1 Introduction
As one of the fundamental decay modes of unstable nuclei, α decay receives constant attention due to its importance in investigations of nuclear stability and structure. Experimentally, the identifications of newly-synthesized superheavy elements are mostly achieved by detecting α-decay chains [1]. Meanwhile, measurement of α decay energy also provides reliable information for the study of nuclear mass and excitation level [2-4]. On the other hand, since α-decay half-life is closely related to the structural properties of the decaying system [5-7], α decay is used as a powerful tool to extract the structural information such as deformation [8, 9], nucleon density distribution [10, 11], α-preformation probability [12-16], etc. As a kind of microscopic theory of α decay, the cluster model, which considers the decaying nucleus as an α-core system, has been able to reproduce the half-lives of most known α-radioactive nuclides within permissible range of deviation [17, 18]. Furthermore, the α-decay fine structure (branching ratios to different excitation levels) was well described in recent coupled-channel calculations [19, 20]. Although the present cluster-model description can well reproduce most experimental data, the calculation still can be improved because the α-preformation factor employed in the theory is not consistently evaluated due to the complexity of nuclear many-body problem. More importantly, this factor is considered to carry most information of nuclear structure, which is essential to understand how α clustering happens in heavy nuclei.
Within the cluster-model description, the preformation factor (Pα), which is also named spectroscopic factor in some literatures, is introduced to describe the probability of an α cluster forming inside the parent nucleus. Usually, this factor is presumed as a constant for a certain kind of nuclei (even-even/odd-A/odd-odd) whereby the value is determined through minimizing the deviation between theoretical and experimental decay widths. This simple treatment yields satisfactory results for most open-shell nuclei, and also there are statistical analyses suggesting that the Pα factor should vary smoothly in the open-shell region [21, 22]. As for nuclei around closed magic shells, however, such an assumption may cause large discrepancy of α-decay half-life between theoretical predictions and the experimental data [23, 24].
Progress on microscopic calculation of Pα has been made on a typical nucleus 212Po, which can be regarded as an α cluster plus a double-magic core 208Pb. Varga et al. successfully reproduced the experimental decay width of 212Po by using a wavefunction with combined shell-model and cluster-model components as the initial state of parent nuclei, and the Pα factor was consistently obtained as 0.3 [25, 26]. Recently, Röpke et al. attempted to describe the transition of α-cluster state in 212Po from an unbound four-nucleon shell model state to an intrinsic bound α-like state as the baryonic density decreases at the nuclear surface [27]. The α formation is considered to take place at a critical density as 0.03 fm-3. The microscopic calculations above were performed due to the simplicity of structure for 212Po, but as more valence nucleons are involved, the complexity of depicting the α correlation in nuclei would largely increase. Therefore, it would be very difficult to pursue a fully microscopic description of α-preformation process for nuclei without an α-core structure.
As a simple method to obtain the information of Pα for known α emitters, one can roughly extract the Pα factors through dividing the experimental decay width by the theoretical value. Numbers of works are devoted to this approach and reasonable results are obtained [10, 28-31]. However, in some cases such a simple treatment can not ensure a smooth variation of Pα for adjacent nuclei in open-shell regions, because the decay width is strongly dependent on the chosen α-daughter potential. To obtain a reasonable Pα variation, the recently proposed cluster-formation model (CFM) suggests that the Pα factors can be phenomenologically extracted from the experimental binding energies [33, 34]. Based on simple quantum-mechanical considerations, the relation between Pα and binding energy is derived by considering the interaction between surface nucleons as a predominant factor to the formation of α cluster. More recently, we successfully generalized the model to odd-A and odd-odd nuclei by including the effect from unpaired nucleons [35]. The results obtained reasonably agree with the major features predicted in previous researches. In the present study, in order to obtain a comprehensive view of the systematics of Pα in the closed-shell region, the calculation of Pα factors is extended by including more experimental data. Up to 505 nuclei are investigated and analyzed within the CFM, and we analyze in detail the behavior of Pα in the typical N=126 and Z=82 shell regions.
