Introduction
The synthesis of heavy and super-heavy nuclei (SHN) has drawn considerable interest in nuclear physics [1-6]. Notably, nuclei with N=184 and Z=114 are predicted double magic nuclei at the center of the island of stability [7], which also is predicted by early calculations. Up to now, this landscape of nuclear charts now includes elements up to Z = 118 element. Fusion-evaporation reaction, particularly effective for neutron-deficient nuclei, have become a crucial method for producing heavy and SHN [8-11]. For instance, such as 262Bh, 265Hs, 267Mt, 269Ds, and 272Rg have been synthesized using 208Pb and 209Bi targets [12-16]. Over recent decades, ongoing research to produce neutron-deficient actinide nuclei has been carried out at facilities including Lawrence Berkeley National Laboratory (LBNL, Berkeley) [17], Flerov Laboratory of Nuclear Reactions (FLNR, Dubna) [18], and the Institute of Modern Physics (IMP, Lanzhou) [9, 19, 20]. Recently, 249No was detected via the α-decay of the new isotope 253Rf [21]. Although fusion-evaporation reactions continue to be a promising approach for synthesizing neutron-deficient nuclei in the heavy-mass region [22, 23], the resulting mass spectrum remains relatively narrow. The multinucleon transfer (MNT) reaction, characterized by its wide mass range due to broad excitation functions within the transfer process, offers an alternative approach for extending the nuclear chart landscape [24-27].
Since the 1970s, transfer reactions and deep inelastic heavy-ion collisions have been extensively studied, resulting in the identification of new neutron-deficient actinide nuclei and neutron-rich isotopes of light nuclei [28-34]. The products of MNT reactions are closely related to the structure of the reaction system and the projectile-target mass asymmetry [35-37]. Typically, neutron-deficient beams paired with actinide targets are used to produce neutron-deficient actinide isotopes through MNT reactions. For instance, five new neutron-deficient isotopes, 216U, 219Np, 223Am, 229Am, and 233Bk, were identified in the reaction 48Ca +248Cm [38]. Recently, a new isotope, 241U, was synthesized, and systematic atomic mass measurements of 19 neutron-rich Pa-Pu isotopes were conducted using the MNT reaction of the 238U+198Pt system at the KISS facility [39]. Consequently, the MNT reaction mechanism provides an accessible pathway to synthesize previously unknown actinide nuclei.
Various theoretical techniques have been developed to describe transfer reactions in low-energy heavy-ion collisions. These include semi-classical models such as the Grazing model [40, 41], Grazing-F model [42], the dinuclear system (DNS) model [5, 37, 43-50], the dynamical model based on multidimensional Langevin equations [51-56], the improved quantum molecular dynamics (ImQMD) model [57-61], and the time-dependent Hartree-Fock (TDHF) approach [62, 63, 63, 64]. These models have enabled extensive investigation of topics such as the production cross-sections of new isotopes [65], shell effect on fragment formation [66], total kinetic energy spectra of transfer fragments [60], and angle distributions for MNT products [67]. Notably, MNT reactions reveal unique features, including the ability to manually control nucleon transfer, the interaction mechanisms of projectile-target combinations, and the impact of incident energy on the production cross-sections of neutron-deficient actinide nuclei in theoretical studies.
Due to isospin relaxation, MNT reactions using neutron-deficient beams offer advantages in accessing neutron-deficient isotopes within the actinide region [68]. The properties of these neutron-deficient heavy isotopes are essential for investigating shell evolution and proton driplines. In addition to fusion-evaporation reactions, MNT reactions may present a viable pathway for producing neutron-deficient heavy isotopes [68]. The primary goal of studying MNT reactions with actinide targets is to probe an island of stability. This study focuses on the production of unknown neutron-deficient isotopes with Z = 99-106 using the DNS model via 124Xe+248Cm, 124Xe+249Cf, and 129Xe+249Cf reaction systems. The de-excitation process is addressed using the GEMINI + + statistical model.
The remainder of this paper is organized as follows. In Sec. 2, we provide a brief overview of the theoretical framework of the DNS model. The results and discussion are presented in Sec. 3. Finally, a summary and outlook are presented in Sec. 4.
