Introduction
Gell-Mann and Zweig introduced the quark model to classify the hadrons discovered thus far [1, 2]. Mesons and baryons were successfully classified as being composed of
Studying how colorful quarks and gluons are grouped inside hadrons is crucial for gaining new insights into the mechanisms of color confinement. Therefore, there have been decades of efforts to search for hadrons with distinct exotic characteristics in experiments, including e+e- annihilations, hadron collisions, and electron–ion collisions. Owing to the high statistics of new generations of experiments, many new hadron resonances have been discovered since 2003, with properties at odds with the quark expectations of ordinary mesons and baryons. These are good candidates for exotic hadrons. Most of them are mesonic states observed in the heavy quarkonium mass region and are typically collectively referred to as XYZ states.
These exotic hadron candidates have been sought and measured in various experiments. Because QCD is intrinsically nonperturbative at low energies, it has been challenging to order these experimental observations to gain deeper insights. Various theoretical methods have been used, including lattice QCD, effective field theories, (unquenched) quark models, and QCD sum rules. Each method has its own advantages and drawbacks. Thus far, a universal description of all these exotic hadron candidates is still out of reach. For examples of recent reviews of the experimental observations and theoretical investigations, see Refs. [6-15].
Here, we focus on the experimental observations of exotic hadrons in pp,
Multiquark candidates with hidden charm and double charm
Above the open-charm threshold, tens of unexpected states with properties that are inconsistent with the expectations of the traditional quark model have been observed since 2003. A few similar states were also observed in the bottomonium mass region. Among these, the Y(mass) states have vector quantum numbers and exhibit strong coupling with the hidden-charm or open-charm final states. The multiquark candidates, including tetraquark ZQ(mass) and pentaquark PQ(mass) with a hidden
The first hidden-charm state that triggered studies of exotic states was X(3872), also known as
Charmonium-like states
X(3872) was discovered by Belle in
The most salient feature of X(3872) is that its mass almost exactly coincides with the threshold of
Using the Flatté parameterization that considers the nearby
Although X(3872) was discovered more than 20 years ago, its internal structure remains unclear. The measurement of the absolute branching fraction
Because the X(3872) mass is so close to the
Another physical quantity under active discussion is the ratio of the partial radiative decay widths to the ψ(2S)γ and
The first vector charmonium-like state Y(4260) was observed by BaBar through the initial state radiation (ISR) process
Although signals of Zc(3900) have been reported in
Hidden-charm pentaquark and double open-charm tetraquark
The search for pentaquark states has a long history. The first strong experimental evidence of a pentaquark state, referred to as
In 2015, LHCb reported the discovery of hidden-charm pentaquark candidates in
As the valence structure of
Two pentaquark candidates with strangeness, Pcs(4459)0 and Pcs(4338)0, were also observed in the
Among exotic hadrons, there is a class of hadrons that is particularly interesting: double-charm tetraquarks. Such hadrons have been discussed since the 1980s (see Ref. [59] for early treatment using the Born–Oppenheimer approximation). The first open-charm tetraquark, Tcc(3875)+, comprising
Production in nuclear collisions
Existing and future experiments
The high-energy collision of heavy ions is a powerful method for generating extremely hot and dense nuclear matter, often referred to as quark–gluon plasma (QGP) [62-64], which exhibits an energy density comparable to that of the Universe a few microseconds after the Big Bang, with roughly equal numbers of quarks and antiquarks. The extreme energy density of the QGP phase leads to the creation of many strange–antistrange quark pairs from quantum vacuum. As the QGP cools, it transits into hadron gas, resulting in the formation of various baryons, mesons, and their antiparticles. Therefore, these collisions offer a unique opportunity to explore exotic particles such as antimatter, hypernuclei [65-72], and exotic hadrons [73], thereby uncovering important fundamental interactions.
While nuclei are abundant across the universe, antinuclei heavier than the antiproton have only been observed as products of relativistic HICs at facilities such as the BNL Relativistic Heavy-Ion Collider (RHIC) and the CERN Large Hadron Collider (LHC). In these experiments, the time projection chamber (TPC) positioned within a solenoidal magnetic field plays a crucial role in identifying the particles of interest by measuring the mean energy loss per unit track length,
-202504-ok/1001-8042-36-04-001/alternativeImage/1001-8042-36-04-001-F001.jpg)
Hypernuclei are the bound states of nucleons and hyperons and offer valuable insights into hyperon-nucleon interactions. While nucleons (protons and neutrons) are composed solely of up and down quarks, hyperons are light-flavored baryons that contain at least one strange quark. A hypernucleus is defined as a nucleus that contains at least one hyperon in addition to nucleons. Despite being bound within hypernuclei, all hyperons are inherently unstable because they decay via weak interactions. The simplest bound hypernucleus is the hypertriton (
The most precise measurements of the
Recently, STAR reported the observation of an antimatter hypernucleus,
Various production yield ratios among (anti)hypernuclei (including hypernuclei and/or antihypernuclei) and (anti)nuclei (including nuclei and/or antinuclei) were assessed and compared with the theoretical models, offering insights into their production mechanisms. As shown in Fig. 3, the antimatter-over-matter particle yield ratios are below unity because the colliding heavy ions carry positive baryon numbers; consequently, the collision system has a positive baryon chemical potential. The data are consistent with most existing measurements within their uncertainties and with the expectation of the coalescence picture of the (anti)nucleus and (anti)hypernucleus production and statistical thermal model [71]. Relationships between the production yield ratios
-202504-ok/1001-8042-36-04-001/alternativeImage/1001-8042-36-04-001-F003.jpg)
High-energy pp collisions and HICs provide excellent laboratories for exploring multistrange dibaryons [78-82]. In the search for a possible ΛΛ bound state, known as the H-dibaryon, femtoscopic correlations of ΛΛ pairs have been studied in pp, Au+Au, and pPb collisions [83, 84]. By comparing the measured data with model calculations, the scattering parameter space, which is characterized by the inverse scattering length and effective range, is constrained. The data revealed a shallow attractive interaction, which is consistent with the findings of hypernuclei studies and lattice computations.
