Introduction
Electron beam injectors in accelerator facilities, such as synchrotron radiation sources [1], free electron lasers (FEL), and electron-positron colliders [2, 3], play a crucial role in generating, accelerating, and focusing high-performance electron beams. The overall performance of the device depends largely on the quality of the driving electron beam provided by the injector, and the initial electron beam generated by the electron gun largely determines the performance limit of the injector and even the entire device [4]. Therefore, large scientific research facilities based on accelerators have strict requirements regarding the quality of injectors, especially electron guns [5-7].
Common methods of electron emission from electron gun cathodes include photoelectric, field, and thermal emissions [8-10]. Electron extraction and acceleration typically involve the use of either direct-current (DC) high voltage or radio-frequency (RF) high voltage [11-13]. Electron guns commonly used for FEL and synchrotron radiation include photocathode RF electron guns [14] and thermionic-cathode high-voltage electron guns. The former requires a costly laser system with complex operation and maintenance, whereas the thermionic-cathode injector has a simple structure, affordability, high power and current output capabilities, and long-term stable operation [15, 16]. The gridded thermionic-cathode electron gun offers flexible beam-quality control through the grid. By regulating the beam emission via the grid, wear on the components of the gun is minimized and thermal expansion is reduced, thereby extending the operational lifetime of the electron gun [17].
Gridded thermionic cathode electron guns have been employed in various global projects. For instance, Asaka et al. developed a low-emittance RF electron-gun system using a gridded thermionic cathode for a 1 geV storage ring NewSUBARU injector, demonstrating stable operation. The system comprises an electron gun operating at 50 kV, a 238 MHz RF accelerating cavity, and solenoids. It offers notable advantages, including compact size, low emittance, and high stability [18]. The injector for Beijing’s fourth-generation synchrotron radiation source, the High Energy Photon Source [19], incorporates a gridded thermionic-cathode electron gun. The linear accelerator achieves an output beam energy of 500 MeV and a macro pulse repetition rate of 50 Hz. The electron gun is capable of delivering a bunch charge of up to 10 nC [20].
However, the beam energy generated by conventional gridded thermionic-cathode electron guns is limited by significant space charge effects [21-23], resulting in excessive emittance. This limitation significantly affects the design and optimization of subsequent facilities. Therefore, it is important to use the RF field to rapidly accelerate the output electron beam of the gun to offset these space charge forces. The electron gun primarily comprises a cathode, focusing structure, and anode [24]. A gridded electron gun involves adding a grid near the cathode surface of a conventional gun, which is set to the same potential as that of the focusing structure. This configuration controls the emission timing of the electron beam and optimizes its initial quality [25]. Structural modifications in the electron gun alter the electric field, thereby influencing the quality of the emitted beam. Simulation and iterative optimization of the design are necessary to ensure that the emitted beam current meets the requirements of the subsequent accelerator facilities.
This study focuses on optimizing a gridded electron gun. Using the CST Studio Suite, we simulated the electron beam drift under electric field effects and optimized the key parameters to achieve high-quality electron beam currents. The optimization of key parameters, such as the grid type, wire spacing, grid bias voltage, and other structural aspects, is conducted by analyzing the transverse phase space [26] information of the beam near the grid. To verify the applicability of the electron gun to subsequent facilities, a subharmonic bunching (SHB) cavity was added to accelerate the electron beam [2], and solenoids were added to compensate for the emittance. This scheme aims to achieve a low-emittance and high-quality electron beam output. Based on the injector structure in Japan, an electron gun model was developed using the Tracking solver within CST. A negative high voltage is applied to the cathode, while the anode is grounded, causing electrons to be emitted across the cathode surface barrier and accelerated towards the anode port by the electric field between them [27]. This setup resulted in an extremely low emittance at the exit of the electron gun system. The last section discusses the scheme of using a SHB to accelerate and solenoids to constrain the electron beam at the exit of the electron gun system [28], along with the electron beam current parameters at the final beam waist position.
Brief review of previous design for electron Gun
The development of an electron gun system that generates high-quality, low-emittance beams is of paramount importance for achieving breakthroughs in the key technology of free-electron laser (FEL) injectors. This section provides a detailed discussion of the electron gun system design, which includes the cathode, grid, focusing structure, and anodes. The cathode operates at a high voltage of -50 kV, with a specific voltage difference set between the grid and cathode, known as the grid bias voltage. The focusing structure and grid were maintained at equipotential, whereas the anode was grounded.