Theoretical framework
The DNS model describes a diffusion process that takes place along the relative distance between the centers of interacting nuclei and in terms of mass asymmetry. The probability
The potential energy surface (PES) of a projectile-target system is critical in governing the nucleon transfer process [74, 75], which can be expressed as
The effective nucleus-nucleus interaction potential between the two fragments can be expressed as
The following equation expresses the production cross-section of the primary fragment with proton number Z and mass number A:
Results and Discussions
Comparison with experimental data
To inspect the reliability of DNS model in reproducing the transfer cross-sections of actinide nuclei, the production cross-sections with Z = 95–100 isotopes were investigated through the MNT reaction 129Xe+248Cm at an incident energy Ec. m. = 513.10 MeV.
As illustrated in Fig. 1, the cross-sections of target-like fragments (TLFs) as a function of the mass number are explicitly presented for the reaction 129Xe+248Cm. The black line denotes the distribution of final fragments obtained from the DNS model, while the solid circle represents the experimental data from Ref. [29]. The systematic trends observed in the theoretical results calculated using the DNS model closely align with the experimental data. The peak position of the theoretically calculated cross-section is in proximity to that of the experimental section. Additionally, the calculated isotopic distribution cross-sections exhibit a decrease with increasing proton numbers in the TLFs. For instance, the peak production cross-section for Am [see Fig. 1 (a)] is two orders of magnitude larger than that of Fm [Fig. 1 (f)]. Furthermore, the nuclides investigated in these reactions are distributed in the transuranic region. This indicates that the combination of the DNS model and the GEMINI++ model can reliably extrapolate the multinucleon transfer reactions of actinide nuclei.
-202503/1001-8042-36-03-008/alternativeImage/1001-8042-36-03-008-F001.jpg)
Charge equilibrium
To identify the two optimal colliding partners, collisions of the projectiles 124,129Xe with the targets 248Cm and 249Cf were investigated for the production of trans-target nuclei at an incident energy of Ec. m. = 1.1 VB (shown in Fig. 2). The VB values for the 124Xe+248Cm, 124Xe+249Cf, and 129Xe+249Cf reactions are 497.4, 508.2, and 504.9 MeV.
-202503/1001-8042-36-03-008/alternativeImage/1001-8042-36-03-008-F002.jpg)
From the 124Xe+248Cm (solid line), 124Xe+249Cf (dashed line) and 129Xe+249Cf (dash-dotted line) reactions, it can be seen that target nuclei with a smaller N/Z value are more favorable for producing neutron-deficient final fragments when the projectile is identical. In deep inelastic collisions, the trend of charge equilibration significantly influences the nucleon transfer process [82]. The N/Z ratios of 248Cm and 249Cf are 1.58 and 1.54, respectively. Compared to the 248Cm target, 124Xe (1.30) is more likely to transfer protons to the 249Cf target.
When comparing the cross sections generated by different Xe nuclei bombarding the same target nucleus 249Cf in the MNT reactions, specifically the systems 124,129Xe+249Cf, neutron-deficient isotopes of einsteinium (Es), fermium (Fm), mendelevium (Md), nobelium (No), lawrencium (Lr), rutherfordium (Rf), dubnium (Db), and seaborgium (Sg) can be synthesized by transferring one to eight protons from the projectile to the target. The calculated results indicate that the cross sections for the neutron-deficient isotopes with Z = 99-106 increase as the N/Z value for Xe isotopes decreases (with N/Z ratios are 1.30 and 1.38 for 124Xe and 129Xe, respectively). Thus, more neutron-deficient nuclei are favorable for producing unknown neutron-deficient isotopes. In summary, a reaction system with a low N/Z value, such as 124Xe+249Cf, represents the optimal combination of projectile and target for producing neutron-deficient isotopes with proton numbers Z = 99–106.
In principle, the MNT process process can be described as a reaction occurring on the so-called potential energy surface (PES), where the dynamic evolution of a dinuclear system is viewed as an exchange process of independent particles between the projectile and target [50]. The PES of the fragments produced in the 124,129Xe+249Cf reactions as functions of Z1 and N1 are illustrated in Fig. 3, where open stars indicate the locations of injection points in the nucleus. The PES structure reveals that the fragments tend to form symmetric paths, characteristic of quasi-fission processes.
