1 Introduction:
Molten FLiNaKBe salt can be used as fuel and heat transfer media in nuclear reactor, due to its advantage of high thermal conductivity, low viscosity and high boiling point, etc[1,2]. The research on thorium-based molten salt reactors (TMSR) has been launched in China[3]. However, tritium as a product of fuel fission and neutron absorption by lithium in the salt would be generated when the TMSR is running [4]. Thus, it is necessary to find a safe way to store the tritium for its high mobility and radioactivity [5].
Solid state storage of hydrogen isotopes (H, D, and T) in the form of metal hydrides/deuterides/tritides are considered as the safest and the most advantageous method over conventional storage methods like gaseous storage in high pressure gas cylinders and liquid storage in cryogenic tanks[6,7]. For the storage of tritium as metal tritides in tritium handling facilities, it should have low equilibrium pressure, high absorption capacity and delivery of high purity 3He-free tritium without the use of pumps[8]. As a favored material, LaNi4.25Al0.75 alloy was used in tritium processing facilities to store tritium at the Savannah River Site (SRS) in the USA because it is easily activated, a delivery pressure of >200kPa is easily achieved by moderate heating, and it captures nearly the entire 3He[9]. So far, LaNi4.25Al0.75 alloy as a tritium storage medium has been used for more than 20 years[8]. Cheng et al.[10] reported the hydrogen storage performance of LaNi4.25Al0.75/SiO2 composite and found that the composite possess excellent pulverization resistance with cycles. The effect of SiO2 encapsulation on the hydrogen absorption kinetics of LaNi4.25Al0.75 in a hydrogen atmosphere with a tiny amount of CO impurity was studied by Han et al.[11]. Moreover, the effect of hydrogen absorption/desorption cycling on the hydrogen storage performance of LaNi4.25Al0.75 was reported by Cheng et al.[12] and it was found that cycling could result in pulverization of the bulk alloy.
Mg and Mg-Ni-based alloys, which have a low cost, have been used for on-board hydrogen storage recently due to their rather high hydrogen storage capacity[13,14]. Besides, the Mg based hydrides possess good quality functional properties, such as heat-resistance, reversibility and recyclability[15]. Hence, a partial substitution of Mg for La in LaNi4.25Al0.75 alloys may improve tritium storage properties of the alloy. Moreover, it would be more economical in manufacturing because metal Mg is much cheaper than metal La. However, information about the substitution of Mg for La in LaNi4.25Al0.75 alloys is scarce. Thus, it is necessary to investigate the tritium absorption/desorption properties of La(1-x)MgxNi4.25Al0.75 alloys. Tritium is a radioactive gas. Most experiments related to development of tritium storage materials are primarily carried out using hydrogen and deuterium. Owing to the similar chemical properties, reactions of hydrogen isotopes with alloys form their corresponding hydrides, deuterides, and tritides with same stoichiometry[16]. As an alternative to tritium, therefore, hydrogen was used to study the tritium storage properties of as-cast La(1-x)MgxNi4.25Al0.75 alloys in this study.
2 Experimental Section:
The as-cast La(1-x)MgxNi4. 25Al0.75 alloys (x=0.0, 0.1, 0.2, 0.3) used in this study were prepared by an electromagnetic induction melting furnace with a cold crucible at Metallurgical Laboratory of Shanghai University. The purities of the starting materials were 99.5%, 99.9%, 99.99% and 99.95% for La, Ni, Al, and Mg, respectively. The melting was carried out under argon atmosphere. Because the saturated vapor pressure of magnesium is significantly high, a three-step melting method was used to reduce the loss of Mg. First, the La(1-x)Ni4.25Al0.75 alloy was prepared with Al, La and Ni placed in the crucible from bottom to top. The as-cast ingot of the La(1-x)Ni4.25Al0.75 alloy was mechanically crushed to pieces after the preparation. Second, Mg was put into the bottom of the crucible and covered with the La(1-x)Ni4.25Al0.75 pieces to melt the La(1-x)MgxNi4.25Al0.75 alloy. Finally, the as-cast ingot of La(1-x)MgxNi4.25Al0.75 alloy was broken into pieces and melted again under the same conditions to get a homogeneous alloy. Some magnesium was lost in the melting procedure. In this work, thus, a 15% excess of Mg was added in the melting to offset the loss.