In the simulation studies of a previous publication, we designed an electron gun with a cathode emission surface radius (rcathode) of 3.5 mm, and the normalized emittance of the electron beam at the exit was 2 mm mrad [29]. The current intensity of the electron beam obtained by the electron gun of this structure is 1.5 A, and a higher current intensity of 1.7 A is desired. According to the emission capacity of the cathode, the larger the size of the cathode, the higher the current intensity, so we expand rcathode to 4 mm. However, this results in an emittance increase to 2.5 mm mrad. Therefore, further structural optimization is necessary to reduce emittance. Drawing from previous design experience of electron guns, the tilt angle of the focusing electrode is adjusted to 57°, the height to 7.5 mm and the anode-cathode distance is set to 16 mm to achieve a beam characterized by a higher laminar flow pattern and lower emittance. The optimized structure of the electron gun and beam trajectory obtained from the CST simulations are shown in Fig. 1(a). From this figure, it can be seen that the beam waist is very long and the beam spot size at 40 mm after the anode outlet does not change much compared with the beam spot size at the anode outlet, which indicates that the beam has good laminar flow.
_2026_01/1001-8042-2026-01-19/alternativeImage/1001-8042-2026-01-19-F001.jpg)
In previous electron gun models simulated using CST, various mesh shapes, including honeycomb, spoke, and orthogonal configurations [30], were investigated, as shown in Fig. 1(b). According to the preliminary results, the spoke-wheel grid exhibited the lowest emission efficiency. The orthogonal and honeycomb grids resulted in comparable beam qualities, with the orthogonal grid being easier to fabricate than the honeycomb grid [29]. Therefore, from an engineering implementation perspective, this study adopts an orthogonal grid structure. The Tracking solver within the particle tracking module of CST software is utilized to achieve an emission current of 1.7 A at the exit of electron gun using the Fix emission mode. The width ratio between the analysis mesh and wires was set to 1:2 to meet the accuracy requirements of the simulation.
To achieve a higher beam quality, selecting an appropriate cathode material is essential to provide larger emission currents from a smaller emitting area. Rare earth hexaborides (RB6), such as cerium hexaboride (CeB6), possess unique characteristics, including high hardness, high melting point, low work function, good chemical stability, and resistance to ion bombardment [31, 32]. Among various RB6 materials, CeB6 exhibits lower evaporation rates, higher electrical resistivity, and longer lifetimes [33]. In this study, a CeB6 planar cathode with an emission surface radius of 4 mm was chosen, which theoretically meets the requirements for emission current density. The application of CeB6 cathodes in facilities such as Spring-8 FEL has confirmed their reliability [34, 35].
A model of the cathode was established in CST, and subsequently, a grid structure was integrated behind it, with the configuration of the cathode and grid structure being optimized and analyzed. Based on the aforementioned simulation model, it is crucial to investigate the influence of the voltage difference between the grid and cathode on beam emittance. The variation in emittance with bias voltage is illustrated in Fig. 2(a). The beam emittance initially decreased and then gradually increased as the bias voltage increased, reaching a minimum at a grid bias voltage of approximately 320 V. At lower bias voltages, the insufficient electric field between the cathode and grid leads to a larger beam emittance. As the absolute value of the bias voltage increased, the laminarity of the beam improved, resulting in enhanced emittance performance. However, beyond a certain threshold, an increase in emittance can be caused by further increasing the bias voltage.
