Introduction
Ultracold Neutrons (UCNs) possess kinetic energy less than 300 neV, equivalent to temperatures below 3 mK or wavelengths longer than 500 Å [1]. Their low energy allows complete reflection and confinement in materials with high Fermi potential [2, 3], facilitating easy storage and counting. Since their discovery in 1969 [4, 5], UCNs have been pivotal in studying fundamental physics, encompassing the measurement of neutron electric dipole moment [6], neutron lifetime [7], beta decay [8, 9], gravitational resonance spectroscopy [10, 11], neutrino asymmetry [12], neutron-antineutron oscillations [13], and surface characterization of materials [14]. These experiments hold promise for investigating CP-violating mechanisms beyond the Standard Model, the origin of the baryon asymmetry in the universe [15], the neutron lifetime puzzle, the key parameter in the Big Bang theory, the real neutron loss mechanism, the fifth force, dark matter and so on.
SFHe and SD2 are superthermal materials for producing UCNs through neutron inelastic scattering. The neutron absorption on deuteron limits the UCN lifetime in SD2, necessitating a UCN buffer volume for storage. Conversely, UCNs can be stored in SFHe until they decay due to zero absorption cross-section, making SFHe converters viable as experimental bottles [16]. Additionally, the ideal UCN density in SFHe can be significantly higher than in SD2 [17]. While SD2 UCN sources have seen substantial development over the last 40 years [18-25] and recognized as leading UCN sources globally [26, 27], SFHe UCN sources are gaining prominence, with the CSNS [28-32] team presently designing a He-II based UCN source.
To characterize and optimize UCN storage and transportation processes, Monte Carlo-based UCN codes such as PENTrack [33], GEANT4UCN [34], UCNtransport [35], and MCUCN [36] are available. Despite sharing core physical models, each software has merits, such as PENTrack’s flexible geometry configuration interface and GEANT4UCN’s including neutron spins, protons, and electron simulations in electromagnetic fields. UCNtransport, while valuable, is not open-source. Conversely, MCUCN code offers significant advantages being open source. It is highly extensible and can be executed in parallel via a shell script. However, it suffers from certain limitations when it is used to simulate SFHe UCN source, including the absence of critical models that describe 4He upscattering, 3He absorption, and impurities on converter wall. Furthermore, it lacks the capability to represent the source energy distribution for SFHe and simulate UCN transmission through materials with a negative optical potential.
To enhance the MCUCN code, we performed several modifications, including: (1) The incorporation of an 4He upscattering physical model. (2) The inclusion of a 3He absorption model. (3) The introduction of an impurities model. (4) Improvements to the source energy distribution in SFHe and geometric description. (5) The addition of transmission capabilities for materials with negative optical potential. (6) Development of visualization tools for simulating intermediate states and results. Section 2 of this paper outlines the physical models and flow of the iMCUCN code. Section 3 presents the results simulated by MCUCN, iMCUCN, and UCNtransport. Section 4 compares the results of MCUCN and iMCUCN with experimental data. Consequently, iMCUCN is deemed valid and promising for UCN storage and transportation simulations in He-II.
Physical model enhancement and Flow of iMCUCN
The basic theory and key attributes of the MCUCN are outlined in detail in reference [36]. This code is a tool for Monte Carlo-based ultracold neutron transport simulations, focusing on the intricate interactions between UCNs and materials. However, certain limitations in its current form necessitate enhancements for a more comprehensive representation of UCN behavior in SFHe.
Currently, MCUCN does not account for the upscattering effect of 4He, the absorption of 3He and the loss due to impurities. Moreover, the code does not consider the UCN source energy distribution in SFHe. Furthermore, the omission of UCN transmission through materials with negative optical potential represents a notable gap, playing a pivotal role in the simulations detailed in Sect. 3. Additionally, MCUCN lacks built-in visualization tools, leaving the task of developing suitable visualization mechanisms to the user. To address these limitations and enable the simulation of UCN storage and transportation in SFHe more accurately, enhancements to MCUCN are imperative.
The loss mechanisms in SFHe
For He-II, it is possible to formulate the expression for the ultracold neutron surviving time in terms of various loss mechanisms [37-39]:_2026_03/1001-8042-2026-03-49/alternativeImage/1001-8042-2026-03-49-M001.png)
The upscattering rate of superfluid 4He τup is temperature dependent and can be divided into three parts [40]: one-phonon absorption, two-phonon scattering and roton-phonon scattering. H. Yoshiki summarized the formula for τup [41] as:_2026_03/1001-8042-2026-03-49/alternativeImage/1001-8042-2026-03-49-M002.png)
According to Ref. [38], the wall loss time constant τwall is defined as:_2026_03/1001-8042-2026-03-49/alternativeImage/1001-8042-2026-03-49-M003.png)
The absorption time constant τabs is given by:_2026_03/1001-8042-2026-03-49/alternativeImage/1001-8042-2026-03-49-M004.png)
The leakage time constant τleakage is defined as:_2026_03/1001-8042-2026-03-49/alternativeImage/1001-8042-2026-03-49-M005.png)
Initial Energy Distribution in SFHe
The MCUCN code incorporates uniform and Gaussian energy distributions but does not include other forms of energy spectrum distribution. To simulate the SFHe UCN source, we integrated a Monte Carlo sampling function to generate the energy distribution that accurately represents the superfluid helium UCN source.
