Introduction
As the primary functional part of a fusion reactor, the fusion blanket is responsible for radiation shielding and tritium self-sufficiency [1-3]. Based on the morphology of the tritium breeder, fusion blankets can be classified into solid- or liquid-breeder blankets. A solid breeder blanket is viewed as a leading candidate for fusion blanket design [4, 5]. Both water-cooled ceramic breeding (WCCB) and helium-cooled ceramic breeding (HCCB) blanket designs utilize solid ceramic pebble beds with numerous particles. For the WCCB blanket, Li2TiO3 and Be12Ti act as the breeder and multiplier, respectively, whereas the HCCB blanket employs Li4SiO4 and Be. Numerous experimental [6-8] and numerical [9-12] studies have explored the thermohydraulic behavior of pebble beds. However, much of the research on fusion blanket pebble beds has focused on quasi-static conditions. The effects of neutron irradiation, high thermal loads, and strong magnetic fields [13] on pebble beds, which lead to pulverization and fragmentation, are only partially understood. Breeder particle fragments and powders migrate to, deposit in, and accumulate within gas channels, driven by the purging action. This accumulation diminishes the effective flow area of the purge gas, leading to increased flow resistance and deteriorated gas flow distribution. These issues, including tritium retention and heat transfer degradation, seriously impair the thermodynamic properties of the pebble beds and obstruct tritium self-sustainability [14, 15]. Therefore, predicting and controlling particle powder migration and clogging are essential for reliable tritium extraction and energy conversion efficiency in fusion reactor ceramic pebble beds.
Some studies have focused on particle clogging in porous media. Liu et al. [16] investigated the particle clogging mechanisms through microfluidic chip tests. They classified the clogging mechanisms as dependent (involving one or more adjacent pores) or independent (without adjacent channel involvement). During seepage tests with river sand-filled columns, Ye et al. [17] identified three types of particle clogging: surface interception, internal clogging, and adhesion. Research has often focused on the median particle size ratio of fillers to fine particles as a key clogging factor [18-20]. Tan et al. [21] developed an empirical formula based on the Kozeny–Carmen equation to theoretically predict permeability reduction in permeable bases. Sun et al. [22] reviewed the research on the generation, distribution, radioactivity, deposition, resuspension, and coagulation of graphite dust in a pebble-bed high-temperature reactor. Numerical simulation methods have been utilized to explore the hydraulic behavior and water quality performance of pervious pavements. An advanced computational fluid dynamics model coupled with the discrete element method (CFD-DEM) was developed and validated to assess the permeability of pervious concrete [23-26]. The CFD-DEM coupled method was first proposed by Tsuji et al. [27] and has since been adopted in many investigations in packed beds [28-33]. These research results proved that CFD-DEM is a valid method for simulating and observing two-phase packed-bed systems.
However, few studies have addressed powder flow under a purge gas in the pebble bed of a fusion blanket. Numerous factors can affect the flow characteristics of the powders, and more parameters should be studied to obtain a thorough understanding. The existing models fall short and offer limited predictive insights into powder transport, clogging, and interstitial purge gas dynamics. As a result, the influence of purge gas on particle migration and clogging within pebble beds remains poorly understood. Furthermore, a theoretical basis for understanding the transition from particle migration to clogging in porous media is lacking. Therefore, in this study, coupled CFD-DEM was employed for a numerical investigation of powder migration and clogging, considering factors such as breeder orientation, purge velocity, powder size distribution, and friction coefficient. The primary aim was to elucidate the mechanism of powder migration and clogging within fusion blanket pebble beds. From these numerical findings, a preliminary model for migration and clogging was formulated. The results of this study can aid in analyzing and predicting powder dynamics, as well as analyzing pebble-bed reactors.
The remainder of this paper is organized as follows. Section 2 outlines the numerical methodologies, covering the governing equations, coupling procedures, validation, construction of the pebble-bed models in DEM, and reconstruction using CFD. Section 3 presents and discusses the simulation results, including the effects of breeder orientation, purge velocity, powder size distribution, and friction coefficient on migration and clogging, as well as the mechanism, characterization, and numerical modeling of these processes.
