Introduction
The issues associated with ensuring hydrogen safety in nuclear power plants (NPPs) with VVER light water reactor-type reactors are central to the safety validation of such power units. The main sources of hydrogen inflow into NPP containment zones arise from the interaction of zirconium fuel rod claddings with cooling water (steam) during core heating in emergency modes and the interaction of the core melt with the concrete of the reactor shaft.
The release of a significant amount of hydrogen into the containment zones can lead to the formation of an explosive environment and trigger hydrogen deflagration and detonation. These processes are accompanied by destruction of the equipment in the first circuit of the NPP and safety systems, which can lead to destruction of the containment. Violation of the integrity of the containment leads to radiation contamination of adjacent territories, resulting in significant costs for their subsequent rehabilitation [1–4]. One of the main methods for preventing the formation of an explosive concentration of hydrogen at NPPS with VVER(LWR)-type reactors is the catalytic (flameless) combustion of hydrogen using passive autocatalytic hydrogen recombiners (PARs) [3,4,17,18].
The operation principle of PARs is based on the oxidation of hydrogen on the surface of a catalyst (usually containing platinum). This reaction is exothermic and proceeds with the release of energy: 2H2 + O2 → 2H2O (steam) + 244.9 kJ/mol. Thus, no additional external energy is required to bind hydrogen. The PAR is a completely passive device that complies with the safety rules at NPPs mandatory for localizing safety systems.
The actual reaction of hydrogen oxidation on platinum (a heterogeneous mechanism of chemical reactions) is multistage, and depending on the approach, 12 to 16 steps should be considered [5,6,19-21]. Ideally, the detailed mechanism of the chemical reactions should be considered when simulating the operation of a PAR. In practice, the detailed mechanism is simplified to the one-step exothermic reaction described above, with some model reaction rates derived from the detailed kinetic mechanism with reasonable simplifications. The best-known models are the Schaefer and Casemo models [6,7]. However, such an approach fundamentally does not make it possible to numerically capture the transition of the catalytic oxidation of hydrogen into its volumetric combustion, which is an extremely undesirable ignition of the hydrogen–air mixture. At the same time, the threshold volumetric concentration of hydrogen, which characterizes the transition from the flameless recombination mode to the ignition mode with the release of an open flame outside the PAR housing, is an important characteristic for the analysis of hydrogen safety; this is referred to as the ‘ignition threshold.’
Among the various recent developments in PARs created by various companies in different countries, only RVK-500, RVK-1000 (JSC INPK RET) [8], and FR90 (SIEMENS, AREVA) [9] are certified and used in NPPs.
The designs of all the PARs in use are almost identical they comprise a stainless-steel (SS) casing in which a catalytic block is placed and through which a hydrogen–air gas mixture is pumped in the natural circulation mode, with air ducts to remove the gas mixture (after hydrogen recombination). The differences lie in the design of the catalytic blocks. The FR 90/1 catalytic block comprises a set of metal plates (thickness: 0.2 mm, height: 200 mm, width: 140 mm) with a catalytic coating that are arranged in parallel along the direction of the vapor–gas flow [9]. The catalytic blocks of the RVK-500 and RVK-1000 PARs comprise a set of ceramic rods (diameter: 6 mm) with a catalytic coating and a surface-protective hydrophobic coating; the rods are arranged in parallel along the direction of the vapor–gas flow.
In the event of a severe accident involving a core melt and the subsequent interaction of the corium with concrete (in the absence of a melt localization device), a significant amount of hydrogen can be released. According to various estimates, in such an accident at an NPP with a VVER-1000-type reactor, up to 3000 kg of hydrogen can be released. To enable the processing of this amount of hydrogen, the required number of recombiners and their locations are calculated to confirm the hydrogen safety of NPPs. The initial data for such calculations include the capacity of the recombiner for hydrogen, the ignition threshold, and the typical time to start, which are provided by the manufacturer in the technical specifications for the equipment. However, these characteristics are only valid for the conditions under which they were obtained during tests on experimental standards. They do not consider many factors present in the actual conditions of the accident, such as the actual hydrodynamic situation at the location of the recombiner. Thus, the presence of a hydrogen-containing mixture flowing from above and below will suppress (disrupt) the natural circulation through the PAR, which then significantly affects both its flow characteristics and the ignition threshold value.
