Introduction
At the Generation IV International Forum (GIF), global experts on nuclear energy systems established a consensus on fourth-generation reactor technologies and ultimately selected six candidate designs [1, 2]. Among these, molten salt reactors (MSRs) stand out as the only liquid-fueled system, utilizing molten salt as both fuel and coolant [3-5]. This unique liquid-fuel characteristic fundamentally distinguishes the fuel-loading methodology from that of solid-fuel reactors, such as pressurized water reactors (PWRs) [6-8]. In PWRs, prefabricated fuel assemblies are loaded into the core in discrete batches with spatial heterogeneity intentionally introduced by varying the assembly types or structural configurations [9]. In salt reactors, nuclear fuel is typically introduced directly into the core and uniformly distributed throughout the fuel salt loop as the salt flows, without accounting for temperature distribution effects [10]. Monitoring reactivity variations during reactor loading is crucial for safety, and the liquid fuel characteristics in MSRs result in unique relationships between reactivity and fuel loading.
Liquid-fueled MSRs can be classified into two main types based on their neutron spectra: thermal-spectrum and fast-spectrum MSRs [11]. Thermal-spectrum MSRs typically employ graphite as a moderator and fluoride salts as the fuel salt [12, 13]. By contrast, fast-spectrum MSRs lack a moderator and can utilize either fluoride or chloride salts as fuel salts [14-16]. Additionally, there is a unique variant of MSRs that uses solid fuel while relying on liquid molten salt as the coolant [17, 18]. This design features fuel structures, such as coated particle fuel pebbles or fuel rods, with physical characteristics resembling those of traditional solid-fuel reactors. It is important to note that the scope of this study is focused exclusively on liquid-fueled MSRs and does not consider the solid-fuel variant.
Research on MSRs can be traced back to the mid-20th century, with the most well-known example being the Molten Salt Reactor Experiment (MSRE). The MSRE achieved initial criticality on June 1, 1965, making it the longest-operating MSR to date [19]. The initial loading process of the MSRE is summarized as follows: 4560 kg of carrier salt (64.75% LiF, 30.09% BeF2, and 5.16% ZrF4) and 236 kg of depleted uranium feed salt (73% LiF and 27% 238UF4) were thoroughly mixed outside the reactor vessel and then transferred through piping into the reactor vessel. Subsequently, calculations indicated that a specific amount of highly enriched uranium feed salt (73% LiF, 27% UF4, with 235U at 93 wt%) was mixed in a similar manner outside the reactor vessel and then injected into the reactor vessel. This process was repeated until the extrapolated results indicated the need to add approximately 1 kg of highly enriched uranium fuel. Through the pump’s feeding port, fuel capsules containing 150 g of highly enriched uranium feed salt (73% LiF, 27% UF4, with 235U at 93 wt%) were gradually introduced. After melting at high temperatures, the molten salt flowed out of the fuel capsule openings and was mixed with the fuel salt inside the reactor vessel, thereby completing the initial critical loading process [19, 20]. Throughout the feeding process, the nuclear fuel was rapidly and uniformly mixed into the fuel-salt system, effectively increasing the uranium concentration within it.
Loading nuclear fuel and achieving initial reactor criticality are the most crucial steps prior to power operation, ensuring both safety and controllability. During the loading and criticality extrapolation processes, establishing the relationship between reactivity and the amount of nuclear fuel loaded serves as the physical basis for designing loading schemes. The reciprocal neutron count rate extrapolation method is commonly used to extrapolate critical loading [21]. In this method, the reciprocal of the neutron counting rate is plotted against the amount of nuclear fuel loaded; extrapolating the resulting curve to its intersection with the horizontal axis provides an estimate of the fuel loading required to achieve criticality. The physical principle underlying this method is based on source multiplication theory [22]. According to this theory, the effective neutron multiplication factor keff can be approximated as:_2026_02/1001-8042-2026-02-22/alternativeImage/1001-8042-2026-02-22-M001.png)
In nuclear reactor physics, particularly during startup, reactivity measurements serve as a primary means of characterizing the reactor’s condition. Common methods for measuring reactivity include the source multiplication method [23, 24], the inverse kinetics method [25], and the period method [26]. Although these methods are applicable to liquid-fuel salt reactors as well, they face similar challenges. All of these methods require processing neutron signals captured by detectors to obtain reactivity parameters. Due to factors such as the influence of the external neutron source and the spatial effects of control rods, achieving precise measurements under subcritical conditions is difficult. Consequently, some researchers have employed complex correction methods based on theoretical calculations to enhance measurement precision [27, 28]. Determining a direct relationship between reactivity and nuclear fuel loading would facilitate calculating reactor reactivity solely based on the amount of fuel loaded.
Due to the liquid fuel characteristics of salt reactors, online refueling during operation is feasible [5, 29], which compensates for the decreased reactivity resulting from fuel burnup. Currently, the online refueling process is primarily simulated using coupled neutron transport and burnup codes. In such simulations, the nuclear fuel addition rate is typically adjusted to regulate keff. Common methods employed include the secant method [30] and linear approximations of keff with respect to burnup depth or fuel addition rate [31]. These methods generally require multiple iterations of neutron transport calculations to update the fuel feed rate.