The crystal structure of the alloys was measured by an X-ray diffractometer (XRD, Bruker, D8 ADVANCE type, Germany) at the XRD Laboratory of Nuclear Materials and Engineering Department in SINAP, CAS. The X-ray diffractometer worked with the X-ray of Cu Kα and scanned in the 2θ range of 10-90° at room temperature. The scanning step size and dwell times per step were 0.02° and 0.5s, respectively. All the alloy samples were mechanically crushed and grinded into powders for the XRD analysis. The Rietveld refinement of the XRD profiles was performed by the Topas software installed in the X-ray diffractometer to obtain phase abundance and lattice parameters.
The hydrogen absorption/desorption pressure-composition isotherms (PCI) of the alloys were measured on a Sieverts apparatus with 99.999% purity hydrogen gas at the New Energy Material & Technology Laboratory of Yangzhou University. The PCI was obtained by the volumetric technique[17,18]. The volumetric method is an indirect measurement. It consists of expanding gas from a high pressure cell into a low pressure cell during an isothermal process. Hydrogen concentration in alloys can be formulated according to the real-time monitored pressure and temperature, calibrated volumes of different parts, as well as the real equation of state for hydrogen. The kinetics of absorption can be studied by charging high pressure (above the equilibrium value), then recording the drop in the pressure versus time. Desorption can be studied by evacuating to low pressure (below the equilibrium value), then recording the rise in the pressure versus time. Roughly one sample of 1 g was put into the reaction chamber, evacuated at 373K for 30min, and then reacted with 9MPa hydrogen gas. After 10 absorption/desorption cycles, the amount of hydrogen absorbed by the sample remained constant. Hence the alloy was considered to be fully activated. Subsequently, the P-C isotherms of the hydrogen absorption/desorption and absorption kinetics curves were measured at 363K, 383K and 403K, respectively. The research showed that the uncertainty of the PCI measurement was less than 2%[18]. More detail about the PCI measurement principle, setup and uncertainty can be found in the relevant literature [15,16].
3 Results and Discussion:
3.1 Alloy phases and crystal structure
There were three phases in the as-cast La(1-x)MgxNi4.25Al0.75 (x=0.0, 0.1, 0.2, 0.3) alloys, which were LaNi4Al phase[19] with a CaCu5-type hexagonal structure, the (La,Mg)Ni3 phase[20] with a PuNi3-type rhombohedral structure, and the AlNi3 phase[21] with a AuCu3-type cubic structure (Fig.1). The LaNi4Al and (La,Mg)Ni3 are hydrogen absorbable phases, while the AlNi3 is not such a phase[22,23]. The Rietveld refinement pattern of the XRD profile for the quantitative phase analysis of the alloy with x=0.2 is represented in Fig.2, which showed that the calculated patterns by the Rietveld method were in well agreement with the experimental patterns. In the Rietveld refinement, the structure models for the LaNi4Al, (La,Mg)Ni3 and AlNi3 phases were taken from the reported CaCu5[24],PuNi3 [20] and AuCu3[21] structures, respectively. Lattice constants and phase abundances are tabulated in Table.1. The values of the Rietveld fit parameters Rwp and S are about 10% and 2, respectively, which indicates the Rietveld refinement and quantitative analysis are reliable in this work (Table.1). The evolution of phase abundance versus Mg content is shown in Fig.3. It was apparent that the phase structures and abundances of the alloys were varied with Mg contents. When the values of x were 0.0 and 0.1, LaNi4Al was the only phase to be found in the alloys, suggesting that Mg dissolved into the alloy with x=0.1. As x values increased to 0.2 and 0.3, (La,Mg)Ni3 and AlNi3 phases occurred in the alloys. When the x value increased from 0.2 to 0.3, the abundance of the LaNi4Al phase fell from 75.28 wt.% to 65.25 wt.%, whereas the abundances of the AlNi3 and (La,Mg)Ni3 phases increased from 9.20 wt.% and 15.51 wt.% to 11.65 wt.% and 23.1 wt.%, respectively. The hydriding/dehydriding properties of the alloys might be affected by these changes of phase abundances.