Thus, with a physical model of the functioning of modern PARs based on the use of the natural circulation of a hydrogen–air mixture, the characteristics of the recombiner (based on which the safety of NPP power units is assessed) significantly depend on the variable external conditions of the accident. This introduces uncertainties both in terms of the validation of safety by modern calculation tools and the performance under real accident conditions.
The natural circulation of the hydrogen–air mixture results in low specific productivity (productivity per unit catalytic surface) of the PAR and a low ignition threshold. The RVK-1000 PAR has a productivity of 0.157 kg/h (data obtained at a hydrogen volume concentration of 4% and pressure of 0.15 MPa under ideal test bench conditions), with a total catalytic surface area of 1.2 m2 and an ignition threshold of 11% (data obtained during tests with a hydrogen–air mixture diluted with steam) [8]. The FR 90/1–1500 PAR has a productivity of 5.36 kg/h (data obtained at hydrogen volume concentration of 4% and pressure of 0.15 MPa under ideal test bench conditions), with a total catalytic surface area of 11 m2 and an ignition threshold of 8% (data obtained without diluting the vapor of the hydrogen–air mixture) [9].
A small specific productivity leads to the need to increase the area of the catalytic surface, which increases the weight and size characteristics of the PAR, as well as the number of PARs per power unit, to ensure the adequate removal of hydrogen released during an accident. These circumstances, coupled with the fact that recombiners are preferably positioned as high as possible in containment areas, lead to an increase in the mechanical load on the containment, which can negatively affect its secure sealing, especially under seismic and other external loads.
A low ignition threshold means that there is an insufficient margin for such a critically important parameter, thereby limiting the scope of the recombiner performance for the safety function assigned to it as a localizing safety system. These limitations are particularly important when considering the processes of hydrogen stratification in large areas, resulting in the formation of areas with an increased volume concentration. Thus, the local volumetric concentration of hydrogen in some areas can significantly exceed the average volumetric concentration, and a PAR placed in such areas can initiate the deflagration of the gas mixture.
Consequently, to ensure reliable hydrogen safety in all types of possible severe design and beyond-design accidents, and to reduce the mechanical impact on the containment, it is essential to utilize a recombiner that can provide a higher productivity in terms of recombined hydrogen and, simultaneously, a higher ignition threshold with smaller weight and size characteristics (a small catalytic surface area) than existing PARs. Furthermore, the proposed recombiner should guarantee the absence of the influence of external aerodynamic conditions on the characteristics of the recombiner and yield a shorter time constant for reaching the stationary mode when the hydrogen concentration changes at the location of the recombiner.
It is not possible to achieve a significant increase in the specific productivity of a recombiner (the productivity of a unit of catalytic surface) with a simultaneous increase in the ignition threshold by simply modernizing the existing design of PARs because of the limitations inherent in the physical model of the operation of the PAR. Existing PARs are based on the principle of direct hydrogen recombination with oxygen on the surface of the catalyst described above, which, due to the exothermic nature of this reaction, is accompanied by a significant release of heat on the surface of the catalytic elements. This heat is removed in the natural circulation mode at low flow velocities of the hydrogen–air mixture (generally not exceeding 1–2 m/s), and the same flow delivers new hydrogen to the catalytic surface for further recombination with heat release. Correspondingly, the low productivity of existing PARs is a direct consequence of the low rate of natural circulation because the maximum possible potential productivity of the catalytic surface for recombinant hydrogen, in accordance with the Schefer model [8], is many times greater than that implemented in PARs. Thus, the balance between the processes of energy release and heat removal depends on the volume concentration of hydrogen and determines the level of heating of the catalytic surface of the catalytic elements to temperatures that can cause ignition of the hydrogen–air mixture at hydrogen concentrations of ~8%–11% (depending on the design of the PAR). In turn, the steady temperature of the catalytic surface determines the intensity of natural circulation and the pumping rate of the hydrogen mixture through the recombiner. In the current design of PARs, this balance can be shifted slightly in one direction or another, for example, by reducing the energy density (reducing the specific productivity) by applying additional coatings to the catalytic surface, or by improving the heat removal conditions by changing the shape of the catalytic elements.
Thus, within the framework of the physical model of a PAR, an increase in the ignition threshold is possible with a decrease in the specific productivity for recombined hydrogen and consequently the PAR productivity as a whole. This leads to an increase in the number required for installation in a power unit to ensure satisfaction of the hydrogen safety criteria. This, in turn, leads to an increase in the corresponding mechanical load on the containment.