The relationship between the real space UCN density n with energy E in the range (E, _2026_03/1001-8042-2026-03-49/alternativeImage/1001-8042-2026-03-49-M006.png)
_2026_03/1001-8042-2026-03-49/alternativeImage/1001-8042-2026-03-49-M007.png)
_2026_03/1001-8042-2026-03-49/alternativeImage/1001-8042-2026-03-49-M008.png)
The iMCUCN code
As depicted in Fig. 1, the iMCUCN code models UCN losses during transportation. The red sections delineate mechanisms for (a) generating the energy distribution of the UCN source in SFHe, (b) simulating the upscattering effect of 4He, (c) simulating absorption by residual 3He contamination, (d) simulating absorption and upscattering by impurities, (e) simulating UCN transmission through materials with negative optical potential. Polypropylene (PP) possesses a negative optical potential and serves as the foil confining SFHe [45]. The code MCUCN incorporates transmission physics through materials with positive optical potential but overlooks those with negative potential. Thus it is necessary to integrate the negative potential for PP foil in next section. The iMCUCN code also integrates geometry descriptions to simulate various volumes and includes a visualization component. UCNs are considered lost upon encountering the detector, the heat exchanger, or other components.
_2026_03/1001-8042-2026-03-49/alternativeImage/1001-8042-2026-03-49-F001.jpg)
Figure 1 showcases the iMCUCN’s physical model, symbolized by diamonds [36]. Absorption may result in the loss of UCNs produced in the deuterium converter, yet the absorption rate within the superfluid 4He UCN source is zero. Neutrons undergo continuous decay during simulations, with 4He upscattering effects and 3He absorption occurring solely in He-II. Impurities are identified on the wall of converter. UCNs encountering surfaces of the detector, heat exchanger, and other components are either lost or detected. Upon collision with a wall surface, UCNs will pass through if the wall is virtual, or they may be reflected, absorbed, or transmit through the surface. Reflections manifest as either diffuse or specular, allowing reflected UCNs to persist and embark on subsequent collision. Surface absorption arises from both absorption and inelastic scattering by the wall. The simulation concludes for a UCN upon reaching the exit window, i.e., the detector, marking the end of its journey and prompting the initiation of a new cycle with the generation of another UCN in the converter.
Compare the simulation by MCUCN, iMCUCN and UCNtransport code of Lujan Center Mark3 UCN transportation system
This section elucidates the extraction efficiency comparison of the proposed Lujan Center Mark3 UCN transportation system as simulated by MCUCN, iMCUCN, and UCNtransport. A horizontal near-foil geometry is constructed and its source and geometry are verified. The findings indicate that the variance in transmission rates simulated by UCNtransport [46] and iMCUCN is less than 10% for the identical extraction system utilizing a He-II source at 1.6 K. The discrepancies in transmission rates simulated by MCUCN are approximately twice those obtained from UCNtransport, mainly because MCUCN lacks an upscattering physical model in SFHe.
Basic conditions
According to Ref. [45], an overview of the horizontal extraction geometry is shown in Fig. 2. 10,000 UCNs with energy below
_2026_03/1001-8042-2026-03-49/alternativeImage/1001-8042-2026-03-49-F002.jpg)
The detector will count the arrival UCNs that are lower than
| Configuration | Parameters |
|---|---|
| Generated UCN number | 10,000 |
| Detected UCN energy | <335 neV ( |
| Cylinder | D=0.36 m, L=0.4 m |
| Radius of guide | 0.09 m |
| UCN Upscattering time | 3.4 s (1.6 K) |
| UCN decay time | 880 s |
| VHe | 18.5 neV |
| |
335 neV |
| |
5×10-4 |
| VAl | 54 neV |
| ηAl | 5.19×10-5 |
| Diffuse rate of Al | 45% |
| VPP | -8 neV |
| ηPP | 0 |
| λscat of idealized Al and PP | 0 μm |
| λscat of PP | 20 μm |
| Thickness of Al and PP | 30 μm |
| Length of heat exchanger | 1 m |
| Loss of foil support grid | 90% |
| 4-m guide loss to external volume | 80% |
The energy distribution in SFHe
When UCNs are produced by inelastic scattering of 8.9 Å neutrons in superfluid helium, their angular distribution has a 6% asymmetry [48]. This real but short-lived physical process can be disregarded, so the Monte Carlo method uniformly and isotropically generates the UCNs in He-II. UCN energy distribution in He-II in iMCUCN correctly follows Eq. 8, as shown in Fig. 3. It also presents the uniform energy distribution in MCUCN.
