Introduction
Light source accelerator is arguably the most active driving force for accelerator development at the moment. Currently, there are two types of workhorses for these sources, storage-ring-based synchrotron radiation sources and linear accelerator (linac)-based free-electron lasers (FELs). They deliver light with high repetition rate and high peak power or brilliance, respectively. We are attempting to develop a new storage-ring-based light source mechanism called steady-state micro-bunching (SSMB) [1-19], which hopefully combines the advantages of these two sources and promises both high repetition and high-power radiation, realizing an accelerator-based fully coherent light source. The schematic layout of the SSMB storage ring and its comparison with the present synchrotron radiation source and FEL are shown in Fig. 1. In a conventional storage ring, the electron bunches are longitudinally focused by one or multiple radio-frequency (RF) cavities, whereas in an SSMB, such bunching systems are replaced by one or several optical laser modulation systems. The wavelength of the laser is six orders of magnitude shorter than that of RF. The bunch length or structure created by the laser is very short; thus, the term microbunching is used. When a beam becomes microbunched, it can radiate coherently and strongly, similar to a laser. However, note that in an SSMB, there is no exponential growth of the radiation power as that in a high-gain FEL [20] or conventional quantum lasers. In this context, the term laser mainly reflects that the radiation is coherent, both transversely and longitudinally. To ensure that the electron beam properties can be preserved, the SSMB radiator length is comparatively short, typically at the meter level, and the peak current of the electron beam in the SSMB is also lower than that in a high-gain FEL. Therefore, the radiation back reaction on the electron beam is not violent and can be balanced by the radiation damping in the ring.
_2026_01/1001-8042-2026-01-2/alternativeImage/1001-8042-2026-01-2-F001.jpg)
Once realized, such an SSMB ring can produce EUV radiation with greatly enhanced power and flux, allowing sub-meV energy resolution in angle-resolved photoemission spectroscopy (ARPES) and providing new opportunities for fundamental physics research, such as revealing key electronic structures in topological materials. A kilowatt (kW)-level EUV source based on this scheme is also promising for EUV lithography for high-volume chip manufacturing. Therefore, the reward for such an SSMB ring is significant. However, there are problems to be investigated and solved on the road of every new concept into reality. To generate coherent EUV radiation in a storage ring, the electron bunch length should reach the nanometer level, which is not a trivial task considering that the typical bunch length in the present electron storage rings is at the millimeter level. This study focused on our efforts to achieve this challenging goal.
The remainder of this paper is organized as follows: In Sect. 2, to build the foundation for the following analysis, we first introduce the generalized Courant-Snyder formalism which applies to a 3D general coupled lattice and present its application in electron storage ring physics. In Sect. 3, based on the formalism, we derive the theoretical minimum longitudinal emittance in an electron storage ring to provide the basis for later investigation, because the SSMB is about obtaining a short bunch length and small longitudinal emittance. Subsequently, in Sect. 4, with a motivation to realize nm-bunch length and high-average-power EUV radiation, we conducted a key analysis of three specific SSMB scenarios, which are, longitudinal weak focusing (LWF), longitudinal strong focusing (LSF), and generalized longitudinal strong focusing (GLSF). A brief summary of the three schemes is provided below. An LWF SSMB ring can be used to generate bunches with a bunch length of a couple of 10 nm; thus, it can be used to generate coherent visible and infrared radiation. From an engineering viewpoint, if we want to push the bunch length to an even shorter value, the required phase slippage factor of the LWF ring will be too small to be realized in practice. For comparison, an LSF SSMB ring can create bunches with a bunch length at the nanometer level, thus generating coherent EUV radiation. However, the required modulation laser power is at the gigawatt (GW) level, which makes the laser modulator, typically consisting of an optical enhancement cavity with an incident laser and an undulator, used to longitudinally focus the electron beam at the laser wavelength scale, can only work at a low duty cycle pulsed mode, thus limiting the average output EUV radiation power. At present, a GLSF SSMB ring is the most promising among the three for obtaining a nm-bunch length with a mild-modulation laser power, thus allowing a high-average-power radiation output. The basic idea of the GLSF is to exploit the ultrasmall vertical emittance in a planar ring and apply partial transverse-longitudinal emittance for bunch compression with a shallow energy modulation strength; thus, a small modulation laser power. The backbone of such a GLSF ring is the transverse-longitudinal coupling (TLC) dynamics, which were analyzed in depth in this study. Following this analysis, before going into concrete examples, we prove three theorems in Sect. 5 for TLC-based bunch-compression or harmonic-generation schemes. Next, we discuss the details of the various TLC schemes in Sect. 6 devoted to energy modulation-based schemes, and Sect. 7 is dedicated to angular modulation-based schemes. We derived the bunching factors and required modulation laser powers. The conclusion from the analysis is that energy modulation-based coupling is favored for our application in the GLSF SSMB. Based on the investigations and other critical physical considerations, an example parameter set of a 1-kW-average-power EUV light source is presented in Sect. 8. A short summary is given in Sect. 9.
Generalized Courant-Snyder Formalism
In this section, we introduce a generalized Courant-Snyder formalism for storage ring physics to provide the basis for the following discussions. The particle state vector
Generalized Beta Functions in a General Coupled Lattice
Inspired by Chao’s solution by linear matrix (SLIM) formalism [21], we introduce the definition of the generalized beta functions in a 3D general coupled storage ring lattice as_2026_01/1001-8042-2026-01-2/alternativeImage/1001-8042-2026-01-2-M001.png)
_2026_01/1001-8042-2026-01-2/alternativeImage/1001-8042-2026-01-2-M002.png)
_2026_01/1001-8042-2026-01-2/alternativeImage/1001-8042-2026-01-2-M003.png)
_2026_01/1001-8042-2026-01-2/alternativeImage/1001-8042-2026-01-2-M004.png)
_2026_01/1001-8042-2026-01-2/alternativeImage/1001-8042-2026-01-2-M005.png)
_2026_01/1001-8042-2026-01-2/alternativeImage/1001-8042-2026-01-2-M006.png)
Similar to the real generalized beta function, here we define the imaginary generalized beta functions as_2026_01/1001-8042-2026-01-2/alternativeImage/1001-8042-2026-01-2-M007.png)
_2026_01/1001-8042-2026-01-2/alternativeImage/1001-8042-2026-01-2-M008.png)
_2026_01/1001-8042-2026-01-2/alternativeImage/1001-8042-2026-01-2-M009.png)
_2026_01/1001-8042-2026-01-2/alternativeImage/1001-8042-2026-01-2-M010.png)
_2026_01/1001-8042-2026-01-2/alternativeImage/1001-8042-2026-01-2-M011.png)
_2026_01/1001-8042-2026-01-2/alternativeImage/1001-8042-2026-01-2-M012.png)
_2026_01/1001-8042-2026-01-2/alternativeImage/1001-8042-2026-01-2-M013.png)
With the help of the generalized Twiss matrices and eigen tunes, the one-turn map M can be parametrized as_2026_01/1001-8042-2026-01-2/alternativeImage/1001-8042-2026-01-2-M014.png)
_2026_01/1001-8042-2026-01-2/alternativeImage/1001-8042-2026-01-2-M015.png)
_2026_01/1001-8042-2026-01-2/alternativeImage/1001-8042-2026-01-2-M016.png)
_2026_01/1001-8042-2026-01-2/alternativeImage/1001-8042-2026-01-2-M017.png)
_2026_01/1001-8042-2026-01-2/alternativeImage/1001-8042-2026-01-2-M018.png)
_2026_01/1001-8042-2026-01-2/alternativeImage/1001-8042-2026-01-2-M019.png)
_2026_01/1001-8042-2026-01-2/alternativeImage/1001-8042-2026-01-2-M020.png)
The beam emittances defined above are based on the eigenmode motion of the particles in the storage ring. Another definition of emittance is based directly on the second moments matrix of a particle beam_2026_01/1001-8042-2026-01-2/alternativeImage/1001-8042-2026-01-2-M021.png)
_2026_01/1001-8042-2026-01-2/alternativeImage/1001-8042-2026-01-2-M022.png)
When the particle beam matches the storage ring lattice, which means the beam distribution at a given location repeats itself turn by turn, we have_2026_01/1001-8042-2026-01-2/alternativeImage/1001-8042-2026-01-2-M023.png)
_2026_01/1001-8042-2026-01-2/alternativeImage/1001-8042-2026-01-2-M024.png)
_2026_01/1001-8042-2026-01-2/alternativeImage/1001-8042-2026-01-2-M025.png)
_2026_01/1001-8042-2026-01-2/alternativeImage/1001-8042-2026-01-2-M026.png)
To ensure that the eigenvectors Ek are uniquely defined all around the ring once they are determined at a given location, we will let_2026_01/1001-8042-2026-01-2/alternativeImage/1001-8042-2026-01-2-M027.png)
_2026_01/1001-8042-2026-01-2/alternativeImage/1001-8042-2026-01-2-M028.png)
_2026_01/1001-8042-2026-01-2/alternativeImage/1001-8042-2026-01-2-M029.png)
_2026_01/1001-8042-2026-01-2/alternativeImage/1001-8042-2026-01-2-M030.png)
_2026_01/1001-8042-2026-01-2/alternativeImage/1001-8042-2026-01-2-M031.png)
_2026_01/1001-8042-2026-01-2/alternativeImage/1001-8042-2026-01-2-M032.png)
_2026_01/1001-8042-2026-01-2/alternativeImage/1001-8042-2026-01-2-M033.png)
Perturbations
After considering the parametrization of a general coupled lattice and the prescribed particle motion in it, let us now add perturbations, that from the lattice and also that from the beam. Assume there is a perturbation K to the one-turn map M, i.e.,_2026_01/1001-8042-2026-01-2/alternativeImage/1001-8042-2026-01-2-M034.png)
_2026_01/1001-8042-2026-01-2/alternativeImage/1001-8042-2026-01-2-M035.png)
For example, given the radiation damping matrix D around the ring, the damping rate of each eigen mode per turn is_2026_01/1001-8042-2026-01-2/alternativeImage/1001-8042-2026-01-2-M036.png)
Apart from the radiation damping, there are also various beam diffusion effects in the ring, such as quantum excitation and intra-beam scattering. Using Eq. (26), once we know the diffusion matrix N around the ring, the emittance growth per turn due to diffusion is_2026_01/1001-8042-2026-01-2/alternativeImage/1001-8042-2026-01-2-M037.png)
_2026_01/1001-8042-2026-01-2/alternativeImage/1001-8042-2026-01-2-M038.png)
_2026_01/1001-8042-2026-01-2/alternativeImage/1001-8042-2026-01-2-M039.png)
_2026_01/1001-8042-2026-01-2/alternativeImage/1001-8042-2026-01-2-M040.png)
Application to Electron Storage Rings
In an electron storage ring, intrinsic diffusion and damping are both caused by the emission of photons, namely, quantum excitation and radiation damping. For quantum excitation, we have all the other components of the diffusion matrix N zero except that_2026_01/1001-8042-2026-01-2/alternativeImage/1001-8042-2026-01-2-M041.png)
For the damping effect, we have two sources: dipole magnets and RF cavity. For a horizontal dipole, we have all the other components of damping matrix D zero except that_2026_01/1001-8042-2026-01-2/alternativeImage/1001-8042-2026-01-2-M042.png)
_2026_01/1001-8042-2026-01-2/alternativeImage/1001-8042-2026-01-2-M043.png)
In an electron storage ring, RF acceleration compensates for the radiation energy loss of electrons. If there are N cavities in the ring, we have_2026_01/1001-8042-2026-01-2/alternativeImage/1001-8042-2026-01-2-M044.png)
_2026_01/1001-8042-2026-01-2/alternativeImage/1001-8042-2026-01-2-M045.png)
_2026_01/1001-8042-2026-01-2/alternativeImage/1001-8042-2026-01-2-M046.png)
_2026_01/1001-8042-2026-01-2/alternativeImage/1001-8042-2026-01-2-M047.png)
_2026_01/1001-8042-2026-01-2/alternativeImage/1001-8042-2026-01-2-M048.png)
_2026_01/1001-8042-2026-01-2/alternativeImage/1001-8042-2026-01-2-M049.png)
The above formulation applies to a 3D general coupled lattice. For a ring without x-y coupling and when the RF cavity is placed at dispersion-free location, we can express the normalized eigenvectors using the classical Courant-Snyder functions [26] α, β, γ and dispersion D and dispersion angle _2026_01/1001-8042-2026-01-2/alternativeImage/1001-8042-2026-01-2-M050.png)
_2026_01/1001-8042-2026-01-2/alternativeImage/1001-8042-2026-01-2-M051.png)
_2026_01/1001-8042-2026-01-2/alternativeImage/1001-8042-2026-01-2-M052.png)
_2026_01/1001-8042-2026-01-2/alternativeImage/1001-8042-2026-01-2-M053.png)
_2026_01/1001-8042-2026-01-2/alternativeImage/1001-8042-2026-01-2-M054.png)
_2026_01/1001-8042-2026-01-2/alternativeImage/1001-8042-2026-01-2-M055.png)
_2026_01/1001-8042-2026-01-2/alternativeImage/1001-8042-2026-01-2-M056.png)
_2026_01/1001-8042-2026-01-2/alternativeImage/1001-8042-2026-01-2-M057.png)
_2026_01/1001-8042-2026-01-2/alternativeImage/1001-8042-2026-01-2-M058.png)
_2026_01/1001-8042-2026-01-2/alternativeImage/1001-8042-2026-01-2-M059.png)
After obtaining the equilibrium emittance, the beam second moments can be obtained by substituting the generalized Twiss matrices from Eq. (51) into Eq. (39). For example,_2026_01/1001-8042-2026-01-2/alternativeImage/1001-8042-2026-01-2-M060.png)
Theoretical Minimum Emittances
After introducing the generalized Courant-Snyder formalism, we applied it to analyze the theoretical minimum longitudinal emittance in an electron storage ring. This work serves as the basis for the following investigation of SSMB, since the longitudinal weak focusing and strong focusing SSMB to be introduced soon are about lowering the equilibrium bunch length and longitudinal emittance in an electron storage ring. For completeness, in this section, we also present an analysis of the theoretical minimum transverse emittance, as it can be treated within a single framework.