On the other hand, an increase in productivity (with a practically unchanged specific productivity and ignition threshold) can be achieved only through simple scaling (increasing the area of the catalytic surface); however, this also increases the weight and size characteristics and the mechanical load on the containment.
Therefore, it is evident that there is a need to create PARs that operate on other principles, allowing us to simultaneously increase both the productivity and the ignition threshold. This will allow the creation of PARs capable of reliably ensuring the hydrogen safety of NPPs under all types of conditions, particularly beyond-design-based accidents.
Proposed Design and Main Principles of Operation of a Passive Electrochemical Hydrogen Recombiner
As indicated above, the primary factor limiting the possibility of a noticeable increase in the main characteristics of the PAR is the principle of using the natural circulation of the hydrogen–air mixture through the catalytic unit of the recombiner. This principle of the PAR performance is determined by the requirements of the regulatory documents for passive safety systems. In accordance with the IAEA classification IAEA-TECDOC-626 ‘Safety related terms for advanced nuclear plants’ (definitions of terms related to the safety of nuclear plants), the following definitions apply:
Passive component - a component that does not require an external signal or external power supply for its operation.
Passive system - a system that consists entirely of passive components, or uses an active component in a very limited manner to initiate the corresponding passive component.
In accordance with this classification, passive systems are divided into categories A, B, C, and D based on their design features. For example, passive systems are classified as category C if the following requirements are satisfied:
• no signal inputs of ‘intelligence’;
• no external power sources or forces;
• moving mechanical parts, whether or not moving working fluids are also present.
Thus, the physical model of the recombiner in which the natural circulation of the hydrogen mixture through the recombiner is replaced by forced circulation with a higher pumping rate of the hydrogen mixture through the recombiner, can provide significantly improved performance characteristics; however, it is necessary that the system retains the passive principle of operation.
To satisfy these requirements, the design of a passive electrochemical hydrogen recombiner (PEHR) is proposed. The operation of the proposed PEHR is based on other physical principles, allowing the emergency process itself to be used as an energy source for operation of the safety system. The proposed technical solution is based on the technology of a hydrogen fuel cell (FC). The FC is employed as an active element that converts the chemical energy of hydrogen oxidation into electrical energy to replace the natural circulation of the hydrogen mixture through the catalytic unit with forced circulation at high pumping speeds. The requirement for passive operation of the system is met. The main active element in the design is a membrane electrode assembly (MEA), the main elements of which are anode plates and cathodes coated with a platinum catalyst and a membrane that provides proton conductivity. In a classical fuel cell (CFC), pure hydrogen must be present on the anode side at low temperatures, which is impossible to ensure when the recombiner operates under severe emergency process conditions. Therefore, both the process itself and MEA should be experimentally validated to ensure their safe and effective use.
Figure 1 shows generalized schemes of the PEHR (left side) and a catalytic block [10].
-202306/1001-8042-34-06-009/alternativeImage/1001-8042-34-06-009-F001.jpg)
A PEHR includes an SS housing in the form of a vertically oriented casing with input and output sections. The housing is designed to direct the flow of the gas mixture through the device from bottom to top. The catalytic blocks and a compressor are located inside the housing. As shown in the diagram, the catalytic block contains a channel with inlet and outlet zones. An FC is located inside the channel. The FC is installed such that its anode is located in the inlet zone of the channel, and its cathode is located in the output zone of the channel. FCs are connected in parallel to provide power to the compressor. Radiators are located in the channel and provide additional heat removal from the exothermic recombination of hydrogen and oxygen.
The principle of operation of the PEHR is as follows: the ambient gas mixture enters the catalytic block through the inlet section of the housing and exits through the outlet section. In the absence of hydrogen in the zone with the PEHR, oxygen in the environment is present in the inlet and outlet zones. The FC does not generate electric current, and the compressor does not work. When hydrogen enters the zone with the PEHR, it first enters the input zone of the channel. At the anode catalyst of the FC, molecular hydrogen dissociates and loses electrons. Hydrogen cations are conducted through the membrane to the cathode, and electrons are supplied to the external circuit because the membrane does not allow passage of electrons. The FC begins to generate an electric current, and as a result, the compressor is switched on, which ensures pumping of the gas mixture containing the recombined gas through the PAR in forced circulation mode.