Numerical model and validation
Numerical methodology in the CFD-DEM model
In the CFD-DEM model, the flow in the entire flow region is calculated from the continuity and Navier-Stokes equations, with a porosity term and an additional body-force term used to account for the presence of particles in the fluid. These are given by [34, 35]_2026_02/1001-8042-2026-02-21/alternativeImage/1001-8042-2026-02-21-M001.png)
_2026_02/1001-8042-2026-02-21/alternativeImage/1001-8042-2026-02-21-M002.png)
_2026_02/1001-8042-2026-02-21/alternativeImage/1001-8042-2026-02-21-M003.png)
The porosity and body force of the fluid mesh elements are determined using the DEM. The equations of motion for the particles include an additional force term that considers their interaction with the fluid. The equations [36, 37] are_2026_02/1001-8042-2026-02-21/alternativeImage/1001-8042-2026-02-21-M004.png)
_2026_02/1001-8042-2026-02-21/alternativeImage/1001-8042-2026-02-21-M005.png)
The force that occurs during the interaction between a particle and a fluid can be characterized by a combination of drag, pressure gradient, viscous tensor gradient, and various other forces. When considering a system comprising gas and particles, the predominant factor influencing the interaction between the fluid and pebble bed is the drag force, which has a significant impact on the precision of the coupled CFD-DEM model. Consequently, achieving an accurate representation of the interphase forces experienced by particles and fluid is essential for CFD-DEM simulations. The interphase force, denoted by _2026_02/1001-8042-2026-02-21/alternativeImage/1001-8042-2026-02-21-M006.png)
_2026_02/1001-8042-2026-02-21/alternativeImage/1001-8042-2026-02-21-M007.png)
_2026_02/1001-8042-2026-02-21/alternativeImage/1001-8042-2026-02-21-M008.png)
_2026_02/1001-8042-2026-02-21/alternativeImage/1001-8042-2026-02-21-M009.png)
For the particle phase, Li et al. [42] suggested a critical time step based on the time required for a Rayleigh wave to propagate along the smallest particle:_2026_02/1001-8042-2026-02-21/alternativeImage/1001-8042-2026-02-21-M010.png)
Figure 1 shows the coupling procedures adopted in the CFD-DEM simulations. The detailed procedure during the calculation was as follows: First, DEM data, including positions and velocities, were transferred into the CFD solver; then, a translation from the Lagrangian field to the Euler field was performed by the CFD solver, and the porosity
_2026_02/1001-8042-2026-02-21/alternativeImage/1001-8042-2026-02-21-F001.jpg)
Simulation study setup
The type and size of tritium breeders significantly affect the performance (e.g., porosity) of the solid blankets in fusion reactors. In most solid blanket designs, 1 mm diameter Li4SiO4 particles are used as tritium breeders. A numerical sample of the Li4SiO4 pebble bed was prepared using the DEM code. Table 1 lists the physical properties of the Li4SiO4 particles and the key simulation parameters [44]. The boundary conditions [45] and the powder numbers are listed in Table 2.
| Parameters | Value |
|---|---|
| DEM particle phase | |
| Particle diameter, d (mm) | 1.0 |
| Particle number | 2454 |
| Density (kg/m3) | 2323 |
| Young’s modulus (Gpa) | 90 |
| Poisson’s ratio | 0.24 |
| Coefficient of friction | 0.2 |
| Coefficient of restitution | 0.3 |
| Domain size (mm3) | 12×12×15 |
| CFD fluid phase | |
| Fluid density (kg/m3) | 0.1625 |
| Fluid viscosity (Pa·s) | 1.99×10-5 |
| Boundary conditions | Value |
|---|---|
| Purge velocity (m/s) | 0.1, 0.2, 0.3 |
| Outlet pressure (kPa) | 101 |
| Powder number | 500 |
Following material parameter determination, pebble-bed particles were generated using EDEM software. Slight compaction by the plate ensured close interactions between the breeding particles. As shown in Fig. 2, the CFD-DEM model measured 12 mm in length, 12 mm in width, and 15 mm in height. The velocity inlet was set as 5 mm above the pebble bed surface to simulate the purge gas. A particle factory or a broken particle source was incorporated within an area measuring 8 mm × 8 mm × 1 mm at the top of the pebble beds. In the CFD-DEM model, the powders attempt to percolate through a fixed, nondeformable pebble bed under the influence of the purge gas.
_2026_02/1001-8042-2026-02-21/alternativeImage/1001-8042-2026-02-21-F002.jpg)
The sizes of the powders produced by crushing Li4SiO4 pebbles cannot be uniformly distributed, and the powder flowability may change with the particle size (dp) distribution. Table 3 lists the powder gradations and properties obtained from previous experimental and numerical studies [46]. In this study, three types of powder distributions were identified: fine, coarse, and well-graded particles. The powder grading table shows the mass percentages of various powder sizes. All powders were spherical, and the simulation settings and boundary conditions were consistent with those used for breeding particles. In EDEM software, each particle size gradation is depicted in four colors representing different sizes. For example, fine powder sizes ranging from 0.08 mm to 0.16 mm are color-coded as green, yellow, pink, or red in the software. Powders smaller than 0.08 mm were excluded from the simulation owing to their small size and the extensive time required for generation.
| Powder size (mm) | Fine (%) | Coarse (%) | Well-graded (%) |
|---|---|---|---|
| 0.08–0.12 | 55.46 | 0 | 29.47 |
| 0.12–0.16 | 44.54 | 0 | 25.74 |
| 0.16–0.20 | 0 | 51.92 | 23.29 |
| 0.20–0.24 | 0 | 48.08 | 21.50 |
Table 4 outlines the various cases and parameters: Cases 1–3 and 6 examined the purge velocity; Cases 1, 4, and 5 focused on the powder size distribution; Cases 1, 7, and 8 investigated the coefficient of friction; and Cases 1 and 9 compared the two breeder orientations. In this study, two ITER-relevant volumes were considered, as shown in Fig. 3. These volumes differed in their configurations according to the direction of gravity. Because of their similarity, we employed generic coordinate systems (χ, ζ). The ζ configuration represents the TBM orientation of the EU [47], whereas the χ configuration aligns with several current TBM designs at ITER [48, 49].