Therefore, establishing a relationship between reactivity and nuclear fuel loading is crucial both for reactivity measurements and as a guiding principle for fuel loading, critical extrapolation, and criticality search calculations. It is widely recognized that reactivity and the amount of nuclear fuel loaded exhibit complex nonlinear relationships [32], making it difficult to establish a simple theoretical relationship. However, as noted earlier, the fuel-loading process in a MSR primarily involves increasing the concentration of uranium (or another nuclear fuel) in the fuel salt without altering the reactor’s structural configuration. Thus, under consistent operational conditions, a relationship should exist between the uranium concentration in the fuel salt and reactor reactivity. Building on this concept, our analysis of the relationship between keff and uranium concentration identified a highly linear correlation between reactivity and the reciprocal of uranium concentration. However, further investigations are required to explore the theoretical foundation and applicability of this linear relationship.
The objective of this study is to theoretically establish and validate the relationship between uranium concentration in MSR fuel salts and reactor reactivity, with particular emphasis on the underlying principles and applicability of the linear relationship. The remainder of this paper is organized as follows: Section 2 introduces the reactor model; Section 3 describes the discovery process of the linear relationship between 1/keff and the reciprocal of uranium concentration; Section 4 focuses on verifying the underlying principle through a step-by-step derivation based on a graphite-moderated single-lattice model and neutron balance theory, which explains the linear relationship between 1/keff and the reciprocal of uranium concentration; in Sect. 5 verifies the applicability of the linear relationship using a graphite-moderated core model across a broader range of fuel loading conditions and scenarios involving different molten salt volume fractions (VFs), uranium enrichment levels, and 232Th/233U fuel; finally, Section 6 summarizes and discusses the study’s findings.
Reactor model
This study focuses on the relationship between reactor reactivity and uranium concentration in MSRs, using a graphite-moderated model as the basis of investigation. The reactor core employs graphite as a moderator and primarily consists of fuel salt channels, graphite moderators, graphite reflectors, and reactor vessels, as illustrated in Fig. 1. The lattice structure is hexagonal-prismatic with a salt volume fraction of 15%, meaning that fuel salt occupies 15% of the total volume. The core active region measures 200 cm in both diameter and height. The moderator and reflector graphite have a density of 2.3 g/cm3, and the reflector is 30 cm thick. The reactor was operated with a fuel salt composed of 67LiF-33BeF2-xUF4 (mol%). After adjusting the value of x, the fuel salt composition was normalized. Additionally, the fuel salt may include a certain proportion of ThF4 to simulate thorium loading, which is further analyzed in Sect. 5.4. The density of the molten salts is calculated from the densities of the unit salts [33] using a volume-weighted average [34]. The accuracy of this method, based on the average molar volume, is within 3% [35]. The fuel–salt parameters are listed in Table 1.
_2026_02/1001-8042-2026-02-22/alternativeImage/1001-8042-2026-02-22-F001.jpg)
| Parameters | Value |
|---|---|
| Fuel salt (mol%) | 67LiF-33BeF2-xUF4 |
| Temperature | 900 K |
| Salt density (g/cm3) | LiF: 1.81 - 0.00049 × (T - 848.2) |
| BeF2: 1.96 - 0.000015 × (T - 552) | |
| UF4: 6.485 - 0.00092 × (T - 1036) | |
| ThF4: 6.058 - 0.000759 × (T - 1110) | |
| 7Li abundance | 99.95 at% |
| 235U enrichment | 20 wt% |
The theoretical analysis based on the single-lattice model, as well as its validation within the core model, was derived from simulations conducted using the CSAS6 module in SCALE6.1 [36]. The CSAS6 module combines a cross section processing module with a three-dimensional Monte Carlo transport code to perform a criticality analysis. Specifically, BONAMI is utilized to process cross sections in the unresolved resonance energy region, whereas CENTRM/PMC processes cross sections in the resolved resonance energy region. Transport calculations were performed using KENO-VI. CSAS6 provides critical outputs, such as keff, neutron energy spectra, and single-group cross sections for various fuel compositions. In this study, criticality calculations were performed with 20,000 particles, and the 238-group ENDF/B-VII.0 library was selected as the database.
The Discovery of the Linear Relationship
Prior to the study presented in this paper, initial research focused on reactor loading and criticality extrapolation processes based on the reactor model illustrated in Fig. 1(a). In particular, the study emphasized reactivity calculations during the loading process. As mentioned previously, the simulation incrementally increases the mole percentage of UF4 in the fuel composition 67LiF-33BeF2-xUF4 (mol%), where x represents the amount of UF4. Owing to the liquid fuel characteristics of the MSR, each batch of nuclear fuel is rapidly mixed and uniformly distributed throughout the fuel channel [37, 38]. Consequently, there is a direct relationship between reactor reactivity and the amount of fuel added, thereby eliminating the need to consider the spatial arrangement of the fuel, as is required in pressurized water reactors. Simulations using SCALE6.1 can determine keff after each batch of nuclear fuel is added, and efforts have been made to establish the relationship between the uranium concentration (or uranium loading) in the fuel salt and keff. During the extrapolation process for fuel addition, a practical approximation was employed under the assumption that the increase in keff is linearly related to the amount of fuel added. Therefore, the study initially analyzes the relationship between keff and the concentration of 235U, as shown in Fig. 2(a). Here, MU-235 refers to the atomic number density of 235U in the fuel salt (atoms/barn·cm). The relationship between keff and MU-235 is concave and approximates linearity only when keff approaches 1.
