logo

Tungsten control in type-I ELMy H-mode plasmas on EAST

ACCELERATOR, RAY TECHNOLOGY AND APPLICATIONS

Tungsten control in type-I ELMy H-mode plasmas on EAST

Zong Xu
Zhen-Wei Wu
Ling Zhang
Yun-Xing Cheng
Wei Gao
Xiao-Dong Lin
Xiang Gao
Ying-Jie Chen
Yue-Heng Huang
Juan Huang
Qing Zang
Yin-Xian Jie
Yan-Min Duan
Ying-Ying Li
Hai-Qing Liu
Guo-Sheng Xu
EAST team
Nuclear Science and TechniquesVol.32, No.9Article number 95Published in print 01 Sep 2021Available online 08 Sep 2021
184301

The first experimental investigation of the tungsten behavior in ELMy H-mode plasmas with co-/counter neutral beam injection (NBI) and unfavorable/favorable Bt was performed on EAST. Tungsten was found to accumulate easily in ELMy H-mode plasma with co-NBI heating and unfavorable Bt. Thus, in this case the tungsten concentration can exceed 10−4, resulting in degradation of the plasma confinement and periodic H-L transitions. To reduce the tungsten concentration in steady-state type-I ELMy H-mode operation, counter-NBI is applied to modify the density and temperature and brake the plasma toroidal rotation. The applied counter-NBI decreases the PHZ+Er inward pinch velocity and reverses the direction of neoclassical inward convection, thus decreasing the tungsten concentration from ~7 × 10−5 to ~2 × 10−5 in type-I ELMy H-mode plasma with favorable Bt. A comparison of the effects of different Bt directions on the tungsten behavior also shows that favorable Bt is beneficial for reducing the tungsten concentration in the core plasma. These results imply that counter-NBI with favorable Bt can effectively prevent tungsten accumulation and expand the operating window for exploring steady-state type-I ELMy H-mode operation of EAST.

Video Abstract

Tungsten accumulationCounter-NBIfavorable BtELMy H-modeEAST

1. Introduction

Tungsten is a good candidate for plasma-facing materials in future fusion devices such as ITER and CFETR. Its intrinsic benefits include a high melting point, a low sputtering yield, and a low tritium retention. However, tungsten accumulation in the core plasma can result in serious radiation losses, the degradation of the overall energy confinement [1], magnetohydrodynamic (MHD) instabilities [2], or even disruptions [3-5]. For ITER, the tungsten concentration (CW = nW/ne, where nW and ne are the tungsten and electron densities, respectively) must be less than 10−4 to avoid unacceptable radiative cooling [6]. It is therefore important to avoid tungsten accumulation in the high-confinement regime in devices with tungsten divertor plates, where tungsten atoms can be sputtered from the divertor plates by giant edge-localized modes (ELMs) [7, 8]. Methods of reducing the stored energy radiated by tungsten in the central plasma is a concern for the economical operation of future commercial reactors [9].

Previous investigations have shown that core impurity accumulation is driven mainly by neoclassical inward convection [10], and the negative radial electric field (Er) is responsible for inward impurity transport [11, 12]. In addition, the inward pinch of high-Z impurities (PHZ) attributed to the atomic processes of ionization and recombination also plays a role in core tungsten accumulation in a toroidally rotating plasma [12-14]. Thus, to suppress and avoid tungsten accumulation, these inward pinch velocities must be reduced and well controlled. Theoretical predictions and experimental observations have shown that neoclassical convection can be controlled by changing the density and temperature gradients [15-17], and the PHZ and Er pinch depend strongly on the toroidal rotation velocity of the background plasma [12]. Turbulent transport due to, for example, the ion temperature gradient (ITG) mode and trapped electron mode (TEM), can also affect tungsten transport [18-20], but it is much weaker than neoclassical transport in the central region of a toroidally rotating plasma, as has been found in JET and the ASDEX Upgrade [21-23]. Turbulent transport can be enhanced by decreasing the ion-to-electron temperature ratio (Ti/Te) [24, 25] so as to increase the impurity diffusivity and suppress impurity accumulation. Neutral beam injection (NBI), which can alter the density and temperature and change the toroidal rotation velocity, will be used to study the tungsten behavior in the core of an EAST type-I ELMy H-mode plasma, because the ELMy H-mode with a low ELM frequency (fELM) of dozens of hertz has inevitably been found to result in strong impurity accumulation in EAST [26-28]. Here, the effects of neoclassical transport [10] and the PHZ and Er pinch on the tungsten behavior in the type-I ELMy H-mode regime are studied. In addition, the effect of turbulent transport on tungsten transport is briefly discussed.

The remainder of the paper is structured as follows. Section 2 describes the NBI systems and relevant diagnostics in EAST, and Sect. 3 reports the experimental investigation of the tungsten behavior in ELMy H-mode plasmas with co-/counter-NBI and different toroidal field (TF) directions. In Sect. 4, a summary and discussion are presented.

2. Experimental setup

This work is based on the EAST tokamak device. EAST is a full superconducting device that was designed to operate with major radii R of 1.7–1.9 m, minor radii a of 0.4–0.45 m, a maximum TF strength Bt of 3.5 T, a maximum plasma current Ip of 1 MA, an elongation k of 1.2–2, and a triangularity δ of <0.8. Since the 2014 campaign, EAST has been upgraded to facilitate progress in achieving long-pulse stable high-performance plasma operation [pulse length > 1000 s, central electron temperature Te0 > 10 keV, normalized betaβN > 2, and ne ~ nGW, where nGW = Ipa2 (1020 m−3)]. For these purposes, several auxiliary heating systems have been developed to provide effective heating and current drive for EAST [29, 30]. As the auxiliary heating power is increased, the materials of plasma facing components (PFCs) are replaced at different positions of the inner wall to improve the heat exhaust ability [31]. The main PFC materials in EAST are molybdenum tiles mounted on the first wall of the vacuum chamber, SiC-coated graphite tiles fixed in the lower divertor, and W/Cu mono-blocks installed in the upper divertor [32].

Two sets of NBI systems have been installed on EAST since the 2014 and 2015 campaigns [33, 34]. The NBI system in EAST consists of two sets of neutral beam injectors. The maximum beam power of each injector is 4 MW, and the maximum beam energy ranges from 50 to 80 keV. One injector has two ion sources which with an independent beam channel and can be operated independently. The layout of the EAST NBI system is shown in Fig. 1. For anticlockwise Ip, the tangential direction of each injector (the co-Ip direction is denoted as co-NBI, whereas the counter-Ip direction is denoted as counter-NBI) and the unfavorable direction of Bt (counter-Ip direction) are shown in the figure.

