Inroduction
222Rn and its progeny are ubiquitously present in both indoor and outdoor environmental air, constituting the predominant source of natural radiation exposure for the general public [1-3]. Airborne 222Rn is a leading cause of lung cancer [4-6]. Recent investigations have revealed elevated concentrations of 220Rn in specific regions [7], with instances where the concentration surpassed that of 222Rn and its progeny [8-11]. The existence of 220Rn and its progeny poses a potential challenge for instruments designed to measure 222Rn concentrations, affecting the precision of their results [12]. Consequently, to accurately assess the environmental hazards associated with 222Rn, the precise monitoring of its concentration levels is important. To address this requirement, various instruments have been developed to measure the 222Rn concentration.
The methods used to quantify the concentration of 222Rn in an environment generally fall into three distinct categories: spot (grab) measurements, continuous measurements, and integrated (cumulative) measurements [13]. The AlphaGUARD PQ2000 radon monitor, which uses a typical continuous measurement approach, has been widely adopted as a prominent instrument for environmental 222Rn measurements. The primary challenge in precisely monitoring the concentration of 222Rn in the environment is effectively distinguishing between 222Rn and 220Rn [14]. Owing to the inherent characteristics of the pulse ionization chamber, the AlphaGUARD PQ2000 radon monitor lacks the capability to differentiate the energies of α particles, rendering it unable to distinguish between 222Rn and 220Rn [15]. Consequently, when the instrument continuously monitors the concentration of 222Rn in an environment containing 220Rn, the short-lived progeny 216Po (half-life: 0.15 s), produced through the decay of 220Rn, introduces interference, thereby affecting the precision of the 222Rn measurement results. This challenge is further exacerbated by the presence of long-lived progeny, 212Pb (half-life: 10.64 h) and 212Bi (half-life: 60.05 min), resulting from the decay of 220Rn. These long-lived progeny persisted within the ionization chamber of the AlphaGUARD PQ2000 radon monitor for an extended period, exerting a sustained influence on the accuracy of the 222Rn measurement results over subsequent periods. This interference phenomenon aligns with the observations reported in the research conducted by Michielsen [16]. As outlined in the MetroRadon WP 2 report [17], several experimental investigations on the response of 222Rn detectors to 220Rn gas have been documented (Tokonami et al., 2001; Ishikawa, 2004; Bochicchio, 2009; Chen, 2009; Chen and Moir, 2012; Sumesh et al., 2012; Bondelsen and Bondiffel, 2015). In particular, for ionization chambers or semiconductor detectors used as 222Rn monitors, the observed interference from 220Rn gas typically ranges from 4% to 66% [17]. The modest response coefficient of the AlphaGUARD PQ2000 radon monitor toward 220Rn necessitates careful consideration of the interference arising from residual 220Rn progeny within the instrument, especially in environments with low 222Rn and high 220Rn concentrations [4]. Moreover, the response coefficient of the AlphaGUARD PQ2000 radon monitor to 220Rn does not vary with changes in the absolute concentration of 220Rn or with the ratio of 222Rn to 220Rn [14]. Notably, a research gap remains regarding the influence of residual 220Rn progeny within the instrument on 222Rn measurement outcomes. Consequently, investigating the response coefficient of the instrument to its internal residual 220Rn progeny is of paramount importance to ensure the accuracy of 222Rn measurements obtained using the AlphaGUARD PQ2000 radon monitor.
In 2000, Fleischer et al. [18] demonstrated that the diffusion coefficients of various polymer materials were highly sensitive to temperature fluctuations, leading to significant variations in the permeation rate of 222Rn as the temperature changed. The diffusion chamber of the AlphaGUARD PQ2000 radon monitor employs a glass fiber filter membrane as a diffusion barrier, which is insufficient to prevent 220Rn gas from entering the ionization chamber [19]. During the initial phases of utilizing the AlphaGUARD PQ2000 radon monitor for the measurements, 220Rn gas permeated the glass fiber filter membrane and entered the instrument’s effective volume. The diffusion characteristics of the glass fiber filter membrane are temperature dependent, affecting the concentration penetration ratio of 220Rn gas. Additionally, Omori et al. [20] observed that the response of diffusive detectors to 220Rn gas varies depending on the ventilation status of the ambient air surrounding the detector. Therefore, it is crucial to investigate the impact of temperature on the response coefficient of the AlphaGUARD PQ2000 radon monitor to 220Rn gas.