-202503/1001-8042-36-03-008/alternativeImage/1001-8042-36-03-008-F003.jpg)
Figure 4 shows the driving potential of the 124,129Xe+249Cf reaction system, reaction system, corresponding to the minimum trajectory of the PES depicted in Figs. 3, where the valley shape of the driving potential is clearly evident. Open circles in the figure denote the positions of the injection points for the projectile, while the dotted and dash-dotted lines represent the 124,129Xe+249Cf reaction systems. The position of 129Xe is located within the valley of the driving potential, whereas the position of 124Xe is situated at the opposite end. The transfer of a nucleon (proton or neutron) from the injection point to either side is influenced by the direction of the lower potential energy surface.
-202503/1001-8042-36-03-008/alternativeImage/1001-8042-36-03-008-F004.jpg)
To explain the charge equilibration effect depicted in Fig. 2, the driving potential that must be overcome during nucleon transfer, defined as (ΔU=
-202503/1001-8042-36-03-008/alternativeImage/1001-8042-36-03-008-F005.jpg)
Figure 5(b) shows the relationship between Qgg during the nucleon transfer process and the number of nucleons transferred in the 124Xe+249Cf reaction (Ntr). It can be observed that the value of Qgg in the pure proton-stripping channel is negative, and its absolute value increases with the number of stripped protons. This indicates that a considerable amount of energy must be absorbed in the pure proton-stripping channel. However, the formation probability in the neutron pickup channel is significantly higher than that in the proton pickup channel. From this, the following conclusions can be drawn: The MNT reaction within neutron-deficient beams is advantageous for accessing neutron-deficient isotopes along the trans-target region.
Incident energy dependence
The incident energy plays a critical role in MNT reactions, as shown in Fig. 6, which presents the production cross sections for Es, Md, Lr, and Db isotopes in the 124Xe+249Cf reaction at different incident energies. The solid, dashed and dash-dotted lines denote 1.05 VB, 1.10 VB and 1.20 VB, respectively.
-202503/1001-8042-36-03-008/alternativeImage/1001-8042-36-03-008-F006.jpg)
It is clear that the primary fragment cross sections are significantly influenced by the incident energy, with higher energies leading to increased cross sections.
For actinide nuclei with an abundance of neutrons, the final fragment cross sections also depend heavily on the incident energy, due to the higher likelihood of fission. Compared to the primary cross section, the mass region of the final cross section becomes narrower after the de-excitation process. Additionally, a double-peak phenomenon is observed in both the primary and final isotopic cross sections for the Es isotopes. This effect is mainly attributed to the neutron subshell influence identified at N = 152 [83]. Comparing these three different incident energies reveals that the production cross sections on the neutron-deficient side are not sensitive to the incident energy variations. To minimize the chance of fission, the incident energy was set to 1.05 VB (533.64 MeV), which is optimal for producing new neutron-deficient nuclei.
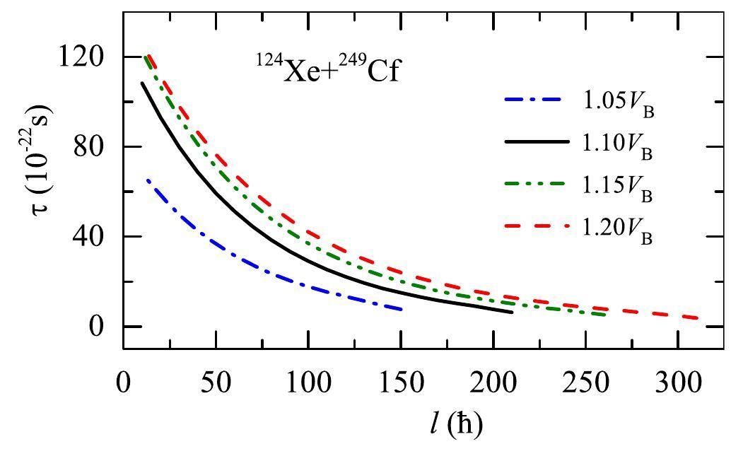
In the DNS model, the interaction time directly affects the probability distribution and excitation energy of fragments during the transfer process. Fig 7 illustrates the evolution of interaction time with “effective” angular momentum (where “effective” refers to the distance at which the target interacts with the projectile) at different energies in the 124Xe+249Cf reaction, where the dashed-dotted, solid, dashed-dotted, and dashed lines indicate 1.05, 1.10, 1.15, and 1.20 VB, respectively. Here, the reaction time is calculated by deflection function [84].