_2026_03/1001-8042-2026-03-49/alternativeImage/1001-8042-2026-03-49-F003.jpg)
The geometry of UCN transport system
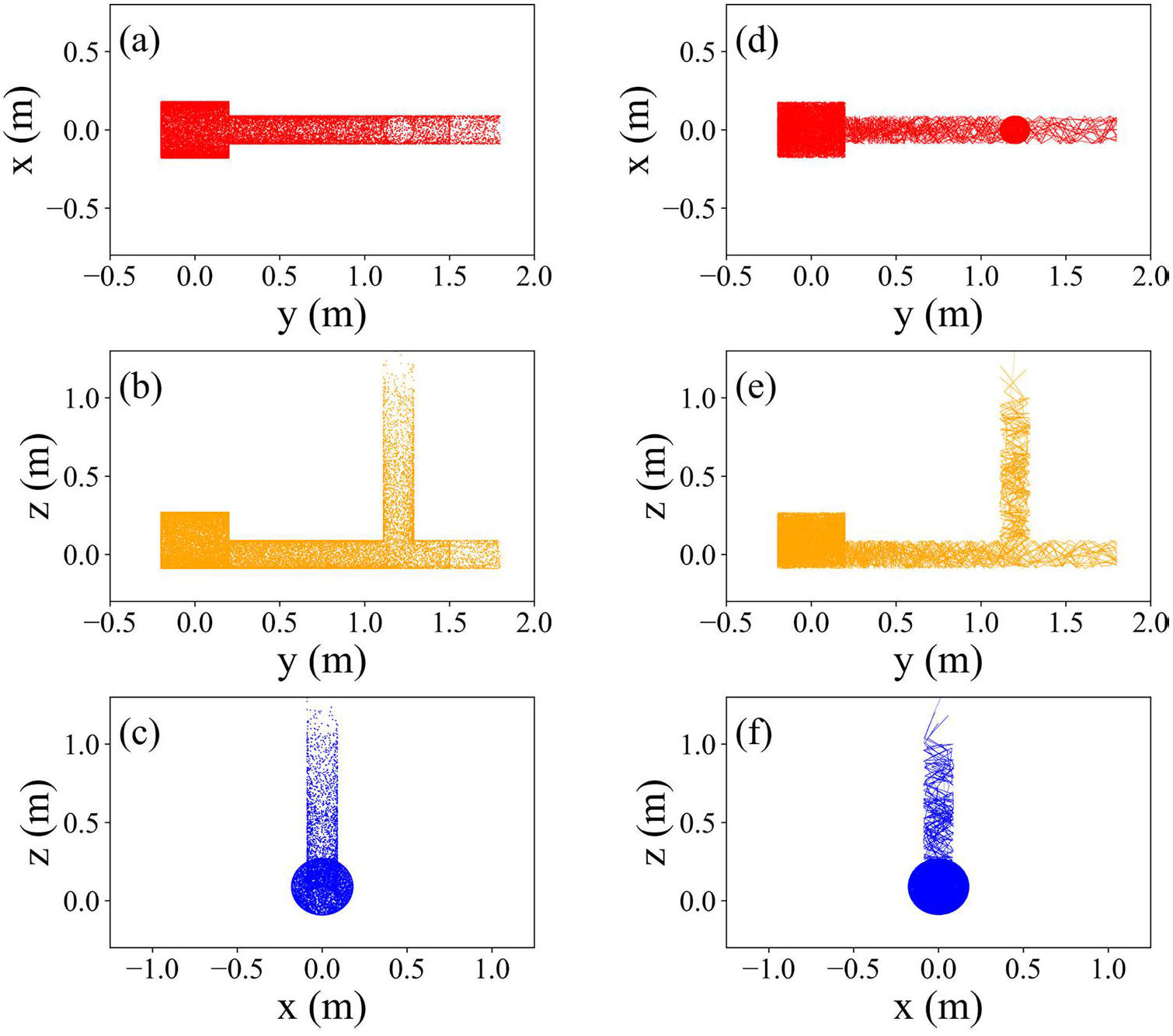
Extending the geometry code in MCUCN to accommodate various experiments or designs is crucial. Utilizing the developed Python code, we can assess the accuracy of the constructed geometry and identify any potential gaps. Figure 4(a), (b), and (c) depict the results of the simulations, indicating the points where the UCNs collide with the wall of the transport system. We projected the results into XOY, XOZ, and YOZ planes to indicate whether the geometry is the one we aim to construct and to know if there are some gaps. Figure 4(d) to (f) provide the trajectories of UCNs on XOY, XOZ, and YOZ planes in the extraction process. The horizontal near-foil extraction geometry reveals no gaps, confirming the accuracy of the geometry model.
