Introduction
Beam injectors in particle accelerators aim to provide an appropriate current intensity, determined by the intended application. Conventional hadron therapy facilities based on cyclotrons and synchrotrons are capable of operating in CW mode, as well as in short pulses to provide high-intensity beams. Given that cyclotrons are fixed-energy systems, absorbers are employed to shape the dose in the volume occupied by the tumor within the desired energy range. This is not the case for pulsed, all-linac systems under development [1, 2], which would allow for active and precise energy scanning of the beam and require sufficient charge input from the injector.
Compared to proton therapy beams, carbon ions are considered to exhibit well-balanced and optimal properties in terms of both physical and biologically effective dose localization in the body. This is due to the fact that carbon ion beams offer better dose distribution, concentrating sufficient dosage within target volumes while minimizing exposure to surrounding normal tissues [3, 4]. Accelerator facilities typically deliver relatively low currents on the order of 0.2 nA [5]. Higher amounts of ions within shorter pulses will be required in emerging FLASH radiotherapy techniques [6, 7], which promise greater cell survival probability in healthy tissues surrounding the tumor [8].
The current provided by modern sources of fully stripped carbon ions, C6+, is still limited. With their maximum available charge, the acceleration in linear injectors achieves greater efficiency owing to their higher charge-to-mass ratio, thereby offering greater compactness in length. Conventional hadron therapy injectors use C4+ sources, which must pass through a stripper and experience beam quality degradation [9].
These considerations highlight the importance of producing a sufficient amount of current in the initial stage of an accelerator. However, it is equally important to ensure proper beam transmission throughout all the components of a linear accelerator, and for this, effective diagnostic systems are necessary. This study explores the design possibilities of ion beam dynamics in a linear acceleration section composed of 750 MHz IH-DTL cavities, which could serve either for injection into a synchrotron or as one of the early low-beta acceleration stages of a linac. In particular, this study takes as a reference point the “bent-linac” conceptual design of the beam dynamics from CERN [10], which proposes a solution for a linear accelerator, folded in two halves and connected by a 180-degree bending, to minimize its footprint in a hospital environment. In this context, Quasi-Alvarez DTL-type structures have already been proposed [11] for the initial acceleration stages, as with a FODO-type configuration, they offer the advantage of preserving the alternating focusing dynamics of the beam originating from the RFQ. Nonetheless, IH cavities are known to be much more efficient as the proposed 750 MHz system achieves shunt impedances (effective ZT2) exceeding 200 MΩ/m [12-14].
Here, we propose replacing the 5–10 MeV/u segment of the bent-linac modeled at CERN with an IH-DTL section. This entails adapting the expected alternating-gradient lattice to one compatible with IH-type transverse dynamics and assessing the acceptance of the subsequent 3 GHz Side-Coupled Drift Tube Linac (SCDTL) structures [15]. Given the low current transmission offered by the novel 750 MHz compact RFQ [16], achieving complete transmission in the following stages while maintaining a moderate beam emittance is of particular importance. In addition to assessing the need for a Medium Energy Beam Transport (MEBT) at the RFQ exit, the tracking simulations conducted in this study allowed us to define the cavity specifications based on the behavior of longitudinal beam dynamics in a KONUS-type configuration. This design aims to provide maximum current transmission, with optimal acceleration efficiency.
Despite focusing here on a particular linac, the ultimate goal of this article is to highlight the potential for high compactness and efficiency of high-frequency IH-DTL cavities within an energy range of interest for future ion linacs, even beyond their applications in hadron therapy. The conceptual design of the bent-linac serves here as a specific context for designing the dynamics of this type of high-frequency structure, motivated by recent progress in the design and fabrication feasibility of 750 MHz IH-DTLs.
The remainder of this article is structured as follows. First, in Sect. 2, we review the state of the art of existing IH cavities and their various configurations. In Sect. 3, we present the reference beam properties and the code developed specifically to explore various options for beam dynamics, as well as the considerations raised in the specifications of the beamline elements. The results of the obtained solutions are detailed in Sect. 4, and conclusions are drawn in Sect. 5.
State-of-the-art
The state of the art in IH-DTL cavity configurations is divided into two approaches to beam dynamics, aiming to ensure both transverse and longitudinal beam stability throughout its trajectory. One is the “Combined Zero Degree Synchronous Particle Structure” (KONUS) [17] developed by GSI, for which functional designs have been implemented in medical facilities operating at 217 MHz [18]. This method sequences the acceleration and confinement processes into three stages. In the primary stage, the beam is accelerated along a section designed for a particle in a zero-degree synchronous phase to utilize the maximum electrical energy during acceleration. Although this synchronous phase does not provide stability, the strategy involves injecting the beam at a slightly higher energy than the synchronous particle and having the bunch describe only a portion of the phase space orbit around it before it is lost or blown up. The next stage is solely dedicated to beam focusing using magnets, either through solenoids or combinations of quadrupole triplets. These allow the beam to be reinjected into new gaps in the Drift Tube Linac of the third stage, responsible for rebunching the beam longitudinally to a typical synchronous phase of approximately -35°, while also providing some acceleration. With only a few gaps, it is sufficient to restart the three stages sequence of primary acceleration, refocusing, and rebunching.