| Case | Purge velocity | Friction coefficient | Size distribution | Breeder orientation |
|---|---|---|---|---|
| 1 | 0.1 | 0.1 | Fine | χ |
| 2 | 0.2 | 0.1 | Fine | χ |
| 3 | 0.3 | 0.1 | Fine | χ |
| 4 | 0.1 | 0.1 | Well-graded | χ |
| 5 | 0.1 | 0.1 | Coarse | χ |
| 6 | 0.3 | 0.1 | Coarse | χ |
| 7 | 0.1 | 0.2 | Fine | χ |
| 8 | 0.1 | 0.3 | Fine | χ |
| 9 | 0.1 | 0.1 | Fine | ζ |
_2026_02/1001-8042-2026-02-21/alternativeImage/1001-8042-2026-02-21-F003.jpg)
Validation
Verification of the pebble bed model
The specificity of a pebble bed mainly depends on the influence of the wall effect [30]. The classic mode of Klerk [50] was adopted to verify the validity of the porosity distribution along the x-axis for the pebble beds in this study. Local porosity is expressed as_2026_02/1001-8042-2026-02-21/alternativeImage/1001-8042-2026-02-21-M011.png)
_2026_02/1001-8042-2026-02-21/alternativeImage/1001-8042-2026-02-21-M012.png)
_2026_02/1001-8042-2026-02-21/alternativeImage/1001-8042-2026-02-21-F004.jpg)
Verification of the CFD-DEM model
The Ergun equation [51] has been extensively employed to predict the pressure drops within pebble beds. This equation describes the relationship between the pressure drop and average velocity for the flow in the pebble beds:_2026_02/1001-8042-2026-02-21/alternativeImage/1001-8042-2026-02-21-M013.png)
_2026_02/1001-8042-2026-02-21/alternativeImage/1001-8042-2026-02-21-F005.jpg)
Results and discussion
Law of powder transport and clogging in pebble beds
Figure 6 illustrates the migration and clogging processes of the powders with varying particle size distributions within the pebble beds. As shown in Fig. 6(a), for Case 1, the surface-accumulated powders moved downward, driven by the purging gas, and their number gradually decreased. A large number of particles accumulated in the upper pore structure of the pebble beds after running for 2 s. However, the distribution of powder in the pore structure decreased rapidly as the height of the pebble beds decreased. The distribution range of powder in the pebble beds was wide. Figure 6(b) shows that in Case 4, the smaller-sized surface-accumulated particles gradually migrated inward, driven by the purge gas. However, their migration distance was significantly shorter than that in Case 1, with most powder deposited at the upper part of the pebble beds and a smaller spread range. Figure 6(c) indicates that in Case 5, there was negligible vertical migration of surface-accumulated particles due to the purge gas, leading to significant accumulation at the upper part of the pore structure of the pebble beds.
_2026_02/1001-8042-2026-02-21/alternativeImage/1001-8042-2026-02-21-F006.jpg)
Gerber et al. [52] observed that a decrease in the particle size ratio (dp/d) resulted in clogging of the particles closer to the filler surface. A smaller ratio accelerated surface deposition and increased accumulation. With a smaller particle size ratio, the particles encounter similar-sized pores more frequently during transport, leading to earlier deposition and shallower clog depths. Continuous particle accumulation at these sites leads to clogging at shallower depths. The small particle size ratio caused the fine particles to clog only a thin layer of gravel pores near the surface of the pebble beds, hindering further permeation. The pebble-bed model features pores composed of larger pore bodies and smaller pore throats. Powders are captured in pores larger than or equal to their volume, irrespective of the particle size. Clogging can be distinguished by the presence of larger powder particles, which divide the clogged areas into zones A and B, as shown in Fig. 6(a). Zone A contains large powder particles, whereas Zone B does not. The clogging mechanism of Zone A was: Red or pink particles initially settled within the pebble bed, predominantly in a shallow 5 mm layer. After forming a pore skeleton in the shallow pores of the pebble beds, the particles could not easily migrate again. This narrowing of the channels in the shallow layer facilitated the rapid accumulation of smaller-sized deposits. The clogging mechanism of Zone B was: Smaller powder particles, such as green particles, migrated and permeated inward through voids under the sweeping gas and gravity, eventually forming local deposits alongside larger particles.