-202503/1001-8042-36-03-008/alternativeImage/1001-8042-36-03-008-F007.jpg)
As the incident energy increases, the range of “effective” angular momentum also expands, while the rate of change in “effective” angular momentum diminishes with higher energy. For the energy differences Ec. m. = 1.05, 1.10, 1.15 and 1.20 VB, it is observed that interaction time decreases as “effective” angular momentum increases. Simultaneously, the range of interaction time increases with the rising incident energy. This occurs because, with higher incident energy, the internal excitation energy dissipated into the dinuclear system increases, leading to a greater interaction distance and extended evolution time between the two nuclei.
Landscape of the neutron-deficient transcalifornium nuclei
Charge balance and energy effects were also examined, indicating that the 124Xe+249Cf reaction is most favorable for producing new neutron-deficient nuclei at an incident energy of 1.05 VB. Beam 124Xe has an intensity of six ×109 ions/s [85]. The thickness of 249Cf target was 0.34 mg/cm2 in Dubna [86]. In Fig. 8, the production cross sections for several unknown neutron-deficient isotopes with Z = 99-106 in the 124Xe+249Cf reaction are presented, along with their distributions in the nuclide diagram. This highlights the potential for detecting these neutron-deficient isotopes through time-and position-correlated α- decay chains, which is a common experimental approach [87, 88]. From the data presented, a total of 25 new nuclei are predicted to be produced. The DNS model provides the following cross section predictions for specific isotopes: 237-240Es of 0.009, 0.004, 3.504 and 3.980 nb; 238-240Fm of 0.001, 0.014 and 0.678 nb; 242-244Md of 0.002, 0.036 and 0.066 nb cross sections for 244-248No are 0.001, 0.003, 0.040, 0.049 and 0.468 nb; cross sections for 249-251Lr are 0.107, 0.108 and 1.080 pb; cross sections for 250-252Rf are 0.013, 0.060 and 1.290 nb; 253,254Db with cross sections of 0.015 and 0.005 nb; and 256,257Sg with cross sections of 0.017 and 0.097 nb, respectively.
-202503/1001-8042-36-03-008/alternativeImage/1001-8042-36-03-008-F008.jpg)
Summary and outlook
The properties of neutron-deficient heavy isotopes are essential for exploring shell evolution and the proton drip line. The synthesis of neutron-deficient isotopes within the range of Z = 99–106 was investigated through MNT reactions, utilizing the combination of the DNS model and GEMINI++. A comparison of the calculated results with experimental data from the reaction 129Xe+248Cm at an incident energy of 513.10 MeV demonstrates that the DNS model, in conjunction with the GEMINI++ code, effectively describes the MNT reactions in heavy-mass systems. To produce exotic neutron-deficient transcalifornium nuclei, MNT reactions involving 124Xe+248Cm, 124Xe+249Cf, and 129Xe+249Cf were studied. Owing to the competition between the sub-shell effect at N = 152 and charge equilibrium, the cross sections of neutron-deficient trancalifornium nuclei are enhanced. Along the pure neutron and proton-stripping channels, it is evident that the pure neutron-stripping channel exhibits a larger absolute value of Qgg, indicating that transferring neutrons from the projectile to the target is more challenging than transferring protons. Additionally, the effect of incident energy on the yield of TLFs in the 124Xe+249Cf reaction was also explored. The optimal incident energy for producing neutron-deficient isotopes, with Z = 99–106, was identified as Ec. m. = 533.64 MeV.