The PEHR should provide the following operating modes, depending on the hydrogen concentration.
At a volume concentration of hydrogen (1–N) vol%, the catalytic recombination of hydrogen and oxygen occurs at the anode, and partially at the cathode, without delivering significant electrical power. The threshold value of N vol% at which a significant increase in electric power occurs should be determined experimentally and should not exceed 2–3 vol% [12]. The hydrogen–oxygen gas mixture is pumped by natural circulation through the flow parts of catalytic unit 4 and fan 5. Heat is removed by the flow of the gas mixture.
At a hydrogen volume concentration of (N–18) vol% (18 vol% is the lower limit of detonation), the reactions proceed on the FC with a proportional output of electric power to the fans. The gas mixture is pumped by forced circulation. Heat is removed by the flow of the gas mixture, as well as through the radiator plates. Simultaneously, because of the more intensive delivery of hydrogen (compared to existing designs) to the catalytic element of the hydrogen–oxygen mixture in the forced circulation mode, the performance of the recombiner increases significantly. A significant increase in the productivity of a conventional recombiner depending on the speed of the hydrogen–air mixture was reported by Klauck et al. [11]. At the same time, the ignition threshold increases owing to the following processes: greater heat removal in the forced circulation mode; conversion of part of the energy of hydrogen oxidation equal to the efficiency of the FC not into thermal energy, which heats the surface of the catalyst, but into electrical energy and then into the mechanical drive of the compressor; and release of part of the hydrogen oxidation energy in the form of thermal energy, which heats the catalyst surface not at the anode, but at the cathode, where the hydrogen concentration is much lower.
A very important characteristic of the recombiner efficiency is the time constant for reaching the steady-state mode of hydrogen recombination, which entails a sharp change in the hydrogen concentration at the NPP inlet and determines the dynamic characteristics of the recombiner. In the event of a rapid change e.g., in the scenario of a severe beyond-design accident at an NPP, the operation of a sprinkler system when the pressure of the containment exceeds the values established for safe operation will result in a rapid condensation of water vapor in the containment and a sharp decrease in pressure, producing a corresponding increase in the volume concentration of hydrogen. An increase in the local hydrogen concentration can have the same effect when the forced convection of the hydrogen mixture external to the recombiner changes in the containment during a severe beyond-design accident. A PEHR with forced circulation of the hydrogen mixture through the recombiner is clearly better adapted to such situations than a PAR and will thus have much better dynamic characteristics.
Because the electrical energy for driving the fan and creating forced circulation of the gas mixture through the recombiner is generated from the energy of the redox reaction of hydrogen on the catalytic surface of the MEA, the operation of the system depends only on the emergence of hydrogen; it does not require any other control action or external energy source. Thus, in accordance with the presented operational process and international classification, the PEHR is a passive safety system of category C that has mechanical moving parts.
Electrochemical Processes on the MEA Surface
The proposed hydrogen recombination system includes two interrelated and competing processes: ‘the conventional process,’ i.e., catalytic recombination of hydrogen and oxygen on platinum catalytic elements (anode and cathode), and electrochemical recombination with power generation, which is characteristic of an FC.
In general, recombination can occur on the catalytic surfaces of both the anode and cathode depending on the direction of the hydrogen flow in the presence of oxygen. However, because hydrogen is consumed along the path from the anode to the cathode (Figure 1), the concentration of hydrogen at the cathode is expected to be much lower than that at the anode. Moreover, maximum hydrogen consumption in the anode section of the tract is essential for more efficient proton migration through the membrane.
Let us consider a simplified physical model in which there is no (or negligible) hydrogen in the cathode region. In other words, we assume the presence of an ideally optimized MEA in which all hydrogen is fully absorbed in the anode region. The model must consider two competing processes, both of which ultimately lead to the recombination of hydrogen and oxygen into water. The first is the typical recombination process on the catalytic surfaces of the electrodes. The second is a redox process common in FCs: hydrogen oxidation occurs at the anode and a reduction process occurs at the cathode.
The mechanism and kinetics of the recombination reaction on the catalytic surface have been investigated in various studies [15–18], and detailed analyses of the recombination reaction have been performed for the cases before (pre-ignition) and after catalytic ignition.