The paper is organized as follows. In Sect. 2, we briefly present the theoretical formulism of the CFM, specially the content of extracting the α-cluster formation energy. In Sect. 3, we show the numerical results and discuss in detail the correlations between Pα variation and its associated structural effects. A summary of the results is given in Sect. 4.
2 Theoretical descriptions
Within the CFM, the clusterization state, Ψi, is introduced to describe different kinds (i) of possible clustering of nucleons. The clusterization state is the eigenstate of its corresponding clusterization Hamiltonian, Hi, which is derived from the theoretical separation of the many-body Hamiltonian for the parent nucleus into the one for a specific clusterization configuration [33]. Accordingly, the initial state, Ψ, of the parent nucleus can be defined as the superposition of all these possible clusterization states, and the total Hamiltonian for the system, H, can be written as the summation of corresponding clusterization Hamiltonians,
where ai is the superposition coefficient for Ψi. Since all these clusterization states describe the same system, they are assumed to share a same eigenenergy, which equals to the eigenenergy, E, for the total wavefunction. Consequently, considering the orthonormality of the clusterization wavefunctions, one can derive the following relation in terms of energy [33],
where Efi is the formation energy for the cluster in clusterization state Ψi. Specifically in the case of α clusterization, the preformation probability of α cluster can be properly defined as
where aα denotes the superposition coefficient for α clusterization state Ψα. In principle, to accurately determine this coefficient, one should calculate the overlap integral between α clusterization state and the initial state wavefunction by solving the time-independent Schrödinger equation. However, according to Eq. (4), the Pα factor can be alternatively evaluated if the ratio of the formation energy to the total energy is determined. For medium and heavy-mass nuclei, it is suggested that the formation of α cluster happens at the nuclear surface [36-38]. One can reasonably consider the α correlation of surface nucleons contributes predominantly to the cluster formation. Since the α correlation is based on the pairing and n-p correlations, which are widely investigated on the basis of binding energy [39-41], it would be possible to determine these two energy values by extracting from experimental binding energies. Within the CFM, the α formation energy, Efα, represents the intrinsic correlation energy of the α cluster, whereas the energy, E, corresponds to the total energy of the considered four-nucleon system. For even-even nuclei, both these energies were determined by Ahmed and co-workers after they systematically analyzed the nucleon-nucleon correlations in the heavy-mass region [33]. In our recent research, we generalized the model to odd-A and odd-odd nuclei by expressing these two energies in a separation-energy systematics [35],
where Sp(A,Z), Sn(A,Z), and Sα(A,Z) are single-proton separation energy, single-neutron separation energy, and α-cluster separation energy, respectively. The definitions of these separation energies are given by
Figure 1 explains schematically the detailed components of the formation energy shown in Eq. (5). In the α clusterization state, each nucleon of the α cluster contributes a Sp (for proton) or Sn (for neutron) to the α formation energy. The summation of four single-nucleon separation energies doubly counts the internal interactions of the α cluster when compared to the total energy, Sα. As a result, the formation energy can be extracted by this summation minus the α-cluster separation energy. In the case of even-even nuclei, the single-nucleon separation energies of the two protons (neutrons) are not distinguished because all nucleons are paired in the ground state. But for odd-A and odd-odd systems, the existence of unpaired nucleon can largely suppress the cluster formation. To incorporate the influence from the unpaired nucleon(s), the term 2Sp (2Sn) in formation energy should be replaced with a two-nucleon separation energy S2p (S2n). In this way, the hindrance caused by the unpaired nucleon can manifest itself as a reduction in formation energy, and consequently the Pα would decrease if more odd nucleons are included.
-201606/1001-8042-27-06-025/alternativeImage/1001-8042-27-06-025-F001.jpg)
It should be noted that α decays of odd-A and odd-odd nuclei are split into favored and unfavored transitions. The Pα factors calculated by using Eq. (5) are mainly for the favored case, because only the influence from binding energy is considered in the present model. For unfavored decays, the α formation process becomes extremely complicated due to the change of spin-parity between parent and daughter states. This makes the Pα factor highly correlated to the details of the wavefunctions which are still too difficult to be acquired. Therefore, the Pα given by the CFM basically correspond to favored α decays.