The discovery of the heaviest elements
. Rev. Mod. Phys. 72, 733 (2000). https://doi.org/10.1103/RevModPhys.72.733Super-heavy element research
. Rep. Prog. Phys 78,Isospin asymmetry in nuclei and neutron stars
. Phys. Rept. 411, 325 (2005). https://doi.org/10.1088/0954-3899/34/4/R01How to extend the chart of nuclides
? Eur. Phys. Jour. A 56, 1 (2020), https://doi.org/10.1140/epja/s10050-020-00046-7How to approach the island of stability: Reactions using multinucleon transfer or radioactive neutron-rich beams
? Phys. Lett. B 829,Progress in transport models of heavy-ion collisions for the synthesis of superheavy nuclei
. Nucl. Tech. (in Chinese) 46,Properties of Z=114 super-heavy nuclei
. Nucl. Sci. Tech. 32, 55 (2021). https://doi.org/10.1007/s41365-021-00899-7New plutonium isotope: 231Pu
. Phys. Rev. C 59, 3086 (1999). https://doi.org/10.1103/PhysRevC.59.3086α-decay properties of the new isotope 216U
. Phys. Rev. C 91,Alpha decay properties of the semi-magic nucleus 219Np
. Phys. Lett. B 777, 212 (2018). https://doi.org/10.1016/j.physletb.2017.12.017Predictions for production of superheavy nuclei with Z= 105-112 in hot fusion reactions
. Nucl. Sci. Tech. 29, 154 (2018). https://doi.org/10.1007/s41365-018-0501-2Identification of element 107 by α correlation chains
. Z. Phys. A 309, 89 (1982). https://doi.org/10.1007/BF01412623Observation of one correlated?-decay in the reaction 58Fe on 209Bi
. Z. Phys. A 309, 89 (1982). https://doi.org/10.1007/BF01420157The new element 111
. Z. Phys. A 350, 281 (1995). https://doi.org/10.1007/BF01291182The identification of element 108
. Z. Phys. A 317, 235 (1984). https://doi.org/10.1007/BF01421260Production and decay of 269110
. Z. Phys. A 350, 277 (1995). https://doi.org/10.1007/BF01291181Identification of the new isotope 244Md
. Phys. Rev. Lett. 124,Experiments on the synthesis of superheavy nuclei 284Fl and 285Fl in the 239,240Pu+48Ca reactions
. Phys. Rev. C 92,New short-lived isotope 223Np and the absence of the Z=92 subshell closure near N=126
. Phys. Lett. B 771, 303 (2017). https://doi.org/10.1016/j.physletb.2017.03.074New α-Emitting Isotope 214U and Abnormal Enhancement of α-Particle Clustering in Lightest Uranium Isotopes
. Phys. Rev. Lett. 126,Spontaneous fission instability of the neutron-deficient No and Rf isotopes: The new isotope 249No
. Phys. Rev. C 104,Possibility of reaching the predicted center of the “island of stability” via the radioactive beam-induced fusion reactions
. Nucl. Sci. Tech. 35, 161 (2024). https://doi.org/10.1007/s41365-024-01542-xSystematic study of the synthesis of heavy and superheavy nuclei in 48Ca-induced fusion-evaporation reactions
. Nucl. Sci. Tech. 35, 124 (2024). https://doi.org/10.1007/s41365-024-01483-5Influence of entrance channel on production cross sections of exotic actinides in multinucleon transfer reactions
. Phys. Rev. C 106,Search for Heavy and Superheavy systems in 197Au + 232Th Collisions near the Coulomb Barrier
. J. Phys. 312,Experimental search for super and hyper heavy nuclei at cyclotron Institute Texas A& amp;M University
. Acta Phys. Polonica. B 45, 279 (2014). https://doi.org/10.5506/APhysPolB.45.279A novel approach to the island of stability of super-heavy elements search
. EPJ Web of Conferences 117, 01003 (2016). https://doi.org/10.1051/epjconf/201611701003Actinide production in reactions of heavy ions with 248Cm
. Phys. Rev. C 33, 1315 (1986). https://doi.org/10.1103/PhysRevC.33.1315Dependence of actinide production on the mass number of the projectile: Xe +248Cm
. Phys. Rev. C 35, 204 (1987). https://doi.org/10.1103/PhysRevC.35.204Three-Particle Exclusive Measurements of the Reactions 238U + 238U and 238U + 248Cm
. Phys. Rev. Lett. 43, 1483 (1979). https://doi.org/10.1103/PhysRevLett.43.1483Transfer reactions in the interaction of 40Ar with 232Th