In addition to antimatter and hypernuclei, HICs also serve as a laboratory for studying hidden-charm XYZ particles. The first evidence of
Another common observable in the interaction of quarkonium states with the medium created in HICs is the nuclear modification factor
As reported in Ref. [90], LHCb measured the production of an exotic hadron
-202504-ok/1001-8042-36-04-001/alternativeImage/1001-8042-36-04-001-F005.jpg)
LHCb also measured the feed-down fractions of
-202504-ok/1001-8042-36-04-001/alternativeImage/1001-8042-36-04-001-F006.jpg)
The LHC detectors have also observed
-202504-ok/1001-8042-36-04-001/alternativeImage/1001-8042-36-04-001-F007.jpg)
Production in pp/p pbar collisions
Exotic hadrons with heavy quarks
Exotic hadrons can be produced in
Shortly after the discovery of X(3872) in B decays by the Belle Collaboration [16], the CDF and D0 Collaborations reported the observation of X(3872) in
Using CDF measurements of the yields of X(3872) [99] and ψ(2S) [100], the prompt production rate of X(3872) in
The estimate of
We now argue that the inverse of the force range for the
To demonstrate that the choice of
-202504-ok/1001-8042-36-04-001/alternativeImage/1001-8042-36-04-001-F008.jpg)
This can be understood by considering the diagram corresponding to the second line of Eq. (4), as shown in Fig. 9 (a).3 Because the charmed meson pair is produced during high-energy collisions with all the particles produced in association with X(3872) assumed to be spectators, the production of
-202504-ok/1001-8042-36-04-001/alternativeImage/1001-8042-36-04-001-F009.jpg)
The static properties of X(3872), such as the mass and JPC quantum numbers, can be understood through the
Another method to make the entire production amplitude cutoff independent is to consider the factorization formula, as discussed in Ref. [115]. The production of X(3872), or more generally, hadronic molecules, contains both long-distance and short-distance parts. The long-distance part has a typical momentum scale of the X(3872) binding momentum and is given by the coupling of X(3872) to
In Refs. [121, 104], the authors performed order-of-magnitude estimates of the cross-sections for prompt production in
X(3872) is a hidden-flavor exotic hadron, The dominant component of its wave function for describing its static properties is not necessarily its lowest Fock space components (
With the same reasoning, because f0(980) is also a hidden-flavor meson, the lack of observation of an enhancement of the pT-differential
As discussed in Sect. 3.1, the LHCb measured the production of X(3872) and ψ(2S) as functions of the charged-particle multiplicity in pp collisions at 8 TeV [98]. The measured ratio of the yields of X(3872) to ψ(2S) in the
-202504-ok/1001-8042-36-04-001/alternativeImage/1001-8042-36-04-001-F010.jpg)
Light-flavor hadron production
In previous discussions, exotic hadronic states such as charm and beauty quarks were primarily examined within systems featuring heavy-flavor quarks. There are also many hadronic states in the light-flavor sector with properties that do not align with traditional quark model predictions. For example, the mass of Λ(1405) is lower than that of non-strange N(1535) with the same JP quantum numbers, even though Λ(1405) contains a heavier s quark from the perspective of the three-quark baryon model. In the 1950s, Λ(1405) was predicted as a bound state of
It is also important to investigate the possible dibaryon states to better understand baryon interactions beyond protons and neutrons. To date, the only well-established dibaryon molecular state is the deuteron state, whereas the internal structure of another candidate, d*(2380) [136], discovered over a decade ago, remains unclear. A common explanation for this is that d*(2380) is a double-Δ state [137-139]. A resonance peak was recently observed below the threshold in the
In low-to-moderate energy pp and
-202504-ok/1001-8042-36-04-001/alternativeImage/1001-8042-36-04-001-F011.jpg)
The search for baryon excited states relies primarily on different final state combinations. By applying selection rules based on isospin conservation, regions with significant contributions from certain particles can be identified for further study. For example, in the
pp and pd collisions offer good locations to search for dibaryon states. In reactions with either single-pion or double-pion production or with KΛ/K∑ in the final states, apart from the threshold cusp effect in K∑, no dibaryon states were observed [151] until 2014 when the Wide Angle Shower Apparatus (WASA) experiment at the Cooler Synchrotron (COSY) established a narrow resonant structure d* in the
To produce excited meson states in the low-energy region, the contribution presented in the diagram in Fig. 11 (c) in exchanging two particles is expected to be smaller than that in the other two diagrams. However, in the high-energy region, the intermediate exchanged meson can be replaced by a pomeron, and the fusion of the two exchanged pomerons to produce mesons plays a crucial role in producing double-pion and double-kaon resonant particles through diffraction processes [161, 162]. Owing to its gluon-rich environment, this reaction is often used to search for another type of exotic state, that is, glueballs, in high-energy pp or
Finally, note that considering only the tree diagram mechanisms in Fig. 11 to estimate the production of light hadrons in pp collisions offers a rough approximation. The loop contributions in hadronic reactions are often crucial. For reactions with multiple hadrons in the final state, the final-state interactions and coupled-channel effects may be crucial and can significantly affect the extraction of resonance properties. Therefore, it is essential to use comprehensive coupled-channel models for few-body systems and a combined analysis of various related reactions to extract the resonance poles. Relevant efforts have been made in, for example, the Jülich-Bonn model [166], Argonne–Osaka model [167], and three-body unitary models [168, 169]. However, such models must include many parameters, and obtaining convincingly determined model parameters requires a significant amount of experimental input. Therefore, additional experimental data are required.
Production in heavy-ion collisions
In this subsection, we briefly review recent studies on the production of X(3872) and
As discussed in Sect. 3.1, the only reported signal of prompt X(3872) production in HICs originated from the CMS collaboration [85]. The yields, evolution, and distributions of X(3872) as well as those of other exotic hadrons produced in HICs are complicated by the surrounding QCD medium/nuclear matter/pion gas.
Various coalescence models [73, 173-175] and statistical hadronization models (SHMs) [176] have been used to estimate the yields of X(3872) in hadronic molecular and compact tetraquark pictures. The former depend on a suitable wave function in the coordinate space to encode structural information (for discussions on the subtlety of the short-distance part, see Sect. 3.2.1). In the instantaneous coalescence model, there are still several unclear parameters, such as the volume size at which coalescence occurs, available light quark number at the hadronization temperature, and oscillator frequency of the Wigner function. The SHM assumes that hadrons are in thermal and chemical equilibrium, that is, with a charm-quark fugacity factor to ensure charm-quark conservation. The yield of X(3872) in this model depends only on its mass and not on its internal structure.