Fig. 1
(Color online) Directions of plasma current Ip and toroidal field Bt, and layout of two sets of NBI systems and EUV spectrometers on EAST.
pic

To investigate the tungsten behavior in core plasmas with different NBI and Bt directions, three newly developed extreme ultraviolet (EUV) spectrometers (EUV_Short, EUV_Long, and EUV_Long2 in Fig. 1) will be used. EUV_Short and EUV_Long [35, 36] operate in wavelength ranges of 20–50 Å and 20–500 Å, respectively, and both have good spectral resolution for measuring the chord-integrated intensity of line emission from tungsten. Other relevant diagnostics include a Thomson scattering system for observing the profiles of the electron temperature and density, a polarimeter-interferometer for monitoring the profiles of the electron density and safety factor, a fast CCD camera for detecting the plasma position [37], and charge exchange recombination spectroscopy for monitoring the ion temperature profile and toroidal rotation velocity of the background plasma.

3. Experimental results

3.1 Tungsten accumulation at high toroidal rotation velocity

Since 2014, EAST has been used to access advanced regimes with steady-state high-performance plasma in ITER-like tungsten divertor operation [38-41]. However, the accumulation of tungsten that is transported from the divertor by regular collisions or large ELMy impacts [42, 43] always degrades the performance of H-mode plasma. In this section, the behavior of tungsten under a combination of NBI and lower hybrid wave (LHW) heating in the type-I ELMy H-mode regime is investigated to explore suitable heating scenarios without high-Z impurity accumulation and to develop the steady-state long-pulse and high-performance regime.

Type-I ELMy H-mode discharges with the ITER-like tungsten divertor are selected to investigate the tungsten behavior in the core plasma. In the discharge of shot #63723, type-I ELMs with fELM ~ 80 Hz were obtained when additional co-NBI was performed during the LHW heating phase, as shown in Fig. 2. This discharge was performed in the upper single-null (USN) configuration with an unfavorable Bt direction (counter-Ip direction, where the direction of Bt×Bt points away from the divertor X-point) at Bt = 2.3 T, Ip = 0.5 MA, a line-averaged electron density n¯e  of ~2.5 × 1019 m−3, and a safety factor at 95% of the magnetic flux, q95, of 5, where the source power of LHW and co-NBI heating is 1.5 and 4.0 MW, respectively. In this shot, the toroidal rotation velocity of the background plasma can be driven to a quite high level [a central toroidal rotation velocity Vt(0) of ~140 km/s] because co-NBI heating is applied.

Fig. 2
(Color online) Waveforms of a typical tungsten accumulation shot, #63723. (a) Plasma current Ip and line-averaged electron density n¯e, (b) total LHW and NBI heating power, (c) intensity of divertor Dα emission, and plasma stored energy WMHD, (d) central toroidal rotation velocity Vt(0) and energy confinement factor H98, and (e) external Mirnov coil signal and normalized betaβN.
pic

The emission from high ionization stages of Li, C, Fe, Cu, Mo, and W is detected by EUV spectrometers at wavelengths of 20–150 Å [35, 36]. Figure 3 (a)–(c) shows the EUV spectra and total radiative power (Prad) at 3.1, 3.3, and 4.1 s, respectively. The stronger emission lines, such as Li III (134.99 Å), C VI (33.73 Å), and Fe XXIII (132.91 Å), and the first- and second-order tungsten emission in the unresolved transition array (W-UTA) are labeled. CW in core plasma is evaluated as the W-UTA intensity at 45–70 Å, which is composed of W24+–W45+. The CW calculation method is analyzed and introduced in the literature [44]. The W-UTA intensity is found to increase sharply with increasing Prad. In particular, in Fig. 3(b) and (c), when Prad is changed from 1.0 to 1.3 MW, the intensity of the first-order W-UTA becomes saturated, and the second-order W-UTA emission appears and becomes more intense, whereas the intensity of emission from other impurities remains relatively low. This result confirmed that tungsten accumulates easily in the core plasma when co-NBI is performed and makes a large contribution to this important radiation.

Fig. 3
(Color online) EUV spectra from shot #63723 in wavelength range of 20–150 Å at times of (a) 3.1 s, (b) 3.3 s, and (c) 4.1 s.
pic

The process of tungsten accumulation is shown in Fig. 4(a) and (b). CW increases continually during each tungsten accumulation phase, and the radiation profile becomes progressively peaked correspondingly [I mean that the degree of peaking of radiation profile increases gradually]. Noticeably, in the first phase of the H mode, because q(0) is slightly less than 1 [Fig. 5(d)], core MHD activity (m/n = 1/1) begins and is observed on the spectrogram of the core soft X-ray emission signals from 3.0 to 3.6 s, as shown in Fig. 4(c). This core MHD activity may enhance the impurity diffusivity and decrease the neoclassical convection [45, 46], which suppresses further increases in CW in the core plasma. Although this MHD activity vanishes after 3.6 s, CW continues to grow. In this case, tungsten accumulation results in a larger radiated power loss; thus, a transition back to the L-mode phase occurs after approximately one energy confinementtime τE[τE =WMHD/(Ptotal – dWMHD/dt)]. These sequences of tungsten accumulation and H–L transitions can repeat several times with a period of approximately 3–6τΕ. In each tungsten accumulation phase, the effective charge number Zeff increases from ~3 to ~3.5, and CW increases from ~0.23 × 10−4 to ~1.6 × 10−4; thus, the power radiation fraction Prad/Ptotal increases from ~15% to a peak value of ~50%. The energy confinement factor H98 and βN are clearly attenuated during each tungsten accumulation process, as shown in Fig. 2.