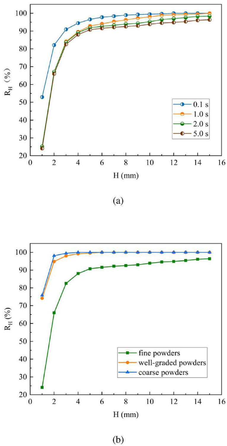
Based on the two-dimensional images, Fig. 7 presents an analysis of the powder retention rate within the pebble beds. Considering the pebble-bed surface as the zero horizontal plane (H = 0), the distribution of the accumulated powder retention rate above depth H is defined as RH_2026_02/1001-8042-2026-02-21/alternativeImage/1001-8042-2026-02-21-M014.png)
_2026_02/1001-8042-2026-02-21/alternativeImage/1001-8042-2026-02-21-F007.jpg)
Figure 7(b) shows the size grades. The disparity between well-graded and coarse powders was minimal. Both exhibited substantial deposition in the surface layer, with retention rates rapidly reaching 100%. In contrast, the fine powders demonstrated notable differences, characterized by deeper penetration. This minimal difference occurred because both well-graded and coarse powders contain particles larger than 0.16 mm. At equilibrium, these large particles clogged the surface pores of the pebble beds, hindering smaller particles in the well-graded powders from penetrating the surface, thus limiting any further increase in the retention rate. This result further confirms the two different clogging mechanisms mentioned in the analysis: One involves a powder with a large particle size and the other does not.
Effect of factors on powder migration development
Influence of powder size grading
Figure 8 illustrates the variation in the powder transport speed with size grading, representing the average speed of all powders. This result indicates a gradual decrease in powder transport speed over time. Ultimately, the powders became static in the pebble beds, with fine powders taking longer to settle than the well-graded and coarse powders. Furthermore, the powder transport speed increased with decreasing particle size, because smaller powders are more easily mobilized by fluid forces. The average speed of fine powders was 80% higher than that of well-graded and coarse powders, highlighting the significant impact of large powders on the powder flow velocity in pebble beds. The results of dynamic migration and static clogging of the powder were similar; that is, the presence or absence of a large particle size had a significant influence on the dynamic migration process.
_2026_02/1001-8042-2026-02-21/alternativeImage/1001-8042-2026-02-21-F008.jpg)
Influence of powder friction coefficient
Figure 9 shows the relationship between the average vertical velocity of the fine powders and changes in the friction coefficient. The changes in the average vertical velocity and transport speed were similar. As the friction coefficient increased, the average vertical velocity of the fine powder decreased significantly. According to the friction coefficient, ranging from low to high, the average vertical speeds were 1.09 mm/s, 0.43 mm/s, and 0.32 mm/s for the three cases. For powders with varying friction coefficients, the migration velocity followed a consistent pattern over time; it first decreased rapidly and then gradually approached a static state.
_2026_02/1001-8042-2026-02-21/alternativeImage/1001-8042-2026-02-21-F009.jpg)
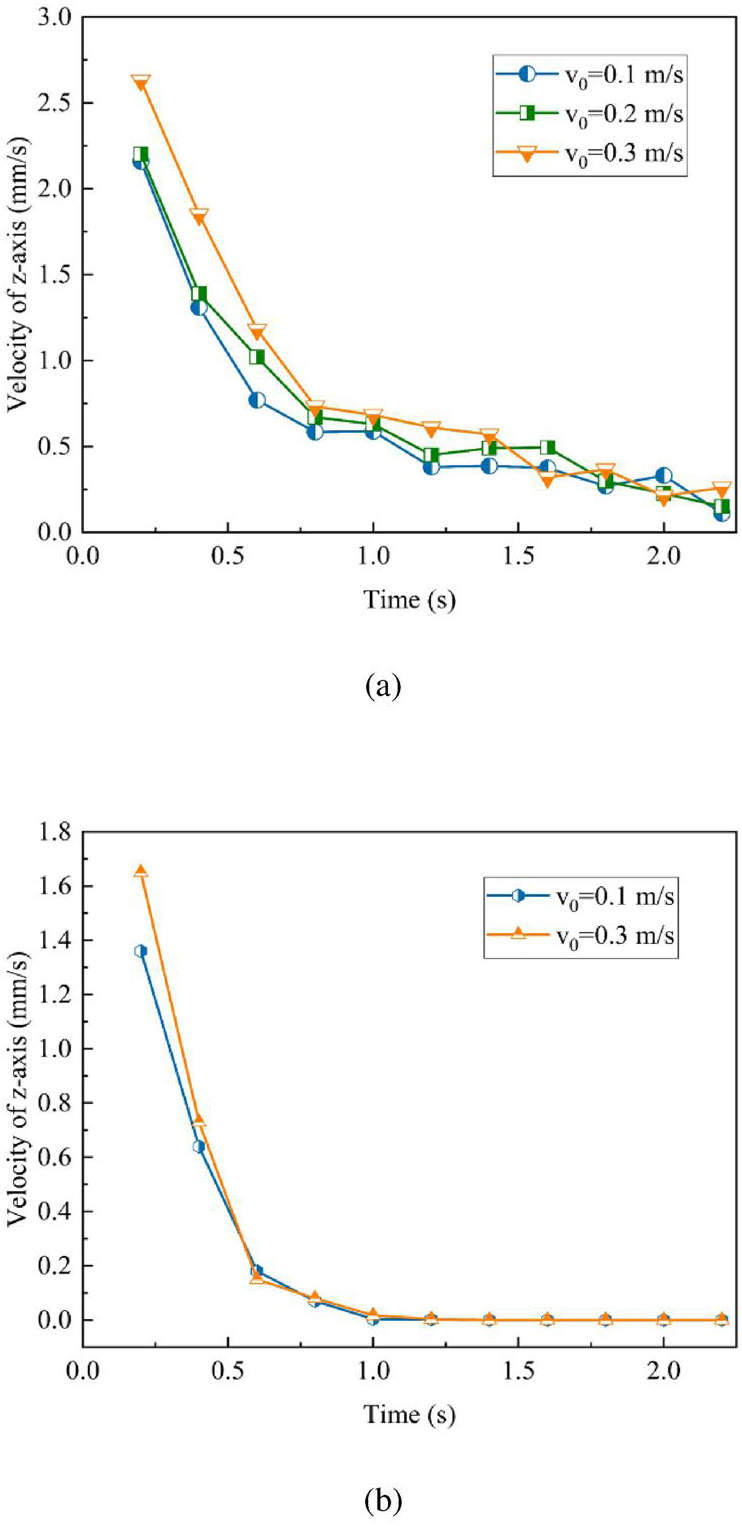
Influence of purge velocity
Figure 10 illustrates how the vertical velocity of the powders changed with the purge velocity, which was adjusted by controlling the outlet velocity. Figure 10(a) shows that the average vertical migration velocity of the powders tended to increase with increasing purge velocity. This effect is less pronounced than that of the size grading or friction coefficient because the purge velocity has a limited impact range of 0.07-0.2 mm/s, which is a factor of 4 smaller in magnitude. Furthermore, Fig. 10(b) demonstrates that the migration of the coarse powder was less affected by the purge velocity than that of the fine powder. Despite higher purge velocities, it is challenging to mobilize large particles that cause clogging, indicating clogging stability. In summary, the impact of the purge velocity on powder migration in pebble beds was limited, and this effect varied significantly with different particle size ratios.