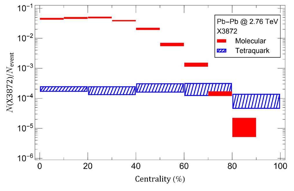
In Ref. [73], the authors used both coalescence and statistical models to estimate the yields of various hadrons at the RHIC, and the model results are summarized in Fig. 12. As shown in the figure, compared to the yield of normal hadrons, that of a compact tetraquark is typically one order of magnitude smaller, and that of a hadronic molecule is a factor of two or more. However, the coalescence model considered does not include the evolution effect in the medium, and the statistical model depends only on the masses of the hadrons instead of their internal structures.
Further information to deepen our understanding of the nature of exotic hadrons includes information on their various distributions, such as, the centrality, rapidity, and transverse momentum distributions. As reported in Ref. [175], a multiphase transport model was used to estimate the yield of X(3872) in Pb-Pb collisions at
When the wave function among the constituents is considered, for example, the Wigner function described in Ref. [178], the coalescence probability decreases owing to the strict constraints on the relative momentum between constituents, despite the large geometric size of hadronic molecules [178]. In this case, Ref. [178] showed that the total yield of a compact tetraquark X(3872) is several times larger than that of the molecular picture for Pb-Pb collisions. Simultaneously, the effect of fireball volume on centrality dependence in the molecular picture is not as significant as that described in Ref. [175]. In addition to the distribution of X(3872), the evolution of charm quarks in QGP was also explored in Ref. [178] using the Langevin equation. The yields in both scenarios decreased with evolution time. The same method has been applied to a double-charm tetraquark state [179].
There was also an early study [180] based on the SU(4) effective Lagrangians that considered the evolution of X(3872) by calculating the corresponding production and absorption cross-sections to estimate the hadronic effects on the X(3872) meson abundance in HICs. The absorption cross-sections of the X(3872) meson by pions and ρ mesons during the hadronic stage of HICs were evaluated. They estimated the yield of X(3872) in HICs using both the statistical and coalescence models. They found that the absorption cross-section was two orders of magnitude larger than the production cross-section, and the time evolution of X(3872) abundance in the HICs was stable (see Fig. 14), which is in contrast to the conclusions of Ref. [178].
The production of X(3872) in HICs is due to a large number of heavy quarks, as many as 20
In Ref. [184], a transport calculation of X(3872) through the fireball formed during Pb-Pb collisions at
In Ref. [185], the authors studied the properties of X(3872) in a hot-pion bath based on its molecular picture. They found that its width became a few tens of MeV at temperatures of
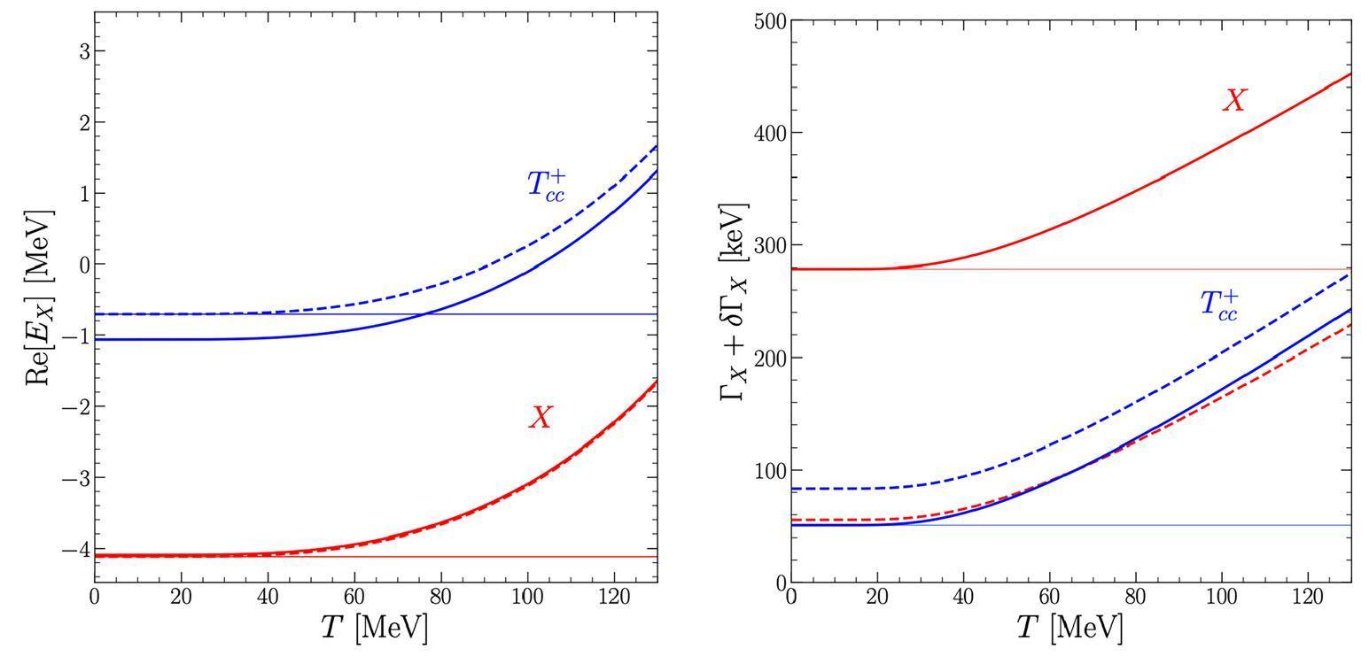
Recently, a more rigorous treatment of the thermal corrections from the hot pion gas to the propagator of a loosely bound charm-meson molecule was presented using a zero-range effective field theory (ZREFT) [186]. One might simply expect that ZREFT cannot be applied at a high temperature, which is characterized by the kinetic freeze-out temperature and is orders of magnitude larger than the binding energy of a loosely bound state. Fortunately, the authors of Ref. [186] illustrated that ZREFT can be applied to such a system by first integrating out thermal pions, leaving the ZREFT parameters temperature-dependent. The only correction to the binding energy is a small temperature-dependent correction to the complex binding momentum. It is noticed that the thermal corrections to the binding energy of the molecule only appear at the next-to-leading order, and the results are shown by Fig. 15. These results indicate that loosely bound molecules, such as X(3872) and
-202504-ok/1001-8042-36-04-001/alternativeImage/1001-8042-36-04-001-F015.jpg)
Very recently, in Ref. [187], the authors proposed that the production rate of a loosely bound hadronic molecule, such as X(3872), in HICs can be expressed in terms of the short-distance contact density at the kinetic freeze-out of the hadron gas, which approaches a nonvanishing limit as the binding energy decreases to 0.