. Nucl. Phys. A 215, 91 (1973). https://doi.org/10.1016/0375-9474(73)90104-8New isotopes 22O, 20N and 18C produced in transfer reactions with heavy ions
. Nucl. Phys. A 137, 348 (1969). https://doi.org/10.1016/0375-9474(69)90114-6Multinucleon transfer reactions in the 232Th+22Ne system
. Nucl. Phys. A 211, 299 (1973). https://doi.org/10.1016/0375-9474(73)90721-5New isotopes 29,30Mg, 31,32,33Al, 31,32,33Si, 35,36,37,38P, 39,40 S and 41,42Cl produced in bombardment of a 232Th target with 290 MeV 40 Ar ions
. Nucl. Phys. A 176, 284 (1971). https://doi.org/10.1103/PhysRevLett.129.042501Possibilities of producing superheavy nuclei in multinucleon transfer reactions based on radioactive targets
. Chin. Phys. C 43,Production cross sections of new neutron-rich isotopes with Z=92-106 in the multinucleon transfer reaction 197Au+232Th
. Phys. Rev. C 107,Theoretical study on the production of neutron-rich transuranium nuclei with radioactive beams in multinucleon transfer reactions
. Phys. Rev. C 106,IObservation of new neutron-deficient isotopes with Z≥92 in multinucleon transfer reactions
. Phys. Lett. B 748, 199(2015). https://doi.org/10.1016/j.physletb.2015.07.006Discovery of new isotope 241U and systematic high-precision atomic mass measurements of neutron-rich Pa-Pu nuclei produced via multinucleon transfer reactions
. Phys. Rev. Lett. 130,Grazing reactions in collisions between heavy nuclei
. Nucl. Phys. A 572, 191 (1994). https://doi.org/10.1016/0375-9474(94)90430-8polarization and fluctuation in grazing heavy-ion collisions and the boundary to the chaotic regime
. Nucl. Phys. A 594, 203 (1995). https://doi.org/10.1016/0375-9474(95)00374-APredicting the production of neutron-rich heavy nuclei in multinucleon transfer reactions using a semi-classical model including evaporation and fission competition, GRAZING-F
. Phys. Rev. C 91,Deep inelastic transfer reactions –The new type of reactions between complex nuclei
. Phys. Rept. 44, 93 (1978). https://doi.org/10.1016/0370-1573(78)90200-4Production of neutron-rich Ca, Sn, and Xe isotopes in transfer-type reactions with radioactive beams
. Phys. Rev. C 82,Production of heavy isotopes in transfer reactions by collisions of 238U+238U
. Phys. Rev. C 80,Possible production of neutron-rich No isotopes
. Phys. Rev. C 101,Production of unknown neutron-rich isotopes with Z=99-102 in multinucleon transfer reactions near the Coulomb barrier
. Phys. Rev. C 106,Exploring the optimal way to produce Z=100-106 neutron-rich nuclei
. Phys. Rev. C 108,Cluster emission in massive transfer reactions based on dinuclear system model
. Nucl. Tech. (in Chinese) 46,Dynamics of charge equilibration and effects on producing neutron-rich isotopes around N=126 in multinucleon transfer reactions
. Phys. Rev. C 107,Low-energy collisions of heavy nuclei: dynamics of sticking, mass transfer and fusion
. J. Phys. G 34, 1 (2006). https://doi.org/10.1088/0954-3899/34/1/001Production of heavy and superheavy neutron-rich nuclei in transfer reactions
. Phys. Rev. C 83,New way for the production of heavy neutron-rich nuclei
. J. Phys. G 35,Synthesis of superheavy nuclei: A search for new production reactions
. Phys. Rev. C 78,IAnalysis of multinucleon transfer reactions with spherical and statically deformed nuclei using a Langevin-type approach
. Phys. Rev. C 99,Production of new heavy isotopes in low-energy multinucleon transfer reactions
. Phys. Rev. C 101,Production mechanism of neutron-rich transuranium nuclei in 238U+238U collisions at near-barrier energies
. Phys. Rev. C 92,Production mechanism of new neutron-rich heavy nuclei in the 136Xe +198Pt reaction
. Phys. Lett. B 776, 278 (2018). https://doi.org/10.1016/j.physletb.2017.11.060Production of neutron-rich N=126 nuclei in multinucleon transfer reactions: Comparison between 136Xe + 198Pt and 238U +198Pt reactions