| Alloys | Phases | Space groups | a(Å) | c(Å) | V(Å3) | Abundance (wt.%) |
|---|---|---|---|---|---|---|
| LaNi4.25Al0.75 Rwp=10.26%, S=2.99 | LaNi4Al | P6/mmm | 5.0475 | 4.0449 | 89.24 | 100.00 |
| La0.9Mg0.1Ni4.25Al0.75 Rwp=9.58%, S=2.09 | LaNi4Al | P6/mmm | 5.0428 | 4.0477 | 89.14 | 100.00 |
| La0.8Mg0.2Ni4.25Al0.75 Rwp=8.77%, S=1.91 | LaNi4Al | P6/mmm | 5.0420 | 4.0478 | 89.04 | 75.28 |
| AlNi3 | 3.5430 | / | 44.47 | 9.20 | ||
| (La,Mg)Ni3 | 4.9956 | 24.229 | 523.66 | 15.51 | ||
| La0.7Mg0.3Ni4.25Al0.75 Rwp=10.02%, S=2.22 | LaNi4Al | P6/mmm | 5.0367 | 4.0439 | 88.84 | 65.25 |
| AlNi3 | 3.5300 | / | 43.96 | 11.65 | ||
| (La,Mg)Ni3 | 4.9844 | 24.170 | 520.04 | 23.1 |
-201602/1001-8042-27-02-006/alternativeImage/1001-8042-27-02-006-F001.jpg)
-201602/1001-8042-27-02-006/alternativeImage/1001-8042-27-02-006-F002.jpg)
-201602/1001-8042-27-02-006/alternativeImage/1001-8042-27-02-006-F003.jpg)
The crystallographic parameters of every phase in the alloys were in agreement with the published data[25,26] (Table.1). The cell volumes of the main phase, LaNi4Al, decreased with the increasing Mg content. Likewise, the cell volume of the (La,Mg)Ni3 phase decreased in the alloys with x=0.2 and x=0.3. These might be mainly due to the substitutions of Mg for La. The atomic radii of Mg (1.602 Å) is shorter than La (1.897 Å)[22].
3.2 Pressure-composition isotherms
The hydrogen absorption and desorption P-C isotherms of the as-cast La(1-x)MgxNi4.25Al0.75 (x=0.0, 0.1, 0.2, 0.3) alloys are shown in Fig.4. For each alloy, the upper and lower curves are absorption and desorption isotherms, respectively. It can be seen that all the alloys showed one sloping plateau and no significant hysteresis loops between the absorption and desorption curves. Research has shown that the hydrogen absorption/desorption P-C isotherms of an annealed LaNi4.25Al0.75 alloy had a flat plateau because the alloy became more homogeneous after anneal treatment [13,17]. Thus, heat treatment may raise the homogeneity of the La(1-x)MgxNi4.25Al0.75 (x=0.0, 0.1, 0.2, 0.3) alloys, thereby improving the plateau pressures of their hydrogen absorption/desorption P-C isotherms.
-201602/1001-8042-27-02-006/alternativeImage/1001-8042-27-02-006-F004.jpg)
With the elevation of Mg from 0.0 to 0.3, the hydrogen storage capacity decreased from 1.18% to 0.93% and 1.15% to 0.87% at 363K and 383K, respectively (Fig.4). Usually the hydrogen storage capacity would be geometrically connected to the free interstitial space [27]. In this work, the unit cell volume of the hydrogen absorption phases LaNi4Al and (La,Mg)Ni3 decreased with increasing the Mg content (Table.1), which would make cause a smaller interstitial space to store less hydrogen. In the meantime, the quantitative phase analysis showed that the phase abundance of the AlNi3 phase increased from 9.20 wt.% to 11.65 wt.% as the x value was raised from 0.2 to 0.3 (Table.1). The AlNi3 is not a hydrogen absorbable phase. The formation enthalpy was low so that it was easy to generate and it was very stable as well[28,29]. Thus, the increment of the AlNi3 phase abundance in the alloys was the main reason for the degradation of the hydrogen storage capacity.