_2026_02/1001-8042-2026-02-21/alternativeImage/1001-8042-2026-02-21-F010.jpg)
Study on stabilized powder distribution in clogged pebble beds
Distribution frequency of clogging powders in pebble beds
The powder clogging data from the final stability state were selected for analysis. Different colors, each corresponding to a unique powder size distribution, were extracted. The depth was segmented into 1 mm layers for statistical analysis. The ratio of the clogging powder in each layer to the total clogging powder was calculated. Figure 11 shows the dimensionless ratio N/N0 normalized by N0. This result illustrates the distribution of powders with a specific size grading, where N0 is the total number of clogging powders and N represents the number of clogging particles in each layer. Powders of different sizes within the same layer were stacked. Figure 11(a) illustrates how the distribution frequency of fine powder changed across different layers during clogging. The red powder with dp = 0.14-0.16 mm was distributed within the 0-4 mm range of the pebble beds. Pink powder, dp = 0.12-0.14 mm, exhibited peak frequencies in the 0-3 mm range in the pebble beds, with most powders concentrated within 5 mm. The void structure of the surface layer of the spherical bed was blocked by large particles, and green and yellow powders (dp = 0.08-0.12 mm) were primarily distributed in the 0-5 mm range of the pebble beds. However, the green and yellow powders still penetrated the interior and even the bottom of the pebble beds. Powder with a small particle size was more widely distributed in the pebble beds.
_2026_02/1001-8042-2026-02-21/alternativeImage/1001-8042-2026-02-21-F011.jpg)
As shown in Fig. 11(a)-(c), the coarse powder seldom invaded the middle part of the pebble-bed layers, whereas the fine powder penetrated the bottom. The fine powder was distributed more evenly at depth because the coarse powder prevents downward clogging. However, a comparison of well-graded and coarse powders revealed no significant differences in the concentration or invasion depth. A comparison between Fig. 11(a), (d) shows that under varying purge velocities, larger powder particles (> 0.14 mm) primarily settled in the surface layer of the pebble beds, whereas smaller particles (< 0.12 mm) were distributed more evenly throughout the middle and lower sections. From the superposition of the frequency distribution, with a purge velocity of 0.1 m/s, the clogging powder in the 0-3 mm region of the pebble beds constituted 76% of the total powder. At a purge velocity of 0.2 m/s, the clogging powder in the 0-3 mm area represented 81% of the total powder, with pink powder (dp = 0.12-0.14 mm) present in the middle part of the pebble beds. The results indicate that the powder penetration depth and quantity into the pores increased with increasing purge velocity. Comparing Fig. 11(a) and (e) shows that as with increasing friction coefficient, the peak distribution frequency of the clogging powder also increased. In Case 1, 63% of the powder was clogged in the surface layer of the pebble beds (0-2 mm), and in Case 7, this value increased to 69%. Powder with larger particles predominantly clogged the surface layer, whereas smaller particles penetrated the bottom layer. This result demonstrates that the friction coefficient significantly affects powders with larger surface areas, with a minimal effect on smaller powders.