_2026_02/1001-8042-2026-02-22/alternativeImage/1001-8042-2026-02-22-F002.jpg)
To establish the relationship between keff and MU-235, neutron balance theory was employed. According to this theory, the effective multiplication factor keff of a reactor system can be defined as the ratio of the neutron production rate to the neutron loss rate [39]_2026_02/1001-8042-2026-02-22/alternativeImage/1001-8042-2026-02-22-M002.png)
_2026_02/1001-8042-2026-02-22/alternativeImage/1001-8042-2026-02-22-M003.png)
_2026_02/1001-8042-2026-02-22/alternativeImage/1001-8042-2026-02-22-M004.png)
_2026_02/1001-8042-2026-02-22/alternativeImage/1001-8042-2026-02-22-M005.png)
Owing to the liquid fuel characteristics of salt reactors, loading nuclear fuel is equivalent to increasing the uranium concentration in the fuel salt. Based on the qualitative progression from Eq. (2) to Eq. (5) and the linear regression analysis shown in Fig. 2(b), we found that reactor reactivity (or 1/keff) exhibits a linear relationship with the reciprocal of the uranium concentration. However, in an actual fuel loading process, the neutron absorption reaction cross sections of various nuclides in the reactor may change, and the assumptions embedded in Eq. (4) (i.e., that c01, c02, and Rc are constant) may not hold perfectly. This observation necessitates further research.
Moving forward, this study utilizes neutron balance theory to examine the neutron energy spectrum and the variations in reaction cross sections as the uranium concentration changes. This approach progressively resolves Eq. (3) and provides a theoretical validation of the linear relationship proposed in Eq. (5).
Principle validation
To investigate the relationship between reactivity and uranium concentration using neutron balance theory, we utilized the single-lattice cell model illustrated in Fig. 1(b). The hexagonal single-lattice model features a central channel for the fuel salt surrounded by a graphite moderator. This simplified model omits intricate core configurations, thereby eliminating the need to consider neutron absorption by structural materials [40, 41]. In addition, to neglect the influence of neutron leakage, a white reflective boundary condition was applied to the single-lattice structure. During calculations in SCALE 6.1, the concentration range of UF4 was 0.02–1 mol%, corresponding to a keff range of 0.12–1.42, ensuring a sufficiently broad scope for analysis. Consequently, the neutron absorption reactions in Eq. (3) include only fuel salt and graphite moderator materials, with a leakage rate (L) of zero. The equation can be further expanded as_2026_02/1001-8042-2026-02-22/alternativeImage/1001-8042-2026-02-22-M006.png)
Careful observation of Eq. (6) shows that with an enrichment of 20 wt% for 235U there is a fixed proportional relationship between MU-235 and MU-238. In addition, during the fuel-loading process, variations in the concentrations of nuclides other than uranium can be considered negligible. Moreover, because the fissile material (uranium) has fixed enrichment, the average number of fission neutrons (ν) can be approximated as constant. Therefore, the primary variables on the right-hand side of Eq. (6) are the single-group cross sections of each nuclide and the uranium concentration. Next, we examined the variation in single-group cross sections with uranium concentration, incorporating the neutron energy spectrum, and gradually simplified Eq. (6).
Variations in energy spectrum and cross sections
The single-group cross sections are primarily determined by the neutron energy spectrum and are calculated as follows:_2026_02/1001-8042-2026-02-22/alternativeImage/1001-8042-2026-02-22-M007.png)
Figure 3(a) shows the normalized neutron energy spectra in the fuel region at different uranium concentrations, along with the cross sections of the key neutron absorption reactions in a single lattice. For fissile isotopes, the primary neutron absorption reactions of 235U and 238U are the fission (n, f) and capture (n, γ) reactions. For 6Li, the primary reaction is tritium production via the (n, T) reaction. The dominant nuclear reaction type for other light nuclei is the capture absorption (n, γ) reaction. Additionally, for the nuclides 9Be and 19F, a significant proportion of the absorption occurs via (n, α) reactions in the high-energy region, where neutrons are absorbed to produce 4He particles. It is noted that although the neutron flux in the thermal energy region (E < 1 eV) decreases with increasing uranium concentration, there is a corresponding increase in other energy regions. However, overall, the thermal region remains significantly dominant compared to the fast neutron region, indicating a predominantly thermal spectrum. Furthermore, although the neutron flux in different energy regions varies with uranium concentration, the overall characteristics of the spectrum’s shape remain essentially unchanged. Observe the variation in reaction cross sections for major nuclides with energy in Fig. 3(a). For the two fissile nuclides 235U and 238U, both their fission and capture cross sections in the thermal region follow the 1/v law (i.e.,
_2026_02/1001-8042-2026-02-22/alternativeImage/1001-8042-2026-02-22-F003.jpg)
Based on the analysis of the neutron energy spectrum and neutron absorption reaction cross sections, three main observations can be made:
The neutron energy spectrum is thermal, with the thermal neutron flux (E < 1 eV) significantly higher than the flux at other energies.
The neutron absorption cross sections of major nuclides in the thermal region follow the 1/v law (i.e.,
In the high-energy neutron range, isotopes such as 235U, 238U, and 19F exhibit prominent resonance absorption peaks. Moreover, 9Be and 19F also have significant (n, α) absorption cross sections in the fast neutron energy region.