Because both X(3872) and ψ(2S) can be reconstructed in the
Similarly, Ref. [189] presents a phenomenological model for the partonic medium attenuation effects on X(3872) and ψ(2S) production in both pp and Pb-Pb collisions. A medium-assisted enhancement effect was proposed for X(3872) production, which was argued to be dominant at high parton densities and large medium sizes. Its competition with the absorption-induced suppression leads to a specific pattern of the
In addition to the measurements of the centrality, transverse momentum, and rapidity distributions of exotic hadrons discussed in the previous subsection, an additional important observable that has recently received intensive interest is the momentum correlation between two hadrons. Because the correlation function contains information about the hadron–hadron final state interaction, exotic hadrons that couple to these two hadrons can be studied.
The momentum correlation function can be expressed in terms of the single-particle emission function
Summary and Outlook
Exotic hadrons remain a vibrant area of research, with significant contributions from various experiments, including Belle, BaBar, BESIII, LHC experiments, and RHIC. These experiments provide a broad and detailed understanding of exotic states, pushing the boundaries of our knowledge of QCD and its strong interactions. Herein, we present a concise review of the studies on exotic hadrons in
Finally, let us mention that the structure of exotic hadrons must be understood using a combination of different reactions that provide supplementary information. In addition to the nuclear collisions reviewed here, e+e- collisions, b-flavored hadron decays, and photoproduction also play unique roles in the study of exotic hadrons. For example, X(3872)γ [195] and Zc(3900) [44, 43] were observed in e+e- collisions only within a specific range of energies around the mass of ψ(4230). This feature suggests that the production mechanism for these states is due to charmed-meson intermediate states that couple strongly to these exotic particles, thus providing invaluable input for understanding them.
Future upgrades to currently running experiments and ongoing research using various reactions promise further discoveries and insights into the nature of exotic hadrons.
A schematic model of baryons and mesons
. Phys. Lett. 8, 214–215 (1964). https://doi.org/10.1016/S0031-9163(64)92001-3Mesons in a Relativized Quark Model with Chromodynamics
. Phys. Rev. D 32, 189–231 (1985). https://doi.org/10.1103/PhysRevD.32.189Baryons in a relativized quark model with chromodynamics
. Phys. Rev. D 34, 2809–2835 (1986). https://doi.org/10.1103/physrevd.34.2809The Spectrum of the nucleons and the strange hyperons and chiral dynamics
. Phys. Rept. 268, 263–303 (1996). https://doi.org/10.1016/0370-1573(95)00062-3Multiquark resonances
. Phys. Rept. 668, 1–97 (2017). https://doi.org/10.1016/j.physrep.2016.11.002Hadronic molecules
. Rev. Mod. Phys. 90,Nonstandard heavy mesons and baryons: Experimental evidence
. Rev. Mod. Phys. 90,X(3872) in the molecular model
. Phys. Usp. 62, 568–595 (2019). https://doi.org/10.3367/UFNe.2018.08.038411The XYZ states: experimental and theoretical status and perspectives
. Phys. Rept. 873, 1–154 (2020). https://doi.org/10.1016/j.physrep.2020.05.001Threshold cusps and triangle singularities in hadronic reactions
. Prog. Part. Nucl. Phys. 112,Tetra- and penta-quark structures in the constituent quark model
. Symmetry 12, 1869 (2020). https://doi.org/10.3390/sym12111869An updated review of the new hadron states
. Rept. Prog. Phys. 86,Towards a theory of hadron resonances
. Phys. Rept. 1001, 2248 (2023). https://doi.org/10.1016/j.physrep.2022.11.005Three ways to decipher the nature of exotic hadrons: multiplets, three-body hadronic molecules, and correlation functions
. arXiv:2404.06399Observation of a narrow charmonium-like state in exclusive B±→K±π+π−J/ψ decays
. Phys. Rev. Lett. 91,Observation of a resonance-like structure in the pi±ψ' mass distribution in exclusive B→Kπ±ψ' decays
. Phys. Rev. Lett. 100,Observation of two charged bottomonium-like resonances in Y(5S) decays
. Phys. Rev. Lett. 108,Observation of a broad structure in the π+π−J/ψ mass spectrum around 4.26-GeV/c2
. Phys. Rev. Lett. 95,Observation of J/ψp Resonances Consistent with Pentaquark States in Λb0→J/ψK−p Decays
. Phys. Rev. Lett. 115,Determination of the X(3872) meson quantum numbers
. Phys. Rev. Lett. 110,Review of particle physics
. Phys. Rev. D 110,Lineshapes for composite particles with unstable constituents
. Phys. Rev. D 81,Study of the lineshape of the χc1(3872) state
. Phys. Rev. D 102,Coupled-Channel Analysis of the χc1(3872) Line Shape with BESIII Data
. Phys. Rev. Lett. 132,A model-independent analysis of the isospin breaking in the X(3872)→J/ψπ+π− and X(3872)→J/ψπ+π0π− decays
. arXiv:2409.13245Measurements of the Absolute Branching Fractions of B±→K±Xcc¯
. Phys. Rev. Lett. 124,Determination of the absolute branching fractions of X(3872) decays
. Phys. Rev. D 100,Isospin breaking of the narrow charmonium state of Belle at 3872-MeV as a deuson