Effect of breeder orientation on powder migration and clogging
Figure 12 illustrates the impact of various proliferation orientations on powder migration and clogging. Figure 12(b) reveals that in the ζ configuration, the powder near the upper wall (Y=-6 mm) moved downward away from the top wall, with significant deposits forming as powders from the middle rolled down to the lower wall area (Y = 6 mm). In contrast, the pebble beds in the χ configuration exhibited distinct powder migration and sedimentation patterns. Figure 12(a) shows that the powder near the wall settled in the same post-migration area, which is a trend observed in other areas of the pebble beds. When the breeder particles in the pebble beds are crushed, they fall owing to gravity and fluid force, yet maintain their general direction. Comparing Fig. 11(f) and (a) shows that the powder in the ζ configuration predominantly settled in the 0-5 mm region in the upper part of the pebble beds, and the quantity of deposited powder sharply decreased with decreasing height.
_2026_02/1001-8042-2026-02-21/alternativeImage/1001-8042-2026-02-21-F012.jpg)
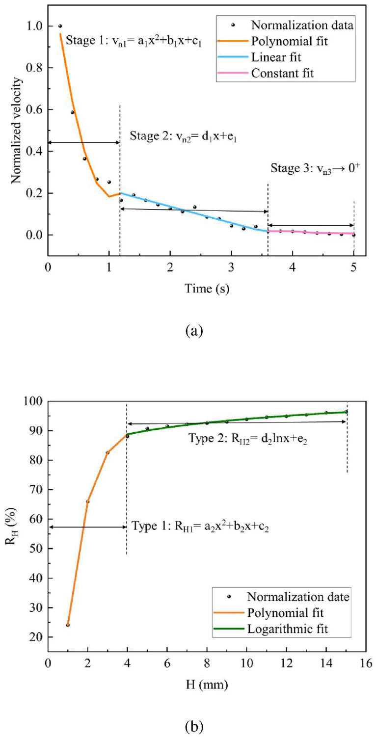
Characterization and developmental stages of migration and clogging
The migration and clogging of powder in pebble beds significantly impacts the system, and is influenced by various factors. Complex dynamics of the powder behavior in the pebble beds were observed. The influence of different parameters on the dynamic behavior of the powder varied. To characterize the powder behavior, including the migration distance and velocity, we defined the migration efficiency v*(l, v). From prior analysis and with the purging gas parameters in the fixed ball bed established, the factors affecting v*(l, v), in descending order of significance, were the powder size distribution S, breeder orientation of the pebble beds g, friction coefficient f, and average purge velocity V. Furthermore, parameters not investigated in this study, such as the particle size and temperature, may also affect powder migration. These effects were uniformly classified as other factors (oth). Thus, the migration efficiency v*(l, v) was characterized as_2026_02/1001-8042-2026-02-21/alternativeImage/1001-8042-2026-02-21-M015.png)
_2026_02/1001-8042-2026-02-21/alternativeImage/1001-8042-2026-02-21-F013.jpg)
Stage 1:_2026_02/1001-8042-2026-02-21/alternativeImage/1001-8042-2026-02-21-M016.png)
_2026_02/1001-8042-2026-02-21/alternativeImage/1001-8042-2026-02-21-M017.png)
_2026_02/1001-8042-2026-02-21/alternativeImage/1001-8042-2026-02-21-M018.png)
Following powder stabilization
Type 1:_2026_02/1001-8042-2026-02-21/alternativeImage/1001-8042-2026-02-21-M019.png)
_2026_02/1001-8042-2026-02-21/alternativeImage/1001-8042-2026-02-21-M020.png)
Conclusion
In this study, a two-way coupled CFD-DEM calculation was employed to analyze the powder migration and clogging mechanisms within pebble beds. The governing equations, establishment of the–the CFD-DEM model, validation, and coupling process are detailed in this paper. The effects of the breeder orientation, purge velocity, particle size grading, and friction coefficient on powder migration and clogging were assessed through numerical calculations. The powder migrated within the pebble beds owing to the fluid force. With increasing purge velocity, fine powder penetrated deeper into the pebble beds, in contrast to coarse powder, which showed less sensitivity to this effect. Increases in the friction coefficient and powder size distribution led to increased powder accumulation in the top layer of the pebble beds. The powder migration progressed from top to bottom, with the powder near the upper layer stabilizing first and then developing downward. Two migration and clogging mechanisms were identified: one involves powder with a large particle size, and the other does not. The first mechanism is more common and rapidly develops. The powder size distribution significantly influenced the migration depth; coarser layers tended to block the surface, whereas finer particles reached the lower parts of the pebble beds. The breeder orientation of pebble beds significantly impacted migration clogging: In the ζ configuration, the powder moved in the direction of gravity, away from the upper wall, forming extensive deposits on the lower wall. Various parameters influence powder migration and clogging behavior within pebble beds. Excluding time, the sensitivity ranks from highest to lowest are powder size distribution (S), breeder orientation of the pebble beds (g), friction coefficient (f), and average purge velocity (V).