Fig. 4
(Color online) Analysis of tungsten accumulation from 3.0 to 4.8 s in shot #63723. (a) Tungsten concentration CW, (b) radiation profile measured by 64-channel fast bolometer system and W-UTA emission intensity, and (c) spectrogram of central chord of soft X-ray emission signals.
pic
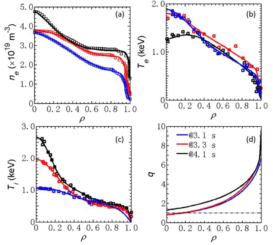
Fig. 5
(Color online) Radial profiles in shot #63723: (a) electron density ne, (b) electron temperature Te, (c) ion temperature Ti, and (d) safety factor q. Blue, red, and black lines indicate times in the L-mode phase (3.1 s) and before (3.3 s) and during (4.1 s) the tungsten accumulation phase. ρ is the normalized poloidal flux coordinate, and the dashed black line in (d) indicates q = 1.
pic

Figure 5 (a)–(d) shows the electron density, electron temperature, ion temperature, and safety factor profiles, respectively, during the L-mode phase (at ~3.1 s, blue line) and before (at ~3.3 s, red line) and during (at ~4.0 s, black line) tungsten accumulation in the H-mode phase of shot #63723. The strong radiative power loss caused by tungsten accumulation changes the profiles and results in an aggravated plasma performance and steady-state operation, as follows. (i) The electron temperature profile inside ρ = 0.2 becomes hollow owing to radiative power loss in the tungsten accumulation phase, as shown in Fig. 5(b). This change in the electron temperature profile in the core region can reduce the turbulent outward pinch driven by the TEM [47], which decreases the outward impurity transport. (ii) The increase in electron density and Zeff during the tungsten accumulation phase can reduce the ITG mode growth rate and particle diffusion [48, 49], producing a peak in ion temperature in the central plasma region, as shown in Fig. 5(c). (iii) The reason for the increase in the safety factor in the core region [Fig. 5(d)] may be that plasma cooling and the increase in Zeff in the accumulation phase alternates the plasma electric conductivity and the current redistribution. Overall, Ti/Te increases as co-NBI is added, indicating that the turbulent transport is reduced and tungsten accumulation is accelerated. However, there have been no reports that the turbulent transport exhibits Z dependence [50] (that the impurity accumulation increases with charge number Z [51]); thus, another mechanism needs to be considered to explain the observation in Fig. 3.

The contribution of neoclassical transport to tungsten accumulation can be indicated by the ratio of the neoclassical radial drift velocity vneo and the diffusion coefficient Dneo (vneo/Dneo). In this analysis, because the core collisionality is greater than 1, vneo/Dneo can be obtained using the simplified expression [10]

vneo/Dneo=(vCL+vPS)/(DCL+DPS), (1)

where the subscript CL denotes the classical regime, and PS denotes the Pfirsch–Schlüter regime. According to neoclassical theory, in each regime [10], v/D can be predicted using the expression

v=DZIZD(1nDdnDdρH1TDdTDdρ), (2)

Where nD and TD are the main ion density and temperature respectively; ZI is the impurity charge number; and ZD is the main ion charge number. In the CL regime, H = 0.5, and in the PS regime, H is determined by the impurity concentration and collisionality of the main ions. The values of vneo/Dneo before and during co-NBI in shot #63723 are estimated assuming nD=ne and TD=Ti, and are shown in Fig. 6(a). The value of |vneo/Dneo| is clearly smaller during the co-NBI phase than before co-NBI, which does not explain the tungsten accumulation observed in this shot.

Fig. 6
(Color online) Estimates of (a) vneo/Dneo and (b) vPHZ+vEr  before co-NBI [Vt(0) ~ 20 km/s] and during co-NBI [Vt(0) ~ 140 km/s] in shot #63723. The shaded areas in (a) are based on the H values, and the dashed lines indicate the averaged vneo/Dneo.
pic

The PHZ must be taken into account for plasma with a high toroidal rotation velocity [12]. The PHZ velocity is given by the expression

     vPHZ=vd022Z0CTCTCZ2+ω2, (3)

where vd0 is the magnetic drift velocity, vd0=mVt2/Z0eRB; Z0 is the impurity ion charge state in ionization equilibrium; ω is the angular frequency of the poloidal motion of impurity ions, ω=(VtEr/Bθ)/(qR0); CT=ne(γkαk)/Te; CZ=ne(γkαk)/Z; and CT=dT/dρ. In addition, m is the impurity mass, Bθ is the poloidal magnetic field, γk is the ionization rate, and αk is the recombination rate (γk and αk are obtained from are obtained from [52]). Er is evaluated using the ion radial force balance equation of the background plasma [53]:

 Er=VtBθVpBt+PiZieni, (4)

where Pi=ni×Ti (ni is the ion density), and Vp is the poloidal rotation velocity. Because Er is a function of Vt, the Er pinch due to the effect of Er resulting from Coulomb collisions [12] is also considered in this analysis. The Er pinch is given by the equation

  vEr=Δrvc1+(vc/ω)2, (5)

Where Δr is the change in the minor radial position and is expressed as Δr=(12α)kΔ022(1α)3 (α=Er/VtBθ, k=ZeEr/mVt2, Δ0=vd0/ω0), and vc is the collision frequency of impurity ions with the background plasma. The value of vc for tungsten can be estimated using the expression vc ~ZW2(mD/mW)0.5ve*, where the electron collisionality is ve*~veff/ε3/2~1014neZeffTe2R/ε3/2 (ε is the inverse aspect ratio). In this work, vPHZ+vEr is used to evaluate the effect of plasma toroidal rotation velocity on tungsten transport.

To simplify the estimation of vPHZ+vEr before and during co-NBI, Vt(0) =   20 km/s before co-NBI and Vt(r) = Vt(0)er/a throughout the plasma radial region are assumed. In the ion radial force balance equation, the second term is not included because Vp is small in the core region, and the third term can be simplified to (ne×Ti)/ene for bulk plasma. As the toroidal rotation velocity increases from 20 to 140 km/s, the estimated vPHZ+vEr (ρ ~ 0.5) is found to increase from approximately –0.02 m/s to approximately −1.0 m/s, as shown in Fig. 6(b), which results in increased inward transport of tungsten and causes tungsten accumulation. Because the PHZ velocity depends strongly on the impurity mass, the increase in inward pinch velocity vPHZ (from approximately −0.017 m/s to approximately −0.8 m/s around ρ = 0.5) can explain why tungsten accumulates more easily than other impurities (Fig. 3).