This study was conducted under high 220Rn concentrations. Experimental measurements and theoretical calculations were combined to investigate the response coefficients of the residual 220Rn progeny within the AlphaGUARD PQ2000 radon monitor. The primary objective is to develop an innovative predictive model for estimating the concentration of the residual 220Rn progeny with the aim of minimizing interference and enabling precise measurements of 222Rn concentrations. In addition, the research explores the impact of temperature and wind speed on the response coefficients of the AlphaGUARD PQ2000 radon monitor for 220Rn gas and its progeny.
Materials and Methods
AlphaGUARD PQ2000 Radon Monitor
The AlphaGUARD PQ2000 radon monitor is a portable radon-monitoring device well-known for its high detection efficiency, broad measurement range, rapid response, and sustained long-term stability [21]. Consequently, it is widely used for radon monitoring. The measurement chamber has a volume of 0.62 liters, an effective detection volume of 0.56 liters, and a sensitivity of 50 cpm·kBq-1·m3 [14]. The AlphaGUARD PQ2000 radon monitor primarily operates in two distinct measurement modes: flow and diffusion [21]. In flow mode, the gas was drawn into the ionization chamber through an external pump. In contrast, the diffusion mode involves the permeation of 222Rn gas through a glass fiber filter covering the inlet to the ionization chamber, while simultaneously trapping the 222Rn progeny on the filter [7]. The air inlet of the diffusion chamber is characterized by a circular opening with a diameter of 6.5 cm. According to the manufacturer’s specifications, the glass fiber filter had a surface density of 70 g·m-2, a thickness of 0.35 mm, and an average particle size retention capability of 0.6 μm [22].
In an environment with a mixture of 222Rn and 220Rn, the instrument utilizes the detected α particles to calculate the 222Rn concentration, leading to an overestimation of the actual environmental 222Rn concentration levels. Consequently, the 222Rn concentrations displayed by the AlphaGUARD PQ2000 radon monitor in these environments are inaccurate. Figure 1 shows a schematic diagram of 222Rn collection principle by the AlphaGUARD PQ2000 radon monitor.
_2026_01/1001-8042-2026-01-7/alternativeImage/1001-8042-2026-01-7-F001.jpg)
Establishment of the Experiment for Measuring the Response Coefficient of the AlphaGUARD PQ2000 Radon Monitor
An experiment was conducted in 220Rn progeny during prolonged measurements using an AlphaGUARD PQ2000 radon monitor in a 220Rn chamber, as shown in Fig. 2. The rectangular chamber had a volume of 125 liters and used a fan-driven solid-state 220Rn source with an activity of 6 × 104 Bq. The 220Rn concentration was measured using a single scintillation cell flow-static method [23]. The concentration from the LM2 ST-203 scintillation cell was decay-corrected to determine the true 220Rn concentration in the thoron chamber as follows:_2026_01/1001-8042-2026-01-7/alternativeImage/1001-8042-2026-01-7-M001.png)
_2026_01/1001-8042-2026-01-7/alternativeImage/1001-8042-2026-01-7-F002.jpg)
Owing to the long half-life of 212Pb, measurements were conducted for at least three days at high 220Rn concentrations (≥10 kBq·m-3) to determine the residual 220Rn progeny response coefficient. The procedure was as follows: valves 1 and 2 were opened, while valve 3 was closed. Subsequently, the AlphaGUARD PQ2000 radon monitor, operating in diffusion mode with a 10 min measurement interval, was placed in the small 220Rn chamber and exposed until diffusion equilibrium was reached over a period of three days. Afterward, the 220Rn source was disconnected, allowing the accumulated 220Rn and its progeny to decay within the monitor in a low-radon background environment. Changes in the counting window data recorded by the AlphaGUARD PQ2000 radon monitor were monitored, and the background values of the environmental 222Rn concentrations were subtracted; the resulting values were denoted as CPQ2000.