. Phys. Lett. B 590, 209–215 (2004). https://doi.org/10.1016/j.physletb.2004.03.077From the deuteron to deusons, an analysis of deuteron - like meson meson bound states
. Z. Phys. C 61, 525–537 (1994). https://doi.org/10.1007/BF01413192Diquark-antidiquarks with hidden or open charm and the nature of X(3872)
. Phys. Rev. D 71,Probing the nature of the χc1(3872) state using radiative decays
. arXiv:2406.17006Evidence for the decay X(3872)→ψ(2S)γ
. Nucl. Phys. B 886, 665–680 (2014). https://doi.org/10.1016/j.nuclphysb.2014.06.011Observation of X(3872)→J/ψγ and search for X(3872)→ψ′γ in B decays
. Phys. Rev. Lett. 107,Evidence for X(3872)→ψ2Sγ in B±→X3872K± decays, and a study of B→cc¯γK
. Phys. Rev. Lett. 102,Study of Open-Charm Decays and Radiative Transitions of the X(3872)
. Phys. Rev. Lett. 124,Precise measurement of the e+e−→π+π−J/ψ cross section at center-of-mass energies from 3.77 to 4.60 GeV
. Phys. Rev. Lett. 118,How many vector charmonium(-like) states sit in the energy range from 4.2 to 4.35 GeV
? Phys. Rev. D 109,Observation of a Vector Charmoniumlike State at 4.7 GeV/c2 and Search for Zcs in e+e-K+K-J/ψ
. Phys. Rev. Lett. 131,Observation of the Y(4230) and evidence for a new vector charmoniumlike state Y(4710) in e+e-KS0KS0J/ψ
. Phys. Rev. D 107,Search for the Z(4430)- at BABAR
. Phys. Rev. D 79,Observation of the resonant character of the Z(4430)- state
. Phys. Rev. Lett. 112,Study of e+e- ß+-J/ and Observation of a Charged Charmoniumlike State at Belle
. Phys. Rev. Lett. 110,Observation of a Charged Charmoniumlike Structure in e+e−→π+π−J/ψ at s =4.26 GeV
. Phys. Rev. Lett. 110,Observation of a Charged Charmoniumlike Structure Zc(4020) and Search for the Zc(3900) in e+e−→π+π−hc
. Phys. Rev. Lett. 111,Observation of two resonance-like structures in the pi+ chi(c1) mass distribution in exclusive anti-B0 — > K- pi+ chi(c1) decays
. Phys. Rev. D 78,Observation of a Near-Threshold Structure in the K+ Recoil-Mass Spectra in e+e−→K+(Ds−D*0+Ds*−D0)
. Phys. Rev. Lett. 126,Observation of New Resonances Decaying to J/ψK++ and J/ψϕ
. Phys. Rev. Lett. 127,Precise determination of the pole position of the exotic Zc(3900)
. Sci. China Phys. Mech. Astron. 67,Important step towards an understanding of the exotic zc(3900)
. SCIENCE CHINA-PHYSICS MECHANICS and ASTRONOMY 67,Evidence for Zc± (3900) in semi-inclusive decays of b-flavored hadrons
. Phys. Rev. D 98,Properties of Zc± (3900) produced in p p¯ collision
. Phys. Rev. D 100,Evidence for a narrow S = +1 baryon resonance in photoproduction from the neutron
. Phys. Rev. Lett. 91,Observation of a narrow pentaquark state, Pc(4312)+, and of two-peak structure of the Pc(4450)+
. Phys. Rev. Lett. 122,Interpretation of the LHCb Pc States as Hadronic Molecules and Hints of a Narrow Pc(4380)
. Phys. Rev. Lett. 124,First observation of the decay Λb0→ηc(1S)pK−
. Phys. Rev. D 102,Evidence of a J/ψΛ structure and observation of excited Ξ− states in the Ξb−→J/ψΛK− decay
. Sci. Bull. 66, 1278–1287 (2021). https://doi.org/10.1016/j.scib.2021.02.030Observation of a J/ψΛ Resonance Consistent with a Strange Pentaquark Candidate in B-→J/ψΛp- Decays
. Phys. Rev. Lett. 131,The S wave QQ¯qq¯ states in the adiabatic approximation
. Nucl. Phys. B 183, 435–444 (1981). https://doi.org/10.1016/0550-3213(81)90143-7Observation of an exotic narrow doubly charmed tetraquark
. Nature Phys. 18, 751–754 (2022). https://doi.org/10.1038/s41567-022-01614-yStudy of the doubly charmed tetraquark Tcc+
. Nature Commun. 13, 3351 (2022). https://doi.org/10.1038/s41467-022-30206-wQuantum Chromodynamics and the Theory of Superdense Matter
. Phys. Rept. 61, 71–158 (1980). https://doi.org/10.1016/0370-1573(80)90105-2Properties of the QCD matter: review of selected results from the relativistic heavy ion collider beam energy scan (RHIC BES) program
. Nucl. Sci. Tech. 35, 214 (2024). https://doi.org/10.1007/s41365-024-01591-2Properties of the QCD matter: a review of selected results from the ALICE experiment
. Nucl. Sci. Tech.35, 219 (2024). https://doi.org/10.1007/s41365-024-01583-2Observation of an Antimatter Hypernucleus
. Science 328, 58–62 (2010). https://doi.org/10.1126/science.1183980Observation of the antimatter helium-4 nucleus
. Nature 473, 353 (2011). https://doi.org/10.1038/nature10079Measurement of Interaction between Antiprotons
. Nature 527, 345–348 (2015). https://doi.org/10.1038/nature15724Λ3H and Λ¯3H¯ production in Pb-Pb collisions at sNN = 2.76 TeV
. Phys. Lett. B 754, 360–372 (2016). https://doi.org/10.1016/j.physletb.2016.01.040Production of 4He and 4He¯ in Pb-Pb collisions at sNN = 2.76 TeV at the LHC
. Nucl. Phys. A 971, 1–20 (2018). https://doi.org/10.1016/j.nuclphysa.2017.12.004Measurement of the mass difference and the binding energy of the hypertriton and antihypertriton
. Nature Phys. 16, 409–412 (2020). https://doi.org/10.1038/s41567-020-0799-7Observation of the antimatter hypernucleus Λ¯4H¯
. Nature 632, 1026–1031 (2024). https://doi.org/10.1038/s41586-024-07823-0Antinuclei in Heavy-Ion Collisions
. Phys. Rept. 760, 1–39 (2018). https://doi.org/10.1016/j.physrep.2018.07.002Multi-quark hadrons from Heavy Ion Collisions