Although the first case does not occur in practical situations where recombination is used, it is important for the process considered here. Figure 2 shows the change in surface coverage caused by various components of the recombination reaction depending on the catalyst temperature at a fixed initial hydrogen concentration in the air mixture (2 vol% in the presented calculation). At a lower temperature (to the left of the discontinuity point in the graphs at approximately 430 K), the hydrogen coating is dominant, while the oxygen coating is dominant on the right side of the discontinuity point. The gap in the degree of catalyst coverage by various reaction components indicates the onset of catalytic ignition [5].
-202306/1001-8042-34-06-009/alternativeImage/1001-8042-34-06-009-F002.jpg)
Figure 3 shows the change in the rate of the recombination reaction depending on the surface temperature at different hydrogen concentrations. There is a sharp saturation in the reaction rate when switching to the catalytic ignition mode on the surface. For different input hydrogen concentrations, this transition is observed at different temperatures.
-202306/1001-8042-34-06-009/alternativeImage/1001-8042-34-06-009-F003.jpg)
Figure 4 shows the calculated catalytic ignition curve (data from Prabhudharwadkar et al. [13]) depending on the proportion of hydrogen on the catalyst surface, where the catalytic ignition region is above the curve, and the pre-ignition region is below the curve. From these calculations, it is concluded that at temperatures exceeding the catalytic ignition temperature, the catalytic coating of the electrode functions as a conventional Pt catalyst for the recombination of hydrogen and oxygen on its surface because its coverage with hydrogen is rather low (several orders of magnitude lower than that with oxygen).
-202306/1001-8042-34-06-009/alternativeImage/1001-8042-34-06-009-F004.jpg)
The dependencies reported in the literature [13] (and presented in Figures 2, 3, 4), which are derived based on the detailed mechanism of the recombination reaction [5,6], provide a fairly good confirmation of the experimental temperatures of catalytic ignition [5]. Simultaneously, the expression for the recombination rate reported in the literature [13] gives a rather high consumption of hydrogen at high temperatures and moderate hydrogen concentrations compared with the Schefer formula [7]. The latter gives ~2.3×10–4 kmol/m2s at 4% hydrogen and a catalyst temperature of approximately 500 K (the approximate catalytic ignition exit temperature, Figure 4), i.e., ~0.12 g/m2s for hydrogen-specific consumption. This is almost twice as high as that of the FR 90/1–960 recombiner under natural circulation conditions and a higher catalyst temperature. However, as shown by the results of the calculations presented in Figure 3, if the catalytic ignition mode is reached, an increase in the catalyst temperature has practically no effect on the reaction rate. Such a difference in the hydrogen removal rates unambiguously indicates that the rate of delivery (the amount of diffusion) of the component to the catalyst surface significantly affects the overall rate of hydrogen removal. Therefore, the direct application of the formulae of Kasemo et al. [5] and Schefer [7], which depend only on the concentrations of hydrogen and oxygen and the catalyst temperature without considering the thermal–hydraulic processes in the system, will yield unreasonable results.
Nonetheless, the approach developed by Prabhudharwadkar et al. [13] makes it possible to numerically substantiate the ignition temperatures and regions of pre-ignition and catalytic ignition. It should be noted that 500 K is a rather low temperature that cannot be achieved with natural circulation; hence, forced circulation is necessary. The latter, in turn, can both increase the rate of hydrogen delivery to the catalytic surface and maintain a low temperature that is not lower than the temperature of catalytic ignition, but not higher than the temperature at which the transition to volumetric ignition of the gas phase is possible. Thus, the solution to the problem of safe and effective hydrogen removal with the PEHR requires significant optimization calculations and experimental studies.
Let us assume that our recombiner operates at a catalyst surface temperature close to 500 K and an initial hydrogen concentration of 4 vol%. We consider the pre-ignition recombination mode (before catalytic ignition) up to the point of transition to the catalytic ignition mode for this concentration (Figure 4). This implies that the catalytic surface of the anode will be mostly covered with hydrogen, and the only possible process is the adsorption and dissociation of hydrogen on the platinum surface.
