysa.2006.10.085Symmetry energy investigation with pion production from Sn+ Sn systems
. Phys. Lett. B 813, 136016 (2021). https://doi.org/10.1016/j.physletb.2020.136016Probing the Symmetry Energy with the Spectral Pion Ratio
. Phys. Rev. Lett. 126, 162701 (2021). https://doi.org/10.1103/PhysRevLett.126.162701Effects of the momentum dependence of nuclear symmetry potential on pion observables in Sn plus Sn collisions at 270 MeV/nucleon
. Nucl. Sci. Tech. 33, 163 (2022). https://doi.org/10.1007/s41365-022-01146-3Poincare invariant Hamiltonian dynamics: modelling multi-hadronic interactions in a phase space approach
. Ann. Phys. 192, 266 (1989). https://doi.org/10.1016/0003-4916(89)90136-XLorentz-covariant description of intermediate energy heavy-ion reactions in relativistic quantum molecular dynamics
. Nucl. Phys. A 534, 720 (1991). https://doi.org/10.1016/0375-9474(91)90468-LSensitivity of the excitation functions of collective flow to relativistic scalar and vector meson interactions in the relativistic quantum molecular dynamics model RQMD.RMF
. Phys. Rev. C 100, 054902 (2019). https://doi.org/10.1103/PhysRevC.100.054902Momentum-dependent potential and collective flows within the relativistic quantum molecular dynamics approach based on relativistic mean-field theory
. Phys. Rev. C 102, 024913 (2020). https://doi.org/10.1103/PhysRevC.102.024913Directed flow of Λ in high-energy heavy-ion collisions andnΛ potential in dense nuclear matter
. Phys. Rev. C 106, 044902 (2022).Pion production in heavy-ion collisions in the 1 A GeV region
. Chin. Phys. Lett. 26, 062501(2009). https://doi.org/10.1088/0256-307X/26/6/062501In-medium and isospin effects on particle production near threshold energies in heavy-ion collisions
. Phys. Rev. C 92, 044604 (2015). https://doi.org/10.1103/PhysRevC.92.044604Nuclear dynamics and particle production near threshold energies in heavy-ion collisions
. Nucl. Sci. Tech. 29, 40 (2018). https://doi.org/10.1007/s41365-018-0379-zProgress in strange particle production and hypernuclear physics in intermediate and high-energy heavy-ion collisions
. Nucl. Tech. 46, 103-113(2023). https://doi.org/10.11889/j.0253-3219.2023.hjs.46.080010Progress in transport models of heavy-ion collisions for the synthesis of superheavy nuclei
. Nucl. Tech. 46, 137-145(2023). https://doi.org/10.11889/j.0253-3219.2023.hjs.46.080014Effects of α-clustering structure on nuclear reaction and relativistic heavy-ion collisions
. Nucl. Tech. 46, 8-29 (2023). https://doi.org/10.11889/j.0253-3219.2023.hjs.46.080001Transport model analysis of the pion interferometry in Au+Au collisions at Ebeam =1.23 GeV/nucleon
. Sci. China-Phys. Mech. Astron. 66, 222011(2023). https://doi.org/10.1007/s11433-022-2026-5Effects of a phase transition on two-pion interferometry in heavy ion collisions at SNN=2.4-7.7 GeV
. Sci. China-Phys. Mech. Astron. 66, 232011(2023). https://doi.org/10.1007/s11433-022-2041-8Effects of sequential decay on collective flows and nuclear stopping power in heavy-ion collisions at intermediate energies
. Nucl. Sci. Tech. 34, 62(2023). https://doi.org/10.1007/s41365-023-01205-3A theory of highly condensed matter
. Ann. Phys 83, 491(1974). https://doi.org/10.1016/0003-4916(74)90208-5Relativistic calculation of nuclear matter and the nuclear surface
. Nucl. Phys. A 292, 413(1977). https://doi.org/10.1016/0375-9474(77)90626-1A relativistic nuclear field theory with pi and rho mesons
. Phys. Lett. B 86B,146 (1979). https://doi.org/10.1016/0370-2693(79)90804-9Nuclear matter in relativistic mean field theory with isovector scalar meson
. Phys. Lett. B 399, 191 (1997). https://doi.org/10.1016/S0370-2693(97)00306-7Asymmetric nuclear matter: The role of the isovector scalar channel
. Phys.Rev. C 65, 045201 (2002). https://doi.org/10.1103/PhysRevC.65.045201Symmetry energy, its density slope, and neutron-proton effective mass splitting at normal density extracted from global nucleon optical potentials.Phys
. Rev. C 82, 054607 (2010). https://doi.org/10.1103/PhysRevC.82.054607Neutron-proton effective mass splitting in neutron-rich matter at normal density from analyzing nucleon-nucleus scattering data withinan isospin dependent optical model
. Phys. Lett. B 743, 408 (2015). https://doi.org/10.1016/j.physletb.2015.03.005Asymmetric nuclear matter from an extended Brueckner-Hartree-Fock approach
. Phys. Rev. C 60,024605 (1999). https://doi.org/10.1103/PhysRevC.60.024605Isospin dependence of nucleon effective mass in Dirac Brueckner-Hartree-Fock approach
. Phys. Lett. B 604, 170 (2004). https://doi.org/10.1016/j.physletb.2004.11.004Effective Nucleon Masses in Symmetric and Asymmetric Nuclear Matter
. Phys. Rev. Lett.95, 022302 (2005). https://doi.org/10.1103/PhysRevLett.95.022302Density-dependent relativistic Hartree-Fock approach