3.2 Tungsten control using counter-NBI and favorable Bt

To suppress or avoid tungsten accumulation in NBI-heated ELMy H-mode plasmas, the values of Ti/Te, vneo/Dneo, and vPHZ+vEr  should be decreased. For this purpose, counter-NBI is applied to modify the density and temperature and brake the plasma toroidal rotation. Normally, the counter-NBI is not good for plasma confinement other than the co-NBI because counter-NBI introduces impurities into the main plasma and degrades the confinement [54]. To rule out the possibility that the decreased tungsten content is due to the loss of confinement, another mechanism is needed for reducing the penetration of impurities into the main plasma and compensating for plasma confinement. It has been found that a favorable Bt (in the co-Ip direction, where the direction of Bt×Bt points toward the X-point) can improve plasma confinement [55] (compared with an unfavorable Bt, a favorable Bt can improve the H98 by ~ 20% in shots with similar plasma parameters). In addition, favorable Bt is found to have a positive effect on tungsten control, which will be discussed in the next section. For these reasons, the tungsten behavior was investigated using counter-NBI with a favorable Bt direction, as in shot #71605. As shown in Fig. 7, type-I ELMs with fELM ~ 40 Hz were obtained when additional co-NBI was performed during the LHW heating phase. This shot was the last shot before lithium wall conditioning and was performed in the USN configuration with Bt = 2.4 T, Ip = 0.6 MA, n¯e~4.2 × 1019 m−3, q95 = 4.8, and maximum source powers of LHW and NBI of 1.6 and 4.8 MW, respectively.

Fig. 7
(Color online) Waveforms of EAST shot #71605: (a) plasma current Ip and line-averaged electron density n¯e, (b) source power of LHW and NBI (co- and counter-injection directions), (c) Dα emission signal from upper divertor and plasma stored energy WMHD, (d) central toroidal rotation velocity Vt(0) and XUV emission signals at r/a = 0, (e) energy confinement factor H98 and normalized betaβN, (f) tungsten influx at inner target plate, where the black line denotes its tendency. The tungsten flux is indicated by the intensity of the W I emission line at 400.9 nm from the filterscope diagnostic [42].
pic

The central radiation (as indicated by the central XUVemission intensity) clearly decreases rapidly when counter-NBI is performed, although counter-NBI slightly enhances the tungsten source (as indicated by the intensity of W I line emission at 400.9 nm) near the upper divertor region. Further analysis shows that the evolution of CW is directly correlated with the control of Vt(0) by co- and counter-NBI. As shown in Fig. 7(d), when co-NBI heating with a 2 MW source power is applied at 3.0 s, Vt(0) begins to increase and reaches a peak value of approximately 150 km/s. As shown in Fig. 8(a) and (b), the increase in plasma toroidal rotation velocity results in a rapid increase in CW and a gradual peak in the W-UTA emission intensity measured by EUV_Long2. EUV_Long2 [56] is a newly developed space-resolved EUV spectrometer that can provide the radial profile of impurity line emission covering a wide vertical range of −0.085 m ≤ Z ≤ 0.4 m [Fig. 12(b)]. These rapid variations in CW and the W-UTA profile in the core region suggest tungsten accumulation. However, CW decreases and the W-UTA emission intensity in the core plasma suddenly dissipates when counter-NBI heating with a 1.4 MW source power is superimposed at 4.0 s to reduce Vt(0) to 45 km/s. When the counter-NBI source power is increased to 2.8 MW, Vt(0) can be further reduced and finally maintained at ~20 km/s. When the counter-NBI source power decreases and vanishes, CW increases again with the increase in Vt(0). In addition, additional peaks in the W-UTA emission intensity in the core region indicate that tungsten accumulation again occurs. In this process, when counter-NBI with a maximum power of 2.8 MW is added during the co-NBI phase, Vt(0) changes from 150 to 20 km/s. Consequently, CW decreases from ~7 × 10−5 to ~2 × 10−5; thus the power radiation fraction Prad/Ptotal is decreased from ~32% to ~8%.

Fig. 8
(Color online) Time evolution of (a) tungsten concentration CW, (b) contour plot of W-UTA emission intensity measured by a newly developed space-resolved EUV spectrometer (EUV_Long2 in Fig. 1), (c) frequency of ELMs fELM, and (d) normalized amplitude of ELMs AELM (black lines indicate their tendency) in shot #71605.
pic
Fig. 12
(Color online) (a) Comparison of W-UTA emission intensity profiles in type-I ELMy H-mode plasmas with unfavorable and favorable Bt directions, (b) viewing range of space-resolved EUV spectrometer (blue) and plasma shape in the shots with unfavorable (red) and favorable (black) Bt directions in EAST.
pic

In the ELMy H-mode phase, the superimposed counter-NBI also changes the characteristics of ELMs [57] (such as frequency fELM and amplitude AELM), as shown in Fig. 8(c) and (d). It has been found that high-frequency ELMs can provide continuous transport of impurities in the edge plasma region, which prevents the accumulation of impurities [58-60]. This effect of ELMs on the elimination of impurities is called impurity flushing. The correlation analysis of Vt(0), fELM, and CW from 4 to 4.55 s shows that CW is strongly dependent on Vt(0) but weakly dependent on fELM. This weak dependence of CW on fELM results from the fact that the low-frequency ELMs (which increase from ~50 to ~65 Hz during that time period) are insufficiently effective in flushing out impurities [58]. Note also that no core MHD activity is observed on the spectrogram of the central chord of the soft X-ray emission signals, and the energy confinement factor H98 remains nearly constant during the counter-NBI heating phase. This result implies that the counter-NBI added here does not degrade the plasma confinement and can effectively suppress tungsten accumulation in the type-I ELMy H-mode on EAST.

However, the decrease in CW during the added counter-NBI phase is attributed not only to the reduced toroidal rotation velocity, but also to the variations in density and temperature and their gradients. Figure 9 (a)–(c) shows the density and temperature profiles at time points before (at 3.5 s, red line), during (at ~5.0 s, blue line), and after (at ~7.0 s, black line) counter-NBI in shot #71605. Under the assumption described above, the estimated vPHZ+vEr (ρ~ 0.4) decreases from approximately −0.57 m/s to approximately −0.02 m/s when the counter-NBI changes Vt(0) from ~80 to ~20 km/s, as shown in Fig. 10(b). The figure also shows that the applied counter-NBI increases the density and flattens its profile in the region 0.3 < ρ< 0.9 and clearly enhances the ion temperature and its gradient inside ρ~ 0.7. These changes will increase the impurity diffusivity owing to the enhanced collisionality [61] and may decrease the pinch velocity of impurities in the central region.