From the analysis, a formula is proposed to characterize the behavior of the powder in the pebble beds:
For simplicity, all powders were modeled as spheres in this study, although real-world powder particles are irregularly shaped. Despite these simplifications, the findings of this study offer valuable general conclusions, particularly because the input parameters mirror those of actual pebble beds. Consequently, the results of this study can provide an effective reference for further research on powder dynamics and pebble bed properties in packed beds and provide ideas for the design of blankets for fusion reactors.
European DEMO design strategy and consequences for materials
. Nucl. Fusion. 57,Evaluation and optimization of tritium breeding, shielding and nuclear heating performances of the helium cooled solid breeder blanket for CFETR
. Int. J. Hydrogen. Energy. 42, 24263–24277 2017). https://doi.org/10.1016/j.ijhydene.2017.07.215Discrete element modeling of pebble beds packing structures for HCCB TBM
. Fusion. Eng. Des. 121, 256–264 2017). https://doi.org/10.1016/j.fusengdes.2017.08.002The JOREK non-linear extended MHD code and applications to large-scale instabilities and their control in magnetically confined fusion plasmas
. Nucl. Fusion. 61,MHD control in burning plasmas
. Nucl. Fusion. 52,Experimental study on helium pressure drop across randomly packed bed for fusion blanket
. Fusion. Eng. Des. 112, 47–51 2017). https://doi.org/10.1016/j.fusengdes.2017.09.009Experimental investigation of effective thermal conductivity of packed lithium-titanate pebble bed with external heat source and flow of helium
. Fusion. Eng. Des. 115, 56–66 2017). https://doi.org/10.1016/j.fusengdes.2016.12.035Experimental Investigation of the Effect of Random Packings on Heat Transfer and Particle Segregation in Packed-Fluidized Bed
. Ind. Eng. Chem. Res. 60, 10365–10375 2021). https://doi.org/10.1021/acs.iecr.1c01221Numerical simulation of particle migration in suspension flow through heterogeneous porous media
. Part. Sci. Technol. 39, 19–31 2021). https://doi.org/10.1080/02726351.2019.1651806Effect of particle size and concentration on the migration behavior in porous media by coupling computational fluid dynamics and discrete element method
. Powder Technol. 360, 704–714 2020). https://doi.org/10.1016/j.powtec.2019.10.011.Numerical investigation of purge gas flow through binary-sized pebble beds using discrete element method and computational fluid dynamics
. Fusion. Eng. Des. 158,Experimental and numerical study on helium flow characteristics in randomly packed pebble bed
. Ann. Nucl. Energy. 128, 268–277 2019). https://doi.org/10.1016/j.anucene.2019.01.016Study on the dynamic behavior of solid breeder materials and neutron multipliers under the perturbation of the magnetic field
. Fusion. Eng. Des. 160,Effect of γ ray irradiation on thermal conductivity of tritium breeding material Li2TiO3
. Ceram. Int. 47, 11481–11490 2021). https://doi.org/10.1016/j.ceramint.2020.12.276Numerical study on influences of bed resettling, breeding zone orientation, and purge gas on temperatures in solid breeders
. Fusion Eng. Des. 109, 539–544 2016). https://doi.org/10.1016/j.fusengdes.2016.02.059Particle migration and clogging in porous media: a convergent flow microfluidics study
. J. Geophys. Res. 124, 9495–9504 2019). https://doi.org/10.1029/2019jb017813Mechanism of suspended kaolinite particle clogging in porous media during managed aquifer recharge
. Groundwater. 57, 764–771 2019). https://doi.org/10.1111/gwat.12872Clogging pattern in vertical-flow constructed wetlands: Insight from a laboratory study
. J. Hazard. Mater. 180, 668–874 2010). https://doi.org/10.1016/j.jhazmat.2010.04.088Numerical study on pore clogging mechanism in pervious pavements
. J. Hydrol. 565, 589–598 2018). https://doi.org/10.1016/j.jhydrol.2019.124049Predicting physical clogging of porous and permeable pavements
. J. Hydrol. 481, 48–55 2013). https://doi.org/10.1016/j.jhydrol.2012.12.009Clogging evaluation of permeable bases
. J. Transp. Eng. 129, 309–315 2003). https://doi.org/10.1061/(asce)0733-947x(2003)129:3(309)A review of HTGR graphite dust transport research
. Nucl. Eng. Des. 360,Theoretical and experimental study of particle movement and deposition in porous media during water injection
. J. Petrol. Sci. Eng. 43, 163–1812004). https://doi.org/10.1016/j.petrol.2004.01.005Unsaturated hydraulic behaviour of a permeable pavement: Laboratory investigation and numerical analysis by using the HYDRUS-2D model