. Phys. Lett. B 640, 150 (2006). https://doi.org/10.1016/j.physletb.2006.07.064Probing effective nucleon masses with heavy-ion collisions
. Phys. Rev. C 94, 011601 (2016). https://doi.org/10.1103/PhysRevC.94.011601Constraining the symmetry energy with heavy-ion collisions and Bayesian analyses
. Phys. Lett. B 799, 135045 (2019). https://doi.org/10.1016/j.physletb.2019.135045Isospin-dependent properties of asymmetric nuclear matter in relativistic mean field models
. Phys. Rev. C 76, 054316 (2007). https://doi.org/10.1103/PhysRevC.76.054316Reaction dynamics with exotic nuclei
. Phys. Rep. 410, 335 (2005). https://doi.org/10.1016/j.physrep.2004.12.004Skyrme interaction and nuclear matter constraints
. Phys. Rev. C 85, 035201 (2012). https://doi.org/10.1103/PhysRevC.85.035201Isovector properties of the Gogny interaction
. Phys. Rev. C 90, 054327 (2014). https://doi.org/10.1103/PhysRevC.90.054327Effect of the splitting of the neutron and proton effective masses on the nuclear symmetry energy at finite temperatures
. Phys. Lett. B 697, 246 (2011). https://doi.org/10.1016/j.physletb.2011.01.062First Gogny-Hartree-Fock-Bogoliubov Nuclear Mass Model
. Phys. Rev. Lett. 102, 242501 (2009). https://doi.org/10.1103/PhysRevLett.102.242501Isospin splitting of the nucleon effective mass from giant resonances in 208Pb
. Phys. Rev. C 93, 034335 (2016). https://doi.org/10.1103/PhysRevC.93.034335Bayesian inference on isospin splitting of nucleon effective mass from giant resonances in 208Pb
. Chin. Phys. C 45, 064104 (2021). https://doi.org/10.1088/1674-1137/abf428Molecular dynamics description of an expanding q/q¯ plasma with the Nambu-Jona-Lasinio model and applications to heavy ion collisions at energies available at the BNL Relativistic Heavy Ion Collider and the CERN Large Hadron Collider
. Phys. Rev. C 87, 034912 (2013). https://doi.org/10.1103/PhysRevC.87.034912Constraint formalism of classical mechanics
. Phys. Rev. D 18, 1881 (1978). https://doi.org/10.1103/PhysRevD.18.1881Mean-field effects on collective flow in high-energy heavy-ion collisions at 2-158A GeV energies
. Phys. Rev. C72, 064908 (2005). https://doi.org/10.1103/PhysRevC.72.064908Constraint dynamics of particle world lines
. Phys. Rev. D 23, 2218 (1981). https://doi.org/10.1103/PhysRevD.23.2218Aspects of particle production in isospin-asymmetric matter
. Nucl. Phys. A 762, 147 (2005). https://doi.org/10.1016/j.nuclphysa.2005.08.007Deviations of the energy-momentum tensor from equilibrium in the initial state for hydrodynamics from transport approaches
. Phys. Rev. C 93, 034905 (2016). https://doi.org/10.1103/PhysRevC.93.034905Pion scattering and isobars in nuclei
. Phys. Rep. 22, 279 (1975). https://doi.org/10.1016/0370-1573(75)90026-5Very hot nuclear matter and pion production in relativistic heavy-ion collisions
. Nucl. Phys. A 372, 483 (1981). https://doi.org/10.1016/0375-9474(81)90048-8Transport model with quasipions
. Phys. Rev. C 47, 788 (1993). https://doi.org/10.1103/PhysRevC.47.788Nuclear in-medium effects and collective flows in heavy-ion collisions at intermediate energies
. Phys. Rev. C 85, 014604 (2012). https://doi.org/10.1103/PhysRevC.85.014604Nuclear fragmentation and charge-exchange reactions induced by pions in the Δ-resonance region
. Phys. Rev. C 94, 054617 (2016). https://doi.org/10.1103/PhysRevC.94.054617Production of Δ - and N∗-resonances in the one-boson exchange model
. Nucl. Phys. A 573, 587 (1994). https://doi.org/10.1016/0375-9474(94)90232-1Studies of superdense hadronic matter in a relativistic transport model
. Int. J. Mod. Phys. E 10, 267 (2001). https://doi.org/10.1142/S0218301301000575Modifications of the pion-production threshold in the nuclear medium in heavy ion collisions and the nuclear symmetry energy
. Phys. Rev. C 91, 014901 (2015). https://doi.org/10.1103/PhysRevC.91.014901The impact of energy conservation in transport models on the π−∕π+ multiplicity ratio in heavy-ion collisions and the symmetry energy
. Phys. Lett. B 753, 166-172 (2016). https://doi.org/10.1016/j.physletb.2015.12.015A Skyrme parametrization from subnuclear to neutron star densities Part II. Nuclei far from stabilities
. Nucl. Phys. A 635, 231-256 (1998). https://doi.org/10.1016/S0375-9474(98)00180-8Dynamical analysis on heavy-ion fusion reactions near Coulomb barrier
. Nucl. Phys. A 802, 91-106 (2008). https://doi.org/10.1016/j.nuclphysa.2008.01.022(STAR Collaboration), Disappearance of partonic collectivity in SNN=3 GeV Au+Au collisions at RHIC
. Phys. Lett. B 827, 137003 (2022). https://doi.org/10.1016/j.physletb.2022.137003Isospin emission and flow at high baryon density: a test of the symmetry potential
. Phys. Rev. C 81, 044611 (2010). https://doi.org/10.1103/PhysRevC.81.044611The authors declare that they have no competing interests.