Fig. 9
(Color online) Radial profiles of shot #71605: (a) electron density ne, (b) electron temperature Te, and (c) ion temperature Ti. Red, blue, and black lines indicate times before (3.5 s), during (5.0 s), and after (7.0 s) counter-NBI, respectively.
pic
Fig. 10
(Color online) Estimated (a) vneo/Dneo and (b) vPHZ+vEr during co-NBI [Vt(0) ~ 80 km/s] and added counter-NBI [Vt(0) ~ 20 km/s] in shot #71605. The shaded areas in (a) are based on the H values, and the dashed lines indicate the average  vneo/Dneo.
pic

The values of vneo/Dneo in the co-NBI and counter-NBI phases in shot #71605 were also estimated and are shown in Fig. 10(a). When counter-NBI is added during the co-NBI phase, vneo/Dneo outside of ρ ~ 0.2 can be reduced, and the direction of vneo/Dneo can even be reversed from inward to outward aroundρ = 0.6. The reversed direction is determined by the ratio of the normalized temperature gradient to the normalized main ion density gradient, ηD=1TDdTDdr/1nDdnDdr. It is inferred that the added counter-NBI in this shot reduces the PHZ+Er inward pinch velocity and weakens the contribution of neoclassical inward transport. Note, however, that Ti/Te increases slightly when counter-NBI is added, which should reduce the turbulent impurity transport and increase tungsten accumulation. Thus, it can be concluded that the decrease in CW during the counter-NBI phase is not caused by turbulent transport.

3.3 Effect of favorable Bt on tungsten control

In this section, the effect of Bt direction on tungsten control is discussed. It was found that the impurity confinement time (τimp) was significantly reduced in favorable Bt experiments in recent EAST campaigns. Typically, τimp can be reduced by nearly half for favorable Bt H-mode plasmas (e.g., τimp ~ 112.0 ms for unfavorable Bt in shot #79062 and τimp ~ 61.2 ms for favorable Bt in shot #80303). Shots #79062 and #80303 are similar shots that have opposite Bt directions [55]. The effect was further studied by investigating CW and the tungsten flux in the divertor. To decrease the effect of toroidal rotation velocity on tungsten transport, the shots with low Vt(0) (<30 km/s) are chosen for comparison. CW versus Vt(0) in steady-state ELMy H-mode discharges with unfavorable and favorable Bt directions is compared in Fig. 11. The selected shots have the following parameters: Ip = 0.45–0.55 MA, n¯e = 2.8–4.5 × 1019 m−3, and the total heating powers are similar. This figure shows that CW can be easily controlled below 8 × 105 in the ELMy H-mode plasmas with reduced toroidal rotation velocity [Vt(0) < 30 km/s], where CW is generally lower in the shots with favorable Bt direction than in those with unfavorable Bt direction. These two Bt directions produce Er × B drift with opposite poloidal directions, as shown in Fig. 11(c). For the unfavorable Bt direction, the divertor Er × B drift increases the backflow (PS flow) of impurity particles from the upper outer divertor to the upstream region. For the favorable Bt direction, the backflow of impurity particles is directed to the lower divertor and can be exhausted by the closed divertor structure [62]. The lower divertor structure is closed because it is W-shaped with a dome. This effect partially explains the lower CW in the shots with the favorable Bt direction. In addition, the Er × B drift in the favorable Bt direction increases the tungsten flux on the inboard side [as indicated by the increased IIn/IOut shown in Fig. 11(b)], which may affect tungsten transport in the core region owing to the poloidal asymmetry of the tungsten density when the toroidal rotation velocity is low. The in-out asymmetry effect is beneficial for removing the tungsten from the core plasma [63-65], for example, by reversing the direction of vneo/Dneo from inward to outward.

Fig. 11
(Color online) (a) Tungsten concentration versus toroidal rotation velocity in ELMy H-mode plasmas with parameters of Ip = 0.45–0.6 MA and n¯e = 2.8–4.5 × 1019 m−3, (b) ratio of tungsten flux density near the inboard and outboard sides (IIn/IOut) in shots with unfavorable (red) and favorable Bt (black) directions, and (c) schematic diagram of drifts and parallel flows in the corresponding USN configuration.
pic

The W-UTA emission intensity profiles in ELMy H-mode plasmas with different Bt×Bt drift directions are presented in Fig. 12(a). To eliminate the effect of electron temperature on tungsten transport, two shots with similar magnetic axes (near Z = 0.024 m) and central electron temperatures are compared. Figure 12 (a) shows that the W-UTA emission intensity profile is flatter for the favorable Bt direction than for the unfavorable Bt direction. The flatter W-UTA emission intensity profile suggests that the favorable Bt direction is beneficial for avoiding tungsten accumulation and can decrease the risk of intense radiated power in the core region. From these facts, it can be deduced that lower CW with favorable Bt will expand the operating window toward steady-state type-I ELMy H-mode operation.

4 Summary and discussion

The tungsten behavior in ELMy H-mode plasmas with co-/counter-NBI and unfavorable/favorable Bt on EAST was investigated. The results showed that tungsten always accumulates in ELMy H-mode plasma with co-NBI owing to the increased inward pinch velocity vPHZ+vEr and decreased turbulent transport. CW can exceed 10−4 in the type-I ELMy H-mode with Vt(0) > 120 km/s and unfavorable Bt, ultimately resulting in the degradation of plasma confinement and periodic H–L transitions. Thus, CW must be maintained below 10−4 for future steady-state type-I ELMy H-mode operation on EAST.

To suppress and avoid tungsten accumulation in ELMy H-mode plasmas, both the neoclassical inward convection and PHZ inward pinch velocities should be decreased, whereas turbulent transport needs to be increased. For this purpose, counter-NBI was applied to modify the density and temperature and brake the plasma toroidal rotation. The result shows that CW can be decreased from ~7×10−5 to ~2 × 10−5 in the type-I ELMy H-mode plasma with favorable Bt when counter-NBI is superimposed during the co-NBI heating phase. The analysis indicated that the added counter-NBI not only decreases the PHZ+Er inward pinch velocity but also reverses the vneo/Dneo direction from inward to outward; both of these changes contribute to the suppression of tungsten accumulation. It was preliminarily found that, because NBI directly heats ions, turbulent transport in the core region driven by co-/counter-NBI is disadvantageous for the suppression of tungsten accumulation. Increasing the turbulent transport during the co/counter-NBI phases by increasing the power of LHW heating or adopting on-axis electron cyclotron resonance heating are required. Further detailed studies remain as future work.

It was also found that CW is lower in ELMy H-mode plasmas with favorable Bt than in similar discharges with unfavorable Bt. Possible reasons for the effect of Bt direction on CW were discussed. On one hand, in discharges with favorable Bt in the USN configuration, the backflow of impurity particles is directed to the lower divertor and can be exhausted by the closed divertor structure. On the other hand, in low-rotation plasmas, the Er × B drift in plasmas with favorable Bt increases the tungsten flux on the inboard side, which can weaken the contribution of neoclassical inward convection because of in-out asymmetry.