. Phys. Rev. Lett. 106,Measurements of the lightest hypernucleus (HΛ3): progress and perspective
. Sci. Bull. 68, 3252–3260 (2023). https://doi.org/10.1016/j.scib.2023.11.045Delayed disintegration of a heavy nuclear fragment
: I. Philos. Mag. 44, 348 (1953). https://doi.org/10.1080/14786440308520318Measurement of the Lifetime and Λ Separation Energy of HΛ3
. Phys. Rev. Lett. 131,Softening of the hypertriton transverse momentum spectrum in heavy-ion collisions
. Phys. Lett. B 855,Production of multistrange hadrons, light nuclei and hypertriton in central Au+Au collisions at sNN = 11.5 and 200 GeV
. Phys. Lett. B 754, 6–10 (2016). https://doi.org/10.1016/j.physletb.2016.01.005Enhanced production of strange baryons in high-energy nuclear collisions from a multiphase transport model
. Phys. Rev. C 102,Ω-dibaryon production with hadron interaction potential from the lattice QCD in relativistic heavy-ion collisions
. Phys. Lett. B 811,Production of ΩNN and ΩΩN in ultra-relativistic heavy-ion collisions
. Eur. Phys. J. C 82, 416 (2022). https://doi.org/10.1140/epjc/s10052-022-10336-7Hypernuclei as a laboratory to test hyperon-nucleon interactions
. Nucl. Sci. Tech. 34, 97 (2023). https://doi.org/10.1007/s41365-023-01248-6ΛΛ Correlation Function in Au+Au collisions at sNN = 200 GeV
. Phys. Rev. Lett. 114,Study of the Λ-Λ interaction with femtoscopy correlations in pp and p-Pb collisions at the LHC
. Phys. Lett. B 797,Evidence for X(3872) in Pb-Pb Collisions and Studies of its Prompt Production at sNN=5.02 TeV
. Phys. Rev. Lett. 128,Observation of Sequential Upsilon Suppression in PbPb Collisions
. Phys. Rev. Lett. 109,Observation of the ϒ(3S) meson and suppression of ϒ states in Pb-Pb collisions at sNN=5.02TeV
. Phys. Rev. Lett. 133,Suppression of ϒ(1S), ϒ(2S) and ϒ(3S) production in PbPb collisions at sNN = 2.76 TeV
. Phys. Lett. B 770, 357–379 (2017). https://doi.org/10.1016/j.physletb.2017.04.031Measurement of nuclear modification factors of ϒ(1S), ϒ(2S), and ϒ(3S) mesons in PbPb collisions at sNN = 5.02 TeV
. Phys. Lett. B 790, 270–293 (2019). https://doi.org/10.1016/j.physletb.2019.01.006Modification of χc1(3872) and ψ(2S) Production in pPb Collisions at sNN=8.16 TeV
. Phys. Rev. Lett. 132,Fraction of χc Decays in Prompt J/ψ Production Measured in pPb Collisions at sNN=8.16 TeV
. Phys. Rev. Lett. 132,Measurement of the ratio of prompt χc to J/ψ production in pp collisions at s=7 TeV
. Phys. Lett. B 718, 431–440 (2012). https://doi.org/10.1016/j.physletb.2012.10.068Observation of the Bc+ Meson in Pb-Pb and pp Collisions at sNN=5.02 TeV and Measurement of its Nuclear Modification Factor
. Phys. Rev. Lett. 128,Observation of the narrow state X(3872)→J/ψπ+π− in p¯p collisions at s=1.96 TeV
. Phys. Rev. Lett. 93,Observation and properties of the X(3872) decaying to J/ψπ+π− in pp¯ collisions at s=1.96 TeV
. Phys. Rev. Lett. 93,Observation of X(3872) production in pp collisions at s=7 TeV
. Eur. Phys. J. C 72, 1972 (2012). https://doi.org/10.1140/epjc/s10052-012-1972-7Measurement of the X(3872) Production Cross Section Via Decays to J/ψπ+π− in pp collisions at s = 7 TeV
. JHEP 04, 154 (2013). https://doi.org/10.1007/JHEP04(2013)154Observation of Multiplicity Dependent Prompt χc1(3872) and ψ(2S) Production in pp Collisions
. Phys. Rev. Lett. 126,Analysis of the quantum numbers JPC of the X(3872)
. Phys. Rev. Lett. 98,Production of psi(2S) Mesons in p anti-p Collisions at 1.96-TeV
. Phys. Rev. D 80,Is the X(3872) Production Cross Section at Tevatron Compatible with a Hadron Molecule Interpretation
? Phys. Rev. Lett. 103,Production of the X(3872) at the Tevatron and the LHC
. Phys. Rev. D 81,Estimating the Production Rate of Loosely-bound Hadronic Molecules using Event Generators
. Phys. Rev. D 83,Note on X(3872) production at hadron colliders and its molecular structure
. Chin. Phys. C 41,Modern Theory of Nuclear Forces
. Rev. Mod. Phys. 81, 1773–1825 (2009). https://doi.org/10.1103/RevModPhys.81.1773Dynamically generated open and hidden charm meson systems
. Phys. Rev. D 76,A survey of heavy-antiheavy hadronic molecules
. Progr. Phys. 41, 65–93 (2021). https://doi.org/10.13725/j.cnki.pip.2021.02.001Heavy- and light-flavor symmetry partners of the Tcc+(3875), the X(3872), and the X(3960) from light-meson exchange saturation
. Phys. Rev. D 108,New insight into the exotic states strongly coupled with the DD¯* from the Tcc+
. Sci. Bull. 69, 3036 (2024). https://doi.org/10.1016/j.scib.2024.07.012The Heavy Quark Spin Symmetry Partners of the X(3872)
. Phys. Rev. D 86,Tcc+(3875) relevant DD scattering from Nf=2 lattice QCD
. Phys. Lett. B 833,A survey of heavy–heavy hadronic molecules
. Commun. Theor. Phys. 73,D0D0π+ mass distribution in the production of the Tcc exotic state
. Phys. Rev. D 104,Can one extract the pi-neutron scattering length from pi-deuteron scattering
? Phys. Lett. B 634, 210–213 (2006). https://doi.org/10.1016/j.physletb.2005.12.071Factorization in the production and decay of the X(3872)
. Phys. Rev. D 72,X(3872) and its production at hadron colliders
. Phys. Rev. D 96,Deciphering the X(3872) via its polarization in prompt production at the CERN LHC
