1. Introduction
The inter-nuclear potential is one of the most important factors to describe the heavy-ion nuclear reaction dynamics [1]. It is well known that the study of heavy-ion fusion reactions, in which the interacting nuclei effectively interact with each other, will probe the pre-saddle region as well as the field inside the Coulomb barrier extensively [2]. Further, the study of heavy-ion nuclear reactions can provide major information about the barrier between the interacting nuclei, which hinders the synthesis of superheavy elements. Conversely, by studying the shape and size of the barrier distribution, the dynamics of the interacting nuclei can be investigated [3]. For a given system, the height and width of the barrier—in accordance with the semi-classical theory—remain same, and it is interesting to evaluate the effect of incident energy on such a barrier. Furthermore, theoretically, the reaction barrier is not very well defined and to some extent, it depends on the way it is calculated [4, 5]. For classical simplification, we are assuming that the interaction barrier is estimated from the interaction energy of the interacting nuclei, as a function of the relative distance (R) between them. However, the dynamical calculations of nuclear reactions were also performed by solving the classical equations of motion and using the liquid drop model [6, 7]. The estimated fusion barrier is also a deciding parameter for evaluating the probability of interaction of the heavy ions. In other words, the fusion barrier height and width are the deciding factors to evaluate the probability of fusion reactions. Therefore, the aim of the present investigations is to calculate the interaction potential using the energy density formalism (EDF) [8] with Skyrme forces [9]. Considering this, the total energy of the fermions of the system is given as a function of the one-body density [10]. Further, different Skyrme force gives different barrier height, position, and curvature [11, 12]. Moreover, this force is a zero-range force and density dependent by nature. This model can be applied for inter-nuclear potential, which consistently considers the saturation property of the nuclear matter and it is known as the EDF. This model assumes that the density of each colliding ion remains the same at all distances during the collision. Using this formalism and various types of Skyrme forces, the earlier studies have shown that this method can account for the elastic scattering and fusion barrier height of 16O + 16O reaction [13]. Brink and Stancu [14] have investigated the applicability of this method using the Skyrme energy functional. They have shown that both the EDF and proximity potential are consistent with each other. The same work has also been performed by Dobrowolski et al. [15] using a higher order Thomas–Fermi approximation (TFA) for the kinetic energy and spin-orbit-densities. Recently, the EDF has been applied to simplify the coupled-channel calculations for heavy-ion nuclear fusion reactions [16-18]. The Skyrme energy density formalism (SEDF) is given as a sum of the spin-orbit-densities dependent universal functions; the universal function parameters are obtained for different Skyrme forces [19]. This method is advantageous in solving the barrier modification problems by introducing the effects of either modifying the Fermi density parameters (the half-density radii and surface thickness for exact SEDF calculations) or constants of the parameterized universal functions, as mentioned in reference [14]. Further, for nuclear systems, the semi-classical extended Thomas–Fermi (ETF) approach is extended at finite temperature [20, 21] and is limited for free energy and entropy density functions only. In the semi-classical formalism, we have included the temperature effects, in the following spin-orbit density
2. Theoretical background
It is well known that the ion-ion interaction potential can be generated using the SEDF [24]. Using the SEDF, it is possible to understand the fusion of two nuclei at various energies, predict the mass of nuclei as accurate as the semi-empirical mass formula, predict the ground state properties of the nuclei, and predict the fission barrier heights for all nuclei available in the periodic table [25]. Generally, in nuclear reactions the total potential is a combination of the nuclear, Coulomb and spin parts. However, in the SEDF, the total potential VT(R) is the combination of the nuclear part VN(R), which is the inclusion of spin-orbit interaction, and the Coulomb part VC(R). This total potential is given as:
where equation (2) is a parabolic approximation of the total potential described by equation (1) around the barrier. The height VB and position RB of the fusion barrier can be obtained by applying the conditions [26]:
In the SEDF, VN (R) between the projectile and target is a function of the distance between the two nuclei. This potential is determined using the Hamiltonian H that depends on the nucleonic density ρ, kinetic energy density τ, and spin density J. It is given by
In these equations, ρ1n, ρ2n are the frozen neutron densities and ρ1p, ρ2p are the frozen proton densities of the interacting nuclei. The H (
where ρ = ρn + ρp, τ = τn + τp, and
where
During collisions, the nuclei may have several orientations. Therefore, it is preferred to consider the average over all possible relative orientations from 0o to 180o for both deformed nuclei in the study of fusion reactions [31]. Since both the nuclei are in the same plane i.e.