On the other hand, the addition of Mg resulted in the increment of the absorption/desorption pressure. This indicated that the stability of the alloy hydrides decreased as the Mg increased in the alloys, because the increment of the plateau pressure could be regarded as a measure of the stability for the alloy-hydrogen system[30]. The property might relate to the decrement of the unit cell volume of LaNi4Al and (La,Mg)Ni3 phases in the alloys (Table.1), because a smaller the unit cell and the interstitial hole size would cause a larger strain energy produced by hydrogen atoms occupying the interstitial site[31] .
3.3 Thermodynamic properties
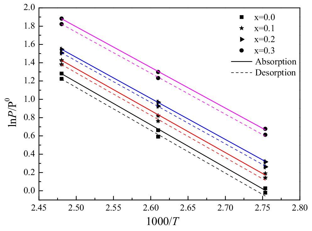
The enthalpies ΔH and entropies ΔS of the hydrogenation/dehydrogenation of La(1-x)MgxNi4.25Al0.75 alloys were calculated by the Van’t Hoff equation:
Where
There were good linear relationships between
| Alloys | ΔH(KJ/mol) | ΔS(J/mol K) | ΔG(KJ/mol)(363K) | wt.% (H) | |||||
|---|---|---|---|---|---|---|---|---|---|
| Absorption | Desorption | Absorption | Desorption | Absorption | Desorption | 363K | 383K | 403K | |
| LaNi4.25Al0.75 | -38.18±0.23 | 39.00±0.09 | -105.9 | 107.6 | 0.27 | -0.05 | 1.18 | 1.15 | 1.09 |
| La0.9Mg0.1Ni4.25Al0.75 | -37.99±0.19 | 38.56±0.21 | -106.9 | 107.9 | 0.82 | -0.63 | 1.17 | 1.13 | 1.08 |
| La0.8Mg0.2Ni4.25Al0.75 | -37.98±0.18 | 37.80±0.19 | -107.3 | 106.3 | 0.96 | -0.78 | 1.05 | 1.02 | 0.95 |
| La0.7Mg0.3Ni4.25Al0.75 | -37.77±0.14 | 37.76±0.15 | -108.9 | 108.3 | 1.74 | -1.55 | 0.93 | 0.87 | 0.82 |
-201602/1001-8042-27-02-006/alternativeImage/1001-8042-27-02-006-F005.jpg)
3.4 Hydrogen absorption/desorption kinetics
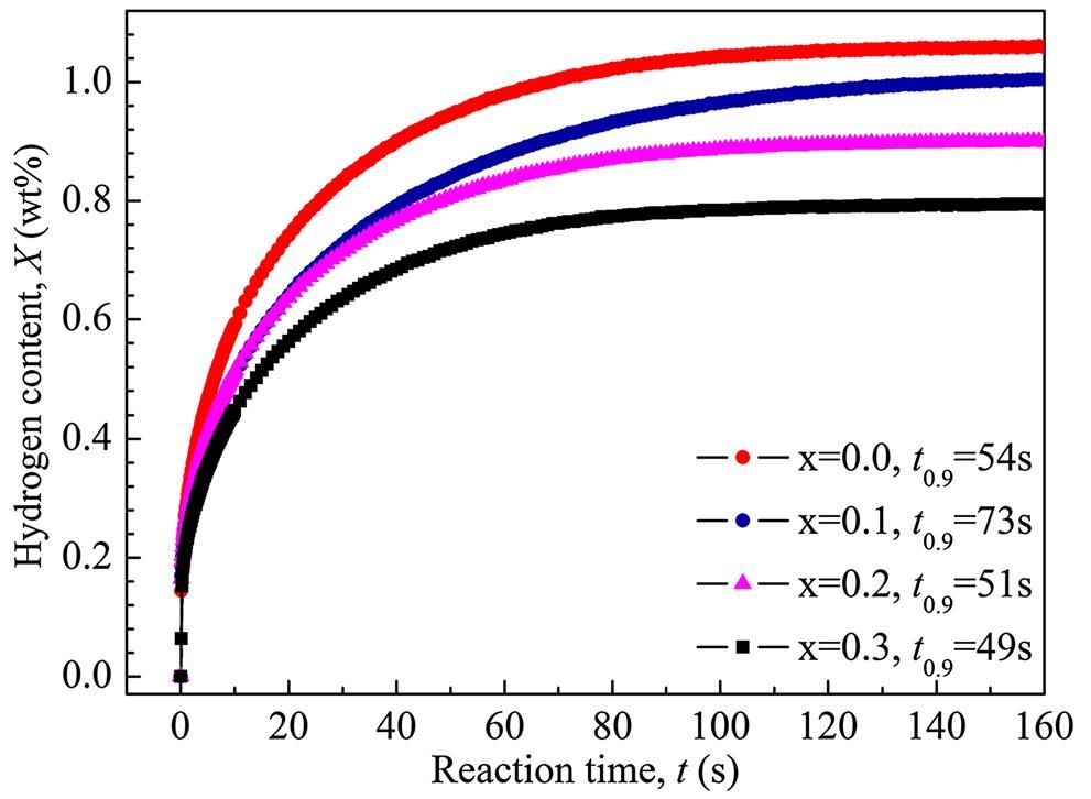
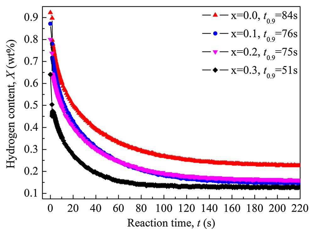
The hydrogen absorption and desorption kinetics of the La(1-x)MgxNi4.25Al0.75 alloys were assessed in this work. Because the reaction time is relative to the hydrogen absorption capacity of an alloy, the reaction time taken for absorbing/desorbing 90% of the maximum hydrogen (t0.9) is usually used to evaluate the hydrogen absorption/desorbing kinetics of alloys. The t0.9 values of the alloys with x=0.0, 0.1, 0.2, and 0.3 for absorption kinetics were 54s, 73s, 51s, and 49s (Fig.6), respectively, and for desorption kinetics were 84s, 76s, 75s and 51s, respectively (Fig.7). The results indicated that the absorption/desorption kinetics of the alloys became faster with the increase of Mg content from 0.1 to 0.3.