Theoretical Minimum Horizontal Emittance
In Eq. (53), we can see that _2026_01/1001-8042-2026-01-2/alternativeImage/1001-8042-2026-01-2-M061.png)
_2026_01/1001-8042-2026-01-2/alternativeImage/1001-8042-2026-01-2-M062.png)
_2026_01/1001-8042-2026-01-2/alternativeImage/1001-8042-2026-01-2-M063.png)
With the evolution of _2026_01/1001-8042-2026-01-2/alternativeImage/1001-8042-2026-01-2-M064.png)
_2026_01/1001-8042-2026-01-2/alternativeImage/1001-8042-2026-01-2-M065.png)
_2026_01/1001-8042-2026-01-2/alternativeImage/1001-8042-2026-01-2-M066.png)
_2026_01/1001-8042-2026-01-2/alternativeImage/1001-8042-2026-01-2-M067.png)
_2026_01/1001-8042-2026-01-2/alternativeImage/1001-8042-2026-01-2-M068.png)
_2026_01/1001-8042-2026-01-2/alternativeImage/1001-8042-2026-01-2-M069.png)
_2026_01/1001-8042-2026-01-2/alternativeImage/1001-8042-2026-01-2-M070.png)
_2026_01/1001-8042-2026-01-2/alternativeImage/1001-8042-2026-01-2-M071.png)
_2026_01/1001-8042-2026-01-2/alternativeImage/1001-8042-2026-01-2-M072.png)
_2026_01/1001-8042-2026-01-2/alternativeImage/1001-8042-2026-01-2-M073.png)
_2026_01/1001-8042-2026-01-2/alternativeImage/1001-8042-2026-01-2-M074.png)
_2026_01/1001-8042-2026-01-2/alternativeImage/1001-8042-2026-01-2-M075.png)
Theoretical Minimum Longitudinal Emittance
We now analyze the theoretical minimum longitudinal emittance. Similar to the horizontal direction, we have_2026_01/1001-8042-2026-01-2/alternativeImage/1001-8042-2026-01-2-M076.png)
_2026_01/1001-8042-2026-01-2/alternativeImage/1001-8042-2026-01-2-M077.png)
_2026_01/1001-8042-2026-01-2/alternativeImage/1001-8042-2026-01-2-M078.png)
_2026_01/1001-8042-2026-01-2/alternativeImage/1001-8042-2026-01-2-M079.png)
_2026_01/1001-8042-2026-01-2/alternativeImage/1001-8042-2026-01-2-M080.png)
_2026_01/1001-8042-2026-01-2/alternativeImage/1001-8042-2026-01-2-M081.png)
_2026_01/1001-8042-2026-01-2/alternativeImage/1001-8042-2026-01-2-M082.png)
_2026_01/1001-8042-2026-01-2/alternativeImage/1001-8042-2026-01-2-M083.png)
_2026_01/1001-8042-2026-01-2/alternativeImage/1001-8042-2026-01-2-M084.png)
_2026_01/1001-8042-2026-01-2/alternativeImage/1001-8042-2026-01-2-M085.png)
_2026_01/1001-8042-2026-01-2/alternativeImage/1001-8042-2026-01-2-M086.png)
Here, we remind the readers that in reality, it may not be easy to reach the optimal conditions Eq. (83) for all dipoles in a ring. This is based on the observation that when we realize Eq. (83) at the dipole center, the dipole as a whole will have a nonzero R56 or more accurately, a nonzero phase slippage. Therefore, to make the longitudinal optics identical in different dipoles, there should be RF or laser modulator kicks between neighboring dipoles; otherwise, the required drift space between each pair of dipoles will be very long to compensate this nonzero phase slippage [7]. It may not be easy to apply too many RF cavities or laser modulators in a ring to manipulate the longitudinal optics, while in the transverse dimension it is straightforward to implement many quadrupoles to manipulate the transverse optics. Instead, we may choose a more practical strategy to realize a small longitudinal emittance, which is to let each half of the bending magnet be isochronous, and the longitudinal optics for each dipole can then be identical. This can be realized by requiring_2026_01/1001-8042-2026-01-2/alternativeImage/1001-8042-2026-01-2-M087.png)
_2026_01/1001-8042-2026-01-2/alternativeImage/1001-8042-2026-01-2-M088.png)
_2026_01/1001-8042-2026-01-2/alternativeImage/1001-8042-2026-01-2-M089.png)
_2026_01/1001-8042-2026-01-2/alternativeImage/1001-8042-2026-01-2-M090.png)
Application of Transverse Gradient Bend
The previous analysis assumed that the transverse gradient of the bending field was zero. We now consider the application of transverse gradient bending (TGB) magnets to lower the horizontal and longitudinal emittances. For simplicity, we considered the case of a constant gradient. The transfer matrix of a sector bending magnet with a constant transverse gradient _2026_01/1001-8042-2026-01-2/alternativeImage/1001-8042-2026-01-2-M091.png)
Horizontal Emittance
Following similar steps presented in the above analysis, we find the minimum value of fx in Eq. (65) is now realized when_2026_01/1001-8042-2026-01-2/alternativeImage/1001-8042-2026-01-2-M092.png)
_2026_01/1001-8042-2026-01-2/alternativeImage/1001-8042-2026-01-2-M093.png)
_2026_01/1001-8042-2026-01-2/alternativeImage/1001-8042-2026-01-2-M094.png)
_2026_01/1001-8042-2026-01-2/alternativeImage/1001-8042-2026-01-2-M095.png)
Longitudinal Emittance
Similarly, using TGB, the minimum value of fz in Eq. (77) is realized when_2026_01/1001-8042-2026-01-2/alternativeImage/1001-8042-2026-01-2-M096.png)
_2026_01/1001-8042-2026-01-2/alternativeImage/1001-8042-2026-01-2-M097.png)
_2026_01/1001-8042-2026-01-2/alternativeImage/1001-8042-2026-01-2-M098.png)
Application of Longitudinal Gradient Bend
We can also apply longitudinal gradient bends (LGBs) to lower the transverse and longitudinal emittances. For simplicity, we studied the case of an LGB consisting of several sub-dipoles, each with a constant bending radius. Furthermore, we assume that each sub-dipole is a sector dipole. The analysis for the case of rectangular dipoles is similar, as long as the impact of the edge angles on the transfer matrix and damping partition is properly handled. We now investigate the case of sector sub-dipoles. For example, we may choose to let the LGB has a symmetric structure_2026_01/1001-8042-2026-01-2/alternativeImage/1001-8042-2026-01-2-M099.png)
Horizontal Emittance
Now, we calculate the theoretical minimum horizontal emittance by invoking LGBs with each structure given in Eq. (99). Still we assume all the LGB setup in the ring and optical functions in each LGB are identical, then_2026_01/1001-8042-2026-01-2/alternativeImage/1001-8042-2026-01-2-M100.png)
_2026_01/1001-8042-2026-01-2/alternativeImage/1001-8042-2026-01-2-M101.png)
Following similar procedures, we find that to obtain the minimum emittance, we still need αx0=0 and _2026_01/1001-8042-2026-01-2/alternativeImage/1001-8042-2026-01-2-M102.png)
_2026_01/1001-8042-2026-01-2/alternativeImage/1001-8042-2026-01-2-M103.png)
_2026_01/1001-8042-2026-01-2/alternativeImage/1001-8042-2026-01-2-M104.png)
_2026_01/1001-8042-2026-01-2/alternativeImage/1001-8042-2026-01-2-M105.png)
_2026_01/1001-8042-2026-01-2/alternativeImage/1001-8042-2026-01-2-M106.png)
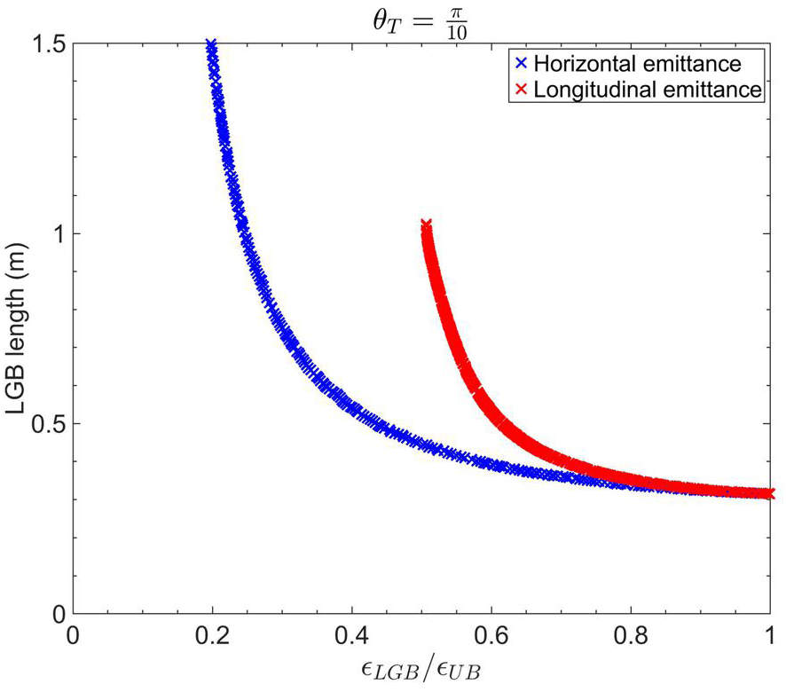
The next question is: what is the optimal combination of
The optimization result of a specific case where
_2026_01/1001-8042-2026-01-2/alternativeImage/1001-8042-2026-01-2-F002.jpg)
Longitudinal Emittance
Similarly, for the longitudinal emittance we have_2026_01/1001-8042-2026-01-2/alternativeImage/1001-8042-2026-01-2-M107.png)
_2026_01/1001-8042-2026-01-2/alternativeImage/1001-8042-2026-01-2-M108.png)
_2026_01/1001-8042-2026-01-2/alternativeImage/1001-8042-2026-01-2-M109.png)
_2026_01/1001-8042-2026-01-2/alternativeImage/1001-8042-2026-01-2-M110.png)
Similar to what was presented previously about lowering the transverse emittance, we also apply numerical optimization to choose a better combination of ρi and θi for lowering the longitudinal emittance. Presented in Fig. 2 is the result of one specific case where
Steady-State Micro-Bunching Storage Rings
In this section, based on the theoretical minimum emittance derived in the last section, we conduct a key analysis of three specific SSMB scenarios to realize nanometer bunch length and high-average-power EUV radiation, i.e., longitudinal weak focusing (LWF), longitudinal strong focusing (LSF), and generalized longitudinal strong focusing (GLSF). The analysis aims to answer the question of why GLSF SSMB is the present choice for realizing high-average-power EUV radiation. Before going into the details, here first we use Table 1 and Fig. 3 to briefly summarize the characteristics of these three scenarios. Note that in Fig. 3, the beam distribution in the longitudinal phase space is that of the microbunch, whose length is in the laser wavelength range. We also remind the readers that in the figure, the energy chirp strength in GLSF is much smaller than that of LSF. The physical reason should be clear with the analysis in this section unfolded.