Based on these three observations and Eq. (7), we can qualitatively infer that the single-group neutron absorption cross sections of the major nuclides may exhibit an approximately linear relationship with the single-group fission cross section of 235U. However, owing to the strong resonance absorption peaks in isotopes such as 235U and 238U, as well as the (n, α) reactions in 9Be and 19F, deviations from strict linearity may occur. To further illustrate this issue, Fig. 3(b) shows the normalized neutron reaction rate versus the energy distribution for the major nuclides under critical conditions with uranium comprising 0.36 mol%. From Fig. 3(b), it can be seen that in the thermal energy region (E < 1 eV), the neutron reaction rates of the major nuclides are ranked as follows: 235U(n, α)> 235U(n, f) > 6Li(n, α) > 12C(n, α) > 7Li(n, α) > 19F(n, α) > 238U(n, α) > 9Be(n, α). For major nuclides such as 235U, 6Li, 12C, and 7Li, the neutron absorption reaction rates in the thermal region are significantly higher than those in other energy regions. When calculating keff via Eq. (6), it is therefore essential to primarily consider the neutron reaction rates in the thermal region. In the resonance energy region, both 238U and 235U undergo significant absorption reactions. For 238U, resonant absorption in the energy range of 1 eV–1 keV constitutes approximately 75% of its total absorption; however, this comprises only about 2% of the overall material absorption. In addition, due to the (n, α) reactions of 9Be and 19F, these nuclides exhibit a notable fraction of their neutron absorption in the fast region—approximately 45% and 19% of their total absorption, respectively. However, these rates are significantly lower than the absorption reaction rates of nuclides such as 235U and 6Li in the thermal region. Therefore, for nuclides that contribute significantly to neutron absorption reactivity, the focus is primarily on thermal absorption reactions, in which the cross sections follow the 1/v law. Although some nuclides also contribute in the resonance and fast regions, their contributions remain relatively small.
To verify the above analysis, we used SCALE 6.1 to calculate the single-group neutron absorption cross sections for the major nuclides and examined their linear relationships with the 235U fission cross section. Figure 4 shows the linear relationship between the single-group absorption cross sections of 235U, 238U, 6Li, 7Li, 9Be, 19F, and 12C versus the single-group fission cross section of 235U. The corresponding coefficient of determination (R2) for each linear fit is provided. As Fig. 4 demonstrates, the neutron absorption cross sections of various nuclides exhibit a strong linear relationship with the fission cross section of 235U. This linear relationship can be expressed as:_2026_02/1001-8042-2026-02-22/alternativeImage/1001-8042-2026-02-22-M008.png)
_2026_02/1001-8042-2026-02-22/alternativeImage/1001-8042-2026-02-22-F004.jpg)
Thus, we can convert all the single-group absorption cross sections in Eq. (6) into expressions based on the fission cross section of 235U. Accordingly, Eq. (6) can be simplified further to_2026_02/1001-8042-2026-02-22/alternativeImage/1001-8042-2026-02-22-M009.png)
_2026_02/1001-8042-2026-02-22/alternativeImage/1001-8042-2026-02-22-M010.png)
Relationship between fission cross section and uranium concentration
In Eq. (6), keff is expressed as a function of cross sections and nuclide concentrations. Using Eq. (8), we established a relationship between the neutron absorption cross sections of the various nuclides and the fission cross section of 235U. Consequently, if the concentration of nonfissile nuclides remains approximately constant, there are two quantities on the right-hand side of Eq. (10) that depend on keff, namely MU-235 and
From Eq. (7), the calculation of the single-group cross section is directly related to the neutron spectrum; thus, the spectrum governs the magnitude of the cross section. Furthermore, variations in the spectrum are primarily driven by fuel loading, underscoring the intrinsic link between the spectrum and uranium concentration. As the uranium concentration increases, neutron absorption strengthens, diminishing the moderator capacity of the fuel salt and resulting in spectrum hardening, as shown in Fig. 3(a). Establishing an explicit relationship between the neutron spectrum and uranium concentration is challenging because it requires solving for the spectrum. Under the free-gas model, the neutron spectrum follows a Maxwell-Boltzmann distribution. However, due to the continuous generation of fission neutrons and their subsequent absorption during moderation, the neutron spectrum shifts toward higher energies [42]. The present approach avoids seeking an analytical solution for the energy spectrum; instead, Eq. (7) is applied to determine the fission cross section, with neutron transport calculations directly providing the energy spectrum. Single-group cross sections are then processed to establish their relationship with uranium concentration using SCALE 6.1. A fitting analysis was conducted to examine the relationship between _2026_02/1001-8042-2026-02-22/alternativeImage/1001-8042-2026-02-22-M011.png)
_2026_02/1001-8042-2026-02-22/alternativeImage/1001-8042-2026-02-22-F005.jpg)
Substituting Eq. (11) into Eq. (10) allows further simplification, yielding_2026_02/1001-8042-2026-02-22/alternativeImage/1001-8042-2026-02-22-M012.png)
It can be observed from the derivation from Eq. (6) to Eq. (2) that several approximations have been employed. These approximations are summarized as follows:
The single-group absorption cross section of the main nuclide is linearly related to the single-group fission cross section of 235U, as shown in Fig. 4 or Eq. (8). In other words, the absorption cross sections of 235U and 238U are approximately proportional to the 235U fission cross section.
The contribution from 238U fission is excluded.
Changes in the concentrations of nuclides other than uranium are neglected.
The average number of neutrons per fission, ν, is assumed constant.