The electrical efficiency can be estimated as for conventional FCs [15]:
Assuming that the operating voltage is approximately 0.5–0.6 V (which is a reasonable value for FCs), and the current density is close to I ~1 A/cm2, evoltage of 0.5 and efuel ~1 at can be estimated at a 4 vol% hydrogen concentration, which is a rate corresponding to the almost natural circulation of the of the mixture (in this case, only relatively minimal forced circulation is required). Thus, the electrical efficiency can be as high as 0.4 in this case. At a higher hydrogen concentrations, forced circulation will play a fundamental role. However, for all hydrogen concentrations, it is necessary to provide efuel ~1, which can be achieved by optimizing the channel geometry.
The cell heat release can be defined as follows [15,16]:
The electrical power generated by the cell is given as follows [15,16]:
The above figures show that the electrochemical processes on the surface of the anode and cathode, which depend on the concentration of hydrogen and the rate of pumping of the hydrogen–air mixture, must be calculated more accurately. However, such calculations should only be carried out in accordance with computational fluid dynamics (CFD) calculations for the entire structure, considering a detailed account of the chemical reactions on the catalyst surface. In the next stage of our research, we plan to create and verify such a numerical model and substantiate the experimental tests. In the future, it will be necessary to consider recombination together with ‘poisoners’ (water vapor, carbon dioxide, carbon monoxide, etc.), which are expected to be present in the atmosphere under the protective shell of a nuclear power unit in a severe beyond-design accident, as well as issues pertaining to ensuring the required resources in standby mode.
Laboratory Model
To determine the general physical principles of PEHR operation based on the dissociation of hydrogen at the anode followed by recombination at the cathode, a laboratory model of a hydrogen cell was developed. An experimental setup was created to test the MEA (Figures 5 and 6) using a PBI membrane (P1100W) manufactured by Advent (http://www.advent-energy.com/) (experimental work was carried out in the laboratory at HySA Infrastructure, South Africa). Catalytic layers were deposited using a Vulcan XC 72 catalytic powder with 20% Pt content. Because the PEHR does not require long-term operation with maximum efficiency, and the cost of the device is the limiting factor, we considered it suitable to use the simplest three-layer MEA without gas diffusion layers. The total active area of the working section was ~25 cm2. The FC was not optimized (e.g., for spray uniformity and composition of the catalytic layers, sealing quality, size of the active area, and other factors).
-202306/1001-8042-34-06-009/alternativeImage/1001-8042-34-06-009-F005.jpg)
-202306/1001-8042-34-06-009/alternativeImage/1001-8042-34-06-009-F006.jpg)
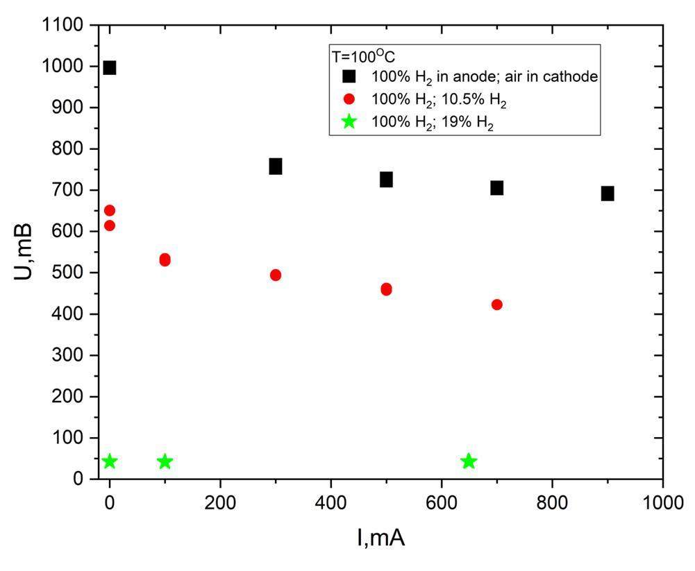
The tests were carried out with MEA temperatures of 60 and 100 ℃ (manufacturer recommended temperatures: 120–180 ℃) at various hydrogen concentrations on the anode and cathode sides (10.5%–100%). At this evaluation stage, very small currents were used (up to 1300 mA), which corresponded to a current density of 0.052 mA/cm2. This was shown to be adequate for assessing the prospects of the selected research direction.