3 Results and discussion
In this work, the Pα of 505 nuclides (138 even-even nuclei, 254 odd-A nuclei, and 113 odd-odd nuclei) are calculated using Eq. (4), Eq. (5), and Eq. (6). All the investigated nuclei have a positive Qα value and their corresponding binding energies are taken from the newest atomic mass evaluation (AME2012) tables [42]. As is known, the Pα factors also can be evaluated indirectly by extracting from experimental α-decay half-lives. Calculations based on this approach have been performed by models such as the generalized density dependent cluster model (GDDCM) [10], generalized liquid drop model (GLDM) [28, 29], and Hamiltonian energy density approach in terms of the SLy4 Skyrme-like effective interaction (SLy4) [16, 31]. Before we present the details of our results, it would be interesting to compare the calculated Pα factors with these models to examine the reliability of the CFM. In Fig. 2, we show the Pα factors of Po isotopes calculated by different models. It can be clearly observed that the trends of Pα variation predicted by these four models are very similar. The large shell effect for N=126 is reasonably reproduced by all these models. Furthermore, the Pα factors by the CFM vary more smoothly than by the others. This is mainly due to the fact that the binding energy almost increases homogenously with nucleon number in this region. The major difference in this figure is the magnitude of the Pα factors. As can be seen that the results by GLDM and SLy4 come close to each other and are about one order of magnitude smaller than by the CFM and GDDCM, whose magnitudes are basically of the same order. It should be noted that the Pα factor of 212Po was microscopically evaluated as 0.3 in previous study [25]. This value is considered reliable and comes very close to the results 0.22 and 0.25 by CFM and GDDCM, respectively. Therefore, the Pα obtained by the CFM and GDDCM might be more approximate to the realistic values.
-201606/1001-8042-27-06-025/alternativeImage/1001-8042-27-06-025-F002.jpg)
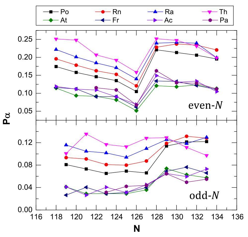
In order to investigate the detailed behavior of the Pα factors in the N=126 region, we plot the Pα evolution along different isotopic chains in Fig. 3. Interestingly, we find the results are mostly divided into two groups. For even-N isotopic chains, Pα smoothly decreases as N increases below N=126, but a sharp increase happens for all isotopic chains when N goes beyond the neutron shell closure. This behavior shows that the stabilizing effect from N=126 closed shell strongly suppresses the formation of the α cluster. The sudden enhanced Pα at N=128 can be attributed to the two loosely-bounded neutrons above the shell contributing predominantly to the cluster configuration, which manifests itself as a typical signature of the shell effect. However, one can observe such an increase for odd-N isotopic chains occurs at N=129 instead of N=127. Of a similar physics, this is because the α transition would become more favored if the neutron pair above the shell closure could be utilized to form the α cluster. In fact, the N=126 shell effect in Pα evolution of even-even nuclei was revealed in previous studies [11, 16, 28, 29]. In our results, not only a consistent Pα evolution for even-even nuclei is reproduced, we also demonstrate the N=126 shell effect for odd-A and odd-odd nuclei and point out that the indications of such effect for even-N and odd-N isotopic chains are characterized by a typical increase emerging at different locations in the Pα evolution.
-201606/1001-8042-27-06-025/alternativeImage/1001-8042-27-06-025-F003.jpg)
In addition to the N=126 shell effect, the systematic behavior of Pα around Z=82 is more of our interest because the indication of Z=82 shell effect for very neutron-deficient nuclei was still obscured due to the lack of precise experimental data [43, 44]. In Fig. 4, we show the Pα variation of even-even and even-odd nuclei along different isotonic chains. It can be observed clearly that the Z=82 shell emerges as a typical dip at the shell closure for all isotonic chains. Moreover, the variation of Pα at Z=82 is seen less significantly when compared with the N=126 case in Fig. 3, which implies the proton shell closure exerts a smaller influence on the preformation probability. On the other hand, due to the investigated nuclei in Fig. 3 located around 208Pb, the intervention of both neutron and proton shell closures may be also responsible for a larger amplitude in Pα variation at N=126. It should be noted that in a recent experiment, the researchers precisely measured the α half-lives of some very neutron deficient nuclei and then extracted the α-particle formation probability by the universal decay law (UDL) [45]. They successfully observed the signature of Z=82 shell closure which also shows the above characteristics. Therefore, it is encouraging that this signature is reproduced by the CFM calculation without invoking any half-life data from experiments.