-201602/1001-8042-27-02-006/alternativeImage/1001-8042-27-02-006-F006.jpg)
-201602/1001-8042-27-02-006/alternativeImage/1001-8042-27-02-006-F007.jpg)
The model fitting method is widely used to investigate hydrogen absorption kinetics of AB5-type hydrogen storage alloys. The rate limiting step was divided into diffusion and surface penetration parts for the Chou model [33,34]. For the diffusion, the relationship between the fraction (ξ) and time (t) can be illustrated as:
When the rate-controlling step is the surface penetration, the essential rate can be expressed as:
tc(d) is proportional to
In this work, equations (3) and (4) were used to fit the hydrogen absorption kinetics (Fig.8). It was obvious that the fitting lines calculated from the diffusion model showed a better agreement with the experimental data of the alloys. Thus, the diffusion was the rate-controlling step. The calculated results of tc(d) are shown in Fig.9. It was shown that the alloy with x=0.1 had the maximum value of tc(d), which result in the biggest particle size R0. In order to investigate the powdered features of the alloys, the morphology of the alloys after 15 hydrogen absorption/desorption cycles was observed by a scanning electron microscope (SEM, Fig.10). It can be found that the particles of the alloys were not uniform after the absorption/desorption cycles. This was due to the volume expansion from hydrogen absorption and volume shrinkage from hydrogen desorption. For an AB5-type alloy, the higher the c/a ratio is, the bigger the particle size is[36]. In addition, the less the hydrogen storage capability of the alloy, which would result in a smaller volume expansion in the absorption of hydrogen is, the bigger the particle size is. The particle size increased with an increase in Mg content when x=0.0 and 0.1, but decreased when x=0.2 and 0.3, which was in accordance with the variation of tc(d). The biggest particle size was the reason for a slow hydrogen absorption kinetic when x=0.1.