The ratio of CPQ2000 to CLM-Tn represents the actual value of the response coefficient R1 of the AlphaGUARD PQ2000 radon monitor relative to its internal residual 220Rn progeny. The response coefficient R1 of the instrument’s response to the residual 220Rn progeny is expressed as follows:_2026_01/1001-8042-2026-01-7/alternativeImage/1001-8042-2026-01-7-M002.png)
The concentrations of 222Rn and 220Rn were evaluated using various ST-203 scintillation cell models. The calibration coefficients for these scintillation cells were determined using standard flow-type solid-state 220Rn sources with known activities and standard 222Rn chambers with known concentrations. The mixed gas containing 222Rn and 220Rn was passed through a high-efficiency filter at a flow rate of approximately 3 L·min-1 before entering the scintillation cell. After a circulation period of 2 min, the initial counting session began at a counting time of 5 min. The sampling pump was then turned off and the scintillation cell was sealed. Following a 10-min waiting period, the second counting session was conducted, which lasted 5 min. The concentrations of 222Rn and 220Rn entering the scintillation cell can be determined using the following Eqs. [23]:_2026_01/1001-8042-2026-01-7/alternativeImage/1001-8042-2026-01-7-M003.png)
_2026_01/1001-8042-2026-01-7/alternativeImage/1001-8042-2026-01-7-M004.png)
Consequently, within a mixed environment of 222Rn and 220Rn, the modification of the AlphaGUARD PQ2000 radon monitor’s measurement results using the theoretical model is expressed as the corrected result CModel-Rn, as:_2026_01/1001-8042-2026-01-7/alternativeImage/1001-8042-2026-01-7-M005.png)
Theoretical Model for Evaluating the Response of AlphaGUARD PQ2000 Radon Monitor to Its Internal Residual 220Rn Progeny in Long-term Measurements
In diffusion mode, the AlphaGUARD PQ2000 radon monitor allows gas from a 220Rn environment to diffuse through its filter membrane and enter the pulse ionization chamber. According to Fick’s first law, the rate at which molecules cross a unit area per unit time, denoted by J, is directly proportional to the concentration gradient of particles perpendicular to that unit area. In simpler terms [24]:_2026_01/1001-8042-2026-01-7/alternativeImage/1001-8042-2026-01-7-M006.png)
_2026_01/1001-8042-2026-01-7/alternativeImage/1001-8042-2026-01-7-M007.png)
In accordance with the differential Eq. (7) and under the initial condition Cin(0) = 0, we derive the expression that delineates the temporal evolution of Cin:_2026_01/1001-8042-2026-01-7/alternativeImage/1001-8042-2026-01-7-M008.png)
_2026_01/1001-8042-2026-01-7/alternativeImage/1001-8042-2026-01-7-M009.png)
After exposing the AlphaGUARD PQ2000 radon monitor to the 220Rn chamber for a duration of 3 d, and upon reaching diffusion equilibrium, the internal concentration, denoted as (_2026_01/1001-8042-2026-01-7/alternativeImage/1001-8042-2026-01-7-M010.png)
_2026_01/1001-8042-2026-01-7/alternativeImage/1001-8042-2026-01-7-M011.png)
_2026_01/1001-8042-2026-01-7/alternativeImage/1001-8042-2026-01-7-M012.png)
In fact, the instrument’s detection efficiency for α particles from the decay of 220Rn gas is nearly equal to α particles from the decay of 222Rn gas. Based on the sensitivity of the instrument, the average theoretical E of the α particles measured using the pulse ionization chamber detector inside the AlphaGUARD PQ2000 radon monitor was determined to be 0.496. This value closely matched the simulated detection efficiency obtained by Zhang et al. [30] using Geant4 simulations.
Based on the theoretical model of the residual 220Rn progeny in the diffusion mode of the AlphaGUARD PQ2000 radon monitor, the response coefficient R2 of the instrument to its internal residual 220Rn progeny is intricately linked to ξ. The theoretical expression for the response coefficient R2 is given as:_2026_01/1001-8042-2026-01-7/alternativeImage/1001-8042-2026-01-7-M013.png)
Results and Discussion
Comparison of Theoretical and Experimental Values for the Response Coefficient of Residual 220Rn Progeny in Long-term Measurements
AlphaGUARD PQ2000 radon monitor was exposed to a high concentration of 220Rn in an environment where the ambient temperature was stabilized between 21 °C and 28 °C throughout each exposure period. During exposure, the relative humidity was maintained at 59%±0.71%, the average pressure at (1006 ± 8.49) mbar. The response coefficient was theoretically calculated from a theoretical model describing the instrument’s response to the residual 220Rn progeny, as established in Sect. 2.3. The response coefficient was obtained via algorithmic fitting. The instrument was placed in a low-radon background environment with a 222Rn concentration of (42±15) Bq·cm-3. As the 220Rn progeny decayed inside the instrument, three experiments were conducted to measure the response coefficients of residual 220Rn. The CPQ2000 values were averaged, and CR were determined. The theoretical and experimental response coefficients of the residual 220Rn progeny are presented in Table 1.