-201606/1001-8042-27-06-025/alternativeImage/1001-8042-27-06-025-F004.jpg)
Another feature that should be noted in Fig. 4 is that the Pα factor steadily climbs with increasing Z below the proton shell closure. As can be seen from Fig. 3, the behavior of Pα below N=126 is totally different, for Pα decreases rapidly due to the stabilizing effect of the closed magic shell. To understand the seemingly strange behavior observed below Z=82, one should consider the excitations of protons across the Z=82 shell closure. As we know, the α-cluster formation can be explained by the configuration mixing of cross-shell excitations of correlated paired nucleons [39]. Below N=126, the formation process is substantially suppressed because the large gap above shell closure makes it almost impossible for neutrons to be excited to a higher major shell. But as we mentioned above, the stabilizing effect of Z=82 shell is much smaller. Once the protons below are excited to the 82<Z≤126 major shell, the formation probability would be enhanced because both correlated proton and neutron pairs now occupy the levels within the same major shell. The fewer valence neutrons exist below the proton shell closure, the more likely such excitations would happen. This explains why Pα increases with larger Z below the shell closure. On the other hand, the existence of this kind of excitation can also be evidenced by the shape-coexistence phenomenon around the Z=82 region. This phenomenon is due to the nuclear deformation which results from cross-shell excitations of protons and the n-p interaction [46]. Therefore, the increasing trend observed in Fig. 4 is probably related to the excitations of protons across the Z=82 shell.
In previous studies of α-decay half-lives of exotic isotones around N=126 shell, the Pα factors are suggested to follow a linear relation with Z to achieve a better agreement with experimental data [23, 24]. This Z-dependent relation is derived from a microscopic two-level model where the shell and blocking effects can be described by considering the pairing and n-p interactions between valence nucleons [39]. Interestingly, this linear behavior is also observed in our results. In Fig. 5, we show the evolution of Pα factors with Z for different isotonic chains. The Pα factors are found to be highly linear with Z according to a given linear correlation coefficient R2>0.9. The success in reproducing such a structural effect further confirms reliability of the CFM. Besides, it should be noted that this linear behavior seems more valid for even-Z isotones than for odd-Z isotones as can be seen from Fig 3. The vanished linear behavior for odd-Z nuclei may be attributed to the α formation being interrupted by the unpaired proton, but it still requires further investigations to reach a conclusion.
4 Summary
The evolution of α-preformation factors around N=126 and Z=82 shells is systematically investigated by using the cluster-formation model. The results show consistent trend and order of magnitude of Pα factors with previous statistical analyses. Strong correlation between nuclear structure and the behavior of Pα evolution is demonstrated and discussed.
In terms of the magnitude, Pα of odd-A nuclei are generally smaller than those of even-even nuclei, while for odd-odd nuclei Pα became even smaller due to the existence of both unpaired proton and neutrons. The shell effect around N=126 can be observed as a sudden increase in Pα across the neutron shell closure. For even-N isotones, this increase happens between N=126 and N=128, but for odd-N isotones it occurs between N=127 and N=129. Relative to the case of N=126, the Z=82 shell effect behaves less notably when the smaller amplitude of Pα variation is observed. The smooth increase of Pα observed in the Z<82 region probably correlates with the cross-shell excitations of protons below the proton closed shell. All these indications support the existence of Z=82 shell closure for very neutron-deficient nuclei. Besides, a strong linear correlation between Pα factors and proton number is observed for even-Z nuclei around N=126, which consists with the relation predicted by microscopic calculations.