. Phys. Rev. Lett. 123,Structure and production mechanism of the enigmatic X(3872) in high-energy hadronic reactions
. Eur. Phys. J. C 82, 1062 (2022). https://doi.org/10.1140/epjc/s10052-022-11029-xEvidence That the Deuteron Is Not an Elementary Particle
. Phys. Rev. 137, B672–B678 (1965). https://doi.org/10.1103/PhysRev.137.B672Low-energy universality and the new charmonium resonance at 3870-MeV
. Phys. Rev. D 69,Production of the bottom analogs and the spin partner of the X(3872) at hadron colliders
. Eur. Phys. J. C 74, 3063 (2014). https://doi.org/10.1140/epjc/s10052-014-3063-4Exclusive Processes in Perturbative Quantum Chromodynamics
. Phys. Rev. D 22, 2157 (1980). https://doi.org/10.1103/PhysRevD.22.2157Constituent counting rule for exclusive production of heavy quarkoniumlike exotic resonance and a light hadron
. Phys. Rev. D 94,Production of light nuclei and anti-nuclei in pp and Pb-Pb collisions at energies available at the CERN Large Hadron Collider
. Phys. Rev. C 93,Observation of light nuclei at ALICE and the X(3872) conundrum
. Phys. Rev. D 92,Observation of abnormal suppression of f0(980) production in p–Pb collisions at sNN = 5.02 TeV
. Phys. Lett. B 853,K anti-K Molecules
. Phys. Rev. D 41, 2236 (1990). https://doi.org/10.1103/PhysRevD.41.2236Evidence that the a(0)(980) and f(0)(980) are not elementary particles
. Phys. Lett. B 586, 53–61 (2004). https://doi.org/10.1016/j.physletb.2004.01.088Elliptic anisotropy measurement of the f0(980) hadron in proton-lead collisions and evidence for its quark-antiquark composition
. arXiv:2312.17092The nature of X(3872) from high-multiplicity pp collisions
. Eur. Phys. J. C 81, 669 (2021). https://doi.org/10.1140/epjc/s10052-021-09425-wProduction of X(3872) at High Multiplicity
. Phys. Rev. D 103,A possible resonant state in pion-hyperon scattering
. Phys. Rev. Lett. 2, 425–428 (1959). https://doi.org/10.1103/PhysRevLett.2.425Chiral dynamics and the S11 (1535) nucleon resonance
. Phys. Lett. B 362, 23–28 (1995). https://doi.org/10.1016/0370-2693(95)01203-3Chiral dynamics in the presence of bound states: Kaon nucleon interactions revisited
. Phys. Lett. B 500, 263–272 (2001). https://doi.org/10.1016/S0370-2693(01)00078-8Multi-Quark Hadrons. 2. Methods
. Phys. Rev. D 15, 281 (1977). https://doi.org/10.1103/PhysRevD.15.281Evidence for a New Resonance from Polarized Neutron-Proton Scattering
. Phys. Rev. Lett. 112,Three-Body Calculation of the Delta-Delta Dibaryon Candidate D(03) at 2.37 GeV
. Phys. Rev. Lett. 111,Novel Six-Quark Hidden-Color Dibaryon States in QCD
. Phys. Lett. B 727, 438–442 (2013). https://doi.org/10.1016/j.physletb.2013.10.059Dynamical calculation of the ΔΔ dibaryon candidates
. Phys. Rev. C 89,Measurement of the mesonic decay branch of the KNN quasibound state
. Phys. Rev. C 110,Meson production in nucleon-nucleon collisions close to the threshold
. Phys. Rept. 397, 155–256 (2004). https://doi.org/10.1016/j.physrep.2004.03.007Close-to-threshold meson production in hadronic interactions
. Prog. Part. Nucl. Phys. 49, 1 (2002). https://doi.org/10.1016/S0146-6410(02)00143-6Role of the N*(1440) resonance in the pp — > pn pi+ reaction
. Nucl. Phys. A 821, 220–234 (2009). https://doi.org/10.1016/j.nuclphysa.2009.02.010Proposal for Studying N* Resonances with anti-p p — > anti-p n pi+ Reaction
. Phys. Rev. C 80,Resonance model study of kaon production in baryon baryon reactions for heavy ion collisions
. Phys. Rev. C 59, 369–387 (1999). https://doi.org/10.1103/PhysRevC.59.369The Role of Delta++*(1620) resonances in pp — > nK+ Sigma+ reaction and its important implications
. Phys. Lett. B 649, 405–412 (2007). https://doi.org/10.1016/j.physletb.2007.04.035Near-threshold η production in pp collisions
. Chin. Phys. C 39,Determination of N* amplitudes from associated strangeness production in p+p collisions
. Phys. Lett. B 785, 574–580 (2018). https://doi.org/10.1016/j.physletb.2018.08.068Mass and K lambda coupling of N*(1535)
. Phys. Rev. Lett. 96,Prediction of narrow N* and Λ* resonances with hidden charm above 4 GeV
. Phys. Rev. Lett. 105,On the History of Dibaryons and their Final Observation
. Prog. Part. Nucl. Phys. 93, 195 (2017). https://doi.org/10.1016/j.ppnp.2016.12.004Sequential single pion production explaining the dibaryon ”d*(2380)” peak*
. Chin. Phys. C 47,Deltaron dibaryon structure in chiral SU(3) quark model
. Phys. Rev. C 60,Delta Delta dibaryon structure in extended chiral SU(3) quark model
. Chin. Phys. Lett. 22, 2204–2206 (2005). https://doi.org/10.1088/0256-307X/22/9/018The Role of the Hidden Color Channel in Some Interesting Dibaryon Candidates
. Symmetry 15, 446 (2023). https://doi.org/10.3390/sym15020446The legacy of the experimental hadron physics programme at COSY
. Eur. Phys. J. A 53, 114 (2017). https://doi.org/10.1140/epja/i2017-12295-4The pp - > p ΛK+ and pp - > p Σ0K+ reactions with chiral dynamics
. Phys. Rev. C 84,Evidence for excitation of two resonance states in the isovector two-baryon system with a mass of 2.2 GeV/c2
. Phys. Rev. C 93,Possibility of dibaryon formation near the N*(1440)N threshold: Reexamination of isoscalar single-pion production