| Elapse time (h) | Radon concentration (Bq·m-3) | Response Coefficient (%) | RDa (%) | ||
|---|---|---|---|---|---|
| CPQ2000 | CR | Experimental value | Theoretical value | ||
| 0 | 45413±634 | 43689 | 9.78±0.51 | 16.42 | -40.43 |
| 2 | 9958±287 | 11468 | 2.26±0.03 | 2.39 | -5.23 |
| 3 | 9563±563 | 10887 | 2.17±0.04 | 2.27 | -4.19 |
| 4 | 9508±123 | 10275 | 2.16±0.11 | 2.14 | 1.07 |
| 5 | 8913±337 | 9667 | 2.03±0.00 | 2.01 | 0.60 |
| 6 | 8923±379 | 9081 | 2.03±0.00 | 1.89 | 7.19 |
| 7 | 8793±195 | 8524 | 1.89±0.12 | 1.78 | 6.64 |
| 8 | 7618±236 | 7997 | 1.73±0.12 | 1.67 | 4.02 |
| 9 | 7513±54 | 7502 | 1.71±0.06 | 1.56 | 9.34 |
| 10 | 7058±429 | 7037 | 1.60±0.03 | 1.47 | 9.41 |
| 11 | 6568±202 | 6601 | 1.49±0.013 | 1.38 | 8.58 |
| 12 | 6788±1136 | 6192 | 1.54±0.20 | 1.29 | 19.30 |
| 13 | 5778±10 | 5809 | 1.32±0.05 | 1.21 | 8.68 |
| 14 | 5703±266 | 5450 | 1.30±0.00 | 1.14 | 14.19 |
| 15 | 5597±387 | 5114 | 1.27±0.04 | 1.07 | 19.44 |
| 16 | 5248±443 | 4799 | 1.19±0.05 | 1.00 | 19.20 |
| 17 | 4988±471 | 4504 | 1.03±0.06 | 0.94 | 10.13 |
| 18 | 4628±24 | 3925 | 0.95±0.05 | 0.82 | 16.36 |
The results in Table 1 indicate that, in an environment exposed to high 220Rn gas concentrations of 4.65×105 Bq·m-3, as measured by ST-203 scintillation cell, the influence of the residual 220Rn progeny on radon measurements by the instrument cannot be overlooked. In this experiment, data were recorded every 10 min and subsequently averaged over each 60-min period, as recommended. After the three-day exposure period, the instrument exhibited a response coefficient of 9.78% for the residual 220Rn progeny within its internal components, consistent with results reported by national agencies such as STUK, SUBG, and IRSN [17]. The relative deviation between the experimental and theoretical values of the response coefficient was at its maximum immediately after the conclusion of the exposure period, exhibiting a deviation of 40.43%. This substantial discrepancy may be attributed to overestimation of the theoretical value. Conversely, the minimum relative deviation is 0.60%. The experimental response coefficient values for the residual 220Rn progeny ranged from 0.95% to 9.78%, whereas the theoretical values range from 0.82% to 9.10%. All the response coefficient values for the residual 220Rn progeny within the instrument were below 20%, aligned with the stipulations of the IEC 61577-2 standard.
Figure 3 shows a plot of the experimental and theoretical values of the response coefficients of the residual 220Rn progeny. The observations suggest that at the 0-min mark, both the fitting results of the theoretical model and the experimental values after 120 min are higher. This discrepancy may be owing to the large uncertainty in the parameter values used in the model. However, after 120 min, the experimental values converged with the theoretical values. The response to residual 220Rn progeny can be effectively predicted using the theoretical model developed in this study for the AlphaGUARD PQ2000 radon monitor, offering robust technical support for managing residual 220Rn progeny interference in future applications.