_2026_01/1001-8042-2026-01-19/alternativeImage/1001-8042-2026-01-19-F002.jpg)
The spacing between the wires and the wire width significantly affects the beam quality. Simulations are conducted to compare grids with wire widths of 0.02 mm, 0.03 mm, and 0.04 mm. Table 1 shows that finer wires result in higher electron transmission rates, but thinner wires are prone to deformation and increase in manufacturing difficulty. Therefore, it is recommended to choose a wire with a width of 0.02 mm. The simulation and calculation of the effect of spacing between wires on emittance were performed using two methodologies: one by setting the cathode output current to 2 A, and the other by maintaining the current at the anode outlet position to 1.7 A. Figure 2(b) illustrates that within a specific range of wire spacing, the emittance tends to increase with larger wire spacing. The emittance tends to be stable around 2.1 mm mrad when the wire spacing exceeds 0.26 mm. In addition, when the wire spacing is less than 0.15 mm, the emittance is stable at about 1.9 mm mrad. Therefore, within the range of wire spacing from 0.15 mm to 0.26 mm, it is observed that smaller wire spacing varies with lower emittance levels. Notably, under the two setting conditions, a consistent inflection point appeared at a wire spacing of 0.17 mm. The smaller the wire spacing, the more electrons are bombarded on the grid, and the more obvious the thermal deformation effect. A wire spacing of 0.17 mm not only reduces emittance but also enhances the beam transmission rate, improves cathode efficiency, and extends the lifetime of both the cathode material and the grid. Finally, the simulated electron gun achieved an acceleration gradient of less than 4 MV/m, resulting in a beam emittance of 1.3 mm mrad and a current intensity of 1.7 A (charge of 1 nC, pulse length of 600 ps).
| Wire size (mm) | Particle transmission rate (%) |
|---|---|
| 0.02 | 90 |
| 0.03 | 74 |
| 0.04 | 68 |
Emittance optimization via grid re-configuration
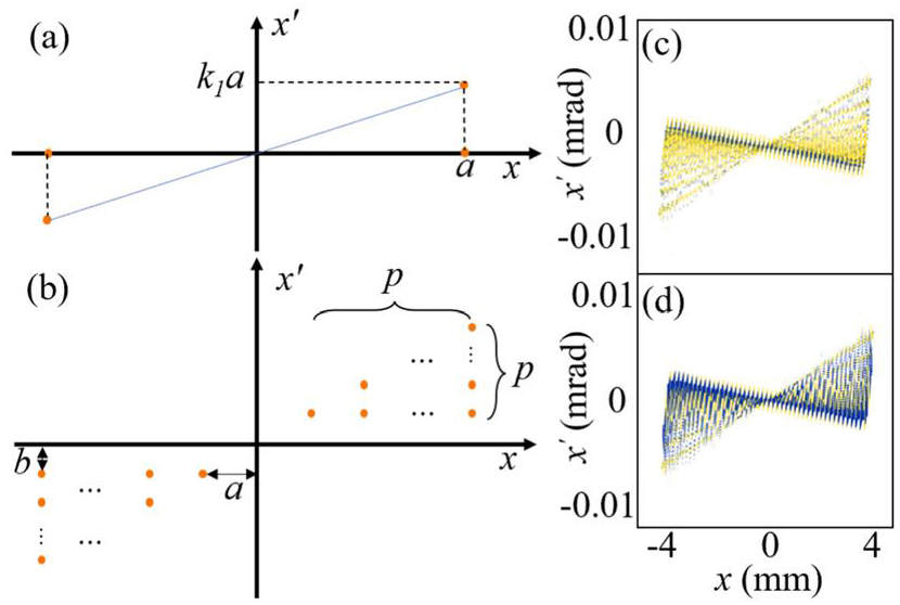
The preceding section demonstrated that the beam emittance is significantly affected by the grid structure. Hence, further optimization of the grid structure is essential. During the electron gun simulations using the CST Studio Suite, 2D particle monitors were placed at positions where electrons passed through the grid and at the gun exit. Observations from these monitors revealed that the grid-induced field effects caused the electron beam spot to exhibit a consistent pattern aligned with the grid structure, as shown in Fig. 3. Yellow and blue dots represent electrons, and the circular pattern depicts the beam-spot image. Local amplification revealed the electron distribution, which demonstrated that the magnified beam spot displayed a distinct grid pattern. For the convenience of further study, particles on the stripes within y of 0 mm~0.17 mm need to be marked in blue.
_2026_01/1001-8042-2026-01-19/alternativeImage/1001-8042-2026-01-19-F003.jpg)
Basic idea and theoretical analysis
In the realm of beam physics, the analysis of phase space (x–x’ plane) provides a more intuitive understanding. The analysis of the position and momentum within each phase space cell enables the exploration of their relationship with the overall emittance.
The emittance of a beam is quantified by the area of the phase-space ellipse. In addition to geometrical explanations, emittance can be described statistically by assessing the dispersion of all particles in the x-x’ phase space.