Figure 7 shows the current–voltage characteristics of the MEA at 100 ℃. Pure hydrogen was supplied from the anode side at a flow rate of 40 ml/min. Three versions of the mixture from the cathode side were considered: pure air, an air–hydrogen mixture with a hydrogen concentration of ~10.5 vol%, and an air–hydrogen mixture with a hydrogen concentration of ~19 vol%, corresponding to hydrogen flow rates of 20 and 40 ml/min, respectively. Air was supplied from the cathode side at a flow rate of 171 ml/min. The first option represents the classical use of a hydrogen cell with proven high efficiency [15]. The tests clearly demonstrated a significant dependence of the power, and hence the efficiency of the cell, on the difference in hydrogen concentration at the anode and cathode. At a hydrogen concentration of 19% in the mixture at the cathode, the power and hence the efficiency of the cell, were very low.
-202306/1001-8042-34-06-009/alternativeImage/1001-8042-34-06-009-F007.jpg)
Figure 8 shows the current–voltage characteristics of the MEA at 60 ℃. We also considered two variants with pure hydrogen from the anode side and a mixture from the cathode side: pure air and an air-hydrogen mixture with a hydrogen concentration of ~10.5 vol%. The test results revealed that the cell efficiency decreased at lower temperatures, as expected. The latter two options considered events expected during actual operation of the cell. The anode side was supplied with a mixture of 10.64 vol% or 19.23 vol% hydrogen, while the cathode was supplied with clean air, thus implying an ideal recombiner cell operation, in which all of the hydrogen has time to dissociate or recombine at the anode surface before a change in of the flow (Figure 1) to the cathode surface area. It should be noted that at sufficiently high hydrogen concentrations (here 19.23 vol%), the current–voltage characteristics of the MEA are very similar to those of the classical use of a hydrogen cell. This can be related to the efficiency of using hydrogen in the selected channel geometry, i.e., for the effective functioning of such a cell; this concentration of hydrogen from the anode side is sufficient, and the rest simply does not have time to react. At a hydrogen concentration of 10.64 vol% at the anode, the situation is less unambiguous, and the efficiency is clearly lower. To date, no optimization of the cell geometry has been carried out; however, it is expected that optimization of the MEA channel geometry will increase its efficiency. We envisage that such tests and substantiating calculations will be carried out in the next stages of our research.
-202306/1001-8042-34-06-009/alternativeImage/1001-8042-34-06-009-F008.jpg)
Summary and Conclusions
The design of a PEHR based on HFC technology is proposed. Hydrogen removal is carried out using the hydrogen dissociation reaction at the anode and the diffusion of hydrogen ions through an ion-exchange membrane to the cathode, followed by their recombination with oxygen at the cathode, resulting in the output of electric power. In this case, part of the released energy of hydrogen oxidation is converted into electrical energy (the efficiency of the FC depends on the hydrogen concentration) and then into mechanical energy of the fan drive, which ensures pumping of the hydrogen–oxygen mixture through the recombiner in forced circulation mode at a significantly higher speed than in natural circulation. Therefore, heat generation at the FC can be optimized to a level lower than that at the catalytic elements of existing passive catalytic hydrogen recombiners. With an increase in the pumping speed of the gas mixture, the rates of heat removal and hydrogen delivery to the FC are increased. Thus, the productivity of the recombiner increases, with a significant decrease in the temperature of the catalytic element and a corresponding increase in the ignition threshold. Within a certain temperature range, hydrogen from the hydrogen–oxygen mixture dissociates more efficiently on the catalyst than directly recombining with oxygen without generating electrical power. The use of forced circulation of the hydrogen–oxygen mixture through the recombiner significantly improves its dynamic characteristics (the time constant for achieving maximum performance with an abrupt change in hydrogen concentration) in comparison with a natural circulation recombiner. This is particularly important when the hydrogen concentration abruptly changes with containment, e.g., when the sprinkler system is activated.
To study the capabilities and performance of the HC at various hydrogen concentrations on the anode and cathode sides, a simple laboratory model of a hydrogen cell was assembled, and an experimental setup was created to test the MEA. The simplest MEA (three layers and a seal) based on the Advent P1100W PBI membrane demonstrated stable performance (delivery of electrical power) over a wide range of hydrogen concentrations at the anode and cathode (10.5–100 vol% and 0–18.96 vol%, respectively) and temperatures of up to 100 ℃.