These results demonstrate the potential of counter-NBI in the favorable Bt direction for suppressing tungsten accumulation in ELMy H-mode plasma. The application of counter-NBI to suppress tungsten accumulation and avoid plasma confinement degradation must ensure that Vt and Ip have the same direction (Vt > 0), that Vt is sufficiently low, and that Bt is favorable. Otherwise, impurities can accumulate more easily during counter-NBI than during co-NBI [12, 54], which destroys the plasma confinement. The lower CW in the core plasma caused by counter-NBI in the favorable Bt direction will extend the operating window for exploring steady-state type-I ELMy H-mode operation in EAST in the near future.

References
[1] R.C. Isler,

Impurities in tokamak

. Nucl. Fusion 24, 1599-1678 (1984). doi: 10.1088/0029-5515/24/12/008
Baidu ScholarGoogle Scholar
[2] E.Z. Li, L. Xu, W. Guo et al.,

Understanding the destabilization of a resistive drift mode in EAST core plasmas

. Phys. Plasma 24, 022504 (2017). doi: 10.1063/1.4976136
Baidu ScholarGoogle Scholar
[3] J.A. Wesson, R.D. Gill, M. Hugon et al.,

Disruptions in JET

. Nucl. Fusion 29, 641 (1989). doi: 10.1088/0029-5515/29/4/009
Baidu ScholarGoogle Scholar
[4] R.C. Isler, W.L. Roman, W.L. Hodge,

Long-Time Impurity Confinement as a Precursor to Disruption in Ohmically Heated Tokamaks

. Phys. Rev. Lett. 55, 2413 (1985). doi: 10.1103/physrevlett.55.2413
Baidu ScholarGoogle Scholar
[5] D.H. Zhu, C.J. Li, R. Li et al.,

Characterization of the in situ leading-edge-induced melting on the ITER-like tungsten divertor in EAST

. Nucl. Fusion 60, 016036 (2020). doi: 10.1088/1741-4326/ab561e
Baidu ScholarGoogle Scholar
[6] T. Püetterich, R. Dux, R. Neu et al.,

Observations on the W-transport in the core plasma of JET and ASDEX Upgrade

. Plasma Phys. Control. Fusion 55, 124036 (2013). doi: 10.1088/0741-3335/55/12/124036
Baidu ScholarGoogle Scholar
[7] M. Mayer, M. Andrzejczuk, R. Dux et al.,

Tungsten erosion and redeposition in the all-tungsten divertor of ASDEX Upgrade

. Phys. Scr. 2009, 014039 (2009). doi: 10.1088/0031-8949/2009/t138/014039
Baidu ScholarGoogle Scholar
[8] T. Pütterich, R. Dux, M.N.A. Beurskens et al.,

Tungsten screening and impurity control in JET

. Paper presented at 24th IAEA Conference on Fusion Energy, San Diego, USA 8-13 Oct. 2012. https://juser.fz-juelich.de/record/134562
Baidu ScholarGoogle Scholar
[9] S.Y. Shi, X. Jian, V.S. Chan et al.,

Evaluating the effects of tungsten on CFTER phase I performance

. Nucl. Fusion 58, 126020 (2018). doi: 10.1088/1741-4326/aae397
Baidu ScholarGoogle Scholar
[10] S.P. Hirshman and D.J. Sigmar,

Neoclassical transport of impurities in tokamak plasmas

. Nucl. Fusion 21, 1079-1201 (1981). doi: 10.1088/0029-5515/21/9/003
Baidu ScholarGoogle Scholar
[11] H. Maassberg, R. Brakel, R. Burhenn et al.,

Transport in stellarators

. Plasma Phys. Control. Fusion 35, B319-B332 (1993). doi: 10.1088/0741-3335/35/sb/026
Baidu ScholarGoogle Scholar
[12] K. Hoshino, M. Toma, K. Shimizu et al.,

Inward pinch of high-Z impurity in a rotating tokamak plasma: effects of atomic processes, radial electric field and Coulomb collisions

. Nucl. Fusion 51, 083027 (2011). doi: 10.1088/0029-5515/51/8/083027
Baidu ScholarGoogle Scholar
[13] R.C. Isler, L.E. Murray, E.C. Crume et al.,

Impurity transport and plasma rotation in the ISX-B tokamak

. Nuclear Fusion 23, 1017 (1983). doi: 10.1088/0029-5515/23/8/003
Baidu ScholarGoogle Scholar
[14] T. Nakano and The JT-60 Team,

Tungsten transport and accumulation in JT-60U

. J. Nucl. Mater. 415, S327-S333 (2011). doi: 10.1016/j.jnucmat.2010.12.020
Baidu ScholarGoogle Scholar
[15] R. Neu, R. Dux, A. Geier et al.,

Impurity behaviour in the ASDEX Upgrade divertor tokamak with large area tungsten walls

. Plasma Phys. Control. Fusion 44, 811 (2002). doi: 10.1088/0741-3335/44/6/313
Baidu ScholarGoogle Scholar
[16] P. Helander and D.J. Sigmar, Collisional Transport in Magnetized Plasmas. (Cambridge, Cambridge University Press, 2002).
[17] Y. Nakamura, N. Tamura, M. Yoshinuma et al.,

Strong suppression of impurity accumulation in steady-state hydrogen discharges with high power NBI heating on LHD

. Nucl. Fusion 57, 056003 (2017). doi: 10.1088/1741-4326/aa6187
Baidu ScholarGoogle Scholar
[18] H. Nordman, A. Skyman, P. Strand et al.,

Fluid and gyrokinetic simulations of impurity transport at JET

. Plasma Phys. Control. Fusion 53, 105005 (2011). doi: 10.1088/0741-3335/53/10/105005
Baidu ScholarGoogle Scholar
[19] C. Estrada-Mila, J. Candy, and R.E. Waltz,

Gyrokinetic simulations of ion and impurity transport

. Phys. Plasma 12, 022305 (2005). doi: 10.1063/1.1848544
Baidu ScholarGoogle Scholar
[20] T. Fülöp and H. Nordman,

Turbulent and neoclassical impurity transport in tokamak plasmas

. Phys. Plasma 16, 032306 (2009). doi: 10.1063/1.3083299
Baidu ScholarGoogle Scholar
[21] C. Angioni, F.J Casson, P. Mantica et al.,

The impact of poloidal asymmetries on tungsten transport in the core of JET H-mode plasmas

. Phys. Plasmas 22, 055902 (2015). doi: 10.1063/1.4919036
Baidu ScholarGoogle Scholar
[22] C. Angioni, P. Mantica, T. Püetterich et al.,