In SEDF, the nucleon density distribution is determined using the ion-ion interaction potential. The density distribution of the interacting nuclei can be obtained by different approximation methods. However, the self-consistent Hartree–Fock–Bogolyubov (HFB) method can precisely determine the Skyrme effective interaction using a complete quantum approach [33]. The density distribution of the nucleons in the nuclei is calculated by the code HFBRAD(v1.00), which does not include the deformation of the nucleus [33].
The central density,
The half density radii
3. Result and discussions
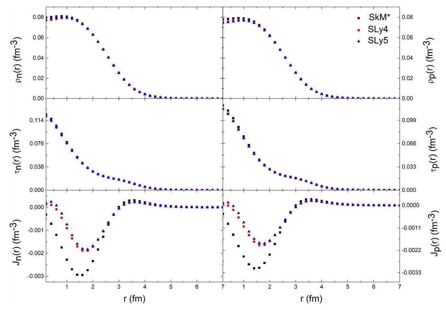
Heavy ion-induced fusion reaction is a sensitive tool to probe the shape, structure, and size of an atomic nucleus as well as the reaction dynamics of a di-nuclear system (DNS) [34]. In the fusion of heavy ions, the relative kinetic energy of an entrance channel converts into the internal excitation energy of the CN and this internal excitation energy is distributed among all the nucleons in the nucleus. The fusion reactions can be explained based on the energy density distribution of the interacting nucleons in the nuclei. Therefore, in the present work, calculations of the SEDF were carried out using energy density distributions. Systems, such as 16O + 184W, 30Si + 170Er, and 40Ar + 160Gd were used, which form the same CN, 200Pb. The ion-ion potential parameters are determined using compatible Skyrme forces like SkM*, SLy4, and SLy5. It is important to notice that in the present investigations, the reactions with different entrance channels and α were selected deliberately to form the same CN. The α are different with respect to the Businaro–Gallone mass asymmetry (αBG) [35]. Some fitting parameters are required for the corresponding Skyrme forces to calculate the ion-ion potential parameters using the HFB method. These parameters are tabulated in Table 1 with their respective forces. The Woods–Saxon potential parameters, calculated using the Akyuz–Winther (AW) formalism, along with α and the deformation parameters for the corresponding systems are given in Table 2. The local ρ, τ, and J density distributions of the nuclei for all the above reactions were determined using the HFB program. A typical local densities distribution of 16O + 184W for both neutron and proton are shown in Figs. 1 and 2. The Skyrme energy density function H(
-202009/1001-8042-31-09-005/alternativeImage/1001-8042-31-09-005-F001.jpg)
-202009/1001-8042-31-09-005/alternativeImage/1001-8042-31-09-005-F002.jpg)
-202009/1001-8042-31-09-005/alternativeImage/1001-8042-31-09-005-F003.jpg)
| Parameters | SkM* | SLy4 | SLy5 |
|---|---|---|---|
| t0 | -2645.0 | -2488.913 | -2488.354 |
| t1 | 410.0 | 486.818 | 484.230 |
| t2 | -135.0 | -546.395 | -556.690 |
| t3 | 15595.0 | 13777.0 | 13757.0 |
| x0 | 0.09 | 0.834 | 0.776 |
| x1 | 0.0 | -0.344 | -0.317 |
| x2 | 0.0 | -1.000 | -1.000 |
| x3 | 0.0 | 1.354 | 1.263 |
| γ | 1/6 | 1/6 | 1/6 |
| W0 | 120.0 | 123.0 | 125.0 |
For the calculation of EDF based on each Skyrme force, we have estimated the Fermi density distributions using the parameters obtained from the fitting results of the HFB. The calculated density distributions’ diffuseness parameters of the nucleons for the projectiles and targets of the systems 16O + 184W, 30Si + 170Er, and 40Ar + 160Gd are shown in Figs. 1 and 2 using Skyrme forces SkM*, SLy4 and SLy5. The interaction potentials were obtained for above mentioned reactions using the calculated densities with the respective Skyrmes. The properties of a calculated fusion barrier potential, viz. V0, a0, and RB, are given in Table 3 for the corresponding Skyrmes. The results clearly indicate