Validation of applicability
In the previous section, the single-lattice model shown in Fig. 1(b) was used to validate Eq. (5). By analyzing the variation in the single-group cross sections with changes in uranium concentration and applying reasonable approximations, we successfully demonstrated a linear relationship between reactivity and the reciprocal of the uranium concentration. However, as shown in Fig. 1(a), a typical reactor core structure includes not only an active core region but also reflector layers and various structural materials. These additional materials absorb neutrons to varying degrees and alter the neutron energy spectrum. Nevertheless, because these structures remain unchanged as the uranium concentration varies, they can be considered, from a physical standpoint, equivalent to a graphite moderation structure. Therefore, Eq. (5) (or Eq. (12)) remains valid for the core model. To validate this conclusion, we simulated and computed the variation in keff with uranium concentration using the core model.
Verification of the linear relationship
Based on the core model shown in Fig. 1(a), we verified the linear relationship between 1/keff and 1/MU-235 under the condition that the volume fraction (VF) and the uranium enrichment (wt) of the molten salt channel in the single-lattice model are identical (i.e., VF = 15% and wt = 20%). Simultaneously, the uranium concentration was expanded from 0.02–1 mol% to 0.02–3 mol%. This section demonstrates the applicability of the aforementioned linear relationships to the core model.
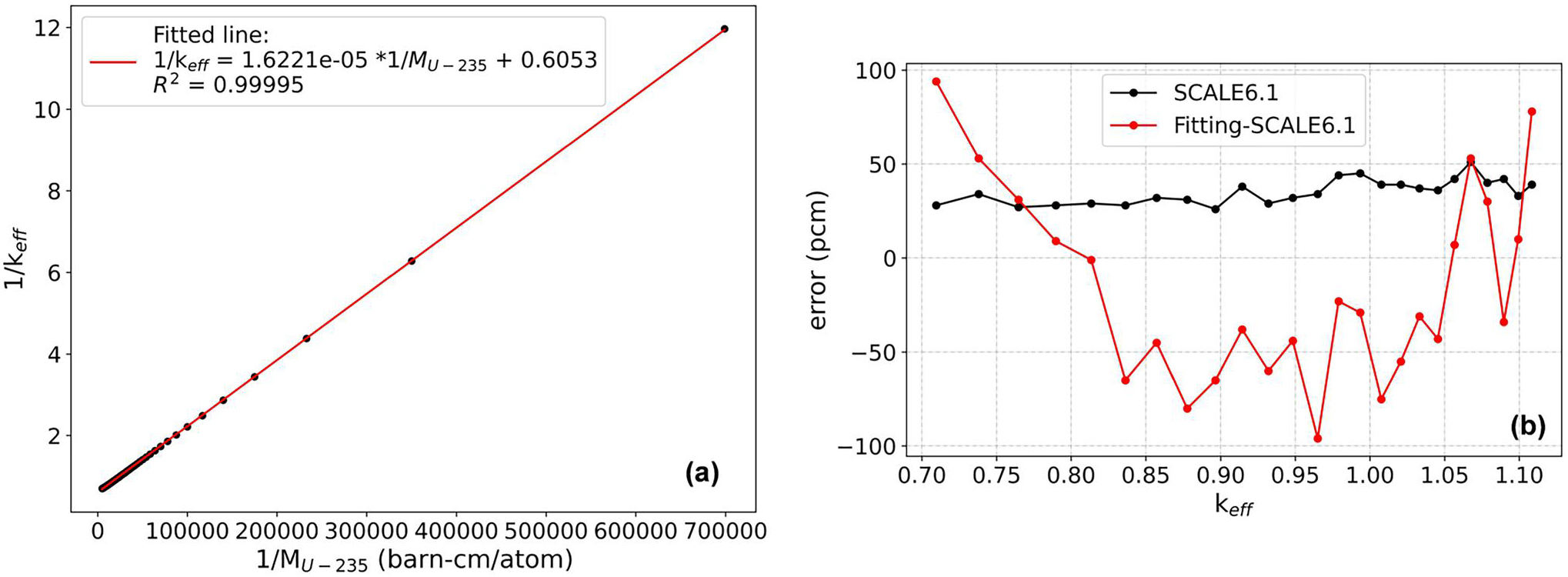
The method involves using SCALE6.1 to calculate the keff of the reactor at different uranium concentrations and establishing the relationship between reactivity and uranium concentration. As shown in Fig. 6(a), 1/keff exhibits a highly linear relationship with the reciprocal of uranium concentration (i.e., 1/MU-235). The fitted coefficient of determination, R2, was 0.99995. Furthermore, with 235U concentrations ranging from 1.4×10-6 to 2.0×10-4 atoms/barn·cm, the keff values span from 0.08 to 1.43, covering nearly all possible fuel loading scenarios. This verified the conclusion that the reactivity derived from the single-lattice model is linearly related to the reciprocal of the uranium concentration.
_2026_02/1001-8042-2026-02-22/alternativeImage/1001-8042-2026-02-22-F006.jpg)
To further illustrate the accuracy of this linear relationship, Fig. 6(b) presents the statistical error in calculating keff directly using the SCALE6.1 program, as well as the relative deviation between keff derived from the linear relationship in Fig. 6(a) and the results calculated using SCALE6.1. It can be observed from Fig. 6(b) that the error in calculating keff with SCALE6.1 is maintained between approximately 30 and 50 pcm. Although the relative deviation between keff calculated using the linear relationship and that from SCALE6.1 fluctuates more significantly, within the range of keff from 0.7 to 1.1 the deviation remains essentially within ±100 pcm. Therefore, Fig. 6(b) directly demonstrates the accuracy of calculating keff using the linear relationships shown in Fig. 6(a) within the allowable error range.