Tungsten transport in JET H-mode plasmas in hybrid scenario, experimental observations and modelling

. Nucl. Fusion 54, 083028 (2014). doi: 10.1088/0029-5515/54/8/083028
Baidu ScholarGoogle Scholar
[23] T. Odstrcil, T. Püetterich, C. Angioni et al.,

The physics of W transport illuminated by recent progress in W density diagnostics at ASDEX Upgrade

. Plasma Phys. Control. Fusion 60, 014003 (2018). doi: 10.1088/1361-6587/aa8690
Baidu ScholarGoogle Scholar
[24] Th. Wegner, J.A. Alcusón, B. Geiger et al.,

Impact of the temperature ratio on turbulent impurity transport in Wendelstein 7-X

. Nucl. Fusion 60, 124004 (2020). doi: 10.1088/1741-4326/abb869
Baidu ScholarGoogle Scholar
[25] C. Angioni,

Gyrokinetic study of the impact of the electron to ion heating ratio on the turbulent diffusion of highly charged impurities

. Phys. Plasmas 22, 102501 (2015). doi: 10.1063/1.4932070
Baidu ScholarGoogle Scholar
[26] L. Zhang, S. Morita, Z. Xu et al.,

Suppression of tungsten accumulation during ELMy H-mode by lower hybrid wave heating in the EAST tokamak

. Nuclear Material and Energy 12, 774-778 (2017). doi: 10.1016/j.nme.2017.01.009
Baidu ScholarGoogle Scholar
[27] Q.Q. Yang, G.S. Xu, N. Yan et al.,

Stationary high-performance grassy ELM regime in EAST

. Nucl. Fusion 60, 076012 (2020). doi: 10.1088/1741-4326/ab8e0f
Baidu ScholarGoogle Scholar
[28] Y.C. Shen, H.M. Zhang, B. Lyu et al.,

Measurement of molybdenum ion density for L-mode and H-mode plasma discharges in the EAST tokamak

. Chin. Phys. B 29, 065206 (2020). doi: 10.1088/1674-1056/ab8456
Baidu ScholarGoogle Scholar
[29] X.J. Zhang, Y.P. Zhao, X.Z. Gong et al.,

Steady State Plasma Operation In RF Dominated Regimes On EAST

. AIP Conference Proceedings 1689, 030012 (2015). doi: 10.1063/1.4936477
Baidu ScholarGoogle Scholar
[30] Z. Chen, Y.P. Zhao, G. Chen et al.,

Design and implementation of power and phase feedback control system for ICRH on EAST

. Nucl. Sci. Tech. 29(2), 19 (2018). doi: 10.1007/s41365-018-0362-8
Baidu ScholarGoogle Scholar
[31] Z.X. Cui, X. Li, S.B. Shu et al.,

Calculation of the heat flux in the lower divertor target plate using an infrared camera diagnostic system on the Experimental Advanced Superconducting Tokamak

. Nucl. Sci. Tech. 30(6), 94 (2019). doi: 10.1007/s41365-019-0625-z
Baidu ScholarGoogle Scholar
[32] D.M. Yao, G.N. Luo, S.J. Du et al.,

Overview of the EAST in-vessel components upgrade

. Fusion Eng. Des. 98, 1692-1695 (2015). doi: 10.1016/j.fusengdes.2015.06.084
Baidu ScholarGoogle Scholar
[33] C.D. Hu for the NBI team,

First achievement of plasma heating for EAST neutral beam injector

. Plasma Sci. Technol. 17, 1-3 (2015). doi: 10.1088/1009-0630/17/1/01
Baidu ScholarGoogle Scholar
[34] L. Tao, C.D. Hu, Y.L. Xie,

Thermodynamic analysis and simulation for gas baffle entrance collimator of EAST-NBI systembased on thermo-fluid coupled method

. Nucl. Sci. Tech. 29(1), 2 (2018). doi: 10.1007/s41365-017-0349-x
Baidu ScholarGoogle Scholar
[35] L. Li, L. Zhang, Z. Xu et al.,

Line identification of extreme ultraviolet (EUV) spectra from low-Z impurity ions in EAST tokamak plasmas

. Plasma Sci. Technol. 23, 075102 (2021). doi: 10.1088/2058-6272/abfea2
Baidu ScholarGoogle Scholar
[36] L. Zhang, S. Morita, Z. Xu et al.,

A fast-time-response extreme ultraviolet spectrometer for measurement of impurity line emissions in the Experimental Advanced Superconducting Tokamak

. Rev. Sci. Instrum. 86, 123509 (2015). doi: 10.1063/1.4937723
Baidu ScholarGoogle Scholar
[37] S.B. Shu, C.M. Yu, C. Chao et al.,

Improved plasma position detection method in EAST Tokamak using fast CCD camera

. Nucl. Sci. Tech. 30(2), 24 (2019). doi: 10.1007/s41365-019-0549-7
Baidu ScholarGoogle Scholar
[38] X. Gao, Y. Yang, T. Zhang et al.,

Key issues for long-pulse high-βN operation with the Experimental Advanced Superconducting Tokamak (EAST)

. Nucl. Fusion 57, 056021 (2017). doi: 10.1088/1741-4326/aa626c
Baidu ScholarGoogle Scholar
[39] B.N. Wan, Y.F. Liang, X.Z. Gong et al.,

Overview of EAST experiments on the development of high-performance steady-state scenario

. Nucl. Fusion 57, 102019 (2017). doi: 10.1088/1741-4326/aa7861
Baidu ScholarGoogle Scholar
[40] B.N. Wan, J.G. Li, H.Y. Guo et al.,

Advances in H-mode physics for long-pulse operation on EAST

. Nucl. Fusion 55, 104015 (2015). doi: 10.1088/0029-5515/55/10/104015
Baidu ScholarGoogle Scholar
[41] B.N. Wan and the EAST team,

A New Path to Improve High βp Plasma Performance on EAST for Steady-State Tokamak Fusion Reactor

. Chin. Phys. Lett. 37, 045202 (2020) doi: 10.1088/0256-307X/37/4/045202
Baidu ScholarGoogle Scholar
[42] Z. Xu, Z.W. Wu, W. Gao et al.,

Filterscope diagnostic system on the Experimental Advanced Superconducting Tokamak (EAST)

. Rev. Sci. Instrum. 87, 11D429 (2016). doi: 10.1063/1.4961294
Baidu ScholarGoogle Scholar
[43] J. Ou, N. Xiang, Z.Z. Men et al.,

Estimation of tungsten production from the upper divertor in EAST during edge localized modes