. J. Hydrol. 554, 780–791 2017). https://doi.org/10.1016/j.jhydrol.2017.10.00Temporal evolution modeling of hydraulic and water quality performance of permeable pavements
. J. Hydrol. 533, 15–27 2016). https://doi.org/10.1016/j.jhydrol.2015.11.042Advanced numerical assessment of the permeability of pervious concrete
. Cem. Concr. Res. 102, 149–160 2017). https://doi.org/10.1016/j.cemconres.2017.09.009Discrete particle simulation of two-dimensional fluidized bed
. Powder Technol. 77, 79–87 1993). https://doi.org/10.1016/0032-5910(93)85010-7Coupled Navier–Stokes phase-field model to evaluate the microscopic phase separation in asphalt binder under thermal loading
. J. Mater. 28, 2364–2369 2016). https://doi.org/10.1061/(asce)mt.1943-5533.0001581Coupled CFD-DEM simulation of fluid-particle interaction in geomechanics
. Powder Technol. 239, 248–258 2013). https://doi.org/10.1016/j.powtec.2013.02.003DEM-CFD Coupled Simulation for Determination of Character of Heat and Mass Transfer and Purge Gas Flow in Li4SiO4 Pebble Bed
. Atomic Energy Science and Technology. 55, 1367–13752021). https://doi.org/10.7538/yzk.2020.youxian.0924DEM-CFD simulations of fixed bed reactors with small tube to particle diameter ratios
. Powder Technol. 166, 324–331 2013). https://doi.org/10.1016/j.cej.2010.10.053Investigation of effective thermal conductivity for pebble beds by one-way coupled CFD-DEM method for CFETR WCCB
. Fusion. Eng. Des. 106, 1–8 2016). https://doi.org/10.1016/j.fusengdes.2016.03.001A smoothed void fraction method for CFD-DEM simulation of packed pebble beds with particle thermal radiation
. INT. J. HEAT. MASS. TRAN. 118, 275–288 2018). https://doi.org/10.1016/j.ijheatmasstransfer.2017.10.123Discrete particle simulation of particle-fluid flow: Model formulations and their applicability
. J. Fluid Mech. 661, 482 2010). https://doi.org/10.1017/S002211201000306XNumerical simulation of turbulence and sediment transport of medium sand
. J. Geophys. Res.: Earth Surf. 119, 1240 2014). https://doi.org/10.1002/2013JF002911SediFoam: A general-purpose, open-source CFD-DEM solver for particle-laden flow with emphasis on sediment transport
, Comput. Geosci. 89, 207 2016). https://doi.org/10.1016/j.cageo.2016.01.011CFD–DEM study of mxing and dispersion behaviors of solid phase in a bubbling fluidized bed
. Powder technol. 274, 482–493 2015). https://doi.org/10.1016/j.powtec.2015.01.046A generalized method for predicting the minimum fluidization velocity
. AIChE. J. 12, 610–612 1966). https://doi.org/10.1002/aic.690120343Orning, Fluid flow through randomly packed columns and fluidized beds
. Ind. Eng. Chem. 41, 1179–1184 1949). https://doi.org/10.1021/ie50474a011A comparison of discrete element simulations and experiments for ‘sandpiles’ composed of spherical particles
. Powder Technol. 160, 219–228 2005). https://doi.org/10.1016/j.powtec.2005.09.002Implementation and validation of a volume-of-fluid and discrete-element-method combined solver in OpenFOAM
. Particuology. 39, 109–115 2018). https://doi.org/10.1016/j.partic.2017.09.007Study on the packing characteristics of a special “J” shape ceramic packed pebble bed based on discrete element modeling
. Powder Technol. 379, 362–372 2021). https://doi.org/10.1016/j.powtec.2020.10.076Gas and Powder Flow Characteristics of Packed Bed: A Two-way Coupled CFD-DEM Study
. Int. J. Multiphase. Flow. 178,Crushing behaviour of Li4SiO4 and Li2TiO3 ceramic particles
. Nucl. Mater. Energy. 31,Set-up of a pre-test mock-up experiment in preparation for the HCPB Breeder Unit mock-up experimental campaign
. Fusion Eng. Des. 88, 2378–2383 2013). https://doi.org/10.1016/j.fusengdes.2013.02.107Current status of design and analysis of Korean helium-cooled solid breeder test blanket module
. Fusion. Eng. Des. 83, 1163–1168 2008). https://doi.org/10.1016/j.fusengdes.2008.05.037Progress on design and R&D for helium-cooled ceramic breeder TBM in China
. Fusion. Eng. Des. 87, 1138–1145 2012). https://doi.org/10.1016/j.fusengdes.2012.02.098Voidage variation in packed beds at small column to particle diameter ratio
. AIChE. J. 49, 2022–2029 2003). https://doi.org/10.1002/aic.690490812Fluid flow through packed columns
. Chem. Eng. Prog. 48, 89-94 1952).Particle-size-exclusion clogging regimes in porous media
. Phys. Rev. Lett. 120, 1179–1184 2018). https://doi.org/10.1103/physrevlett.120.148001The authors declare that they have no competing interests.