| LWF | |
|
2D phase space dynamics |
| LSF | |
|
2D phase space dynamics |
| GLSF | - | |
4D or 6D phase space dynamics |
_2026_01/1001-8042-2026-01-2/alternativeImage/1001-8042-2026-01-2-F003.jpg)
In all the example calculations to be shown in the following part of this paper, we set the electron energy to be E0=600 MeV and modulation laser wavelength to be λL=1064 nm. This beam energy was selected because it is appropriate for EUV generation using an undulator as a radiator. On one hand, it is not too high; otherwise, the laser modulation will become more difficult, which means that more laser power is required to imprint a given modulation strength. However, it is not too low; otherwise, intra-beam scattering (IBS) could become too severe. Actually as we will see in Sect. 8, IBS is a fundamental issue in SSMB storage rings which require at least one of the three eigen emittances to be small. The reason for choosing this laser wavelength is due to the fact that it is the common wavelength range for a high-power optical enhancement cavity, which is used together with an undulator to form the laser modulator of the SSMB.
Longitudinal Weak Focusing
We now begin the quantitative analysis. We begin with a longitudinal weak focusing (LWF) SSMB ring. In a LWF ring with a single laser modulator (LM) as shown in Fig. 3, the single-particle longitudinal dynamics turn by turn is modeled as_2026_01/1001-8042-2026-01-2/alternativeImage/1001-8042-2026-01-2-M111.png)
_2026_01/1001-8042-2026-01-2/alternativeImage/1001-8042-2026-01-2-M112.png)
_2026_01/1001-8042-2026-01-2/alternativeImage/1001-8042-2026-01-2-M113.png)
_2026_01/1001-8042-2026-01-2/alternativeImage/1001-8042-2026-01-2-M114.png)
_2026_01/1001-8042-2026-01-2/alternativeImage/1001-8042-2026-01-2-M115.png)
To achieve the desired bunch length, according to Eq. (87) we need _2026_01/1001-8042-2026-01-2/alternativeImage/1001-8042-2026-01-2-M116.png)
Longitudinal Strong Focusing
After discussing the LWF SSMB ring, we now begin the analysis of the LSF. First, we observe that the above analysis of the LWF SSMB considers the case with only a single LM. When there are multiple LMs, the longitudinal dynamics are similar to those of multiple quadrupoles in the transverse dimension, and the beam dynamics can have more possibilities. For example, a longitudinal strong focusing scheme can be invoked, similar to its transverse counterpart, which is the foundation of modern high-energy accelerators. Here, we use a setup with two LMs for the SSMB as an example to show the scheme of manipulating βz around the ring using the strong focusing regime. The schematic layout of the ring is illustrated in Fig. 4. The treatment of cases with more LMs is similar.
_2026_01/1001-8042-2026-01-2/alternativeImage/1001-8042-2026-01-2-F004.jpg)
We divide the ring into five sections from the transfer matrix viewpoint, i.e., three longitudinal drifts (R56) and two LM kicks (h), with the linear transfer matrices of the state vector in the longitudinal dimension _2026_01/1001-8042-2026-01-2/alternativeImage/1001-8042-2026-01-2-M117.png)
_2026_01/1001-8042-2026-01-2/alternativeImage/1001-8042-2026-01-2-M118.png)
With the primary goal of presenting the principle, instead of a detailed design, here for simplicity, we focus on one special case: _2026_01/1001-8042-2026-01-2/alternativeImage/1001-8042-2026-01-2-M119.png)
_2026_01/1001-8042-2026-01-2/alternativeImage/1001-8042-2026-01-2-M120.png)
We remind the readers that the analysis above in this subsection about LSF has been presented in Ref. [17] and is presented here again for completeness of the paper. We now attempt to gain further insight. The longitudinal beta function at the radiator is_2026_01/1001-8042-2026-01-2/alternativeImage/1001-8042-2026-01-2-M121.png)
_2026_01/1001-8042-2026-01-2/alternativeImage/1001-8042-2026-01-2-M122.png)
_2026_01/1001-8042-2026-01-2/alternativeImage/1001-8042-2026-01-2-M123.png)
_2026_01/1001-8042-2026-01-2/alternativeImage/1001-8042-2026-01-2-M124.png)
_2026_01/1001-8042-2026-01-2/alternativeImage/1001-8042-2026-01-2-M125.png)
_2026_01/1001-8042-2026-01-2/alternativeImage/1001-8042-2026-01-2-M126.png)
_2026_01/1001-8042-2026-01-2/alternativeImage/1001-8042-2026-01-2-M127.png)
We now investigate the required energy chirp strength and modulation laser power based on this analysis. We assume that in an LSF ring, the longitudinal emittance is dominated by quantum excitation in the ring dipoles. This assumption will be justified later to determine whether it is the case. Furthermore, we assume that the average longitudinal beta function at the dipoles equals that at the modulator, i.e., _2026_01/1001-8042-2026-01-2/alternativeImage/1001-8042-2026-01-2-M128.png)
_2026_01/1001-8042-2026-01-2/alternativeImage/1001-8042-2026-01-2-M129.png)
As mentioned in Sect. 1, a short bunch can generate coherent radiation. The parameter used to quantify the capability of beam for coherent radiation generation is called bunching factor, and in the 1D case is defined as_2026_01/1001-8042-2026-01-2/alternativeImage/1001-8042-2026-01-2-M130.png)
_2026_01/1001-8042-2026-01-2/alternativeImage/1001-8042-2026-01-2-M131.png)
_2026_01/1001-8042-2026-01-2/alternativeImage/1001-8042-2026-01-2-M132.png)
If ϵz=4 pm, to get _2026_01/1001-8042-2026-01-2/alternativeImage/1001-8042-2026-01-2-M133.png)
_2026_01/1001-8042-2026-01-2/alternativeImage/1001-8042-2026-01-2-M134.png)
_2026_01/1001-8042-2026-01-2/alternativeImage/1001-8042-2026-01-2-M135.png)
We remind the readers that there is a subtle point in an LSF SSMB ring if we consider the nonlinear sinusoidal modulation waveform, since the dynamical system is then strongly chaotic and requires careful analysis to ensure a sufficiently large stable region for particle motion in the longitudinal phase space. More details on this respect can be found in Ref. [18].
For the completeness of discussion, let us evaluate the contribution of modulator undulators to the longitudinal emittance in our above example case, since there is also quantum excitation at the modulators. The quantum excitation contributions of two modulators to ϵz in a LSF ring are_2026_01/1001-8042-2026-01-2/alternativeImage/1001-8042-2026-01-2-M136.png)
_2026_01/1001-8042-2026-01-2/alternativeImage/1001-8042-2026-01-2-M137.png)
_2026_01/1001-8042-2026-01-2/alternativeImage/1001-8042-2026-01-2-M138.png)
The above evaluation of the longitudinal emittance contribution indicates that a weaker or shorter modulator should be used. Since our desired longitudinal emittance is _2026_01/1001-8042-2026-01-2/alternativeImage/1001-8042-2026-01-2-M139.png)
Note that in this updated parameter choice, there is still one issue that needs to be addressed. In the evaluation of the quantum excitation contribution of modulators to the longitudinal emittance, we implicitly assumed that the longitudinal beta function did not change inside it. This is not strictly true. The undulator itself has an
With all the subtle points carefully handled, the LSF, as analyzed above, can realize the desired nm bunch length and thus generate coherent EUV radiation. The main issue with such an EUV source is that the required modulation laser power (GW level) is too high, and the optical enhancement cavity can only work in low-duty-cycle pulsed mode, thus limiting the average EUV output power.