. Chin. Phys. B 28, 125201 (2019). doi: 10.1088/1674-1056/ab5279
Baidu ScholarGoogle Scholar
[44] X.D. Yang et al., Plasma Phys. Control. Fusion submitted (2020)
[45] T.C. Hender, P. Buratti, F.J. Casson et al.,

The role of MHD in causing impurity peaking in JET hybrid plasmas

. Nucl. Fusion 56, 066002 (2016). doi: 10.1088/0029-5515/56/6/066002
Baidu ScholarGoogle Scholar
[46] M. Sertoli, R. Dux, T. Pütterich et al.,

Modification of impurity transport in the presence of saturated (m,n) = (1,1) MHD activity at ASDEX Upgrade

. Plasma Phys. Control. Fusion 57, 075004 (2015). doi: 10.1088/0741-3335/57/7/075004
Baidu ScholarGoogle Scholar
[47] A. Mollén, I. Pusztai, T. Fülöp et al.,

Impurity transport in trapped electron mode driven turbulence

. Phys. Plasma 20, 032310 (2013). doi: 10.1063/1.4796196
Baidu ScholarGoogle Scholar
[48] J. Li, Z.X. Wang, J.Q. Dong et al.,

Impurity effects on ion temperature gradient driven multiple modes in transport barriers

. Nucl. Fusion 59, 076013 (2019). doi: 10.1088/1741-4326/ab0ee2
Baidu ScholarGoogle Scholar
[49] G.R. McKee, M. Murakami, J.A. Boedo et al.,

Impurity-induced turbulence suppression and reduced transport in the DIII-D tokamak

. Phys. Plasmas 7, 1870 (2000). doi: 10.1063/1.874010
Baidu ScholarGoogle Scholar
[50] T. Parisot, R. Guirlet, C. Bourdelle et al.,

Experimental impurity transport and theoretical interpretation in a Tore Supra lower-hybrid heated plasma

. Plasma Phys. Control. Fusion 50, 055010 (2008). doi: 10.1088/0741-3335/50/5/055010
Baidu ScholarGoogle Scholar
[51] K. Ida, R.J. Fonck, C. Sesnic et al.,

Observation of Z-dependent Impurity Accumulation in the PBX Tokamak

. Phys. Rev. Lett. 58, 116-119 (1987). doi: 10.1103/PhysRevLett.58.116
Baidu ScholarGoogle Scholar
[52]

OPEN-ADAS home page

. http://open.adas.ac.uk/
Baidu ScholarGoogle Scholar
[53] J.W. Coenen, O. Schmitz, B. Unterberg et al.,

Rotation and radial electric field in the plasma edge with resonant magnetic perturbation at TEXTOR

. Nucl. Fusion 51, 063030 (2011). doi: 10.1088/0029-5515/51/6/063030
Baidu ScholarGoogle Scholar
[54] R.C. Isler, P.D. Morgan, N.J. Peacock,

Impurity accumulation in ISX-B during counter-injection—are alternative hypotheses valid?

Nucl. Fusion 25, 386-392 (1985). doi: 10.1088/0029-5515/25/3/013
Baidu ScholarGoogle Scholar
[55] X. Lin, Q.Q. Yang, G.S. Xu et al.,

Plasma performance improvement with favourable Bt relative to unfavourable Bt in RF-heated H-mode plasmas in EAST

. Nucl. Fusion 61, 026014 (2021). doi: 10.1088/1741-4326/abcb27
Baidu ScholarGoogle Scholar
[56] L. Zhang, S. Morita, Z.W. Wu et al.,

A space-resolved extreme ultraviolet spectrometer for radial profile measurement of tungsten ions in the Experimental Advanced Superconducting Tokamak

. Nuclear Inst. and Methods in Physics Research, A 916, 169-178 (2019). doi: 10.1016/j.nima.2018.11.082
Baidu ScholarGoogle Scholar
[57] N. Oyama, Y. Kamada, A. Isayama et al.,

ELM frequency dependence on toroidal rotation in the grassy ELM regime in JT-60U

. Plasma Phys. Control. Fusion 49, 249-259 (2007). doi: 10.1088/0741-3335/49/3/005
Baidu ScholarGoogle Scholar
[58] D.C. van Vugt, G.T.A. Huijmans, M. Hoelzl et al.,

Kinetic modeling of ELM-induced tungsten transport in a tokamak plasma

. Phys. Plasmas 26, 042508 (2019). doi: 10.1063/1.5092319
Baidu ScholarGoogle Scholar
[59] T. Püetterich, R. Dux, M.A. McDermott et al.,

ELM flushing and impurity transport in the H-mode edge barrier in ASDEX Upgrade

. J. Nucl. Mater. 415, S334-S339 (2011). doi: 10.1016/j.jnucmat.2010.09.052
Baidu ScholarGoogle Scholar
[60] M.R. Wade, K.H. Burrell, A.W. Leonard et al.,

Edge-Localized-Mode–Induced Transport of Impurity Density, Energy, and Momentum

. Phys. Rev. Lett. 94, 225001 (2005). doi: 10.1103//PhysRevLett.94.225001
Baidu ScholarGoogle Scholar
[61] R. Dux, A.G. Peeters, A. Gude et al.,

Z dependence of the core impurity transport in ASDEX Upgrade H mode discharges

. Nucl. Fusion 39, 1509 (1999). doi: 10.1088/0029-5515/39/11/302
Baidu ScholarGoogle Scholar
[62] Y.W. Yu, L. Wang, B. Cao et al.,

Fuel retention and recycling studies by using particle balance in EAST tokamak

. Phys. Scr. T170, 014070 (2017). doi: 10.1088/1402-4896/aa8fd9
Baidu ScholarGoogle Scholar
[63] A. Mollén, I. Pusztai, T. Fülöp et al.,

Effect of poloidal asymmetries on impurity peaking in tokamaks

. Phys. Plasma 19, 052307 (2012). doi: 10.1063/1.4719711
Baidu ScholarGoogle Scholar
[64] C. Angioni and P. Helander,

Neoclassical transport of heavy impurities with poloidally asymmetric density distribution in tokamaks

. Plasma Phys. Control. Fusion 56, 124001 (2014). doi: 10.1088/0741-3335/56/12/124001
Baidu ScholarGoogle Scholar
[65] S. Espinosa and P.J. Catto,

Pedestal radial flux measuring method to prevent impurity accumulation

. Phys. Plasmas 24, 055904 (2017). doi: 10.1063/1.4978886
Baidu ScholarGoogle Scholar