The RMS emittance ε can be defined by the following Eq. (1) [36]:_2026_01/1001-8042-2026-01-19/alternativeImage/1001-8042-2026-01-19-M001.png)
_2026_01/1001-8042-2026-01-19/alternativeImage/1001-8042-2026-01-19-F004.jpg)
Thus, for the analysis of each grid’s phase space, the emittance in Eq. (1) can be transformed into the following Eq. (2):_2026_01/1001-8042-2026-01-19/alternativeImage/1001-8042-2026-01-19-M002.png)
Thus, the emittance Eq. (1) for each grid cell can be transformed into the following Eq. (3):_2026_01/1001-8042-2026-01-19/alternativeImage/1001-8042-2026-01-19-M003.png)
The normalized slope of the overall transverse phase space of the beam spot is primarily determined by the electric field distribution between the cathode grids. The grid structure influences the electric field within each grid aperture, thereby altering the phase space of the beam, specifically, the transverse phase space of the grid. To simplify the phase space information, as shown in Fig. 5, the blue line connecting the blue dots represents the overall transverse phase space of the beam spot, with each blue dot denoting a normalized point corresponding to each grid. The yellow dots represent discrete points obtained from the emittance and normalized slope of the grid. Thus, the area of the ellipse containing all the yellow dots represents the overall beam-spot emittance. As shown in Figs. 5(a) and 5(b), it is evident that as the slope of each grid approaches the overall slope, the beam spot emittance decreases significantly.
_2026_01/1001-8042-2026-01-19/alternativeImage/1001-8042-2026-01-19-F005.jpg)
Utilizing the emittance formula derivation shown in Fig. 6, consider a total of _2026_01/1001-8042-2026-01-19/alternativeImage/1001-8042-2026-01-19-M004.png)
_2026_01/1001-8042-2026-01-19/alternativeImage/1001-8042-2026-01-19-F006.jpg)
Thus, the emittance formula for each cell, Eq. (1) can be transformed as follows:_2026_01/1001-8042-2026-01-19/alternativeImage/1001-8042-2026-01-19-M005.png)
Beam emittance optimization
Based on the theoretical derivation and diagram in the previous section, the structure of the electron gun grid was optimized to enhance the beam emittance.
It is necessary to analyze the particles labeled in blue within the grid near the x-axis of the beam spot, as shown in Fig. 3. The normalized emittance slopes were calculated individually for 48 cells containing electrons, and their trajectories were tracked to assess their respective beam spots and phase spaces upon reaching the anode exit. The electron beam spot and transverse phase space are shown in Fig. 7, the color gradient from blue to purple indicates the distribution of the beam spot and transverse phase space of electrons. The electrons from the selected stripe of the beam spot are highlighted in orange, along with their transverse phase space distribution. Figures 7(a) and (c) represent the electron information at 0.8 mm from the grid, whereas Figs. 7(b) and (d) show the electron information at the electron gun exit, with purple and orange indicating the positions of the electron beam concentration. According to the transverse phase space diagram, the normalized emittance slope of the overall beam spot was negative. The normalized beam emittance at the electron gun exit is 1.3 mm mrad (99.7% core part).
_2026_01/1001-8042-2026-01-19/alternativeImage/1001-8042-2026-01-19-F007.jpg)
The normalized slopes of each grid cell within the yellow stripe shown in Fig. 7(a) are calculated, yielding the blue line around x in Fig. 8. It can be observed that all grid cell slopes are positive. The absolute differences between these data points and the overall normalized slope of the large beam spot are depicted by the red curve. The red curve illustrates a notable disparity between the phase space slope of an individual grid cell and the slope of the entire spot, particularly noticeable within the annular region of radius 2 mm~4 mm. Hence, to effectively decrease the slope of the edge grid unit and minimize the overall emittance, the external structure of the grid must be adjusted to alter the distribution of the electric field lines. Increasing the height of the grid edge relative to the center position and reducing the distance from the cathode to the perimeter of the grid can enhance the field strength, ultimately decreasing the slope of each grid.