. Phys. Rev. C 106,Nature of S-wave NN interaction and dibaryon production at nucleonic resonance thresholds
. Eur. Phys. J. A 56, 229 (2020). https://doi.org/10.1140/epja/s10050-020-00236-3Central Exclusive Particle Production at High Energy Hadron Colliders
. Prog. Part. Nucl. Phys. 65, 149–184 (2010). https://doi.org/10.1016/j.ppnp.2010.06.001Towards a complete study of central exclusive production of K+K− pairs in proton-proton collisions within the tensor Pomeron approach
. Phys. Rev. D 98,Exclusive scalar f0(1500) meson production for energy ranges available at the GSI Facility for Antiproton and Ion Research (GSI-FAIR) and at the Japan Proton Accelerator Research Complex (J-PARC)
. Nucl. Phys. A 826, 101–130 (2009). https://doi.org/10.1016/j.nuclphysa.2009.05.072Investigating the central diffractive f0(980) and f2(1270) meson production at the LHC
. Phys. Rev. D 86,Production of f0(980) meson at the LHC: Color evaporation versus color-singlet gluon-gluon fusion
. Phys. Lett. B 806,Coupled-channel dynamics in the reactions piN – > piN, etaN, KLambda, KSigma
. Eur. Phys. J. A 49, 44 (2013). https://doi.org/10.1140/epja/i2013-13044-5Dynamical coupled-channel model of meson production reactions in the nucleon resonance region
. Phys. Rept. 439, 193–253 (2007). https://doi.org/10.1016/j.physrep.2006.12.003Pole position of the a1(1260) resonance in a three-body unitary framework
. Phys. Rev. D 105,Three-body unitary coupled-channel analysis on η(1405/1475)
. Phys. Rev. D 107,Exotic hadrons and hadron-hadron interactions in heavy ion collisions
. Nucl. Phys. A 914, 377–386 (2013). https://doi.org/10.1016/j.nuclphysa.2013.01.083Exotic hadrons from heavy ion collisions
. Prog. Part. Nucl. Phys. 95, 279–322 (2017). https://doi.org/10.1016/j.ppnp.2017.02.002Hadron–hadron correlation and interaction from heavy–ion collisions
. Nucl. Phys. A 954, 294–307 (2016). https://doi.org/10.1016/j.nuclphysa.2016.05.010Analytical coalescence formula for particle production in relativistic heavy-ion collisions
. Phys. Rev. C 95,Production of exotic tetraquarks QQq¯q¯ in heavy-ion collisions at the LHC
. Phys. Rev. D 99,Deciphering the Nature of X(3872) in Heavy Ion Collisions
. Phys. Rev. Lett. 126,Transverse momentum distributions of charmonium states with the statistical hadronization model
. Phys. Lett. B 797,Production of doubly charmed exotic hadrons in heavy ion collisions
. Phys. Rev. D 104,X(3872) production in relativistic heavy-ion collisions
. Phys. Rev. C 105,Production of doubly charmed hadrons Ξcc++ and Tcc+ in relativistic heavy-ion collisions
. Phys. Rev. C 109,Hadronic effects on the X(3872) meson abundance in heavy ion collisions
. Phys. Rev. C 88,X(3872) production and absorption in a hot hadron gas
. Phys. Lett. B 761, 303–309 (2016). https://doi.org/10.1016/j.physletb.2016.08.050On X(3872) production in high energy heavy ion collisions
. Phys. Rev. D 90,Hadronic effects on the ccq¯q¯ tetraquark state in relativistic heavy ion collisions
. Phys. Rev. C 98,X(3872) transport in heavy-ion collisions
. Eur. Phys. J. A 57, 122 (2021). https://doi.org/10.1140/epja/s10050-021-00623-4X(3872) in a hot pion bath
. Phys. Lett. B 799,Thermal energy of a charm-meson molecule in a pion gas
. JHEP 02, 163 (2024). https://doi.org/10.1007/JHEP02(2024)163How the Contact Can Produce Snowballs from Hell
. arXiv:2408.03935X(3872) to ψ(2S) yield ratio in heavy-ion collisions
. Phys. Rev. D 110,Medium-assisted enhancement of χc1(3872) production from small to large colliding systems
. Phys. Rev. C 110,Modification of χc1(3872) and ψ(2S) production in pPb collisions at sNN=8.16 TeV.
,Femtoscopy in relativistic heavy ion collisions
. Ann. Rev. Nucl. Part. Sci. 55, 357–402 (2005). arXiv:nucl-ex/0505014, https://doi.org/10.1146/annurev.nucl.55.090704.151533Probing ΩΩ and pΩ dibaryons with femtoscopic correlations in relativistic heavy-ion collisions
. Phys. Rev. C 101,Search for a common baryon source in high-multiplicity pp collisions at the LHC
. Phys. Lett. B 811,Common femtoscopic hadron-emission source in pp collisions at the LHC
. arXiv:2311.14527Observation of e+e → γX(3872) at BESIII
. Phys. Rev. Lett. 112,Dedicated to Professor Wenqing Shen in honour of his 80th birthday
The charge conjugated component “c.c.” will be neglected hereafter for simplicity.
Although, for simplicity, we only spell out the
Here, the charmed meson pair can be both the neutral
This was obtained using
measured by the CMS in the kinematic region 10<pT<30 GeV and |y|<1.2, where pT and y are the transverse momentum and rapidity of X(3872), respectively, [97].


-202504-ok/1001-8042-36-04-001/alternativeImage/1001-8042-36-04-001-F002.jpg)
-202504-ok/1001-8042-36-04-001/alternativeImage/1001-8042-36-04-001-F004.jpg)
-202504-ok/1001-8042-36-04-001/alternativeImage/1001-8042-36-04-001-F012.jpg)
-202504-ok/1001-8042-36-04-001/alternativeImage/1001-8042-36-04-001-F013.jpg)
-202504-ok/1001-8042-36-04-001/alternativeImage/1001-8042-36-04-001-F014.jpg)
-202504-ok/1001-8042-36-04-001/alternativeImage/1001-8042-36-04-001-F016.jpg)