_2026_03/1001-8042-2026-03-49/alternativeImage/1001-8042-2026-03-49-F004.jpg)
Comparison of the transmission rates simulated by MCUCN, iMCUCN, and UCNtransport
Tables 2 through 3 delineate the simulated outcomes by UCNtransport, MCUCN, and iMCUCN. Table 2 details the optimization process for the horizontal near-foil extraction system, changing simulation parameters based on the preceding step. A marked discrepancy in transmission rates is observed between MCUCN and UCNtransport simulations, whereas the variance between iMCUCN and UCNtransport remains under 10%. This underscores the critical role of the upscattering mechanism in iMCUCN for accurately simulating the SFHe UCN source at 1.6 K.
| Configuration | TMCUCN (%) | TiMCUCN (%) | TUCNtransport (%) | D (%) |
|---|---|---|---|---|
| Baseline: Al foil, Pdiffuse = 3% | 66.6 | 34.1 | 35.0 | 2.6 |
| Pdiffuse = 50% in converter | 72.6 | 42.1 | 43.0 | 2.1 |
| Pdiffuse = 50% in vertical volume | 77.6 | 43.8 | 45.0 | 2.7 |
| Switch foil from Al to ideal PP | 85.5 | 49.3 | 53.0 | 7.0 |
| Add PP elastic scattering | 85.5 | 35.6 | 36.0 | 1.1 |
| Add PP foil support grid loss | 77.0 | 32.0 | 32.0 | 0.0 |
| Add 4 m guide to external volume | 61.6 | 25.6 | 26.0 | 1.5 |
| hcolumn (m) | TMCUCN (%) | TiMCUCN (%) | TUCNtransport (%) | D (%) |
|---|---|---|---|---|
| 0.2 | 70.3 | 32.0 | 31.0 | 3.2 |
| 0.4 | 76.2 | 34.0 | 32.9 | 3.3 |
| 0.6 | 79.4 | 35.3 | 34.3 | 2.9 |
| 0.8 | 83.5 | 35.7 | 35.5 | 0.6 |
| 1.0 | 85.5 | 35.9 | 36.3 | 1.1 |
| 1.2 | 86.6 | 36.4 | 37.0 | 1.1 |
Furthermore, the absence of a transmission model for materials with negative optical potential in MCUCN hinders the accurate inclusion of PP foil in simulations. Per Table 2, transitioning from "switch foil from Al to ideal PP" to "Add PP elastic scattering" does not yield changes in MCUCN simulations.
In the optimization steps detailed in Table 2, incorporating diffuse reflection within the UCN converter assists in extricating UCNs from long-lived orbits in symmetric geometries. Adding the same diffusion rate in the heat exchanger volume limits the increase in the transmission rate, as UCNs have the potential to escape from the heat exchanger. Changing Al foil to PP foil increases the rate by 8% because low-energy UCN can pass the foil. Considering the elastic scattering in the PP foil, 72% of UCNs pass through it in iMCUCN simulations, which is close to the 68% obtained by UCNtransport. "Add PP foil support grid loss" refers to the necessity of providing a support for the foil confining superfluid 4He in practical applications, which results in a neutron transmission rate of 90%. The converter is located near the spallation target and requires a thick shield. Therefore, a 4 m long UCN transport guide should be installed at the end of the system in Fig. 2, accompanied by an extraction rate of 80%.
In Table 3, the extraction rates of UCN increase with the height of the heat exchanger column when Pdiffuse = 50% on its side walls. The results simulated by MCUCN are more than two times those simulated by iMCUCN. However, the differences between iMCUCN and UCNtransport at various column heights are less than 10%.
In conclusion, the simulation results from iMCUCN and UCNtransport are in agreement.
Comparison of MCUCN, iMCUCN simulated and SUN1 experimental results
To confirm the validity of the iMCUCN code, we perform simulation by MCUCN and iMCUCN and compared the result with the SUN1 measured results reported by Oliver Zimmer et al. [39, 49]. The analysis revealed that the disparities in count rates between the experimental measurements and iMCUCN simulations are small. In contrast, the predicted transmission rates by MCUCN exhibit deviations from the experimental results. This discrepancy predominantly arises from the lack of essential physical processes in MCUCN.
The experimental configuration and parameters
Figure 5 illustrates the experimental configuration. The 4He converter exhibits a rectangular geometry measuring 100 cm × 7 cm × 7 cm, with Be coated on the front and rear faces and BeO used for the sides. The vertically oriented extraction guide is positioned at a height of 10 cm, with the shutter situated midway along its length. Following this, there is a 7 cm horizontal bend leading to a second vertical guide extending for 15 cm, ultimately leading to the detector at its end. Constructed from stainless steel, the guides have a diameter of 23 mm. The gap area at the shutter is 1.73 mm2. Refer to Table 4 for detailed information on various input parameters.
| Configuration | Parameters |
|---|---|
| Converter dimensions | 100 cm × 7 cm × 7 cm |
| Radius of guide | 0.0115 m |
| VHe | 18.5 neV |
| VBeO | 261.0 neV |
| ηBeO | 1.35 × 10-5 |
| VBe | 252.0 neV |
| ηBe | 5 × 10-6 |
| Vstainless | 183.0 neV |
| ηstainless | 9.3 × 10-5 |
| Open shutter at | 804 s |
| Close shutter at | 937 s |
The initial UCN spectrum follows Eq. 8, and the maximum energy is 261 neV decided by the optical potential of BeO. The measured UCN count rate at the detector of the SUN1 system is depicted in Fig. 6. During a scenario where cold neutrons are incident while the shutter is closed, the detector detects UCNs, attributed to small gap between shutter and guide. The UCN count rates at the detector reached a saturation point after approximately 200 s. At around 800 s, the cold neutron beam was deactivated, coinciding with the shutter’s opening to the UCN guide. A peak in the UCN count rate at the detector was observed after about 3 s. Subsequently, the shutter was closed after 135 s.