_2026_01/1001-8042-2026-01-19/alternativeImage/1001-8042-2026-01-19-F008.jpg)
For the conventional grid structure, the yoz cross-section shown in Fig. 9(a) appears rectangular. To achieve the desired optimization goals, the edges of the grid structure were elevated, as shown in Fig. 9(b), resulting in a reduced beam emittance. Further optimization of the slopes was pursued, leading to the design shown in Fig. 9(c), and a subsequent improvement in the emittance reduction. Figure 9(d) illustrates a three-dimensional view of the structural optimization results for grid thickness, as shown in Fig. 9(c). These modifications enable the electric field structure to enhance the laminarity of the beam flow. The results near the grid and at the anode exit position regarding the beam spot and transverse phase space are shown in Fig. 10.
_2026_01/1001-8042-2026-01-19/alternativeImage/1001-8042-2026-01-19-F009.jpg)
_2026_01/1001-8042-2026-01-19/alternativeImage/1001-8042-2026-01-19-F010.jpg)
The normalized slopes of the particles within the yellow-marked grid cells shown in Fig. 10(c) are calculated, resulting in the blue curve depicted in Fig. 11. The absolute differences between these data points and the overall normalized slope of the large beam spot were computed to generate the red curve. The electron beam spot was symmetrical about the center of the circle. The number of each square-shaped spot increased along the radial direction and was proportional to the perimeter. Consequently, the slope differences at the varying radii, as depicted in Figs. 8 and 11, are weighted by the radius. The pre-optimization value is 2.47, while the post-optimization value is 1.44. The overall beam emittance can be reduced, and the beam emittance at the exit position of the electron gun can be reduced to 1.1 mm mrad (99.7% core part) as shown in Fig. 12.
_2026_01/1001-8042-2026-01-19/alternativeImage/1001-8042-2026-01-19-F011.jpg)
_2026_01/1001-8042-2026-01-19/alternativeImage/1001-8042-2026-01-19-F012.jpg)
Further consideration with subsequent SHB
To verify the application of the optimized electron gun beam in subsequent components, simulation analyses were conducted using the CST Studio Suite. We designed a gridded thermionic RF accelerator system capable of emitting high-quality beam currents, which comprised a gridded electron gun, SHB, and solenoids. Beam dynamics simulations [14] and optimizations have been performed to achieve high-quality beam emission [37, 38].
The initial RF component in the injector system following the electron gun is an SHB. It is used for beam pre-bunching and acceleration and plays a crucial role in the injector setup. The SHB compresses the longitudinally uniform electron beam emitted by the electron gun and enhances the longitudinal electron density, which is crucial for the subsequent acceleration and focusing in the following accelerator section [39, 40]. The microwave field within the RF cavity is a time-varying standing wave field, necessitating the optimization of the cavity structure and phase tuning to achieve high-gradient acceleration and adequate focusing for subsequent stages of beam acceleration and focusing.
Introducing a solenoid in the beam transport process is similar to introducing a lens. It utilizes lensing to focus the electron beam, compensating for the space charge effects that affect the normalized transverse root-mean-square emittance on the x–x’ plane. This lensing effect mitigates the growth in the projected emittance on the x–x’ plane observed prior to focusing [41].
The beam energy at the exit of the electron gun is only 50 keV, which is much lower than the relativistic velocities. Consequently, the substantial space charge force among electrons causes rapid emittance growth during drift. Thus, minimizing the distance between the RF cavity and electron gun outlet is crucial. Here, the distance from the electron gun exit to the center of the RF cavity is set to 200 mm. Structural optimization of the RF cavity allows for the integration of a solenoid between the electron gun and RF cavity. Additionally, considering the future requirements for feeding other harmonic cavities and traveling wave tubes, another solenoid was added at the exit of the 238 MHz RF cavity. Optimization across these three components ensures that the normalized emittance of the beam reaches 1.5 mm mrad after a certain drift distance beyond the second solenoid, surpassing the typical emission levels of conventional thermionic electron gun injectors.
In CST simulations, when the electron beam reaches the RF cavity, its energy is 50 keV with a normalized root-mean-square emittance of 1.1 mm mrad. By adjusting the phase of the RF cavity to accelerate the electrons and considering the longitudinal focusing, the changes in the beam energy and transverse size after passing through the RF cavity are shown in Fig. 13. The figure also indicates the phase space at the exit of the RF cavity and the transverse phase space of the beam waist obtained from the overall structure of the RF cavity. Under the influence of the RF field, the beam energy increases by nearly a factor of ten, reaching 500 keV. The normalized root-mean-square emittance remained 1.5 mm mrad Table 2.