Generalized Longitudinal Strong Focusing
The previous analysis of the LWF and LSF led us to consider the generalized longitudinal strong focusing (GLSF) scheme [9]. The basic idea of the GLSF is to take advantage of the ultrasmall natural vertical emittance in a planar electron storage ring. More specifically, we will apply a partial transverse-longitudinal emittance exchange in the optical laser wavelength range to achieve efficient microbunching generation. As shown in Fig. 3, the schematic setup of a GLSF ring is very similar to that of an LSF ring. However, as stressed before, the energy chirp strength required in GLSF is much smaller than that in the LSF scheme, which means that the required modulation laser power can also be smaller. A sharp reader may also notice that in Fig. 3, the longitudinal phase space area of the beam is not conserved in the bunch compression or harmonic generation section of a GLSF ring. Fundamental physical laws, such as Liouville’s theorem, cannot be violated in a symplectic system. The reason for this apparent “contradiction" is that GLSF invokes 4D or 6D phase space dynamics, as summarized in Table 1, and what is conserved are the eigen emittances, instead of the projected emittances. It should be noted that in the plot, the phase space rotation direction in the GLSF scheme is reversed after the radiator compared to that before the radiator, whereas this is not the case in the LSF scheme. In other words, in the GLSF, we choose to make the upstream and downstream modulations cancel each other. In this sense, this setup is a special case of the reversible seeding scheme of the SSMB [32]. The reason for this is that we want to make the system transverse-longitudinal coupled only in a limited local region in the ring, the so-called GLSF section, such that we can maintain
After this general introduction of the GLSF scheme, we now appreciate in a more physical way why GLSF could be favored compared to LSF, in lowering the required modulation laser power. The key is that the LSF has a contribution of ϵz from both the LSF section and the ring dipoles, while the GLSF has only a contribution of ϵy from the GLSF section, because
Now, we explain the above argument more clearly using formulas. As we will show in the following section, more specifically Eq. (150), in GLSF at best case we have_2026_01/1001-8042-2026-01-2/alternativeImage/1001-8042-2026-01-2-M140.png)
_2026_01/1001-8042-2026-01-2/alternativeImage/1001-8042-2026-01-2-M141.png)
_2026_01/1001-8042-2026-01-2/alternativeImage/1001-8042-2026-01-2-M142.png)
Taking the approximation _2026_01/1001-8042-2026-01-2/alternativeImage/1001-8042-2026-01-2-M143.png)
_2026_01/1001-8042-2026-01-2/alternativeImage/1001-8042-2026-01-2-M144.png)
Short Summary
From the analysis in this section, our tentative conclusion is that an LWF SSMB ring can be used to generate bunches with a couple of 10 nm bunch lengths, thus generating coherent visible and infrared radiation. If we want to push the bunch length to an even shorter range, the required phase slippage factor of the ring will be too small from an engineering perspective. An LSF SSMB ring can create bunches with a bunch length at the nanometer level, thus generating coherent EUV radiation. However, the required modulation laser power is at the GW level, and the optical enhancement cavity can only work at a low duty cycle pulsed mode, thus limiting the average output EUV radiation power. At present, a GLSF SSMB ring is the most promising among these three schemes to realize nm bunch length with a smaller modulation laser power compared to LSF SSMB, thus allowing a higher average power for EUV radiation generation.
Transverse-Longitudinal Coupling for Bunch Compression and Harmonic Generation
In the following sections, we will discuss the GLSF scheme in detail; specifically, we will systematically investigate the backbone of a GLSF SSMB storage ring, the transverse-longitudinal phase space coupling dynamics. As the first step, in this section, we present three theorems or inequalities that dictate such TLC-based bunch-compression or harmonic-generation schemes. If the initial bunch is longer than the modulation RF or laser wavelength, then the compression of the bunch or microbunch can be viewed as a harmonic generation scheme. Therefore, in this study, we considered bunch compression and harmonic generation to be the same thing in essence. We remind the readers that the theorems presented here are generalizations of those presented in Refs. [17, 33] from the 4D phase space to the 6D phase space. These formal mathematical relations will be useful in our later detailed study of a GLSF SSMB light source.
Problem Definition
First, let us define the problem that we are trying to solve. We assume ϵy is the small eigen-emittance we want to exploit. The case of using ϵx is similar. The schematic layout of the TLC-based bunch compression section is shown in Fig. 5. Suppose the beam at the entrance of the bunch compression section is x-y-z decoupled, with its second moments matrix given by_2026_01/1001-8042-2026-01-2/alternativeImage/1001-8042-2026-01-2-M145.png)
_2026_01/1001-8042-2026-01-2/alternativeImage/1001-8042-2026-01-2-F005.jpg)
We divide such a bunch compression section into three parts, with their symplectic transfer matrices given by_2026_01/1001-8042-2026-01-2/alternativeImage/1001-8042-2026-01-2-M146.png)
_2026_01/1001-8042-2026-01-2/alternativeImage/1001-8042-2026-01-2-M147.png)
_2026_01/1001-8042-2026-01-2/alternativeImage/1001-8042-2026-01-2-M148.png)
Theorems and Proof
Theorems
Given the above problem definition, and assuming that the modulation kick map M2 is a thin-lens one, we have three theorems that dictate the relation between the modulator kick strength and the optical functions at the modulator and radiator, respectively.
Theorem 1: If_2026_01/1001-8042-2026-01-2/alternativeImage/1001-8042-2026-01-2-M149.png)
_2026_01/1001-8042-2026-01-2/alternativeImage/1001-8042-2026-01-2-M150.png)
Theorem 2: If_2026_01/1001-8042-2026-01-2/alternativeImage/1001-8042-2026-01-2-M151.png)
_2026_01/1001-8042-2026-01-2/alternativeImage/1001-8042-2026-01-2-M152.png)
Theorem 3: If_2026_01/1001-8042-2026-01-2/alternativeImage/1001-8042-2026-01-2-M153.png)
_2026_01/1001-8042-2026-01-2/alternativeImage/1001-8042-2026-01-2-M154.png)
Proof
Here, we present the details of the proof of Theorem 1. The proof of the other two is similar. From the problem definition, for σzR to be independent of ϵx and ϵz, we need_2026_01/1001-8042-2026-01-2/alternativeImage/1001-8042-2026-01-2-M155.png)
_2026_01/1001-8042-2026-01-2/alternativeImage/1001-8042-2026-01-2-M156.png)
_2026_01/1001-8042-2026-01-2/alternativeImage/1001-8042-2026-01-2-M157.png)
_2026_01/1001-8042-2026-01-2/alternativeImage/1001-8042-2026-01-2-M158.png)
_2026_01/1001-8042-2026-01-2/alternativeImage/1001-8042-2026-01-2-M159.png)
_2026_01/1001-8042-2026-01-2/alternativeImage/1001-8042-2026-01-2-M160.png)
_2026_01/1001-8042-2026-01-2/alternativeImage/1001-8042-2026-01-2-M161.png)
_2026_01/1001-8042-2026-01-2/alternativeImage/1001-8042-2026-01-2-M162.png)
Dragt’s Minimum Emittance Theorem
Theorem one in Eq. (150) can also be expressed as_2026_01/1001-8042-2026-01-2/alternativeImage/1001-8042-2026-01-2-M163.png)
_2026_01/1001-8042-2026-01-2/alternativeImage/1001-8042-2026-01-2-M164.png)
_2026_01/1001-8042-2026-01-2/alternativeImage/1001-8042-2026-01-2-M165.png)
_2026_01/1001-8042-2026-01-2/alternativeImage/1001-8042-2026-01-2-M166.png)
Equation (164) is actually a manifestation of the classical uncertainty principle [34], which states that_2026_01/1001-8042-2026-01-2/alternativeImage/1001-8042-2026-01-2-M167.png)
Actually there is a stronger inequality compared to the classical uncertainty principle, i.e., the minimum emittance theorem [34], which states that the projected emittance cannot be smaller than the minimum one among the three eigen emittances,_2026_01/1001-8042-2026-01-2/alternativeImage/1001-8042-2026-01-2-M168.png)
Theorems Cast in Another Form
As another way to appreciate the result, here we cast the theorems in a form using the generalized beta functions, as introduced in Sect. 2. According to definition, we have_2026_01/1001-8042-2026-01-2/alternativeImage/1001-8042-2026-01-2-M169.png)
Theorem 1: If M2 is as shown in Eq. (149), then_2026_01/1001-8042-2026-01-2/alternativeImage/1001-8042-2026-01-2-M170.png)
Theorem 2: If M2 is as shown in Eq. (151), then_2026_01/1001-8042-2026-01-2/alternativeImage/1001-8042-2026-01-2-M171.png)
Theorem 3: If M2 is as shown in Eq. (153), then_2026_01/1001-8042-2026-01-2/alternativeImage/1001-8042-2026-01-2-M172.png)
_2026_01/1001-8042-2026-01-2/alternativeImage/1001-8042-2026-01-2-M173.png)
_2026_01/1001-8042-2026-01-2/alternativeImage/1001-8042-2026-01-2-M174.png)
_2026_01/1001-8042-2026-01-2/alternativeImage/1001-8042-2026-01-2-M175.png)
_2026_01/1001-8042-2026-01-2/alternativeImage/1001-8042-2026-01-2-M176.png)
_2026_01/1001-8042-2026-01-2/alternativeImage/1001-8042-2026-01-2-M177.png)
_2026_01/1001-8042-2026-01-2/alternativeImage/1001-8042-2026-01-2-M178.png)
_2026_01/1001-8042-2026-01-2/alternativeImage/1001-8042-2026-01-2-M179.png)
Energy Modulation-Based Coupling Schemes
After introducing the three formal theorems, we conduct a more detailed analysis of the TLC-based bunch compression or microbunching generation schemes. We grouped these schemes into two categories, i.e., energy modulation-based and angular modulation-based schemes. They correspond to the cases of Theorem One and Two presented in the previous section. In this section, we focus on energy modulation-based schemes, and the next section is dedicated to angular modulation-based schemes. The physical realization corresponding to the case of Theorem Three is not as straightforward as the cases of Theorem One and Two, and we do not expand its discussion in this paper.
Form Function and Bunching Factor
General Formula
For coherent radiation generation, a parameter of vital importance is the bunching factor of the electron beam. First, we derive the bunching factor of the energy-modulation based TLC microbunching schemes. The mathematical model was formulated as follows:
6D particle state vector:_2026_01/1001-8042-2026-01-2/alternativeImage/1001-8042-2026-01-2-M180.png)
_2026_01/1001-8042-2026-01-2/alternativeImage/1001-8042-2026-01-2-M181.png)
_2026_01/1001-8042-2026-01-2/alternativeImage/1001-8042-2026-01-2-M182.png)
_2026_01/1001-8042-2026-01-2/alternativeImage/1001-8042-2026-01-2-M183.png)
_2026_01/1001-8042-2026-01-2/alternativeImage/1001-8042-2026-01-2-M184.png)
The classical 1D bunching factor or form factor used in literature is a specific point in our defined FF, i.e., with _2026_01/1001-8042-2026-01-2/alternativeImage/1001-8042-2026-01-2-M185.png)
Now, we derive the form function and bunching factor for single-stage energy modulation-based microbunching schemes. A lumped description of the laser-induced energy modulation can be written as:_2026_01/1001-8042-2026-01-2/alternativeImage/1001-8042-2026-01-2-M186.png)
_2026_01/1001-8042-2026-01-2/alternativeImage/1001-8042-2026-01-2-M187.png)
_2026_01/1001-8042-2026-01-2/alternativeImage/1001-8042-2026-01-2-M188.png)
_2026_01/1001-8042-2026-01-2/alternativeImage/1001-8042-2026-01-2-M189.png)
The above formula is general and applies to an arbitrary initial beam distribution. If the initial beam distribution is Gaussian in the 6D phase space,_2026_01/1001-8042-2026-01-2/alternativeImage/1001-8042-2026-01-2-M190.png)
_2026_01/1001-8042-2026-01-2/alternativeImage/1001-8042-2026-01-2-M191.png)
_2026_01/1001-8042-2026-01-2/alternativeImage/1001-8042-2026-01-2-M192.png)
HGHG
In many applications, a classical 1D bunching factor suffices. With _2026_01/1001-8042-2026-01-2/alternativeImage/1001-8042-2026-01-2-M193.png)
_2026_01/1001-8042-2026-01-2/alternativeImage/1001-8042-2026-01-2-M194.png)
_2026_01/1001-8042-2026-01-2/alternativeImage/1001-8042-2026-01-2-M195.png)
TLC-based Microbunching
Now, let us consider the case of nonzero _2026_01/1001-8042-2026-01-2/alternativeImage/1001-8042-2026-01-2-M196.png)
_2026_01/1001-8042-2026-01-2/alternativeImage/1001-8042-2026-01-2-M197.png)
_2026_01/1001-8042-2026-01-2/alternativeImage/1001-8042-2026-01-2-M198.png)
_2026_01/1001-8042-2026-01-2/alternativeImage/1001-8042-2026-01-2-M199.png)
_2026_01/1001-8042-2026-01-2/alternativeImage/1001-8042-2026-01-2-M200.png)
_2026_01/1001-8042-2026-01-2/alternativeImage/1001-8042-2026-01-2-M201.png)
_2026_01/1001-8042-2026-01-2/alternativeImage/1001-8042-2026-01-2-M202.png)
_2026_01/1001-8042-2026-01-2/alternativeImage/1001-8042-2026-01-2-M203.png)
_2026_01/1001-8042-2026-01-2/alternativeImage/1001-8042-2026-01-2-M204.png)
If the modulation waveform is linear, according to Eq. (158), the RMS bunch length at the modulator and radiator are given by_2026_01/1001-8042-2026-01-2/alternativeImage/1001-8042-2026-01-2-M205.png)
When _2026_01/1001-8042-2026-01-2/alternativeImage/1001-8042-2026-01-2-M206.png)
Modulation Strength
After deriving the bunching factor, we derived the formula for the modulation strength, given the laser, electron, and undulator parameters. This is necessary for quantitative analysis and comparison.