Scenario before opening shutter
Before opening the shutter, the UCN number in the converter as a function of time is [38]:_2026_03/1001-8042-2026-03-49/alternativeImage/1001-8042-2026-03-49-M009.png)
_2026_03/1001-8042-2026-03-49/alternativeImage/1001-8042-2026-03-49-M010.png)
The UCN count rate at the detector in Fig. 6 can be expressed as_2026_03/1001-8042-2026-03-49/alternativeImage/1001-8042-2026-03-49-M011.png)
In the converter, the β decay term remains constant, and the absorption of 3He is not disregarded under this condition. Both the He-II upscattering and the abundance of 3He are independent of UCN velocity. According to Ref. [39], it was reported that
The leakage count rate at the detector is proportional to the area of the gap between the shutter and guide. The gap of the shutter, unspecified in Ref. [39, 49], can only be determined by comparing with simulated results through changing the size of gap. As illustrated in Fig. 7, we observed an increase in the UCN count rate before opening the shutter with increasing shutter gap size because the leakage rate is proportional to the gap area. The gap whose simulation results coincide with the experimental results before opening the shutter is determined to be 1.73 mm2.
_2026_03/1001-8042-2026-03-49/alternativeImage/1001-8042-2026-03-49-F007.jpg)
Scenario after opening of the shutter
After opening the shutter, the accumulated UCNs in the converter will be released. Neglecting gravity and the energy distribution of UCNs, and closing the shutter of cold neutron, the decay of UCNs in the converter after opening the shutter can be_2026_03/1001-8042-2026-03-49/alternativeImage/1001-8042-2026-03-49-M012.png)
The decay time after opening the shutter is primarily influenced by the area of the guide, which has been determined experimentally. It can also be affected by the unknown diffuse reflection probabilities of the guide (dg) and converter (dc). The diffuse reflection probability of polished stainless steel coated in the guide typically falls within the range of 0.5 m to 1 m. Therefore, we present the decay time constants for some results in Table 5.
| dg (%) | dc (%) | τ (s) | τ1 (s) | τ2 (s) | |
|---|---|---|---|---|---|
| SUN1 in [39] | – | – | 67 | 13 | 34 |
| 0.5 | 3.0 | 73.4 | 12.6 | 30.3 | |
| 1.5 | 3.0 | 71.0 | 13.7 | 31.7 | |
| iMCUCN | 5.0 | 3.0 | 83.3 | 16.1 | 35.1 |
| 8.0 | 3.0 | 82.6 | 17.5 | 35.1 | |
| 10.0 | 3.0 | 80.9 | 19.4 | 42.0 | |
| 1.5 | 1.0 | 78.4 | 13.9 | 32.8 | |
| iMCUCN | 1.5 | 3.0 | 71.0 | 13.7 | 31.7 |
| 1.5 | 5.0 | 77.9 | 11.9 | 26.4 | |
| 1.5 | 10.0 | 83.2 | 14.0 | 31.8 |
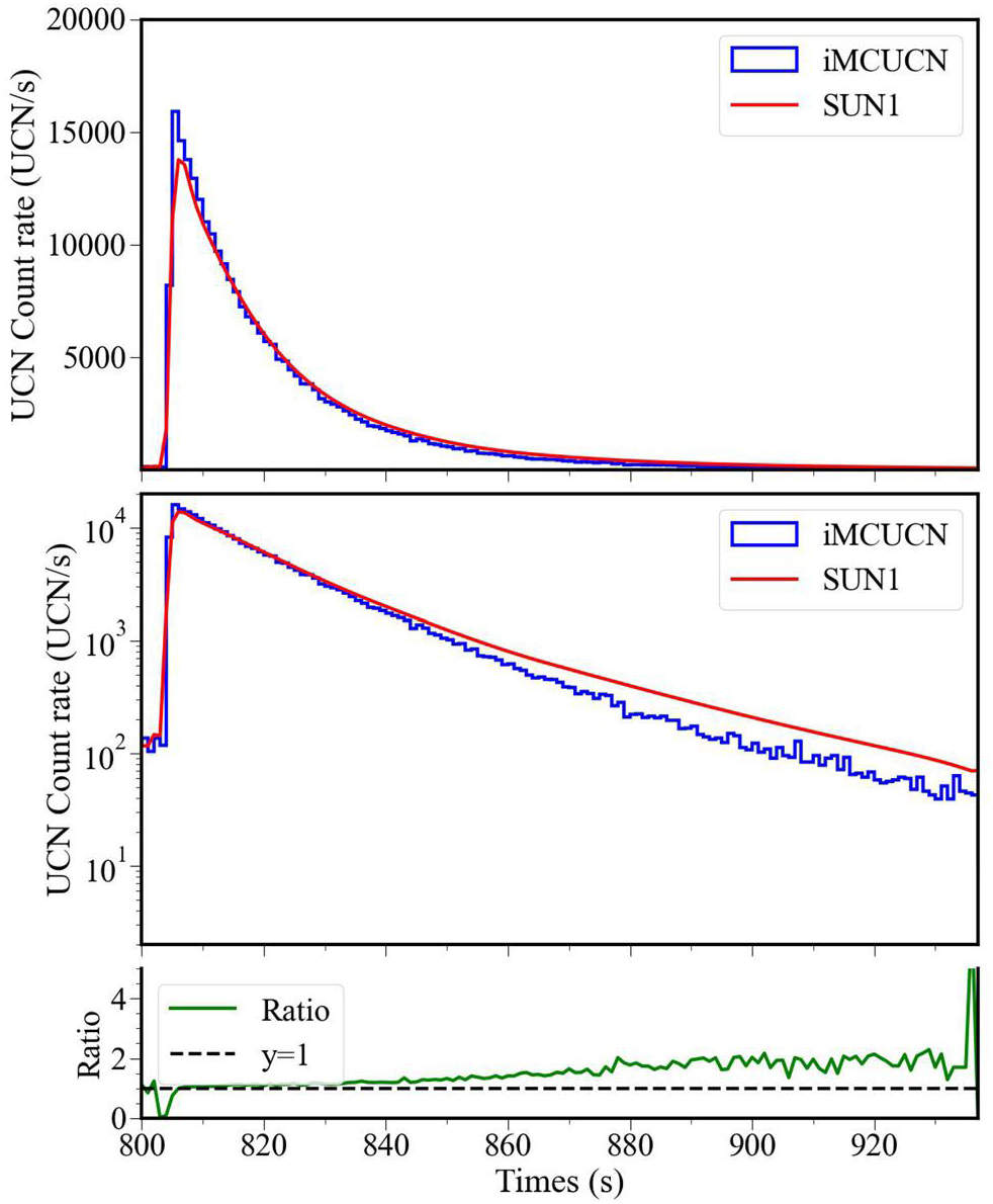
The optimal condition corresponds to a converter diffuse reflection probability dc = 3.0%, a guide diffuse reflection probability dg = 1.5%. The final buildup time is 71.0 s, the two decay time constants are 13.7 s and 31.7 s. And the comparison between the simulated results and the measured results under this condition are shown in Fig. 8. The simulation results from iMCUCN under this condition closely align with the experimental data. Specifically, UCNs with lower energy contribute to the second decay time constant τ2. The discrepancy ranging from 840 s to 937 s between SUN1 measurements and data simulated by iMCUCN may arise from several factors. Firstly, the UCN spectrum generated in simulation may differ from the actual conditions in the experiment. Secondly, errors may be presented in the data reading process from [39]. To clarify these discrepancies, further experiments need to be conducted.