The discovery of the heaviest elements
. Rev. Mod. Phys. 72, 733 (2000). doi: 10.1103/RevModPhys.72.733The Ame2012 atomic mass evaluation
. Chin. Phys. C 36, 1287 (2012). doi: 10.1088/1674-1137/36/12/002The Nubase2012 evaluation of nuclear properties
. Chin. Phys. C 36, 1157 (2012). doi: 10.1088/1674-1137/36/12/001α decay of the new neutron-deficient isotope 205Ac
. Phys. Rev. C 89, 014308 (2014). doi: 10.1103/PhysRevC.89.014308Systematics of alpha decay half-lives
. Phys. Rev. C 42, 674 (1990). doi: 10.1103/PhysRevC.42.674α-decay half-lives: Empirical relations
. Phys. Rev. C 79, 054614 (2009). doi: 10.1103/PhysRevC.79.054614New Geiger-Nuttall law for α decay of heavy nuclei
. Phys. Rev. C 85, 044608 (2012). doi: 10.1103/PhysRevC.85.044608;New Geiger-Nuttall law of odd-Z nuclei and long-lived island beyond the stable line
. Nucl. Sci. Tech. 24, 050518 (2013). doi: 10.13538/j.1001-8042/nst.2013.05.018α transitions to coexisting 0+ states in Pb and Po isotopes
. Phys. Rev. C 75, 044301 (2007). doi: 10.1103/PhysRevC.75.044301Effect of deformation parameters, Q value, and finite-range NN force on α-particle preformation probability
. Phys. Rev. C 89, 034617 (2014). doi: 10.1103/PhysRevC.89.034617Effects of differences between neutron and proton density distributions on α-decay half-lives
. Phys. Rev. C 92, 054322 (2015). doi: 10.1103/PhysRevC.92.054322Tentative probe into the nuclear charge radii of superheavy odd-mass and odd-odd nuclei
. Phys. Rev. C 89, 024318 (2015). doi: 10.1103/PhysRevC.89.024318α-nucleus potentials, α-decay half-lives, and shell closures for superheavy nuclei
. Phys. Rev. C 73, 031301(R) (2006). doi: 10.1103/PhysRevC.73.031301Universal decay rule for reduced widths
. Phys. Rev. C 80, 024310 (2009). doi: 10.1103/PhysRevC.80.024310α-Decay half-lives, α-capture, and α-nucleus potential
. At. Data Nucl. Data Tables 95, 815 (2009). doi: 10.1016/j.adt.2009.06.003α-decay half-lives: Empirical relations
. Phys. Rev. C 92, 014602 (2015). doi: 10.1103/PhysRevC.92.014602The α decay spectroscopic factor of heavy and superheavy nuclei
. J. Phys. G: Nucl. Part. Phys. 40, 105102 (2013). doi: 10.1088/0954-3899/40/10/105102Half-Lives of Favored Alpha Decays from Nuclear Ground States
. At. Data Nucl. Data Tables 54, 53 (1993). doi: 10.1006/adnd.1993.1009Systematic calculation of α decay within a generalized density-dependent cluster model
. Phys. Rev. C 81, 024315 (2010). doi: 10.1103/PhysRevC.81.024315Systematic calculation of fine structure in the α decay of heavy odd-mass nuclei
. Phys. Rev. C 86, 054608 (2012). doi: 10.1103/PhysRevC.86.054608Systematics of the α-decay fine structure in even-even nuclei
. A. Dumitrescu, At. Data Nucl. Data Tables 101, 1 (2015). doi: 10.1016/j.adt.2014.09.001Spontaneous α-decay: A statistical interpretation
. Phys. Lett. B 49, 17 (1974). doi: 10.1016/0370-2693(74)90569-3Cluster emission, transfer and capture in nuclear reactions
. Rhys. Rep. 374, 1 (2003). doi: 10.1016/S0370-1573(02)00268-5α-decay studies of the exotic N=125, 126, and 127 isotones
. Phys. Rev. C 76, 027303 (2007). doi: 10.1103/PhysRevC.76.027303Systematic calculations on exotic α-decay half-lives of nuclei with N=125, 126, 127
. Nucl. Phys. A 852, 82 (2011). doi: 10.1016/j.nuclphysa.2011.01.007Absolute alpha decay width of 212Po in a combined shell and cluster model