A Normally Incident Laser
The most common method of imprinting energy modulation on an electron beam at the laser wavelength is to use a TEM00 mode laser that resonates with the electrons in an undulator. In this study, we used a planar undulator as the modulator. A helical undulator can also be applied for energy modulation; however, because we want to preserve the ultrasmall vertical emittance, we need to avoid x-y coupling as much as possible. Thus, a planar undulator might be preferred. The electromagnetic field of a TEM00 mode Gaussian laser polarized in the horizontal plane is [36]_2026_01/1001-8042-2026-01-2/alternativeImage/1001-8042-2026-01-2-M207.png)
_2026_01/1001-8042-2026-01-2/alternativeImage/1001-8042-2026-01-2-M208.png)
The relationship between the peak electric field Ex0 and the laser peak power PL is given by_2026_01/1001-8042-2026-01-2/alternativeImage/1001-8042-2026-01-2-M209.png)
_2026_01/1001-8042-2026-01-2/alternativeImage/1001-8042-2026-01-2-M210.png)
_2026_01/1001-8042-2026-01-2/alternativeImage/1001-8042-2026-01-2-M211.png)
_2026_01/1001-8042-2026-01-2/alternativeImage/1001-8042-2026-01-2-M212.png)
_2026_01/1001-8042-2026-01-2/alternativeImage/1001-8042-2026-01-2-M213.png)
_2026_01/1001-8042-2026-01-2/alternativeImage/1001-8042-2026-01-2-M214.png)
_2026_01/1001-8042-2026-01-2/alternativeImage/1001-8042-2026-01-2-M215.png)
_2026_01/1001-8042-2026-01-2/alternativeImage/1001-8042-2026-01-2-M216.png)
_2026_01/1001-8042-2026-01-2/alternativeImage/1001-8042-2026-01-2-M217.png)
Given the electron prescribed motion and laser electric field, the laser and electron exchange energy according to_2026_01/1001-8042-2026-01-2/alternativeImage/1001-8042-2026-01-2-M218.png)
_2026_01/1001-8042-2026-01-2/alternativeImage/1001-8042-2026-01-2-M219.png)
_2026_01/1001-8042-2026-01-2/alternativeImage/1001-8042-2026-01-2-M220.png)
_2026_01/1001-8042-2026-01-2/alternativeImage/1001-8042-2026-01-2-M221.png)
_2026_01/1001-8042-2026-01-2/alternativeImage/1001-8042-2026-01-2-M222.png)
_2026_01/1001-8042-2026-01-2/alternativeImage/1001-8042-2026-01-2-F006.jpg)
Dual-Tilted-Laser for Energy Modulation
Now with a hope to increase the energy modulation strength with a given laser power, we can use a configuration of crossing two lasers for energy modulation. The basic idea is that if two crossing lasers can double the energy modulation strength of a single laser, then the effect is similar to that induced by a single laser with a laser power four times larger. Our calculation shows that indeed dual-tilted-laser (DTL) can induce a larger energy modulation compared to that of a single laser, but the issue is that the required crossing angle (less than 2 mrad) is too small from an engineering viewpoint. We remind the readers that we can boost the bunching factor and thus the radiation power by adding one or more high-harmonic modulation in addition to the fundamental-frequency modulation, as discussed in Ref. [33]. Here in this paper we focus on the case of using a fundamental-frequency modulation only.
The analysis is presented in the following sections. First, we consider the case of two lasers crossing in the y-z plane. The laser field of an oblique TEM00 laser is given by first replacing the physical coordinate with the rotated coordinates_2026_01/1001-8042-2026-01-2/alternativeImage/1001-8042-2026-01-2-M223.png)
_2026_01/1001-8042-2026-01-2/alternativeImage/1001-8042-2026-01-2-M224.png)
_2026_01/1001-8042-2026-01-2/alternativeImage/1001-8042-2026-01-2-M225.png)
_2026_01/1001-8042-2026-01-2/alternativeImage/1001-8042-2026-01-2-M226.png)
_2026_01/1001-8042-2026-01-2/alternativeImage/1001-8042-2026-01-2-M227.png)
_2026_01/1001-8042-2026-01-2/alternativeImage/1001-8042-2026-01-2-M228.png)
For effective laser-electron interaction, the off-axis resonance condition now is_2026_01/1001-8042-2026-01-2/alternativeImage/1001-8042-2026-01-2-M229.png)
_2026_01/1001-8042-2026-01-2/alternativeImage/1001-8042-2026-01-2-M230.png)
_2026_01/1001-8042-2026-01-2/alternativeImage/1001-8042-2026-01-2-M231.png)
_2026_01/1001-8042-2026-01-2/alternativeImage/1001-8042-2026-01-2-M232.png)
_2026_01/1001-8042-2026-01-2/alternativeImage/1001-8042-2026-01-2-M233.png)
_2026_01/1001-8042-2026-01-2/alternativeImage/1001-8042-2026-01-2-M234.png)
_2026_01/1001-8042-2026-01-2/alternativeImage/1001-8042-2026-01-2-M235.png)
_2026_01/1001-8042-2026-01-2/alternativeImage/1001-8042-2026-01-2-M236.png)
_2026_01/1001-8042-2026-01-2/alternativeImage/1001-8042-2026-01-2-F007.jpg)
Now, we can use the derived formula to calculate the energy chirp strength induced by the DTL. First we consider the case of keeping λu fixed when changing θ, then the off-axis resonant condition leads to the undulator parameter as a function of θ given by_2026_01/1001-8042-2026-01-2/alternativeImage/1001-8042-2026-01-2-M237.png)
_2026_01/1001-8042-2026-01-2/alternativeImage/1001-8042-2026-01-2-F008.jpg)
_2026_01/1001-8042-2026-01-2/alternativeImage/1001-8042-2026-01-2-F009.jpg)
The previous calculation assumes λu remains unchanged when we adjust the incident angle θ. This will result in a limited region of θ to fulfill the resonant condition, as shown in Fig. 8. We now conduct the calculation by assuming that the peak magnetic field B0 remains unchanged when we adjust θ. Put the expression of undulator parameter Eq. (211) in the off-axis resonant condition Eq. (230), we have_2026_01/1001-8042-2026-01-2/alternativeImage/1001-8042-2026-01-2-M238.png)
_2026_01/1001-8042-2026-01-2/alternativeImage/1001-8042-2026-01-2-M239.png)
_2026_01/1001-8042-2026-01-2/alternativeImage/1001-8042-2026-01-2-M240.png)
For example, if λL=1064 nm and B0=1.2 T, then λu as a function of θ for the case of E0=600 MeV is shown in Fig. 10. Note that in this case,
_2026_01/1001-8042-2026-01-2/alternativeImage/1001-8042-2026-01-2-F010.jpg)
_2026_01/1001-8042-2026-01-2/alternativeImage/1001-8042-2026-01-2-F011.jpg)
As shown in the calculation results in Figs. 9 and 11, DTL indeed can induce a larger energy modulation compared to a single normally incident laser. However, the required crossing angle (less than 2 mrad) is too small for engineering. Therefore, the usual setup of a single normally incident TEM00 mode laser remains the preferred choice in practical applications.
Realization Examples
After the derivation of the bunching factor and laser-induced modulation strengths, finally in this section we provide some realization examples of microcbunching schemes that belong to what we have analyzed. FEL seeding technique like phase-merging enhanced harmonic generation (PEHG) [37, 38], and angular dispersion-induced microbunching (ADM) [39] can be viewed as specific examples of our general definition of TLC-based microbunching schemes in Theorem One. A more detailed discussion in this respect has been presented in Ref. [33].
Here, we briefly comment on the relation between FEL seeding techniques, such as HGHG, PEHG, and ADM, and the storage ring schemes, such as LSF and GLSF, discussed in this paper. One is single-pass, and the other is multipass. One invokes matrix multiplication or nonlinear transfer map once, and the other invokes eigenanalysis or normal form analysis of the one-turn map. They share the bunch compression or harmonic generation mechanism. The relationship between HGHG and LSF was similar to that between PEHG/ADM and GLSF.
We also remind the readers that the GLSF SSMB scheme analyzed in this paper bears similarity to the approach discussed in Ref. [40], in the transverse-longitudinal-coupling-based microbunching and modulation-demodulation processes. The difference is that here we aim for a true steady state in the context of storage ring dynamics and the electron beam pass the radiator turn by turn, while in Ref. [40] the radiator is placed at a bypass line and the ring is used to prepare the electron beam which is sent to the bypass line every multiple revolutions in the ring.
Angular Modulation-Based Coupling Schemes
Bunching Factor
After investigating the energy modulation-based TLC microbunching schemes, in this section, we discuss angular modulation-based schemes [42-48]. The problem definition is similar to that in energy modulation-based schemes, with the exception of replacing energy modulation with angular modulation. We use y’ modulation as an example because we will take advantage of the ultrasmall vertical emittance in a planar ring, as explained before. The lumped laser-induced angular modulation is modeled as:_2026_01/1001-8042-2026-01-2/alternativeImage/1001-8042-2026-01-2-M241.png)
_2026_01/1001-8042-2026-01-2/alternativeImage/1001-8042-2026-01-2-M242.png)
_2026_01/1001-8042-2026-01-2/alternativeImage/1001-8042-2026-01-2-M243.png)
_2026_01/1001-8042-2026-01-2/alternativeImage/1001-8042-2026-01-2-M244.png)
To appreciate the physical principle, we use a specific case as an example instead of a general mathematical analysis. If R51=0, R52=0, R55=1, R56=0, and the initial beam is transverse-longitudinal decoupled and has an upright distribution in the longitudinal phase space, then_2026_01/1001-8042-2026-01-2/alternativeImage/1001-8042-2026-01-2-M245.png)
_2026_01/1001-8042-2026-01-2/alternativeImage/1001-8042-2026-01-2-M246.png)
_2026_01/1001-8042-2026-01-2/alternativeImage/1001-8042-2026-01-2-M247.png)
As can be seen from our analysis, both the energy modulation-based and angular modulation-based TLC microbunching schemes share the same spirit, i.e., to take advantage of the small transverse emittance, the vertical emittance in our case, to generate microbunching with a shallow modulation strength. These TLC-based microbunching schemes can be viewed as partial transverse-longitudinal emittance exchanges in the optical laser wavelength range. They do not necessarily need to be complete emittance exchanges because for microbunching, the most important coordinate is z, and δ is relatively less important. As we will show soon, although the spirit is the same, given the same level of modulation laser power, the physical realization of energy modulation-based TLC microbunching schemes is more effective for our SSMB application compared to the angular modulation-based schemes.