that V0 increases with the increasing K value. In other words, the increase in the value of K increases the depth of reaction potential pocket. This observed increase in the potential depth may be due to a vital role of the peripheral nucleons in the heavy-ion reaction. Another set of potential parameters for the above systems was calculated using the AW formalism for the CCFULL calculation (Table 2) [38]. It is also to be noted that the system 16O + 184W has α ˃ αBG, and the systems 30Si + 170 Er and 40Ar + 160Gd have α ˂ αBG. In case of incompressibility, SkM* [39] has lesser incompressibility as compared to SLy4 and SLy5 [40]. The nuclear potential parameters obtained from different Skyrme forces and with different incompressibility of the HFB are given in Table 3. The Coulomb part of the nuclear reaction was also estimated using equation (9) for all the systems. The total potential for the three Skyrme forces were determined for all the selected systems using the nuclear and coulomb potentials. There exists a potential pocket that is responsible for the capture of the nuclei. The deformation of the interacting nuclei is neglected here to avoid the long duration of the calculation [41, 42]. With respect to the α, the system 40Ar + 160Gd may have less capture probability; therefore, the fission barrier height appears to be very less compared to the remaining systems, and hence, the contribution of the quasi-fission may lead to less fusion probability. To confirm this, our group is planning to experimentally measure these type of systems in the above mentioned energy range using a recoil mass separator. By incorporating these potential parameters—derived from the different Skyrme forces—in the CCFULL code as an input, we have calculated the fusion cross-section for reactions 16O + 184W, 30Si + 170Er, and 40Ar + 160Gd. The fusion cross-sections of the CN are calculated using the following equation:
| Skyrme forces | Incompressibility K (MeV) | Systems | V0 (MeV) | a0 (fm) | RB (fm) |
|---|---|---|---|---|---|
| SkM* | 216.65 | 16O+184 W | 49.50 | 0.41 | 6.9 |
| 30Si+170Er | 48.00 | 0.40 | 7.2 | ||
| 40Ar+160Gd | 46.00 | 0.41 | 7.1 | ||
| SLy4 | 229.90 | 16O+184 W | 69.50 | 0.459 | 7.3 |
| 30Si+170Er | 66.80 | 0.45 | 7.2 | ||
| 40Ar+160Gd | 64.10 | 0.45 | 7.19 | ||
| SLy5 | 229.90 | 16O+184 W | 70.20 | 0.45 | 7.3 |
| 30Si+170Er | 67.10 | 0.455 | 7.2 | ||
| 40Ar+160Gd | 64.80 | 0.46 | 7.19 |
| Reaction Systems | Bass Barrier (MeV) | Mass asymmetry | Deformation | Potential parameters using AW | ||||
|---|---|---|---|---|---|---|---|---|
| α | αBG | β2p | β2T | V0 (MeV) | R0 (fm) | a0(fm) | ||
| 16O+184W | 74.19 | 0.84 | 0.83 | 0.364 | 0.236 | 63.90 | 1.20 | 0.65 |
| 30Si+170Er | 113.24 | 0.70 | 0.83 | 0.315 | 0.336 | 72.93 | 1.20 | 0.67 |
| 40Ar+160Gd | 100.43 | 0.60 | 0.83 | 0.251 | 0.353 | 77.57 | 1.20 | 0.68 |
where
-202009/1001-8042-31-09-005/alternativeImage/1001-8042-31-09-005-F004.jpg)
4. Conclusion
In the present investigations, different Skyrme forces were used to estimate the fusion cross-sections at energies well above the Coulomb barrier for the reactions 16O + 184W, 30Si + 170Er, and 40Ar + 160Gd. In this study, three systems were selected such that the first reaction has α ≥ αBG, the second one has α ˂ αBG, and the third one has α ˂˂ αBG. The results of the SEDF calculations show that the calculated values are in close agreement with the experimental values of 16O + 184W system, indicating that whenever α is close to αBG the fusion cross-section values, based on Skyrme forces, closely agree with the experimental values. On the other hand, in the case of 30Si + 170Er (α ˂ αBG), the calculated fusion cross-section