_2026_03/1001-8042-2026-03-49/alternativeImage/1001-8042-2026-03-49-F008.jpg)
Discussion
To further enhance comprehension of the underlying physics discussed in this section, additional details will be presented below.
The results obtained with dc = 3.0% and dg = 1.5% as simulated by MCUCN exhibit discrepancies with the experimental data depicted in the upper panel of Fig. 9. In the MCUCN simulation, the buildup time is 153.0 s, and the decay time constants are 15.3 s and 38.3 s. In the absence of losses due to impurities, leakage, absorption of 3He, and upscattering in 4He, the time required to reach the saturation UCN count rate is longer, allowing more UCNs to survive and be extracted. According to Eq. 3, wall loss depends on UCN energy, i.e., the lower the UCN energy, the smaller the chance of being lost after collision with the wall. The velocity of low-energy UCN is slower and takes more time to reach the detector. Therefore, the slope of the UCN count rate at detector after opening shutter simulated by MCUCN is relatively smaller than that simulated by iMCUCN in the upper panel of Fig. 9.
_2026_03/1001-8042-2026-03-49/alternativeImage/1001-8042-2026-03-49-F009.jpg)
Figure 10 depicts the UCN spectrum within the converter at various time points simulated by iMCUCN. The figure at the top shows the UCN spectrum in the converter simulated by iMCUCN before 800 s, depicting the change over time. Initially, at 20 s, the UCNs begin to accumulate within the converter. Approximately 300 s later, a saturation point is nearly reached, indicating that the rate of UCN accumulation has equalized with the rate of their loss. However, from 804 s, the UCN spectrum within the converter begins to decrease due to the opening of the shutter. It is noteworthy that the saturated UCN spectrum observed at 800 s does not strictly adhere to the expected distribution as described by Eq. 8. This deviation is attributed to the presence of energy-dependent loss mechanisms, including impurities, leakage, and interactions with the converter walls. The figure below displays the UCN spectrum in the converter simulated by iMCUCN after 800 s. At 810 s, a greater number of faster UCNs have been extracted compared to those with lower energy. By 900 s, the majority of the UCN have been extracted, with only a small number of low-energy UCN remaining in the converter. The optical potentials of BeO, Be, and stainless steel are 261 neV, 252 neV, and 183 neV, respectively. UCNs with energy lower than 183 neV can be more effectively constrained than those ranging from 183 neV to 252 neV, as some of them may escape from the stainless steel guide before the shutter. UCNs with energies between 252 neV and 261 neV will be less constrained due to the presence of Be surfaces.