. Rhys. Rev. Lett. 69, 37 (1992). doi: 10.1103/PhysRevLett.69.37Microscopic theory of cluster radioactivity
. Rhys. Rep. 294, 265 (1998). doi: 10.1016/S0370-1573(97)00049-5Nuclear clusters bound to doubly magic nuclei: The case of 212Po
. Phys. Rev. C 90, 034304 (2014). doi: 10.1103/PhysRevC.90.034304α particle preformation in heavy nuclei and penetration probability
. Phys. Rev. C 77, 054318 (2008). doi: 10.1103/PhysRevC.77.054318Analytic expressions for α particle preformation in heavy nuclei
. Phys. Rev. C 80, 057301 (2009). doi: 10.1103/PhysRevC.80.057301Prediction of nuclear spin based on the behavior of α-particle preformation probability
. Phys. Rev. C 88, 054604 (2013). doi: 10.1103/PhysRevC.88.054604Isospin asymmetry dependence of the α spectroscopic factor for heavy nuclei
. Phys. Rev. C 84, 064608 (2011). doi: 10.1103/PhysRevC.84.064608Model-independent trend of α-preformation probability
. Sci. Chi. Phys. Mech. Astron. 56, 1520 (2013). doi: 10.1007/s11433-013-5159-5Alpha-cluster preformation factors in alpha decay for even-even heavy nuclei using the cluster-formation model
. J. Phys. G: Nucl. Part. Phys. 40, 065105 (2013). doi: 10.1088/0954-3899/40/6/065105Alpha decay preformation factors for even-even 280-316116 superheavy isotopes
. Braz. J. Phys. 46, 355-360 (2016). doi: 10.1007/s13538-016-0414-7Realistic α preformation factors of odd-A and odd-odd nuclei within the cluster-formation model
. J. Phys. G: Nucl. Part. Phys. 42, 075106 (2015). doi: 10.1088/0954-3899/42/7/075106;α preformation factors of medium-mass nuclei and the structural effects in the region of crossing the Z=82 shell
. Phys. Rev. C 93, 044326 (2016). doi: 10.1103/PhysRevC.93.044326Alpha clustering effects in nuclear matter
. Nucl. Phys. A 216, 109 (1973). doi: 10.1016/0375-9474(73)90521-6Four-Particle Condensate in Strongly Coupled Fermion Systems
. Phys. Rev. Lett. 80, 3177 (1998). doi: 10.1103/PhysRevLett.80.3177α-Particle Clustering from Expanding Self-Conjugate Nuclei within the Hartree-Fock-Bogoliubov Approach
. Phys. Rev. Lett. 111, 132503 (2013). doi: 10.1103/PhysRevLett.111.132503Reduced alpha transfer rates in a schematic model
. Phys. Rev. C 36, 456 (1987). doi: 10.1103/PhysRevC.36.456;Shell and blocking effects in α-transfer reactions
. J. Phys. G: Nucl. Part. Phys. 15, 465 (1989). doi: 10.1088/0954-3899/15/4/010Cluster of nucleons as elementary modes of excitation in nuclei
. Nucl. Phys. A 388, 606 (1982). doi: 10.1016/0375-9474(82)90479-1Evidence of α correlation from binding energies in medium and heavy nuclei
. Phys. Rev. C 38, 1078 (1988). doi: 10.1103/PhysRevC.38.1078The Ame2012 atomic mass evaluation
. Chin. Phys. C 36, 1603 (2012). doi: 10.1088/1674-1137/36/12/003Simple relation for alpha decay half-lives
. Phys. Rev. C 46, 811 (1992). doi: 10.1103/PhysRevC.46.811Fine structure in the alpha decay of even-even nuclei as an experimental proof for the stability of the Z=82 magic shell at the very neutron-deficient side
. Rhys. Rev. Lett. 72, 1329 (1994). doi: 10.1103/PhysRevLett.72.1329Signatures of the Z=82 Shell Closure in α-Decay Process
. Rhys. Rev. Lett. 110, 242502 (2013). doi: 10.1103/PhysRevLett.110.242502Coexistence in even-mass nuclei
. Rhys. Rep. 215, 101 (1992). doi: 10.1016/0370-1573(92)90095-H

-201606/1001-8042-27-06-025/alternativeImage/1001-8042-27-06-025-F005.jpg)