based on Skyrme forces were found to be higher than the experimental values. It is interesting to note that as the energy increases the deviation between the theoretical and experimental values decreases. In the case of 40Ar + 160Gd, there are no experimental data on fusion cross-sections. Therefore, we have compared the calculated fusion cross-sections based on Skyrme forces with the values obtained from the CCFULL code. Interestingly, the calculated theoretical values closely agree with the experimental values in the higher energy region, but in the lower energy region, the values predicted by CCFULL are higher than the theoretical values. Therefore, we may conclude that the fusion cross-section values, obtained with different Skyrme forces, can be used not only to estimate the fusion cross-section for any projectile and target combination, but it can also throw light on the effect of entrance channel α on the fusion cross-section. Further, there is no need to change the parameters of Skyrme force to modify the barrier as the theoretical framework based on the Skyrme forces can reproduce the corresponding experiment values. For the fusion cross-sections at sub-barrier energies, different Skyrme forces are required for the different reactions to reproduce the experimental data. A single Skyrme force cannot reproduce the fusion cross-sections over the entire energy range for the selected reactions.
Quantum density oscillations in an inhomogeneous electron gas
. Phys. Rev. 137, A1697 (1965). https://doi.org/10.1103/PhysRev.137.A1697Inhomogeneous electron gas
. Phys. Rev. 136, B864 (1964). https://doi.org/10.1103/PhysRev.136.B864Fusion reaction cross-sections using the Wong model within Skyrme energy density based semiclassical extended Thomas Fermi approach
. Nucl. Phys. A 870-871, 42-57 (2011). https://doi.org/10.1016/j.nuclphysa.2011.09.010Universal functions of nuclear proximity potential for Skyrme nucleus-nucleus interaction in a semiclassical approach
. J. Phys. G: Nucl. Part. Phys. 36, 075104 (2009).Influence of nuclear forces on the Coulomb barrier in heavy-ion reactions
. Phys. Rev. Lett. 24, 404 (1970). https://doi.org/10.1103/PhysRevLett.24.404Distortion of nuclei in heavy ion reactions
. Phys. Lett. B 32, 567-570 (1970). https://doi.org/10.1016/0370-2693(70)90545-9Coulomb distortion in heavy-ion reactions
. Z. Phys. 231, 450 (1970). https://doi.org/10.1007/BF01642535Effect of nuclear deformability on reaction cross sections
. Phys. Rev. C 2, 711 (1970). https://doi.org/10.1103/PhysRevC.2.711New theoretical approach to nuclear heavy-ion scattering
. Phys. Rev. 2, 1576 (1970). https://doi.org/10.1103/PhysRevC.2.1576New theoretical approach to nuclear heavy-ion scattering
. Phys. Rev. 173, 944 (1968). https://doi.org/10.1103/PhysRev.173.944Phil
. Mag. 1, 1043 (1956);Phil
. Nucl. Phys. A 9, 615 (1959).Calculation of interaction barriers using the energy density formalism
. Nucl. Phys. A 240, 353 (1975). https://doi.org/10.1016/0375-9474(75)90335-8Interaction potential between two 16O nuclei derived from the Skyrme interaction
. Nucl. Phys. A 243, 175-188 (1975). https://doi.org/10.1016/0375-9474(75)90027-5Mean-field description of fusion barriers with Skyrme`s interaction
. Nucl. Phys. A 729, 713 (2003). https://doi.org/10.1016/j.nuclphysa.2003.09.008On the role of deformed Coulomb potential in fusion using energy density formalism
. Pramana-Journal of Physics 85, 639 (2015). https://doi.org/10.1007/s12043-014-0898-zComparative study of fusion barriers using Skyrme interactions and the energy density functional
. Phys. Rev. C 92, 064612 (2015). https://doi.org/10.1103/PhysRevC.92.064612Effect of nuclear matter incompressibility on the 16O + 208Pb system