_2026_01/1001-8042-2026-01-7/alternativeImage/1001-8042-2026-01-7-F003.jpg)
Validation of the Theoretical Model for the Response Coefficient of Residual 220Rn Progeny during Long-term Measurements
An AlphaGUARD PQ2000 radon monitor was used to measure the 222Rn concentration in a mixed environment with low 222Rn and high 220Rn levels, as part of a validation experiment to evaluate its response to the residual 220Rn progeny. Various models of ST-203 scintillation cells were deployed to determine the concentrations of both 222Rn and 220Rn within a small blue chamber with low 220Rn levels. Initial measurements indicated a 220Rn concentrations of 473502 ± 12666 Bq·m-3. Subsequently, the AlphaGUARD PQ2000 radon monitor was exposed to the 220Rn chamber for three days, maintaining a stable temperature between 20 °C and 24 °C. After disconnecting the 220Rn source, the monitor initiated hourly measurements of 222Rn concentration within the chamber. Following the methodology outlined in Sect. 2.2 of this paper for the validation experiment, readings from the AlphaGUARD PQ2000 radon monitor were corrected using the theoretical model for residual 220Rn progeny. The corrected results were then compared with the experimental 222Rn concentration values for analysis.
Figure 4 compares the corrected values from the theoretical model for the AlphaGUARD PQ2000 radon monitor in a mixed environment of 222Rn and 220Rn with the actual 222Rn concentration values. The theoretical values closely matched the experimental data with minor deviations observed at certain points. These deviations may arise because the AlphaGUARD PQ2000 radon monitor primarily detects α decay energy from 222Rn gas, typically around 5.49 MeV, while 212Bi — a progeny of 220Rn, emits α particles within a similar energy range [17], potentially causing signal overlap at higher concentrations. In this mixed environment, the theoretical model was applied to correct the 222Rn concentration values measured by the AlphaGUARD PQ2000 radon monitor. Despite slight fluctuations, the experimental measurements yielded an average 222Rn concentration of (1648 ± 41) Bq·m-3 over 18 cycles. After correction, the theoretical model produced an average concentration of (1631 ± 112) Bq·m-3 for the same 18 cycles. The close agreement between these values highlights the practical utility of the theoretical model in reducing the influence of residual 220Rn progeny on the monitor’s performance, thereby enhancing the precision of 222Rn concentration measurements.
_2026_01/1001-8042-2026-01-7/alternativeImage/1001-8042-2026-01-7-F004.jpg)
Influence of Temperature on the Response of the AlphaGUARD PQ2000 Radon Monitor to 220Rn Gas
Some radon monitors, such as those employing activated charcoal detectors [31], solid-state nuclear track detectors such as CR-39 [32] and instruments with membrane-covered diffusion chambers, where ξ for 222Rn gas increases with temperature [19], show decreased sensitivity with increasing temperature. It is essential to account for temperature-induced biases during long-term monitoring using these instruments, particularly in environments with significant temperature fluctuations.
Furthermore, based on previous research findings, γ for the diffusion mode of the AlphaGUARD PQ2000 radon monitor can be mathematically expressed as [33]_2026_01/1001-8042-2026-01-7/alternativeImage/1001-8042-2026-01-7-M014.png)
_2026_01/1001-8042-2026-01-7/alternativeImage/1001-8042-2026-01-7-M015.png)
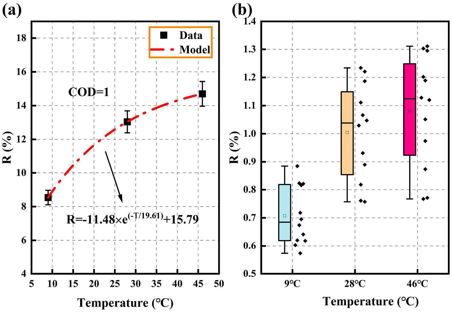
In this study, under a consistent airflow velocity (v=1 m·s-1) within a disturbed environment, the concentration of the 220Rn gas diffusing into the instrument was linked to ξ. After exposing the instrument to a stable 220Rn concentration (255731 ± 9541 Bq·m-3) at temperatures of 9 °C, 28 °C, and 46 °C for 6 h, the 220Rn source was then turned off. Measurements were then performed in a low 222Rn background to determine the response coefficients of the 220Rn gas and its internal residual 220Rn progeny. The relationship between the response coefficient and temperature during short-term measurements was derived using the formula R=signal/Cout. Based on the typical operating temperature range of 0–45 °C for the instrument, the variation in the response coefficient with temperature is shown in Fig. 5(a). Figure 5(b) presents a box plot of the temperature-related response coefficient to the internal residual 220Rn progeny, where the square indicates the mean and the whiskers show the range from minimum to maximum. Across the three distinct temperature conditions, the median response coefficients of the instrument to its internal residual 220Rn progeny were 0.685%, 1.038%, and 1.124%, respectively.