It has been demonstrated that at a hydrogen concentration of 19.23 vol% at the anode, the current–voltage characteristics are very similar to the classical case with 100 vol% hydrogen at the anode. Thus, the HC may be optimized for operation not only with pure hydrogen but also for specific designated goals. At ~10 vol% hydrogen at the anode, the cell power is noticeably lower, but it is possible that it would be adequate to power the fan pumping the hydrogen mixture through the PEHR. Furthermore, the geometry of the MEA channels can be optimized to achieve more efficient hydrogen utilization. A numerical model for geometric optimization based on CFD calculations is currently under development.
A significant dependence of the current–voltage characteristics on the temperature was also determined. As the temperature increased, the current–voltage characteristics of the MEA improved.
The initial tests conducted at this stage of research were carried out without optimizing the characteristics or geometry of the MEA laboratory sample; nonetheless, our results clearly demonstrate the general physical principle and prospects for the proposed development of a PEHR to enable more efficient and safer removal of hydrogen.
Containment protection with hydrogen recombiners
. Atw Atomwirtschaft, Atomtechnik, 39(7), 513-514 (1994).C. Open issues in the applicability of recombiner experiments and modelling to reactor simulations
. Prog. Nucl. Energ., 52(1), 136-147 (2010). doi: 10.1016/j.pnucene.2009.09.010Math hydrogen catalytic recombiner: Engineering model for dynamic full-scale calculations
. Int. J. Hydrogen Energ., 43(52), 23523-23537 (2018). doi: 10.1016/j.ijhydene.2018.10.212Experimental and numerical investigation of the catalytic ignition of mixtures of hydrogen and oxygen on platinum
, Combust. Flame, 111(4), 312-326 (1997). doi: 10.1016/S0010-2180(97)00002-3An experimental and numerical investigation of homogeneous ignition in catalytically stabilized combustion of hydrogen/air mixtures over platinum
, Combust. Flame, 28(4), 340-368 (2002). doi: 10.1016/S0010-2180(01)00363-7Catalyzed combustion of H2/air mixtures in a flat plate boundary layer: ΙΙ: Numerical model
, Combust. Flame, 45, 171-190 (1982)RET(Russkie energeticheskie technologii)
, https://retech.ru/pkrv (in Russian)Framatome, Hydrogen Control System: mixers, igniters, recombiners
. https://www.framatome.com/solutions-portfolio/portfolio/product?product=A0640Passive auto-catalytic recombiners operation in the presence of hydrogen and carbon monoxide: Experimental study and model development
, Nucl. Eng. Des., 266, 137-147 (2014). doi: 10.1016/j.nucengdes.2013.10.021Generic approach for designing and implementing a passive autocatalytic recombiner PAR-system in nuclear power plant containments
. Nucl. Eng. Des., 221, 151-165 (2003). doi: 10.1016/S0029-5493(02)00330-8Simulation of hydrogen mitigation in catalytic recombiner. Part-Ι: Surface chemistry modelling
, Nucl. Eng. Des., 241, 1746-1757 (2011). doi: 10.1016/j.nucengdes.2010.09.032Temperature profile mapping over a catalytic unit of a hydrogen passive autocatalytic recombiner: Experimental and CFD study
, Energ. Fuel. 34(9), 11637-11649 (2020). doi: 10.1021/acs.energyfuels.0c01582Analysis of free energy and entropy changes for half-cell reactions
. J. Electrochem. Soc. 140(2), 3537-3546 (1993). doi: 10.1149/1.2221123Numerical analysis of supersonic jet flow and dust transport induced by air ingress in a fusion reactor
. J. Nuclear Science and Techniques 32(7):73(2021) doi: 10.1007/s41365-021-00912-z.Molecular rotation-caused autocorrelation
. J. Nuclear Science and Techniques 31(6):53(2020) doi: 10.1007/s41365-020-00767-w.Simulation of hydrogen distribution and effect of Engineering Safety Features (ESFs) on its mitigation in a WWER-1000 containment
. Nuclear Science and Techniques 30, 97 (2019) doi: 10.1007/s41365-019-0624-0Improvements to hydrogen depleting and monitoring system for Chinese Pressurized Reactor 1000
. Nuclear Science and Techniques 28, 131 (2017) doi: 10.1007/s41365-017-0287-7CFD studies of hydrogen mitigation by recombiner using correlations of reaction rates obtained from detailed mechanism
. Nuclear Engineering and Design 360, 110528 (2020) doi: 10.1016/j.nucengdes.2020.110528