_2026_01/1001-8042-2026-01-19/alternativeImage/1001-8042-2026-01-19-F013.jpg)
| Parameters | Original value | Optimized value |
|---|---|---|
| Current (A) | 1.69 | 1.70 |
| Energy (keV) | 500 | 500 |
| RMS emittance (mm mrad) | 2.0 | 1.5 |
Conclusion
We designed, derived, and simulated a low-emittance, high-quality RF gridded thermionic electron gun system. Using the electron gun system model established in CST, information such as the emittance and current of the electron beam was analyzed. Considering that the grid structure has a significant influence on the output of the electron gun, we analyzed and optimized this component in detail. First, we selected the appropriate grid shape and preliminarily optimized key parameters, such as the grid wire width, spacing, and grid bias voltage. Subsequently, the longitudinal structure of the grid was optimized. Specifically, we further analyzed the electron beam phase space of different grids through the grid and studied the influence on the overall emittance through data and theoretical analysis, formula derivation, and so on. Based on this, it is proposed to adjust the longitudinal length of the grid at different radius positions to reduce the electron beam emittance.
Ultimately, the electron gun designed is capable of emitting a beam current of 1.7 A, with the normalized emittance reduced by approximately 50% to 1.1 mm mrad, and beam spot radius of 3 mm at the anode position. Furthermore, the exit of the electron gun is positioned at the shortest mechanical distance from the solenoid and RF cavity to facilitate beam focusing and acceleration. Beam dynamics simulation involves adjusting the structure, phase, and magnetic field intensities of these components. The beam can be accelerated to 500 keV over a short distance, achieving a normalized emittance of 1.5 mm mrad. In future work, we plan to process this grid structure and conduct emission experiments to evaluate its practical application.
Electron gun for SSRF
. Nucl. Sci. Tech. 14, 20–23 2003). http://www.nst.sinap.ac.cn/article/id/1633?lang=enBeam effects and mitigation in a future proton proton collider
. Nucl. Sci. Tech. 33, 130 2022). https://doi.org/10.1007/s41365-019-0561-yProspects of a terahertz free-electron laser for field application
. J. Korean Phys. Soc. 80, 367–376 2022). https://doi.org/10.1007/s40042-022-00428-8Development of a novel thermionic rf electron gun applied on a compact THz-FEL facility
. Nucl. Instrum. Meth. Phys. Res. Sect. A 887, 1–6 2018). https://doi.org/10.1016/j.nima.2017.12.070Swissfel: the swiss x-ray free electron laser
. Appl. Sci. 7, 720 2017). https://doi.org/10.3390/app7070720First lasing and operation of an ångstrom-wavelength free-electron laser
. Nature Photonics 4, 641–647 2010). https://doi.org/10.1038/nphoton.2010.176Operation of a free-electron laser from the extreme ultraviolet to the water window
. Nature Photonics 1, 336–342 2007). https://doi.org/10.1038/nphoton.2007.76Experimental observation of high-brightness microbunching in a photocathode RF electron gun
. Phys. Rev. E 54, R3121–R3124 1996). https://doi.org/10.1103/PhysRevE.54.R3121Performance of a carbon nanotube field emission electron gun
.Helically corrugated waveguide gyrotron traveling wave amplifier using a thermionic cathode electron gun
. Appl. Phys. Lett. 90,Stable operation of a high-voltage high-current dc photoemission gun for the bunched beam electron cooler in RHIC
. Phys. Rev. Accel. Beams 23,Design of a 162.5 MHz continuous wave normal conducting radiofrequency electron gun
. Nucl. Sci. Tech. 31, 110 2020). https://doi.org/10.1007/s41365-020-00817-3Development of better quantum efficiency and long lifetime iridium cerium photocathode for high charge electron RF gun
. Vacuum 10, 10–16 2013). https://accelconf.web.cern.ch/ipac2013/papers/mopfi023Beam dynamics optimization of very-high-frequency gun photoinjector