-201602/1001-8042-27-02-006/alternativeImage/1001-8042-27-02-006-F008.jpg)
-201602/1001-8042-27-02-006/alternativeImage/1001-8042-27-02-006-F009.jpg)
-201602/1001-8042-27-02-006/alternativeImage/1001-8042-27-02-006-F010.jpg)
4 Conclusion:
Present there is no information on the substitution of Mg for La in LaNi4.25Al0.75 alloy. Thus, this research is focus on tritium storage performance of as-cast La(1-x)MgxNi4.25Al0.75 alloys. Some conclusions obtained from the research were as follows:
1) The as-cast La(1-x)MgxNi4.25Al0.75 alloys showed a single phase with CaCu5 type structure when x=0.0 and 0.1. However, for x=0.2 and 0.3, second phases with PuNi3 type and AuCu3 type structure occurred in the alloys, and the abundance of the second phase increased with the rise of the x value.
2) With the addition of Mg, the plateau pressure of the alloys increased and their hydrogen storage capacity decreased. The degradation of the hydrogen storage capacity was mainly caused by the increment of AlNi3 phase abundance.
3) The rate-controlling step for the alloys was diffusion. With the increment of Mg content from 0.1 to 0.3, the absorption kinetics of the alloys became faster. The results implied that it is beneficial to develop new tritium storage alloys with good kinetics.
Compatibility of container materials with Cr in molten Flinak salt
. J Fluorium Chem. 2014, 168: 69-74. DOI: 10.1016/j.jfluchem.2014.09.010The effect of Nb additive on Te-induced stress corrosion cracking in Ni alloy: A first-principles calculation
. Nucl Sci Tech. 2014, 25: 050603. DOI: 10.13538/j.1001-8042/nst.25.050603Study of control rod worth in the TMSR
. Nucl Sci Tech. 2013, 1: 010601. DOI: 10.13538/j.1001-8042/nst.2013.01.003Apparatus for determining permeability of hydrogen isotopes in molten-salt
. Nucl Sci Tech. 2014, 25: 040602. DOI: 10.13538/j.1001-8042/nst.25.040602Thermal desorption of tritium and helium in aged titanium tritide films
. Int J Hydrogen Energ. 2014, 39: 11006-11015. DOI: 10.1016/j.ijhydene.2014.05.102High capacity hydrogen storage: Basic aspects, new developments and milestones
. Nano Energy. 2012, 1: 566-589. DOI: 10.1016/j.nanoen.2012.05.004Tritium absorption-desorption characteristics of LaNi4.25Al0.75
, J Alloy Compd. 2007, 441: 359-363. DOI: 10.1016/j.jallcom.2006.09.122Tritium aging effects in LaNi4.25Al0.75
. J Alloy Compd. 2003, 356-357: 382-385. DOI: 10.1016/S0925-8388(03)0139-7Hydrogen storage performance of LaNi4.25Al0.75/SiO2 composite
. Rare Metal Mat Eng. 2008, 37: 1427-1430. (in Chinese)Effect of SiO2 encapsulation on hydrogen absorption kinetics of LaNi4.25Al0.75 in hydrogen atmosphere with tiny amount of CO impurity
. Rare Metal Mat Eng. 2013, 42: 2525-2529. (in Chinese)Effect of hydrogen absorption/desorption cycling on hydrogen storage performance of LaNi4.25Al0.75
. J Alloy Compd. 2008, 453: 448-452. DOI: 10.1016/j.jallcom.2006.11.112Thermal decomposition of the non-interstitial hydrides for the storage and production of hydrogen
. Chem Rev. 2004, 104: 1283-1316. DOI: 10.1021/cr030691sComposite structure and hydrogen storage properties in Mg-base alloys
. Int J Hydrogen Energ. 2006, 31: 251-257. DOI: 10.1016/j.ijhydene.2005.04.030hydride materials for solid hydrogen storage: A review
. Int J Hydrogen Energ. 2007, 32: 1121-1140. DOI: 10.1016/j.ijhydene.2006.11.022Investigation of hydrogen isotope effect on storage properties of Zr-Co-Ni alloys