. Phys. Rev. C 93, 064611 (2016). https://doi.org/10.1103/PhysRevC.93.064611The energy density formalism in nuclei
. Annals of Physics 77, 380-413 (1973). https://doi.org/10.1016/0003-4916(73)90422-3Selfconsistent semiclassical description of average nuclear properties - A link between microscopic and macroscopic models
. Phys. Rep. 123, 275 (1985).Extended Thomas-Fermi theory at finite temperature
. Nucl. Phys. A 445, 263-303 (1985). https://doi.org/10.1016/0375-9474(85)90071-5A program for coupled-channel calculations with all order couplings for heavy-ion fusion reactions
. Comp. Phys. Comm. 123, 143-152 (1999). https://doi.org/10.1016/S0010-4655(99)00243-XThree-dimensional unrestricted time-dependent Hartree-Fock fusion calculations using the full Skyrme interaction
. Phys. Rev. C 73, 054607 (2006). https://doi.org/10.1103/PhysRevC.73.054607The mean-field theory of nuclear structure and dynamics
. Rev. Mod. Phys. 54, 913 (1982). https://doi.org/10.1103/RevModPhys.54.913Fourteen years of self-consistent field calculations: What has been learned
. Adv. Nucl. Phys. 11, 179 (1979).Semiclassical and microscopic calculations of the spin-orbit density part of the Skyrme nucleus-nucleus interaction potential with temperature effects included
. Phys. Rev. C 75, 024603 (2007). https://doi.org/10.1103/PhysRevC.75.024603Proximity forces
. Ann. Phys. (NY) 105, 427 (1977). https://doi.org/10.1016/0003-4916(77)90249-4Analytical formulation of the ion-ion interaction potential including spin density term in energy density formalism
. Int. J. Mod. Phys. E 1, 269 (1992). https://doi.org/10.1142/S0218301392000138Probing the role of Skyrme interactions on the fission dynamics of the 6Li + 238U reaction
. Eur. Phys. J. A 53, 140 (2017). https://doi.org/10.1140/epja/i2017-12331-5Coordinate-space solution of the Skyrme-Hartree-Fock-Bogolyubov equations within spherical symmetry
. The program HFBRAD (v1.00). Comp. Phys. Comm. 168, 96 (2005). https://doi.org/10.1016/j.cpc.2005.02.002Fusion and quasifission studies in reactions forming Rn via evaporation residue measurements
. Phys. Rev. C 95, 034610 (2017). https://doi.org/10.1103/PhysRevC.95.034610Angular distribution in heavy-ion induced fission
. Phys. Rev. C 32, 195 (1985). https://doi.org/10.1103/PhysRevC.32.195Signature of shallow potentials in deep sub-barrier fusion reactions
. Phys. Rev. C 75, 034606 (2007). https://doi.org/10.1103/PhysRevC.75.034606Hindrance of 16O + 208Pb fusion at extreme sub-barrier energies
. Phys. Rev. C 76, 054609 (2007). https://doi.org/10.1103/PhysRevC.76.054609Subbarrier fusion reactions and many-particle quantum tunneling
. Progress of Theoretical Physics, 128, 1061-1106 (2012). https://doi.org/10.1143/PTP.128.1061Towards a better parameterization of Skyrme-like effective forces: A critical study of the SkM force
. Nucl. Phys. A 386, 79 (1982).A Skyrme parameterization from subnuclear to neutron star densities part II
. Nuclei far from stability. Nucl. Phys. A 635, 231 (1998). https://doi.org/10.1016/S0375-9474(98)00180-8Solution of the Skyrme-Hartree-Fock equations in the Cartesian deformed harmonic oscillator basis I
. The method. Comput. Phys. Comm. 102, 166 (1997).Solution of the Skyrme-Hartree-Fock equations in the Cartesian deformed harmonic oscillator basis I
. The program HFODD. Comput. Phys. Comm. 102, 183 (1997).Fission hindrance studies in 200Pb: Evaporation residue cross section and spin distribution measurements
. Phys. Rev. C 74, 064603 (2006). https://doi.org/10.1103/PhysRevC.74.064603Entrance channel effect on ER spin distribution
. Nucl. Phys. A 890, 62 (2012). https://doi.org/10.1016/j.nuclphysa.2012.07.004