. Nucl. Sci. Tech. 33, 116 2022). https://doi.org/10.1007/s41365-022-01105-yOptimization of quantum current beam modulator based on electron gun
. in 2023 IEEE 6th International Electrical and Energy Conference (CIEEC), 2023, pp. 3179–3183. https://doi.org/10.1109/CIEEC58067.2023.10165982Electron beam optimization with application to current quantification
. Proc. Autom. Instrum. 43, 102–112 2022). (In Chinese) https://doi.org/10.16086/j.cnki.issn1000-0380.2021120004A grid-controlled thermionic cathode electron gun for new generation CT system
. Vacuum Electronics 3, 51–53 2020). https://doi.org/10.16540/j.cnki.cn11-2485/tn.2020.03.09Low-emittance radio-frequency electron gun using a gridded thermionic cathode
. Phys. Rev. Accel. Beams 23,Milestone progress of the HEPS booster commissioning
. Nucl. Sci. Tech. 35,16 2024). https://doi.org/10.1007/s41365-024-01365-wDevelopment and simulation of a gridded thermionic cathode electron gun for a high-energy photon source
. Nucl. Sci. Tech. 34, 39 2023). https://doi.org/10.1007/s41365-023-01195-2Two-plane painting injection scheme for bring of HIAF
. Nucl. Sci. Tech. 28, 114 2017). https://doi.org/10.1007/s41365-017-0260-5Design and commissioning of a wideband RF system for CSNS-II rapid-cycling synchrotron
. Nucl. Sci. Tech. 35, 5 2024). https://doi.org/10.1007/s41365-024-01377-6Design and test of an RF acceleration system loaded with magnetic alloy for the proton synchrotron of the xi’an proton application facility
. Nucl. Sci. Tech. 29, 94 2018). https://doi.org/10.1007/s41365-018-0434-9Surface-emission studies in a high-field rf gun based on measurements of field emission and schottky-enabled photoemission
. Phys. Rev. Lett. 109,Theoretical study of transverse emittance growth in a gridded electron gun
. Nucl. Instrum. Meth. Phys. Res. A 519, 432–441 2004). https://doi.org/10.1016/j.nima.2003.11.183Transverse phase space reconstruction study in shanghai soft X-ray FEL facility
. Nucl. Sci. Tech. 29, 9 2018). https://doi.org/10.1007/s41365-017-0338-0Low-emittance thermionic-gun-based injector for a compact free-electron laser
. Phys. Rev. Accel. Beams 20,Study of beam transverse properties of a thermionic electron gun for application to a compact THz free electron laser
. Rev. Sci. Instrum. 85,Optimized design of a thermionic electron gun applied to a high-power FEL injector
. in, et al.,Beam and image experiment of beam deflection electron gun for distributed X-ray sources
. Nucl. Sci. Tech. 30, 50 2019). https://doi.org/10.1007/s41365-019-0561-yElectronic structure and optical properties of rare earth hexaborides RB6 (R=La, Ce, Pr, Nd, Sm, Eu, Gd)
. J. Phys. Cond. Matter. 19,Comparison of thermionic cathode parameters of low index single crystal faces of LaB6, CeB6 and PrB6
. Appl. Surf. Sci. 37, 381–394 1989). https://doi.org/10.1016/0169-4332(89)90499-6Assessment of thermionic emission properties and back bombardment effects for LaB6 and CeB6
, inLow emittance thermionic electron gun at SLRI
. in 9th Int Part Acc Conf (IPAC 2018),CeB6 electron gun for low-emittance injector
. Phys. Rev. ST Accel. Beams 10,Rms envelope equations with space charge
. IEEE Trans. Nucl. Sci. 18, 1105–1107 1971). https://doi.org/10.1109/TNS.1971.4326293Conceptual design for a novel pre-injector applied in a high power terahertz free electron laser
. Jap. J. Appl. Phys. 57,Design and beam dynamic simulation of the thermionic RF electron gun with external resonant cavity for transverse emittance reduction
. Nucl. Instrum, Meth. Phys. Res. Sect. A 940, 243–253 2019). https://doi.org/10.1016/j.nima.2019.06.035Design of a 325 MHz half wave resonator prototype at IHEP
. Chinese Physics C 40,Fault locating for traveling-wave accelerators based on transmission line theory
. Nucl. Sci. Tech. 34, 116 2023). https://doi.org/10.1007/s41365-023-01279-zEmittance compensation schemes for a superconducting RF injector
. Phys. Rev. Accel. Beams 21,The authors declare that they have no competing interests.