Impact of molten salt volume fraction (VF)
In deriving the linear relationship, the most important approximation is that the neutron absorption cross sections of all nuclides are linearly related to the fission cross section of 235U (approximation condition (1)). The rationale for this approximation is that in graphite-moderated salt reactors the neutron energy spectrum is thermal, which diminishes the impact of resonance and fast neutron absorption reactions. When the fuel composition is unchanged, the neutron spectrum is primarily influenced by the proportion of molten salt in the graphite channels. This section discusses the applicability of the aforementioned linear relationships under different volume fraction (VF) conditions. The verification method involves maintaining a constant enrichment of 235U at 20 wt% and calculating the relationship between keff and uranium concentration at different VFs using SCALE6.1, with VF ranging from 5% to 40%.
First, we observed how the neutron energy spectrum changes as VF varies. Figure 7 shows the normalized neutron flux distribution as a function of energy for different VF values. At each VF and with a constant uranium loading, the corresponding concentration of 235U was 3.81×10-05 atoms/barn·cm. For VF = 15%, keff = 1. Figure 7 indicates that the neutron energy spectrum undergoes significant changes as VF varies. The main effect is that, with increasing VF, the neutron flux decreases in the thermal region (E < 1 eV), while it increases in the intermediate and fast neutron energy regions. Combining these changes with the neutron absorption cross sections from Fig. 3(a), it becomes apparent that a relative increase in the neutron flux in the resonance or fast regions leads to a decrease in the fraction of neutrons that follow the 1/v law. As a result, the linearity between the absorption cross sections and the fission cross section of 235U degrades, meaning that approximation condition (1) no longer holds perfectly. Ultimately, this causes a deviation from the linear relationship between reactivity and 1/MU-235.
_2026_02/1001-8042-2026-02-22/alternativeImage/1001-8042-2026-02-22-F007.jpg)
Figure 8(a) shows the local curves of the relationship between 1/keff and 1/MU-235 for different VF values. As VF increases, the curve gradually bends, with a more pronounced bend at higher VF values. Correspondingly, the determination coefficient (R2) of the linear fit between 1/keff and 1/MU-235 gradually decreases, indicating increasing deviation from linearity. Figure 8(a) directly illustrates that an increase in VF—or equivalently, a hardening of the neutron spectrum—leads to deviation from the linear relationship between reactivity and the reciprocal of the uranium concentration. This deviation is gradual with VF, and the applicability of the linear relationship does not have a strict limit but is mainly related to the error requirements. In general, for a graphite-moderated MSR, the optimal design range for VF is 10–20% [40, 43, 44]. Within this range, the determination coefficient remains greater than 0.9999, indicating a highly linear relationship.
_2026_02/1001-8042-2026-02-22/alternativeImage/1001-8042-2026-02-22-F008.jpg)
Impact of uranium enrichment
As shown in Fig. 3(a), 238U exhibits strong resonance capture cross sections, and its varying content in the fuel salt may result in different relationships between reactivity and uranium concentration. To validate the applicability of the linear relationship in Eq. (3) under various uranium enrichments, we examined the relationship between reactor reactivity and uranium concentration under different enrichments. The verification method involved keeping VF constant at 15% and using SCALE6.1 to calculate the relationship between keff and uranium concentration under different 235U enrichments. In this study, the enrichment of 235U in UF4 ranged from 4 to 20 wt%, and the effect of enrichment variation on the density of UF4 was neglected.
Figure 8(b) shows the relationship between 1/keff and the reciprocal of uranium concentration at different enrichments, along with the determination coefficient (R2) obtained from linear fitting. It is evident that within the range of 4–20 wt% uranium enrichment, a strong linear correlation exists between 1/keff and 1/MU-235 with no deviation from linearity, as seen in Fig. 8(a). The linear correlation coefficients for different enrichments are greater than 0.99995, demonstrating the applicability of this linear relationship across various enrichment conditions. Although the determination coefficients exhibit slight fluctuations, all values exceed 0.99995, indicating that these fluctuations are within the computational precision of the linear fitting and can be attributed to calculation errors. Therefore, we conclude that under various low-enriched uranium conditions, a strong linear relationship exists between reactor reactivity and the reciprocal of uranium concentration. Despite several-fold variations in uranium enrichment, the overall absorption cross section of 238U remains much smaller than the fission cross section of 235U [45]. Thus, changes in enrichment do not significantly affect the calculation of keff using Eq. (6). In contrast, variations in VF have a more pronounced impact by altering the neutron spectrum and affecting the absorption cross sections of all isotopes, including 238U. Consequently, when VF becomes too large, nonlinear deviations from the linear relationship occur. In addition, the comparison of Figs. 8(a) and (b) reveals that, while the intercept of the linear fit varies with uranium enrichment, the slope remains nearly constant. However, at different VF values, both the intercept and slope change. This can be explained by Eq. (12): when uranium enrichment changes, the neutron energy spectrum varies only slightly; therefore, the coefficients ci do not change significantly and the slope remains relatively stable, whereas the intercept, which is related to enrichment, changes accordingly.