Modulation Strength
TEM01 Mode Laser-Induced Angular Modulation
After deriving the bunching factor, we derived the laser-induced angular modulation strength for quantitative evaluation. We begin with the usual angular modulation proposal by applying a TEM01 mode laser in an undulator [43]. The electric field of a Hermite-Gaussian TEM01 mode laser polarized in the horizontal plane is [36]_2026_01/1001-8042-2026-01-2/alternativeImage/1001-8042-2026-01-2-M248.png)
_2026_01/1001-8042-2026-01-2/alternativeImage/1001-8042-2026-01-2-M249.png)
_2026_01/1001-8042-2026-01-2/alternativeImage/1001-8042-2026-01-2-M250.png)
_2026_01/1001-8042-2026-01-2/alternativeImage/1001-8042-2026-01-2-M251.png)
_2026_01/1001-8042-2026-01-2/alternativeImage/1001-8042-2026-01-2-M252.png)
One may wonder that when
According to Eq. (252), the maximal modulation is realized when _2026_01/1001-8042-2026-01-2/alternativeImage/1001-8042-2026-01-2-M253.png)
Dual-Titled-Laser-Induced Angular Modulation
Another way to imprint angular modulation on the electron beam is to use a titled incident TEM00 mode laser to modulate the beam in an undulator. To further lower the required laser power, a dual-tilted-laser (DTL) with a crossing configuration can be applied [44, 45]. In this study, we focused on an angular modulation scheme based on a DTL setup. Note that if we want to use a DTL for energy modulation, the two lasers should be in phase to ensure that the two laser-induced energy modulations add. For angular modulation, they should be π-phase shifted with respect to each other. This is because, for angular modulation, the particle on the reference orbit should receive a zero-energy kick. Only when the particle transverse coordinate is nonzero will it receive an energy kick. So the energy modulations induced by the two lasers should cancel on axis.
To induce vertical angular modulation, we let the two lasers cross in y-z plane and be polarized in the horizontal plane. The laser field of a normal incident TEM00 laser is given by Eq. (207). Assuming that the two lasers are π-phase-shifted with respect to each other and have the same amplitude. In addition, we assume that _2026_01/1001-8042-2026-01-2/alternativeImage/1001-8042-2026-01-2-M254.png)
_2026_01/1001-8042-2026-01-2/alternativeImage/1001-8042-2026-01-2-M255.png)
_2026_01/1001-8042-2026-01-2/alternativeImage/1001-8042-2026-01-2-M256.png)
_2026_01/1001-8042-2026-01-2/alternativeImage/1001-8042-2026-01-2-M257.png)
_2026_01/1001-8042-2026-01-2/alternativeImage/1001-8042-2026-01-2-M258.png)
Therefore, we get the maximum linear angular chirp strength as_2026_01/1001-8042-2026-01-2/alternativeImage/1001-8042-2026-01-2-M259.png)
_2026_01/1001-8042-2026-01-2/alternativeImage/1001-8042-2026-01-2-M260.png)
_2026_01/1001-8042-2026-01-2/alternativeImage/1001-8042-2026-01-2-F012.jpg)
Then the angular chirp strength introduced by a DTL compared to the energy chirp strength introduced by a single TEM00 laser modulator, i.e., that given in Eq. (221), with the same laser parameters and undulator length can be expressed as_2026_01/1001-8042-2026-01-2/alternativeImage/1001-8042-2026-01-2-M261.png)
_2026_01/1001-8042-2026-01-2/alternativeImage/1001-8042-2026-01-2-M262.png)
_2026_01/1001-8042-2026-01-2/alternativeImage/1001-8042-2026-01-2-F013.jpg)
_2026_01/1001-8042-2026-01-2/alternativeImage/1001-8042-2026-01-2-F014.jpg)
Therefore, we can see that the DTL-induced angular chirp strength, although a factor of three larger than that induced by a single normally incident TEM01 mode laser with the same laser power, is still generally quite small. There are two reasons why a DTL is not effective in imprinting angular modulation:
The crossing angle between the laser and the electron propagating directions results in that they have a rather limited effective interaction region. For example, if the crossing angle is θ=5 mrad and the undulator length is Lu=0.8 m. Then, the center of the electron beam and the center of the laser beam at the undulator entrance and exit depart from each other with a distance of
The decrease of undulator parameter K with the increase of θ to meet the off-axis resonance condition, as can be seen in Figs. 8 and 10.
Because the angular chirp strength is small, according to Theorem Two, the required vertical beta function at the modulator βyM will be large. For example, if ϵy=4 pm,
Generally, when we compare the energy modulation-based and DTL-induced angular modulation-based bunch compression schemes, from the Theorem One and Two, i.e., Eqs. (150) and (152), for the same modulation laser wavelength λL and power PL, vertical emittance ϵy and target linear bunch length at the radiator _2026_01/1001-8042-2026-01-2/alternativeImage/1001-8042-2026-01-2-M263.png)
Realization Examples
Similar to the section on energy modulation-based schemes, we introduce some realization examples of angular modulation-based microbunching. To the best of our knowledge, the first proposal of applying an angular modulated beam for harmonic generation was from Ref. [43]. Later, an emittance-exchange-based harmonic generation scheme was proposed in Ref. [46]. These two schemes apply a TEM01 mode laser to induce angular modulation. Following these developments, there have been proposals to realize angular modulation using TEM00 mode lasers, with Ref. [47] using an off-resonance laser, and Ref. [48] using a tilted incident laser. Later, a dual-tilted-laser (DTL) modulation scheme was applied in emittance exchange in the optical laser wavelength range [44]. Recently, the DTL scheme was proposed to compress the bunch length in SSMB and lower the requirement on the laser power by a factor of four compared to a single-tilted laser scheme [45]. Note that for these angular modulation-based harmonic or bunch compression schemes, we have the inequality given by Eq. (152), i.e., our Theorem Two.
1 kW GLSF SSMB EUV Source
Our goal in this study as stated, is to find a solution for a high-power EUV source based on SSMB, using parameters within the reach of present technology. According to our analysis, generalized longitudinal strong focusing (GLSF) is the most promising scenario compared to the longitudinal weak focusing and longitudinal strong focusing. The key to a GLSF SSMB ring is the precise transverse-longitudinal coupling dynamics to utilize the ultrasmall natural vertical emittance in a planar electron storage ring for efficient microbunching formation. For our purpose, we find that energy modulation-based coupling schemes are preferred over angular modulation-based coupling schemes, in lowering the required modulation laser power. Therefore, we will use a TEM00 laser-induced energy modulation-based coupling scheme in a GLSF SSMB storage ring. In this section, we first present a solution for 1 kW-average-power EUV source based on a GLSF SSMB. More detailed analyses to support our solution were then developed.
A Solution of 1 kW EUV Source
Based on what we have studied in the previous sections and the various important physical effects to be discussed in this section, we present an example parameter set of a 1 kW-average-power EUV light source based on GLSF SSMB, as shown in Table 2. All parameter lists should be feasible from an engineering perspective. Such a table summarizes the investigations presented in this study.
| Parameter | Value | Description |
|---|---|---|
| E0 | 600 MeV | Beam energy |
| C0 | ~200 m | Circumference |
| η | ~5×10-3 | Phase slippage factor |
| IP | 40 A | Peak current |
| fe | 0.5% | Electron beam filling factor |
| IA | 200 mA | Average current |
| Bring | 1.33 T | Bending magnet field in the ring |
| |
1.5 m | Bending radius in the ring |
| |
7.7 keV | Radiation loss per particle per turn from ring dipoles |
| B0w | 6 T | Bending field of damping wiggler |
| Lw | 40 m | Total length of Nwc identical damping wigglers |
| Nwc | 20 | Number of identical damping wigglers |
| λw | <0.168 m | Wiggler period length |
| U0w | 328 keV | Radiation loss per particle per turn from damping wiggler |
| |
68.3 kW | Total radiation loss power of the electron beam |
| PRF | 100~200 kW | Total power consumption of the RF system |
| σδ0 | 4.2×10-4 | Natural energy spread (without damping wiggler) |
| σδw | 8.2×10-4 | Natural energy spread (with damping wiggler) |
| σδIBS | 8.5×10-4 | Energy spread with IBS (with damping wiggler) |
| ϵx | 2 nm | Horizontal emittance |
| ϵy | 40 pm | Vertical emittance |
| |
2.38 ms | Vertical radiation damping time with damping wiggler |
| |
7.11 ms | Vertical IBS diffusion time |
| λL | 1064 nm | Modulation laser wavelength |
| σzR | 2 nm | Linear bunch length at the radiator |
| |
0.1 μm | |
| |
0.056 m | |
| |
2.3×10-3 | Modulator induced energy modulation strength |
| h | 1.33×104 m-1 | Modulator induced linear energy chirp strength |
| λuM | 0.1 m | Modulator undulator period |
| B0M | 0.806 T | Modulator peak magnetic flux density |
| |
7.53 | K of modulator undulator |
| NuM | 15 | Nu of modulator undulator |
| LuM | 1.5 m | Modulator length |
| ΔϵyM | 13.4 pm | Modulators’ quantum excitation to vertical emittance |
| ZR | |
Laser Rayleigh length |
| PLP | 130 MW | Peak modulation laser power |
| fL | 0.5% | Laser beam filling factor |
| PLA | 651 kW | Average modulation laser power |
| |
13.5 nm | Radiation wavelength |
| b79 | 0.0675 | Bunching factor |
| |
20 μm | Effective transverse electron beam size at the radiator |
| λuR | 1.8 cm | Radiator undulator period |
| B0R | 0.867 T | Radiator peak magnetic flux density |
| NuR | 79×4 | Number of undulator periods |
| LuR | 5.69 m | Radiator length |
| PRP | 224 kW | Peak radiation power |
| PRA | 1.12 kW | Average radiation power |
Some Basic Considerations
Now, we present the detailed considerations and calculations to support our solution. First, we discuss some basic considerations on the choice of parameters. As explained at the beginning of Sect. 4, we used a beam energy of E0=600 MeV and a modulation laser wavelength of λL=1064 nm. A small vertical emittance is crucial in the GLSF scheme. We assume that the vertical emittance used to accomplish our goal stated above is ϵy=40 pm. It should be noted that the vertical emittance used is not extremely small. This conservative choice is mainly a reflection of the consideration for intra-beam scattering (IBS) to be introduced soon. To realize significant coherent EUV generation, and considering that we may generate microbunching based on a coasting beam or RF bunched beam in the ring, which is much longer than the modulation laser wavelength, we may need to compress the linear bunch length
With ϵy=40 pm, to get the desired linear bunch length 2 nm at the radiator, we need
Another important parameter is the beam current, including the average and peak currents. First, we observe that given the same average beam current, the average radiation power will be higher with a decreasing beam filling factor fe. This is because the peak power of the coherent radiation is proportional to the peak current squared
Quantum Excitation Contribution to Vertical Emittance
After the general considerations, let us now take a closer look at the critical parameter ϵy. The first contribution of the vertical emittance is the quantum excitation in the GLSF section itself, since
Like the calculation in Eq. (136), the quantum excitation contribution of a radiator to ϵy is_2026_01/1001-8042-2026-01-2/alternativeImage/1001-8042-2026-01-2-M264.png)
_2026_01/1001-8042-2026-01-2/alternativeImage/1001-8042-2026-01-2-M265.png)
Similar to the analysis for radiator, the contribution of two GLSF modulators to ϵy is_2026_01/1001-8042-2026-01-2/alternativeImage/1001-8042-2026-01-2-M266.png)
In the above analysis, we have assumed
Vertical bending magnets are also present in the GLSF section for optical manipulation to fulfill the bunch compression or harmonic generation condition. However, in principle, we can use weak dipoles to minimize their quantum excitation contribution to vertical emittance and satisfy the symplectic optics requirement simultaneously. The total length of these dipoles should not be excessively long. Therefore, in our present evaluation, we will assume that the quantum excitation contribution from the two modulators is the dominant source of ϵy if we consider single-particle dynamics alone.