_2026_01/1001-8042-2026-01-7/alternativeImage/1001-8042-2026-01-7-F005.jpg)
As depicted in Fig. 5(a), as the temperature increases, the instrument response to 220Rn gas shows an increasing trend because the concentration of 220Rn gas entering the instrument is affected by different temperatures, leading to different quantities of residual 220Rn progeny. A box plot illustrating the relationship between the response coefficient of the AlphaGUARD PQ2000 radon monitor and the residual 220Rn progeny with temperature (see Fig. 5(b)), discernible changes in the instrument response to the residual 220Rn progeny at varying temperatures were observed. However, the response coefficient values obtained in this study were more than twice those reported by Liu Cuihong et al. [14] under static conditions in 2010. In the present study, a fan-based thorium source was used to generate 220Rn gas, and the exposure chamber volume was relatively small, which may have contributed to the higher response values. Consequently, the observed response pattern of the AlphaGUARD PQ2000 radon monitor to 220Rn gas in this experiment was higher than the response coefficient values reported in other studies that utilized membrane-covered diffusion chambers [7].
The Impact of Wind Speed on the Responsiveness of the AlphaGUARD PQ2000 Radon Monitor to 220Rn Gas
Air exchange through a glass fiber filter (porous medium) depends partly on the pressure difference from the external air. Consequently, the response of diffusion-type detectors to 222Rn and 220Rn gases may vary with changes in the surrounding wind speed intensity [22]. During the extended environmental monitoring of the 222Rn concentration using the diffusion mode of the AlphaGUARD PQ2000 radon monitor, the response coefficient to 220Rn gas within the monitor may be affected by wind speed.
To scrutinize the effect of wind speed on the response of the AlphaGUARD PQ2000 radon monitor to 220Rn gas, the instrument was placed in a controlled 2700 L 220Rn chamber containing consistent 220Rn levels. Environmental temperatures during each exposure were maintained between 15 °C and 19 °C, whereas humidity was carefully controlled between 66% and 80%. Within the temperature and humidity range considered in this study, the potential influence of these environmental factors was deemed negligible [34]. The instrument was exposed for 6 h to a constant 220Rn concentration of 14501 Bq·m-3, under varying wind speeds of 0 m·s-1, 1 m·s-1, 2 m·s-1, and 3 m·s-1. The measurements were conducted over a fixed period of 60 min and the changes in the response coefficient at different wind speeds are listed in Table 2.
| Wind speed (m·s-1) | CPQ2000 (Bq·m-3) | Cout (Bq·m-3) | Response coefficient (%) |
|---|---|---|---|
| 0.00 | 567 | 11312 | 4.90 |
| 0.24 | 775 | 14376 | 5.48 |
| 0.50 | 939 | 14251 | 6.62 |
| 1.00 | 1572 | 14299 | 10.90 |
| 2.50 | 1681 | 14383 | 11.76 |
| 2.00 | 1797 | 14274 | 12.50 |
| 2.50 | 1804 | 14327 | 13.00 |
| 3.00 | 1762 | 14218 | 12.30 |
Figure 6 shows how the AlphaGUARD PQ2000 radon monitor’s response coefficient to 220Rn gas related to wind speed. The figure indicates that the wind speed increases, similar to the response coefficient. Through a linear regression of the data within this range of wind speeds, the linear relationship between the response coefficient and wind speed was determined to be
_2026_01/1001-8042-2026-01-7/alternativeImage/1001-8042-2026-01-7-F006.jpg)
Conclusion
This study establishes a theoretical model to explain the residual 220Rn progeny response during long-term 222Rn concentration measurements. The experimental data on the response coefficients of the residual 220Rn progeny in a controlled 220Rn environment were collected. The theoretical model is validated in an environment containing both 222Rn and 220Rn. Furthermore, we investigated and analyzed the effects of temperature and wind speed on the response of the AlphaGUARD PQ2000 radon monitor to 220Rn gas. The conclusions drawn are as follows:
1. The response coefficients of the residual 220Rn progeny within the AlphaGUARD PQ2000 radon monitor consistently remained below 10% and aliging well with the simulated values from the theoretical model.