232Th/233U fuel
Based on the analysis of 235U/238U fuel, the primary reason for the linear relationship between reactor reactivity and the reciprocal of uranium concentration is that, in the thermal neutron energy region, the neutron absorption cross sections of the main nuclides follow the 1/v law. The fission cross section of 233U is similar to that of 235U and also adheres to the 1/v law. Therefore, the same linear relationship observed in the previous analysis should also apply to 232Th/233U fuel. To verify this conclusion, we examined the relationship between reactor reactivity and uranium concentration for 232Th/233U fuel. In this case, the core model is shown in Fig. 1(a), and the fuel salt composition was 67LiF-33BeF2-(0–8)ThF4-xUF4 (mol%). The ThF4 content ranged from 0 to 8 mol% to validate the applicability of the linear relationship under different thorium loading conditions. Reactivity was adjusted by varying the amount of UF4 (i.e., the value of x) under different thorium loadings. The verification results shown in Fig. 8(c) demonstrate that 1/keff and 1/MU-233 exhibit strong linear relationships under different thorium loadings. This confirms the applicability of the linear relationship to 232Th/233U fuel.
Conclusion
Owing to its liquid fuel characteristics, the graphite-moderated MSR treats the fuel-loading process as equivalent to increasing the uranium concentration in the fuel salt. A corresponding relationship exists among uranium loading, concentration, and reactivity. This study first investigated the variation in the neutron spectrum and reaction cross sections with uranium concentration using a single-lattice cell model. Under certain approximations, a linear relationship was derived between reactor reactivity and the reciprocal of uranium concentration based on neutron balance theory. Subsequently, the applicability of this linear relationship was validated through simulation calculations using the core model. Based on these studies, the following conclusions were drawn:
Due to the thermal neutron spectrum in graphite-moderated MSRs and the fact that, at low energies, the neutron absorption cross sections of various nuclides follow the 1/v law, the single-group neutron absorption cross sections of each nuclide approximately exhibit a linear relationship with the single-group fission cross section of 235U.
The reciprocal of the 235U single-group fission cross section is linearly related to the uranium concentration.
Based on the two premises above, the reactor reactivity is linearly related to the reciprocal of uranium concentration, being this the main conclusion of this tudy.
The linear relationship weakens as the volume fraction of graphite molten salt channels increases. However, within the optimal design range of VF = 10–20%, the coefficient of determination for this linear relationship remains greater than 0.9999, indicating a high degree of linearity.
The linear relationship is minimally affected by uranium 235U enrichment in the range of 4–20 wt%. At VF = 15%, the coefficient of determination remains above 0.99995 across different enrichments, demonstrating a highly linear relationship.
For 232Th/233U fuel, this linear relationship also holds.
The relationship between reactor reactivity and nuclear fuel loading is generally considered complex. Typically, when nuclear fuel loading changes, complex neutron transport calculations must be performed to determine the impact on reactivity, which is both time-consuming and labor-intensive. Moreover, during the fuel-loading process in experiments, reactors are often in a subcritical or deep subcritical state, further complicating reactivity measurements. This study established a simple relationship between reactivity and uranium concentration through simulation analysis, which can be used to calculate or measure reactor reactivity. Furthermore, the analysis effectively links the amount of nuclear fuel loaded to the corresponding reactivity, a relationship that is applicable in various scenarios, such as critical extrapolation during the fuel-loading process. In summary, this study established a simple linear relationship between reactor reactivity and uranium concentration through theoretical analysis and simulation verification. This relationship has significant application value in both theoretical and experimental studies on MSRs. It should be noted that the reactor model used in this study had a single-zone structure (i.e., all lattices shared the same VF); for salt reactors with more complex partition designs, the relationship between reactivity and uranium concentration may take different forms and requires further validation.
Assembly-level analysis on temperature coefficient of reactivity in a graphite-moderated fuel salt reactor fueled with low-enriched uranium
. Nucl. Sci. Tech 34, 70 2023). https://doi.org/10.1007/s41365-023-01216-0Preliminarysafety analysis for a heavy water-moderated molten salt reactor
. Nucl. Sci. Tech 35, 106 2024). https://doi.org/10.1007/s41365-024-01476-4Plutonium utilization in a small modular molten-salt reactor based on a batch fuel reprocessing scheme
. Nucl. Sci. Tech 35, 68 2024). https://doi.org/10.1007/s41365-024-01428-yFlow field effect of delayed neutron precursors in liquid-fueled molten salt reactors
. Nucl. Sci. Tech 33, 96 2022). https://doi.org/10.1007/s41365-022-01084-0Effect of reprocessing on neutrons of a molten chloride salt fast reactor
. Nucl. Sci. Tech 34, 46 2023). https://doi.org/10.1007/s41365-023-01186-3Minor actinides transmutation in thermal, epithermal and fast Molten Salt Reactors with very deep burnup