Application of Damping Wigglers
To Speed Up Damping
It is desired that ΔϵyM is only a small portion of our desired ϵy, since then it provides room for other contributions of vertical emittance, such as IBS and that from x–y coupling. In principle, we can also use a weaker modulator field to weaken the quantum excitation, but this means that the laser-electron interaction will be less efficient, and a larger laser power is needed if we want to imprint the same energy modulation strength. Instead, we chose to increase the radiation damping rate per turn. To speed up damping, which is helpful in controlling the vertical emittance growth from both the quantum excitation and IBS, we may invoke one or multiple damping wigglers. Horizontal planar wigglers can be placed at dispersion-free locations. Thus, the damping wiggler will contribute only damping and no excitation to the vertical emittance. Assuming that_2026_01/1001-8042-2026-01-2/alternativeImage/1001-8042-2026-01-2-M267.png)
_2026_01/1001-8042-2026-01-2/alternativeImage/1001-8042-2026-01-2-M268.png)
_2026_01/1001-8042-2026-01-2/alternativeImage/1001-8042-2026-01-2-M269.png)
_2026_01/1001-8042-2026-01-2/alternativeImage/1001-8042-2026-01-2-M270.png)
_2026_01/1001-8042-2026-01-2/alternativeImage/1001-8042-2026-01-2-M271.png)
_2026_01/1001-8042-2026-01-2/alternativeImage/1001-8042-2026-01-2-M272.png)
Impact of Damping Wigglers on Energy Spread, Horizontal Emittance and Phase Slippage
Our primary goal of applying a damping wiggler is to speed up radiation damping, but the damping wiggler also contributes to quantum excitation, thus affecting the energy spread and horizontal emittance. We first investigated the energy spread. Considering both the ring dipoles and damping wiggler, the new equilibrium energy spread is_2026_01/1001-8042-2026-01-2/alternativeImage/1001-8042-2026-01-2-M273.png)
_2026_01/1001-8042-2026-01-2/alternativeImage/1001-8042-2026-01-2-M274.png)
_2026_01/1001-8042-2026-01-2/alternativeImage/1001-8042-2026-01-2-M275.png)
_2026_01/1001-8042-2026-01-2/alternativeImage/1001-8042-2026-01-2-M276.png)
Now, let us examine the impact on the horizontal emittance. We have said that we can place the damping wigglers at horizontally dispersion-free locations to minimize their quantum excitation on ϵx. However, there will be some intrinsic horizontal dispersion and dispersion angle, and thus
Typically, the central part of the wiggler has a sinusoidal field strength pattern along the longitudinal axis. We set the origin of the global path length coordinate s=0 to be the location of the peak magnetic field closest to the wiggler center. Then the vertical magnetic field of a horizontal planar wiggler is_2026_01/1001-8042-2026-01-2/alternativeImage/1001-8042-2026-01-2-M277.png)
_2026_01/1001-8042-2026-01-2/alternativeImage/1001-8042-2026-01-2-M278.png)
_2026_01/1001-8042-2026-01-2/alternativeImage/1001-8042-2026-01-2-M279.png)
In a planar uncoupled ring, the normalized eigenvector of the storage ring one-turn map corresponding to the horizontal eigenmode at s=0 can be expressed as the first vector in Eq. (50). We assume _2026_01/1001-8042-2026-01-2/alternativeImage/1001-8042-2026-01-2-M280.png)
_2026_01/1001-8042-2026-01-2/alternativeImage/1001-8042-2026-01-2-M281.png)
_2026_01/1001-8042-2026-01-2/alternativeImage/1001-8042-2026-01-2-M282.png)
_2026_01/1001-8042-2026-01-2/alternativeImage/1001-8042-2026-01-2-M283.png)
_2026_01/1001-8042-2026-01-2/alternativeImage/1001-8042-2026-01-2-M284.png)
_2026_01/1001-8042-2026-01-2/alternativeImage/1001-8042-2026-01-2-M285.png)
Given a specific Nu, _2026_01/1001-8042-2026-01-2/alternativeImage/1001-8042-2026-01-2-M286.png)
_2026_01/1001-8042-2026-01-2/alternativeImage/1001-8042-2026-01-2-M287.png)
_2026_01/1001-8042-2026-01-2/alternativeImage/1001-8042-2026-01-2-M288.png)
_2026_01/1001-8042-2026-01-2/alternativeImage/1001-8042-2026-01-2-M289.png)
_2026_01/1001-8042-2026-01-2/alternativeImage/1001-8042-2026-01-2-M290.png)
From the above analysis, we can see that the minimum I5w is realized when_2026_01/1001-8042-2026-01-2/alternativeImage/1001-8042-2026-01-2-M291.png)
_2026_01/1001-8042-2026-01-2/alternativeImage/1001-8042-2026-01-2-M292.png)
_2026_01/1001-8042-2026-01-2/alternativeImage/1001-8042-2026-01-2-M293.png)
_2026_01/1001-8042-2026-01-2/alternativeImage/1001-8042-2026-01-2-M294.png)
_2026_01/1001-8042-2026-01-2/alternativeImage/1001-8042-2026-01-2-M295.png)
_2026_01/1001-8042-2026-01-2/alternativeImage/1001-8042-2026-01-2-M296.png)
_2026_01/1001-8042-2026-01-2/alternativeImage/1001-8042-2026-01-2-M297.png)
In addition to quantum excitation, the damping wiggler also contributes to phase slippage. If Bw=6 T, λw=0.1 m, Lw=40 m which means a total wiggler period number Nw=400, then the wiggler undulator parameter is
Intra-beam Scattering
We mentioned that our conservative choice of ϵy=40 pm is mainly due to the consideration of IBS. This can be understood with more quantitative calculations. We will see that IBS is the most fundamental obstacle in obtaining ultrasmall vertical emittance in GLSF SSMB. This is partially because our choice of beam energy was not too high. In addition, to realize high EUV power, we need a high peak current, which means a high charge density in the phase space.
We use Bane’s high-energy approximation [52] to calculate the IBS diffusion rate_2026_01/1001-8042-2026-01-2/alternativeImage/1001-8042-2026-01-2-M298.png)
Now, we input some example numbers to estimate the IBS diffusition rate in a GLSF EUV SSMB ring:_2026_01/1001-8042-2026-01-2/alternativeImage/1001-8042-2026-01-2-M299.png)
_2026_01/1001-8042-2026-01-2/alternativeImage/1001-8042-2026-01-2-M300.png)
Microwave Instability
Now, we want to evaluate whether the peak current of 40 A we applied in the above example is feasible. One of the main limitations of the peak current is the microwave instability induced by coherent synchrotron radiation (CSR). According to Ref. [53], the CSR-induced microwave instability threshold is_2026_01/1001-8042-2026-01-2/alternativeImage/1001-8042-2026-01-2-M301.png)
_2026_01/1001-8042-2026-01-2/alternativeImage/1001-8042-2026-01-2-M302.png)
_2026_01/1001-8042-2026-01-2/alternativeImage/1001-8042-2026-01-2-M303.png)
_2026_01/1001-8042-2026-01-2/alternativeImage/1001-8042-2026-01-2-M304.png)
The astute reader may notice that one of the main reasons we have a large threshold current here is the large phase slippage or R56 we applied for the ring. To avoid confusion, first we need to clarify that in this example of a GLSF SSMB EUV source, the electron bunch in the ring can be a coasting beam or an RF-bunched beam, and microbunching appears only at the radiator, owing to the phase space manipulation of the electron beam in the GLSF section. In our setup, we used an RF-bunched beam in the ring. Therefore, the phase slippage factor of the ring does not need to be small, whereas this is required in an LWF SSMB ring. Then, the question becomes whether the required large phase slippage is feasible and what beam dynamics effects it may have. As a reference, the Metrology Light Source storage ring [54] in standard user mode has an
Now, we check if the required RF system in the above example calculation is feasible. The longitudinal beta function at the RF cavity is
We remind the readers that in this evaluation, we assumed that the beam was RF bunched. In our evaluation of the IBS, we assumed that the beam was a coasting beam. These evaluations mainly serve as an order of magnitude estimation that supports the general feasibility of our parameter choice. A more detailed analysis of the collective effects will be necessary in the future development of such a GLSF SSMB light source.
Energy Compensation System
The large radiation loss of the electron beam in the ring, particularly that induced by the strong damping wigglers, must be compensated. Here, we present some preliminary analysis on the requirements of the energy compensation system of such a GLSF SSMB EUV light source. From Table 2, the total radiation loss per particle per turn is _2026_01/1001-8042-2026-01-2/alternativeImage/1001-8042-2026-01-2-M305.png)
To relieve the burden on the RF cavities, we may use three RF cavities to achieve the total RF voltage, with each cavity having a voltage of 573 kV. To minimize the power disspated on the cavity, we need a large shunt impedance of each cavity which here we assume to be _2026_01/1001-8042-2026-01-2/alternativeImage/1001-8042-2026-01-2-M306.png)
_2026_01/1001-8042-2026-01-2/alternativeImage/1001-8042-2026-01-2-M307.png)
Generally, the total power consumption of the RF system of an SSMB ring is at 100–200 kW level. Together with the power consumption of other systems, such as electromagnets, superconducting damping wigglers, and vacuum and water cooling systems, the overall power consumption of such an SSMB storage ring is at the level of several hundred kWs. The output EUV power per radiator is approximately 1 kW. In principle, an SSMB ring can accommodate multiple GLSF insertions and, therefore, multiple radiators; however, we consider the case of only one radiator in the ring. Therefore, for such a GLSF SSMB storage ring, it takes a couple of 100 kWs of electricity to generate 1 kW of EUV light. Such a large power consumption may raise the question of the advantage of such an SSMB-EUV source compared to the superconducting RF-based high-repetition rate FEL-EUV source, particularly the energy recovery linac-based FEL-EUV source. For comparison, according to Ref. [56], it takes 7 MW overall power consumption to generate 10 kW EUV light in an ERL-FEL EUV source, which means 700 kW electricity power per 1 kW EUV light. Therefore, the overall power efficiency from electricity to EUV light for the SSMB-EUV and ERL-FEL EUV source is comparable. However, we remind readers that these numbers are only rough estimates, and more in-depth studies are required to reach a concrete conclusion. Another side comment is that the radiation emitted by the damping wigglers may also be useful.