2. The response coefficient of the AlphaGUARD PQ2000 radon monitor to the 220Rn gas increased with temperature. Similarly, its response to the internal residual 220Rn progeny increases with temperature.
3. The response coefficient of the AlphaGUARD PQ2000 radon monitor to 220Rn gas increased with wind speed. The critical Reynolds number was reached at a wind speed of 1 m·s-1. Beyond this point, the rate of response increase slowed and stabilized.
Based on the above findings, the theoretical model used in this study effectively predicted the impact of the residual 220Rn progeny within the AlphaGUARD PQ2000 radon monitor in mixed 222Rn and 220Rn environments. Additionally, it can assess the impact of the 220Rn progeny on long-term monitoring of the 222Rn concentration, significantly broadening its range of applications. It is important to emphasize that when using the AlphaGUARD PQ2000 radon monitor, appropriate precautions should be taken to minimize interference from environmental fluctuations that may affect ambient 222Rn concentration measurements.
Study on the effect of fresh air ventilation system for reducing indoor 222Rn
. Radiat. Med. Prot. 5(01), 49–52 2024). https://doi.org/10.1016/j.radmp.2024.02.001The calibration of transfer standards for the measurement of 222Rn at NIM
. Appl. Radiat. Isotopes. 200,Principle and method of calibrating radon detectors in standard radon chamber
. Shanghai Metrol. Test. 35(3), 26–27 (2008). https://doi.org/10.3969/j.issn.1673-2235.2008.03.009 (in Chinese)A new pin-hole discriminated 222Rn/220Rn passive measurement device with single entry face
. Radiat. Meas. 58, 52–60 2013). https://doi.org/10.1016/j.radmeas.2013.08.003Novel approaches for accurately measuring radon exhalation rate and mechanism interpreted by numerical simulation
. J. Hazard. Mater. 468,Residential radon and histological types of lung cancer: a meta-analysis of case-control studies
. Int. J. Env. Res. Pub. He. 17(4), 1457 (2020). https://doi.org/10.3390/ijerph17041457Comparison study and thoron interference test of different radon monitors
. Radiat. Prot. Dosim. 153(3), 309–315 (2013). https://doi.org/10.1093/rpd/ncs118UNSCEAR report 2000: sources and effects of ionizing radiation
. J. Radiol. Prot. 21(1), 83–86 2001). https://doi.org/10.1088/0952-4746/21/1/609Potential of high thoron exposure in China
. J. Nucl. Sci. Technol. 37(8), 716–719 (2000). https://doi.org/10.1080/18811248.2000.9714948Radon survey in dwellings of Gansu, China: the influence of thoron and an attempt for correction
. Radiat. Environ. Bioph. 47(3), 367–373 (2008). https://doi.org/10.1007/s00411-008-0175-9Partition coefficients and diffusion lengths of 222Rn in some polymers at different temperatures
. Int. J. Env. Res. Pub. He. 16(22), 4523 (2019). https://doi.org/10.3390/ijerph16224523Research on accurate measurement of 220Rn gas
. Nucl. Tech. 33(4), 294–296 (2010). https://doi.org/CNKI:SUN:HJSU.0.2010-04-011 (in Chinese)Methods for monitoring radon in ambient air
. Radiat. Prot. Bull. 41(06), 1–17 2021). https://doi.org/10.3969/j.issn.1004-6356.2021.06.001 (in Chinese)220Rn response study of the AlphaGUARD radon monitor
. Radiat. Pro. 30(03), 135–140 2010). https://doi.org/10.19431/j.cnki.167 (in Chinese)Separately measuring radon and thoron concentrations exhaled from soil using alphaguard and liquid scintillation counter methods
. Radiat. Prot. Dosim. 141(4), 412–415 (2010). https://doi.org/10.1093/rpd/ncq254The influence of thoron on instruments measuring radon activity concentration
. Radiat. Prot. Dosim. 167(1-3), 289–292 2015). https://doi.org/10.1093/rpd/ncv264Report on the influence of thoron on radon monitors used in Europe