_2026_03/1001-8042-2026-03-49/alternativeImage/1001-8042-2026-03-49-F010.jpg)
The total UCN number within the converter can be illustrated through simulation, as visualized in Fig. 11. Notably, there exists a significant discrepancy between the MCUCN simulated total UCN number and those obtained from the iMCUCN simulation within the converter due to the lack of losses models of impurities, leakage, absorption of 3He, and upscattering in 4He in MCUCN.
_2026_03/1001-8042-2026-03-49/alternativeImage/1001-8042-2026-03-49-F011.jpg)
Figure 12 illustrates the UCN spectrum at the detector. Prior to the opening of the shutter, the spectrum at the detector remains low due to the small leakage rate from the gap and the low statistical UCN count rate. At about 807 s, the UCN spectrum is near to the peak, indicating a significant extraction of UCNs to the detector. Higher energy UCNs dominate the spectrum during this period. Subsequently, after 33 s, the extracted UCN number notably decreases, with lower energy UCNs becoming more prominent than higher energy ones. At 870 s, only lower energy UCNs remain. Finally, by 900 s, only a few lower energy UCNs can be extracted and detected at the detector.
_2026_03/1001-8042-2026-03-49/alternativeImage/1001-8042-2026-03-49-F012.jpg)
Conclusion
In this paper, we extended the capabilities of the MCUCN code by incorporating the upscattering effect of 4He, absorption of 3He in superfluid helium, upscattering and absorption of impurities, source energy distribution in SFHe, and a transmission model for materials with negative optical potential, as well as geometry description. We thoroughly validated the source and geometry parameters. Subsequent analysis showed that the data simulated by iMCUCN were in close agreement with the simulations conducted by UCNtransport for the Lujan Center Mark3 UCN transport system and the SUN1 experimental data. These results demonstrate that iMCUCN is effective for simulating UCN storage and transport in SFHe UCN sources.
Ultracold neutrons—physics and production
. Nucl. Phys. News 20, 17-23 (2010). https://doi.org/10.1080/10619121003626724Reflection of neutrons on mirrors
. Paper presented at International Conference on Fundamental Particles and Low Temperatures (1947),Interference phenomena of slow neutrons
. Phys. Rev. 71, 666 (1947). https://doi.org/10.1103/PhysRev.71.666Observation of ultracold Neutrons
. JETP Lett. 9, 40-45 (1969). https://www.researchgate.net/publication/234266607Measurements of total cross sections for very slow neutrons with velocities from 100 m/sec to 5 m/sec
. Phys. Rev. B 29, 33-35 (1969). https://doi.org/10.1016/0370-2693(69)90127-0Measurement of the permanent electric dipole moment of the neutron
. Phys. Rev. Lett. 124,Improved neutron lifetime measurement with UCNτ
. Phys. Rev. Lett. 127,New result for the neutron β-asymmetry parameter A0 from UCNA
. Phys. Rev. C 97,Improved limits on Fierz interference using asymmetry measurements from the Ultracold Neutron Asymmetry (UCNA) experiment
. Phys. Rev. C 101,Proof of principle for Ramsey-type gravity resonance spectroscopy with qBounce
. EPJ Web Conf. 219, 05004 (2019). https://doi.org/10.1051/epjconf/201921905004Experiments with gravitationally-bound ultracold neutrons at the European Spallation Source ESS
. Phys. Procedia 51, 67-72 (2014). https://doi.org/10.1016/j.phpro.2013.12.016Ultracold neutron physics at the Los Alamos National Laboratory
. in 20th International Conference on Particles and Nuclei, 444-447 (2014). https://doi.org/10.3204/DESY-PROC-2014-04/116Toward an improved search for neutron-antineutron oscillations
. Nucl. Instrum. Meth. A 611, 144-148 (2009). https://doi.org/10.1016/j.nima.2009.07.049Investigation of the radiative capture of UCN at the matter surface
. Nucl. Instrum. Meth. A 440, 690-694 (2000). https://doi.org/10.1016/S0168-9002(99)01063-3Violation of CP invariance, C asymmetry, and baryon asymmetry of the universe
. Sov. Phys. Usp. 34, 392 (1991). https://doi.org/10.1070/PU1991v034n05ABEH002497A transport optics for pulsed ultracold neutron sources
. Nucl. Instrum. Meth. A 634, 25-27 (2011). https://doi.org/10.1016/j.nima.2010.06.210A liquid hydrogen source of ultra-cold neutrons
. Phys. Lett. A 80, 413-416 (1980). https://doi.org/10.1016/0375-9601(80)90784-7Experimental study of a solid-deuterium source of ultracold neutrons
. JETP Lett. 62, 785-790 (1995).Studies of a solid-deuterium source for ultra-cold neutrons