The alternative strategy to KONUS is known as “Alternating Phase Focusing” (APF), which avoids the use of magnets and makes use of the RF forces within the cavity itself to control confinement in both transverse and longitudinal directions. Under negative synchronous phase conditions, the bunch is longitudinally stable but defocused transversely. Conversely, positive-phase conditions result in debunching but provide transverse focusing. APF designs adjust the distances between gaps to stably alternate between these conditions in all three dimensions of the beam. The HIMAC carbon therapy facility adopted this configuration in an initial 200 MHz IH-DTL prototype [19], which was also adopted by other clinical centers in Japan [20]. A detailed comparison between KONUS and APF [21] revealed that the latter exhibited greater beam emittance growth owing to the nonlinear nature of the RF forces. It is also relevant to mention that the radial component of these focusing forces rapidly decreases with the beam energy, at a rate of γ-3, where γ is the Lorentz relativistic factor [22]. Therefore, it is not advisable to adopt this configuration in the higher-energy sections of the injector.
In any case, certain manipulations of the phase at which the bunches are accelerated along the linac can be advantageous. Recently, a variation of the KONUS configuration was proposed [23, 24] in a 325 MHz IH structure integrated into a proton therapy synchrotron injector. On one hand, the rebunching section was strengthened to a lower phase of -80°, to eliminate the need for bunchers in the MEBT. However, a number of debunching gaps at 10° were added at the end to provide transverse focusing and save on the use of magnets. This illustrates that while both strategies are extremely useful in ion injectors used in hadron therapy accelerators, there is some flexibility in their design for application in specific systems.
Methods
The code and the input beam
The beam dynamics designs presented in this study were conducted using TRAVEL [25], a simulation code for tracking charged particles through accelerator components, including quadrupole magnets and radiofrequency structures. An important feature of this code is its ability to introduce multiple gaps within a single RF unit with varying voltages and separation distances, considering the phase at which each individual particle accelerates in each gap. This allows for easy modeling of multi-cell cavities in any operating mode; in our case, for an IH-DTL structure in π mode for low-velocity ions.
The new beam dynamics designs proposed in this study are configured based on the output beam from the second RFQ of the bent-linac injector [10, 16]. At an output energy of 5 MeV per nucleon, the expected total charge of C6+ ions per pulse is up to 0.5 nC (or 5×108 ions), according to the nominal specifications. We have a distribution sample of 4218 macroparticles in the six-dimensional phase space in TRAVEL code format to configure the accelerator section design with IH cavities. The 2D projections of the beam distribution are shown in Fig. 1, and their statistical parameters are listed in Table 1. This corresponds to a nearly round beam that has been confined through the RFQ within an average radial aperture of only 1.4 mm. However, owing to the alternating quadrupolar structure of the RFQ, the beam occupies ellipses with opposite orientations for each transverse phase space plane, resulting in horizontal defocusing and vertical focusing behaviors. In the longitudinal plane, short bunches of the order of picoseconds were extracted, equivalent to 2.3 degrees of the rms phase with respect to the radiofrequency.
_2026_03/1001-8042-2026-03-52/alternativeImage/1001-8042-2026-03-52-F001.jpg)
| Parameters | Values |
|---|---|
| σx (mm) | 0.203 |
| εx,norm rms (π mm·mrad) | 0.0271 |
| εx,norm 90% (π mm·mrad) | 0.121 |
| βx (m/rad) | 0.159 |
| αx | -1.25 |
| σy (mm) | 0.186 |
| εy,norm rms (π mm·mrad) | 0.0270 |
| εy,norm 90% (π mm·mrad) | 0.120 |
| βy (m/rad) | 0.133 |
| αy | 0.972 |
| σz (deg) | 2.28 |
| 8.45 ps | |
| 0.262 mm | |
| Δp/p | 5.1×10-4 |
| εz rms (π deg·MeV) | 0.138 |
| Εz 90% (π deg·MeV) | 0.561 |
| βz (deg/MeV) | 37.5 |
| αz | -0.112 |
We developed a MATLAB script, assisted by TRAVEL, for the design of an acceleration line composed of IH cavities in the KONUS configuration. A series of parameters were defined for each of the three stages of a KONUS unit. In the zero-degree acceleration stage, we specify the number of gaps N0, their effective acceleration voltages
The design follows a beam emittance growth moderation strategy. In particular, in the longitudinal projection, the emittance is highly sensitive to the beam conditions at the entrance of the zero-degree asynchronous section. Figure 2 shows some examples of how the excess energy of the asynchronous bunch, the initial phase, or even the orientation of the bunch ellipse in the phase space affects its propagation along the section. The number of gaps in this stage is limited such that the center of the bunch reaches the minimum phase deviation with respect to the synchronous particle. The choice of the phase of the first gap does not exhibit, in some cases, as much sensitivity to emittance and is attempted to be kept in the range of 0° to 10° to maximize the beam output energy. If present, the preceding rebunching stage also allows for the manipulation of the bunch conditions at the entrance of the asynchronous stage to enhance optimization capabilities, either through the number of gaps or the bunching phase.