.Studies of fuel loading pattern optimization for a typical pressurized water reactor (PWR) using improved pivot particle swarm method
. Ann. Nucl. Energy 50, 117 2012). https://doi.org/10.1016/j.anucene.2012.08.007MSRE Design and Operations Report. Part I. Description of Reactor Design. Oak Ridge National Lab. ORNL-TM-728
(1965). https://doi.org/10.2172/4654707Molten salt for advanced energy applications: A review
. Ann. Nucl. Energy 169,Thorium molten salt reactor nuclear energy system (TMSR)
. Molten Salt Reactors and Thorium Energy 531–540 2017). https://doi.org/10.1016/B978-0-08-101126-3.00017-8A neutronic evaluation of a thorium-based molten salt breeder reactor
. Nucl. Eng. Des 421,Investigation of the MSFR core physics and fuel cycle characteristics
. Prog. Nucl. Energy 68, 153 2023). https://doi.org/10.1016/j.pnucene.2013.06.006Molten salt actinide recycler and transforming system without and with Th–U support: Fuel cycle flexibility and key material properties
. Ann. Nucl. Energy 64, 408 2024). https://doi.org/10.1016/j.anucene.2013.09.004Preferred core conceptual design of pebble bed advanced high temperature reactor
. Ann. Nucl. Energy 151,Fluoride-salt-cooled high-temperature reactors: Review of historical milestones, research status, challenges, and outlook
. Renew. Sustain. Energy Rev 161,Zero-power physics experiments on the Molten-Salt Reactor experiment. Oak Ridge National Lab. ORNL-4233
(1968). https://doi.org/10.2172/4558029MSRE design and operations report. PART III. Nuclear analysis. Oak Ridge National Lab. ORNL-TM-730
(1964). https://doi.org/10.2172/4114686Prediction calculations and experiments for the first criticality of the 10 MW High Temperature Gas-cooled Reactor-Test Module
. Nucl. Eng. Des 218, 43 2022). https://doi.org/10.1016/S0029-5493(02)00184-XReactivity measurement methods and the first results of the physical start-up for the nuclear subcritical facility "Neutron Source"
. Ukr. J. Phys 68, 147 2023). https://doi.org/10.15407/ujpe68.3.147A practical subcritical rod worth measurement technique based on the improved neutron source multiplication method
. Nucl. Eng. Technol 56, 1398 2024). https://doi.org/10.1016/j.net.2023.11.044Review and research of the neutron source multiplication method in nuclear critical safety
. Nucl. Technol 149, 122 2005). https://doi.org/10.13182/NT05-2Reactivity calculation in molten salt reactors with inverse kinetics model
. Ann. Nucl. Energy 194,Reactivity worth measurement of the lead target on VENUS-II light water reactor and validation of evaluated nuclear data
. Ann. Nucl. Energy 165,Application of the modified neutron source multiplication method to the prototype FBR Monju
. Ann. Nucl. Energy 51, 94 2013). https://doi.org/10.1016/j.anucene.2012.07.040The first application of modified neutron source multiplication method in subcriticality monitoring based on Monte Carlo
. Nucl. Eng. Technol 52, 477 2020). https://doi.org/10.1016/j.net.2019.08.014Preliminary study on the online reprocessing and refueling scheme for SD-TMS reactor
. J. Phys.: Conf. Ser 1439,Development of a Molten Salt Reactor specific depletion code MODEC
. Ann. Nucl. Energy 124, 88-97 2019). https://doi.org/10.1016/j.anucene.2018.09.032Development of burnup calculation code for pebble-bed high temperature reactor at equilibrium state
. At. Energy Sci. Technol 49, 890 2015). https://doi.org/10.7538/yzk.2015.49.05.0890 (in Chinese)Neutronic calculations of a thermal reactor using the Albedo Method in two energy groups
. Ann. Nucl. Energy 115, 83 2018). https://doi.org/10.1016/j.anucene.2018.01.002Thermodynamic and transport properties for molten salts: correlation equations for critically evaluated density, surface tension, electrical conductance, and viscosity data
. J. Phys. Chem. Ref. Data 17, 311 1988).Assessment of candidate Molten Salt Coolants for the NGNP/NHI heat-transfer loop. Oak Ridge National Lab. ORNL/TM-2006/69
(2006). https://doi.org/10.2172/1360677Density measurements of molten salte
. J. Chem. Eng. Data 68, 1892 2023). https://doi.org/10.1021/acs.jced.3c00171SCALE 6: Comprehensive nuclear safety analysis code system
. Nucl. Technol, 174, 126 2011). https://doi.org/10.13182/NT10-163Study on dynamic characteristics of fission products in 2 MW molten salt reactor
. Nucl. Sci. Tech 31, 17 2020). https://doi.org/10.1007/s41365-020-0730-zStudy on the production characteristics of 131I and 90Sr isotopes in a molten salt reactor
. Nucl. Sci. Tech, 32, 33 2021). https://doi.org/10.1007/s41365-021-00867-1Simulation of industrial processes for control engineers
. 268, 81 1999). https://doi.org/10.1016/B978-075064161-6/50022-5Burnup optimization of once-through molten salt reactors using enriched uranium and thorium
. Nucl. Sci. Tech, 33, 5 2022). https://doi.org/10.1007/s41365-022-00995-2Comparative study on the neutronic performance of thermal and Fast Molten Salt Reactors under once-through fuel cycle
. Int. J. Energy Res 12 1-18 2023). https://doi.org/10.1155/2023/8875215Core optimization for extending the graphite irradiation lifespan in a small modular Thorium-Based Molten Salt Reactor
. J. Nucl. Eng 5, 16 2024). https://doi.org/10.3390/jne5020012Optimization of temperature coefficient and breeding ratio for a graphite-moderated molten salt reactor
. Nucl. Eng. Des 281, 114 2015). https://doi.org/10.1016/j.nucengdes.2014.11.022Research on the effect of the heavy nuclei amount on the temperature reactivity coefficient in a small modular molten salt reactor
. Nucl. Sci. Tech 30, 9 2019). https://doi.org/10.1007/s41365-019-0666-3The authors declare that they have no competing interests.