. Nucl. Instrum. Meth. A 440, 658-665 (2000). https://doi.org/10.1016/S0168-9002(99)01058-XSolid deuterium source of ultracold neutrons based on a pulsed spallation source
. Jetp Lett. 66, 802-808 (1997). https://doi.org/10.1134/1.567601Solid deuterium and UCN factory: application to the neutron electric dipole moment measurement
. Nucl. Instrum. Meth. A 440, 653-657 (2000). https://doi.org/10.1016/S0168-9002(99)01057-8Demonstration of a solid deuterium source of ultra-cold neutrons
. Phys. Rev. B 593, 55-60 (2004). https://doi.org/10.1016/j.physletb.2004.04.048UCN collaboration, An ultracold neutron facility at PSI
. AIP Conf. Proc. 549, 888-889 (2000). https://doi.org/10.1063/1.1345387First production of ultracold neutrons with a solid deuterium source at the pulsed reactor TRIGA Mainz
. Eur. Phys. J. A 34, 119-127 (2007). https://doi.org/10.1140/epja/i2007-10494-2Comparison of ultracold neutron sources for fundamental physics measurements
. Phys. Rev. C 95,Performance of the upgraded ultracold neutron source at Los Alamos National Laboratory and its implication for a possible neutron electric dipole moment experiment
. Phys. Rev. C 97,Design and commissioning of a wideband RF system for CSNS-II rapid-cycling synchrotron
. Nucl. Sci. Tech. 35, 5 (2024). https://doi.org/10.1007/s41365-024-01377-6Nondestructive technique for identifying nuclides using neutron resonance transmission analysis at CSNS Back-n
. Nucl. Sci. Tech. 35, 17 (2024). https://doi.org/10.1007/s41365-024-01367-8Longitudinal beam dynamic design of 500 kW beam power upgrade for CSNS-II RCS
. Radiat. Detect. Technol. Methods 6, 339-348 (2022). https://doi.org/10.1007/s41605-022-00325-5Beamline design for multipurpose muon beams at CSNS EMuS
. Nucl. Sci. Tech. 35, 38 (2024). https://doi.org/10.1007/s41365-024-01406-4Development of a large nanocrystalline soft magnetic alloy core with high μ′pQfQf products for CSNS-II
. Nucl. Sci. Tech. 33, 99 (2022). https://doi.org/10.1007/s41365-022-01087-xPENTrack-a simulation tool for ultracold neutrons, protons, and electrons in complex electromagnetic fields and geometries
. Nucl. Instrum. Meth. A 858, 123-129 (2017). https://doi.org/10.1016/j.nima.2017.03.036The simulation of ultracold neutron experiments using GEANT4
. Nucl. Instrum. Meth. A 552, 513-521 (2005). https://doi.org/10.1016/j.nima.2005.06.065The MCUCN simulation code for ultracold neutron physics
. Nucl. Instrum. Meth. A 881, 16-26 (2018). https://doi.org/10.1016/j.nima.2017.10.065The interaction of Ultra-Cold Neutrons (UCN) with liquid helium and a superthermal UCN source
. Phys. Lett. A 62, 337-339 (1977). https://doi.org/10.1016/0375-9601(77)90434-0New source for ultracold neutrons at the Institut Laue-Langevin
. Phys. Rev. C 90,On the storage of neutrons in superfluid 4He
. Phys. Rev. A 72, 387-390 (1979). https://doi.org/10.1016/0375-9601(79)90505-XObservation of ultracold-neutron production by 9-Å cold neutrons in superfluid helium
. Phys. Rev. Lett. 68, 1323-1326 (1992). https://doi.org/10.1103/PhysRevLett.68.1323Ultracold-neutron production and up-scattering in superfluid helium between 1.1 K and 2.4 K
. Phys. Rev. C 93,Production and storage of ultracold neutrons in superfluid 4He
. Phys. Rev. Lett. 70, 517-517 (1993). https://doi.org/10.1103/PhysRevLett.70.517Operation of a superthermal ultra-cold neutron source and the storage of ultra-cold neutrons in superfluid4
. Z. Phys. B Con. Mat. 51, 187-193 (1983). https://doi.org/10.1007/BF01307673A next-generation inverse-geometry spallation-driven ultracold neutron source
. J. Appl. Phys. 126,Effect of oxide films and structural inhomogeneities on transmission of ultracold neutrons through foils
. Eur. Phys. J.-Appl. Phys. 73, 20302 (2016). https://doi.org/10.1051/epjap/2016150073Ultra-cold neutron transmission of clear and metal-coated polypropylene windows
. J. Phys. D Appl. Phys. 21, 1326 (1988). https://doi.org/10.1088/0022-3727/21/9/003The angular distribution of ultracold neutrons produced by scattering cold neutrons in superfluid 4He
. Pis’ma ZhETF 58, 844-846 (1993).Superthermal source of ultracold neutrons for fundamental physics experiments
. Phys. Rev. Lett. 107,The authors declare that they have no competing interests.


_2026_03/1001-8042-2026-03-49/alternativeImage/1001-8042-2026-03-49-F005.jpg)
_2026_03/1001-8042-2026-03-49/alternativeImage/1001-8042-2026-03-49-F006.jpg)