Modulation Laser Power
We now evaluate the modulation laser power required. Given the laser wavelength, modulator undulator parameters and the required energy chirp strength, we can use Eq. (221) to calculate the required laser power_2026_01/1001-8042-2026-01-2/alternativeImage/1001-8042-2026-01-2-M308.png)
_2026_01/1001-8042-2026-01-2/alternativeImage/1001-8042-2026-01-2-M309.png)
_2026_01/1001-8042-2026-01-2/alternativeImage/1001-8042-2026-01-2-M310.png)
_2026_01/1001-8042-2026-01-2/alternativeImage/1001-8042-2026-01-2-M311.png)
_2026_01/1001-8042-2026-01-2/alternativeImage/1001-8042-2026-01-2-M312.png)
_2026_01/1001-8042-2026-01-2/alternativeImage/1001-8042-2026-01-2-M313.png)
Radiation Power
After microbunching is formed, now comes the radiation generation. We will use a planar undulator as a radiator. Coherent undulator radiation power at the odd-H-th harmonic from a transversely-round electron beam is [17, 55]_2026_01/1001-8042-2026-01-2/alternativeImage/1001-8042-2026-01-2-M314.png)
_2026_01/1001-8042-2026-01-2/alternativeImage/1001-8042-2026-01-2-M315.png)
_2026_01/1001-8042-2026-01-2/alternativeImage/1001-8042-2026-01-2-M316.png)
The above formula was derived by assuming that the longitdudinal and transverse distributions of the electron beam do not change significantly in the radiator. The energy spread of the electron beam can lead to a current distribution change inside the undulator, considering that the undulator has an _2026_01/1001-8042-2026-01-2/alternativeImage/1001-8042-2026-01-2-M317.png)
With all the beam physics issues properly handled, we have finally obtained a solution for a 1 kW EUV source based on GLSF SSMB, as shown in Table 2.
Summary
This paper discusses our efforts to obtain a solution for 1 kW EUV light source based on SSMB. Here, we provide a brief summary of this endeavor. We start by presenting the generalized Courant-Snyder formalism to build the theoretical framework for the following investigations. Based on the formalism, we conducted a theoretical minimum emittance analysis in an electron storage ring, from which we determined that to obtain a small longitudinal emittance, we need to decrease the bending angle of each bending magnet, which means increasing the number of bending magnets in the ring. In principle, we can obtain a small longitudinal emittance and a short bunch length along this line. However, there is practical limitation. To obtain a short bunch length, we need to increase the bending magnet number and lower the phase slippage factor of the ring. Using the present realizable phase slippage, which at minimum is on the order of 1×10-6, a bunch length of a couple of 10 nm is the lower limit if we apply the longitudinal weak focusing regime. To compress the bunch length further, a longitudinal strong focusing regime can be invoked, similar to its transverse counterpart in the final focus of a collider, to compress the longitudinal beta function, thus the bunch length at the radiator significantly. This scheme can realize a bunch length of the nanometer level, thus allowing coherent EUV radiation generation. However, because the compression of the longitudinal beta function requires a strong energy chirp of the electron beam, which is similar to a strong quadrupole focusing strength in the transverse dimension, the modulation laser power required is at the GW level, making the optical enhancement cavity of the SSMB only work in a low duty cycle pulsed mode, and thus limits the filling factor of the microbunched beam in the ring, and thus the average output EUV power. This leads us to the generalized longitudinal strong-focusing (GLSF) regime, which is the focus of this study. The basic idea of the GLSF is to exploit the ultrasmall natural vertical emittance in a planar electron storage ring and apply partial transverse-longitudinal emittance exchange to compress the bunch length or generate high-harmonic bunching with a shallow energy modulation strength, thus lowering the requirement for the modulation laser power. The backbone of such a scheme is transverse-longitudinal phase space coupling. To find a solution based on the GLSF scheme, we first conduct a formal mathematical analysis of transverse-longitudinal coupling (TLC)-based bunch compression and harmonic generation schemes, and prove three related theorems that are useful in the later choice of parameters and evaluation of laser power. We then discuss the details of different specific coupling schemes, grouping them into two categories: energy modulation-based coupling schemes and angular modulation-based coupling schemes. We derived the formulas for the bunching factor and laser-induced modulation strength in each case and used them for quantitative calculations and comparisons. Our conclusion from these analyses is that the commonly used TEM00 mode laser-induced energy modulation-based schemes are favored for our application in SSMB, as its requirement on the modulation laser power is lower than that in the angular modulation-based schemes. There are also various other important physical issues to be considered in finding a solution, such as the quantum excitation contribution of the GLSF section to the vertical emittance, the application of damping wigglers to speed up damping and its impact on the transverse emittance, intra-beam scattering and coherent synchrotron radiation-induced microwave instability, and the energy compensation system. The motivation of these studies is to make our choice of parameters as self-consistent as possible from a beam physics perspective. Finally, based on all the analyses and calculations, we present an example parameter set of a GLSF SSMB light source that can deliver 1 kW-average-power EUV radiation. This 1 kW EUV solution as shown in Table 2 summarizes the investigations presented in this study. Our study provides a basis for the future development of SSMB.
Steady-state microbunching in a storage ring for generating coherent radiation
. Phys. Rev. Lett. 105,Terahertz coherent radiation from steady-state microbunching in storage rings with X-band radio-frequency system
. Phys. Rev. ST Accel. Beams 14,High Power Radiation Sources using the Steady-state Microbunching Mechanism
.An overview of the progress on SSMB
.Single-particle dynamics of microbunching
. Phys. Rev. Accel. Beams 23,Widening and distortion of the particle energy distribution by chromaticity in quasi-isochronous rings
. Phys. Rev. Accel. Beams 23,Ultralow longitudinal emittance storage rings
. Phys. Rev. Accel. Beams 24,Courant-Snyder formalism of longitudinal dynamics
. Phys. Rev. Accel. Beams 24,Generalized longitudinal strong focusing in a steady-state microbunching storage ring
. Phys. Rev. Accel. Beams 26,Coherent-radiation-induced longitudinal single-pass beam breakup instability of a steady-state microbunch train in an undulator
. Phys. Rev. Accel. Beams 24,Theoretical formulation of multiturn collective dynamics in a laser cavity modulator with comparison to Robinson and high-gain free-electron laser instability
. Phys. Rev. Accel. Beams 25,Longitudinal single-bunch instabilities driven by coherent undulator radiation in the cavity modulator of a steady-state microbunching storage ring
. Nucl. Instrum. Methods Phys. Res. A 1042,Calculations of space-charge tune shifts in storage rings with extremely short bunches and small bunch spacing
. Phys. Rev. Accel. Beams 27,Experimental demonstration of the mechanism of steady-state microbunching
. Nature 590, 576 2021). https://doi.org/10.1038/s41586-021-03203-0Confirming the theoretical foundation of steady-state microbunching
. Commun. Phys. 7, 160 2024). https://doi.org/10.1038/s42005-024-01657-yResearch on optimization and design of advanced laser-driving storage ring
. PhD thesis,Research on longitudinal strong focusing SSMB ring
. PhD Thesis,Steady-state micro-bunching accelerator light source
. Acta Phys. Sin. 71,Collective instabilities and high-gain regime in a free electron laser
. Optics Communications 50, 373 1984). https://doi.org/10.1016/0030-4018(84)90105-6Evaluation of beam distribution parameters in an electron storage ring
. J. Appl. Phys. 50, 595 1979). https://doi.org/10.1063/1.326070On the theory of the Brownian motion II
. Rev. Mod. Phys. 17, 323 1945). https://doi.org/10.1103/RevModPhys.17.32The study of discontinuous phenomena
. Proc. Cambridge Philos. Soc. 15, 117 1909).Synchrotron Oscillations Induced by Radiation Fluctuations
. Phys. Rev. 97, 470 1955). https://doi.org/10.1103/PhysRev.97.470Radiation Effects in Circular Electron Accelerators
. Phys. Rev. 111, 373 1958). https://doi.org/10.1103/PhysRev.111.373Theory of the alternating-gradient synchrotron
. Ann. Phys. (N.Y.) 3, 1 1958). https://doi.org/10.1006/aphy.2000.6012The Physics of Electron Storage Rings: An Introduction. SLAC report SLAC-121
, 1970.Optical Stochastic Cooling in a General Coupled Lattice
. inBreakdown of classical bunch length and energy spread formula in a quasi-isochronous electron storage ring
. Phys. Rev. Accel. Beams 26,710 kW stable average power in a 45,000 finesse two-mirror optical cavity
. Opt. Lett. 49, 6884 2024). https://doi.org/10.1364/OL.543388Reversible seeding in storage rings
.Harmonic generation and bunch compression based on transverse-longitudinal coupling
. Nucl. Instrum. Methods Phys. Res. A 1019,Lie methods for nonlinear dynamics with applications to accelerator physics
Generation of intense uv radiation by subharmonically seeded single-pass free-electron lasers
. Phys. Rev. A 44,5178 1991). https://doi.org/10.1103/PhysRevA.44.5178Using off-resonance laser modulation for beam-energy-spread cooling in generation of short-wavelength radiation
. Phys. Rev. Lett. 111,Phase-merging enhanced harmonic generation free-electron laser
. New J. Phys. 16,A storage ring based free-electron laser for generating ultrashort coherent EUV and X-ray radiation
. Sci. Rep 7, 4724 2017). https://doi.org/10.1038/s41598-017-04962-5A synchrotron-based kilowatt-level radiation source for EUV lithography
. Sci. Rep 12, 3325 2022). https://doi.org/10.1038/s41598-022-07323-zAnalytical study of higher harmonic bunching and matrix formalism in linear high-gain free-electron laser model
. Nucl. Instrum. Methods Phys. Res. A 1048,Generating ultrashort coherent soft X-ray radiation in storage rings using angular-modulated electron beams
. Phys. Rev. Lett. 104,Transverse-to-longitudinal emittance-exchange in optical wavelength
. New J. Phys. 22,Methods for enhancing the steady-state microbunching in storage rings
. Results Phys 40,Emittance-exchange-based high harmonic generation scheme for a short-wavelength free electron laser
. Phys. Rev. Lett. 106,Coherent X-ray source generation with off-resonance laser modulation
. Opt. Express 26, 19067 2018). https://doi.org/10.1364/OE.26.019067Obliquely incident laser and electron beam interaction in an undulator
. Phys. Rev. Accel. Beams 22,A coherent harmonic generation method for producing femtosecond coherent radiation in a laser plasma accelerator based light source
. J. Synchrotron Rad. 28, 669 2021). https://doi.org/10.1107/S1600577521002745Contribution of Wiggler to Radiation Integral in an Electron Storage Ring
. arXiv 2410.12863 (2024). https://doi.org/10.48550/arXiv.2410.12863A simplified model of intrabeam scattering
, inThreshold studies of the microwave instability in electron storage rings
. Phys. Rev. ST Accel. Beams 13,Metrology Light Source: The first electron storage ring optimized for generating coherent THz radiation
. Phys. Rev. ST Accel. Beams 14,Average and statistical properties of coherent radiation from steady-state microbunching
. J. Synchrotron Radiat. 30, 35 2023). https://doi.org/10.1107/S1600577522009973High-power EUV free-electron laser for future lithography
. Jpn. J. Appl. Phys. 62,The authors declare that they have no competing interests.