. Phys. Lett. B 815,Multinucleon transfer in the 136Xe+208Pb reaction
. Phys. Rev. C 93,Production mechanism of the neutron-rich nuclei in multinucleon transfer reactions: A reaction time scale analysis in energy dissipation process
. Phys. Lett. B 809,Microscopic predictions for the production of neutron-rich nuclei in the reaction 176Yb + 176Yb
. Phys. Rev. C 101,Production of proton-rich nuclei in the vicinity of 100Sn via multinucleon transfer reactions
. Phys. Lett. B 825,The role of tensor force in heavy-ion fusion dynamics
. Phys. Lett. B 782, 401 (2018). https://doi.org/10.1016/j.physletb.2018.05.066Production of new neutron-rich isotopes with 92≤Z≤100 in multinucleon transfer reactions
. Phys. Rev. C 105,Production of proton-rich actinide nuclei in the multinucleon transfer reaction 58Ni + 232Th
. Sci. China. Phys. Mech. Astron. 63,Optimal detection angles for producing N=126 neutron-rich isotones in multinucleon transfer reactions
. Phys. Rev. Res. 5,Production mechanism of proton-rich actinide isotopes in fusion reactions and via multinucleon transfer processes
. Phys. Rev. C 102,Production of neutron-rich nuclei with Z=60-73 in reactions induced by Xe isotopes
. Phys. Rev. C 96,Microscopic transport theory of heavy-ion collisions
. Z. Phys. A 277, 299 (1976). https://doi.org/10.1007/bf01415605Anticorrelated angular-momentum distributions in heavy-ion collisions
. Phys. Lett. B 105, 107 (1981). https://doi.org/10.1016/0370-2693(81)91000-5Production of unknown neutron-rich transuranium isotopes 245-249Np, 248-251Pu, 248-254Am, and 252-254Cm in multinucleon transfer reactions
. J. Phys. G 49,Effects of nucleus orientation on transfer process and production of unknown neutron-rich isotopes with Z=62–75 in 204Hg+232Th based on the dinuclear system model
. Phys. Rev. C 103,Model of competition between fusion and quasifission in reactions with heavy nuclei
. Nucl. Phys. A 618, 176 (1997). https://doi.org/10.1016/S0375-9474(97)88172-9Fusion cross sections for superheavy nuclei in the dinuclear system concept
. Nucl. Phys. A 633, 409 (1998). https://doi.org/10.1016/S0375-9474(98)00124-9Nuclear ground-state masses and deformations
. At. Data Nucl. Data Tables 59, 185 (1995). https://doi.org/10.1006/adnd.1995.1002Interaction barrier in charged-particle nuclear reactions
. Phys. Rev. Lett. 31, 766 (1973). https://doi.org/10.1103/PhysRevLett.31.766Characteristics of quasifission products within the dinuclear system model
. Phys. Rev. C 68,Systematic description of evaporation spectra for light and heavy compound nuclei
. Phys. Rev. C 82,Unified description of fission in fusion and spallation reactions
. Phys. Rev. C 82,Theoretical study on production of heavy neutron-rich isotopes around the N=126 shell closure in radioactive beam induced transfer reactions
. Phys. Lett. B 767, 437 (2017). https://doi.org/10.1016/j.physletb.2017.01.082Evidence for Subshell at N=152
. Phys. Rev. 95, 293 (1954). https://doi.org/10.1103/PhysRev.95.293Analysis of relaxation phenomena in heavy-ion collisions
. Z. Phys. A 284, 209 (1978). https://doi.org/10.1007/BF01411331How close to the O(6) symmetry is the nucleus 124Xe
? Phys. Lett. B 683, 11 (2010). https://doi.org/10.1016/j.physletb.2009.12.007Search for the heaviest atomic nuclei among the products from reactions of mixed-Cf with a 48Ca beam
. Phys. Rev. C 98,On the discovery of new elements (IUPAC/IUPAP Provisional Report): Provisional Report of the 2017 Joint Working Group of IUPAC and IUPAP
. Pure Appl. Chem. 90, 1773 (2018). https://doi.org/10.1515/pac-2018-0918Predictions of the decay properties of the superheavy nuclei 293,294119 and 294,295120
. Nucl. Tech. (in Chinese) 46,The authors declare that they have no competing interests.