. Int J Hydrogen Energ. 2014, 39: 14868-14873. DOI: 10.1016/j.ijhydene.2014.07.045Development of hydrogen absorption-desorption experimental test bench for hydrogen storage material
. Int J Hydrogen Energ. 2014, 39: 13596-13602. DOI: 10.1016/j.ijhydene.2014.03.015Design of PC based high pressure hydrogen absorption/desorption apparatus
. Int J Hydrogen Energ. 2007, 32: 3046-3053. DOI: 10.1016/j.ijhydene.2007.01.010Hydrogen absorption in RNi4Al (R= rare earth) ternary compounds
. J Solid State Chem. 1978, 23: 271-274. DOI: 10.1016/0022-4596(78)90074-9Synthesis and structure determination of a new series of hydrogen storage alloys; RMg2Ni9 (R=La, Ce, Pr, Nd, Sm and Gd) built from MgNi2 laves-type layers alternating with AB5 layers
. J Alloy Compd. 1997, 257: 115-121. DOI: 10.1016/S0925-8388(96)03132-5The high-temperature thermal expansion of Ni3Al measured by X-ray diffraction and dilation methods
. J Phys: Condens Matter. 1989, 1: 5357-5361. DOI: 10.1088/0953-8984/1/32/004Effect of magnesium on the crystal structure and thermodynamics of the La3-xMgxNi9 hydrides
. J Alloy Compd. 2011, 509: S540-S548. DOI: 10.1016/j.jallcom.2010.11.205Effect of Al content on hydrogen storage capacity and plateau pressure of LaNi5-xAlx-H system
. Chinese Journal of Rare Metals. 2004, 28: 678-682. (in Chinese) DOI: 10.13373/j.cnki.cjrm.2004.04.017A method for designing a hydrogen absorbing LaNi5-x-yMnxAly alloy for a chemical refrigeration system
. J Alloy Compd. 1997, 252: 83-87. DOI: 10.1016/S0925-8388(96)02611-4Structure and hydrogen storage performance of LaNi4.25Al0.75 alloy
. T Nonferr Metal Soc. 2011, 21: 517-522. DOI: 10.1016/S1003-6326(11)60745-0The electrochemical properties of LaxMg3-xNi9 (x=1.0-2.0) hydrogen storage alloys
. J Alloy Compd. 2003, 356: 746-749. DOI: 10.1016/S0925-8388(03)00083-5Effect of Ni content on the structure, thermodynamic and electrochemical properties of the non-stoichiometric hydrogen storage alloys
. J Alloy Compd. 2000, 308: 163-171. DOI: 10.1016/S0925-8388(00)01049-5Special hydrogen storage materials and the measurement apparatus. Ph.D. Thesis
.First-principles studies of Al-Ni intermetallic compounds
. J Solid State Chem. 2009, 182: 2664-2669. DOI: 10.1016/j.jssc.2009.07.026Study on hydrogen storage properties of LaNi3.8Al1.2-xMnx alloys
. Int J Hydrogen Energ. 2010, 35: 12391-12397. DOI: 10.1016/j.ijhydene.2010.08.049Effect of non-stoichiometry on hydrogen storage properties of La(Ni3.8Al1.0Mn0.2) x alloys
. Int J Hydrogen Energ. 2010, 35: 3537-3545. DOI: 10.1016/j.ijhydene.2010.01.102Hydrogen storage properties of LaNi3.8Al1.0M0.2 (M = Ni, Cu, Fe, Al, Cr, Mn) alloys
. J Alloy Compd. 2009, 485: 867-871. DOI: 10.1016/j.jallcom.2009.06.111A kinetic model for oxidation of Si-Al-O-N materials
. J Am Ceram Soc. 2006, 89: 1568-1576. DOI: 10.1111/j.1551-2916.2006.00959.xA new model for hydriding and dehydriding reactions in intermetallics
. Intermetallics. 2007, 15: 767-777. DOI: 10.1016/j.intermet.2006.10.004Application of a new kinetic model for the hydriding kinetics of LaNi5-xAlx (0 ≤ x ≤ 1.0) alloys
. J Alloy Compd. 2010, 506: 63-69. DOI: 10.1016/j.jallcom.2010.07.016Design of chemical compositions on AB5-type hydrogen storage alloy with high quality
. Met Funct Mater. 2002, 9: 1-6.(in Chinese)