. Final report of the MetroRADON Activity. 2 2020). https://doi.org/10.13140/RG.2.2.16763.44320Membrane-based thermal effects in 222Rn dosimetry
. Radiat. Meas. 32(4), 325–328 (2000). https://doi.org/10.1016/S1350-4487(00)00046-9The problem with temperature dependence of radon diffusion chambers with anti-thoron barrier
. Rom. J. Phys. 65, 801 2000). https://rjp.nipne.ro/2020_65_1-2/RomJPhys.65.801.pdfImpact of wind speed on response of diffusion-type radon-thoron detectors to thoron
. Int. J. Env. Res. Pub. He. 17(9), 3178 (2020). https://doi.org/10.3390/ijerph17093178The 222Rn volume radioactivity response of AlphaGUARD radon monitor in active/passive mode
. Nucl. Electron. Detect. Technol. 34(10), 1192–1195 2014). https://doi.org/10.3969/j.issn.0258-0934.2014.10.009 (in Chinese)Variable strength in thoron interference for a diffusion-type radon monitor depending on ventilation of the outer air
. Int. J. Env. Res. Pub. He. 17(3), 974 (2020). https://doi.org/10.3390/ijerph17030974A theoretical study on accurate measurements of 222Rn/220Rn with gas-through and static time-delay method using a single scintillation cell
. J. Univ. South China. 28(04), 1–4 2014). https://doi.org/10.3969/j.issn.1673-0062.2014.04.002 (in Chinese)A laboratory method for concurrently determining diffusion migration parameters and water saturation effects of thoron in uranium tailings
. Chemosphere. 249,Effects of air exchange property of passive-type radon–thoron discriminative detectors on performance of radon and thoron measurements
. Radiat. Prot. Dosim, 152(1-3), 140–145 2012). https://doi.org/10.1093/rpd/ncs210Performance test of passive radon–thoron discriminative detectors on environmental parameters
. Radiat. Meas. 47(6), 438–442 (2012) https://doi.org/10.1016/j.radmeas.2012.04.003A simple passive monitor for integrating measurements of indoor thoron concentrations
. Rev. Sci. Instrum, 73(8), 2877–2881 (2002). https://doi.org/10.1063/1.1493233The diffusion coefficient measurement study of radon through different membranes
. Nuc. Electron. Detect. Tech. 36(11), 1142–1147 2016). https://doi.org/10.3969/j.issn.0258-0934.2016.11.014 (in Chinese)Transient radon diffusion through radon-proof membranes: a new technique for more precise determination of the radon diffusion coefficient
. Build Environ. 44(6), 1318–1327 (2009). https://doi.org/10.1016/j.buildenv.2008.09.017Temperature dependence of adsorption coefficients of 222Rn on activated charcoal determined by adsorption-desorption method
. Health. Phys. 80(2), 175–176 2001). https://doi.org/10.1097/00004032-200102000-00011An instrument for measuring equilibrium-equivalent 222Rn and 220Rn concentrations with etched track detectors
. Health. Phys. 77(5), 584–587 (1999). https://doi.org/10.1097/00004032-199911000-00013Impact of humidity and flowrate on the thoron measurement sensitivity of electrostatic radon monitors
. J. Radiol Prot. 43(1),Permeability and inertial coefficients of porous media for air bearing feeding systems
. ASME. J. Tribol. 129, 705–711 2007). https://doi.org/10.1115/1.2768068Darcy’s law for porous media with multiple microstructures
. La Mat. 2(2), 438–478 2023). https://doi.org/10.48550/arXiv.2211.16303Dynamics of fluids in porous media
. Soil Sci, 120, 162–163 1975). https://doi.org/10.1097/00010694-197508000-00022Non-Darcy flow and its implications to seepage problems
. J. Irr. Drain. Div. 103(4), 459-473 (1977). https://doi.org/10.1061/JRCEA4.0001172Laboratory measurements of non-Darcy flow coefficients in natural and artificial unconsolidated porous media
. J. Pet. Sci. Eng. 77(3-4), 365–374 (2011). https://doi.org/10.1016/j.petrol.2011.04.016The authors declare that they have no competing interests.