_2026_03/1001-8042-2026-03-52/alternativeImage/1001-8042-2026-03-52-F002.jpg)
Simultaneously, the code aims to ensure the proper transmission of the beam. To achieve this, the magnets within the beamline are optimized, considering the loss of macroparticles owing to interception at the boundaries of the vacuum beampipe. For simplicity, the apertures of all components were defined with the diameter of a circular cross-section, which is the most restrictive in the 5 mm bore of the IH drift tubes owing to power efficiency reasons. Regarding magnet optimization, the usual strategy involves fixing the length and position and exploring the optimal gradients. When optimizing a symmetric triplet of Permanent Magnet Quadrupoles (PMQ), it is possible to set their lengths and the same gradient for all of them and optimize their positions to simplify, the fabrication of magnets as stacked modules of identical design. This optimization is fed back and forth into the beam simulations in the accelerating gaps, which also have a transverse defocusing effect.
Neither the effect of transverse electric fields on the beam orbit nor potential alignment errors are part of this study, which is why these features were not implemented in the code. In a previous study [26], the optimization of the drift tube geometry in the IH-DTL was addressed to minimize the effects of dipole kicks on the beam.
Magnet specifications and aperture considerations
The specifications of the magnets in the optimizer are subject to their manufacturability and the space they occupy along the line. Electromagnets offer flexibility in correcting potential beam errors. With normal-conducting resistive magnets, we consider a maximum magnetic field at the poles that is sufficiently below 1.5 T. The quadrupole gradients were then determined using the aperture of the poles. In the designs of this study, the vacuum beampipes in the magnet sections were intended to have an inner diameter of 20 mm. Considering the thickness of the vacuum chamber and a small additional clearance, we adopted a maximum allowed pole radius of 13.5 mm, which corresponds to a maximum gradient of 110 T/m. When combined with other quadrupoles to form doublets or triplets, we also accounted for the separation between each singlet owing to their mechanical integration and the space occupied by the coil heads. In our current designs of resistive quadrupoles, a minimum separation of 75 mm is required, which is also sufficient to avoid fringe-field superposition.
However, we also consider the option of PMQs, which, although they do not allow user control of their focusing strengths, offer compact solutions without relying on electrical power consumption. These quadrupoles were designed in a conventional Hallbach configuration with 16 neodymium (NdFeB) blocks. This design eliminates the need for coil heads, allowing them to be joined to adjacent magnets without separation. The chosen material promises greater degradation resistance to radiation than other common magnets, such as samarium-cobalt (SmCo). The motivation for using PMQs lies in the possibility of integrating the KONUS focusing section within the RF cavity, with dedicated support and shielding design, as has been successfully tested in other setups [27-29]. In the proposed 750 MHz system, the compact size of the cavity at such a high frequency is the primary limitation for integrating the magnets; therefore, their mechanical design would pose a significant challenge, and manufacturing costs could increase. Initial calculations show the possibility of ensuring gradients of up to 88 T/m, with the same aperture as the resistive magnets, in systems that occupy only 75 mm in diameter, although very close to the expected profile size in the 750 MHz IH cavity [13]. The choice between PMQs and resistive magnets depends on a trade-off between complexity, manufacturing costs, compactness, and gradient-tuning capability. Neodymium magnets can slightly vary the magnetic field intensity by approximately 2%, through temperature control via a dedicated water cooling circuit. Integrating this circuit is even more challenging if the magnets are intended to be housed within the cavity; however, it remains a feasible option to consider if they are placed externally to correct minor beam dynamics errors.
RF voltage limitations
In the KONUS acceleration sections, we mentioned the requirement to define the effective voltages in the gaps. Higher voltages lead to higher beam energies in shorter segments. However, this is limited by the formation of vacuum breakdowns owing to excessively intense surface electric fields [30]. Electromagnetic simulations [12, 26] of single IH cells modeled in CST determined a confidence limit in the high-power performance of the RF cavity, which mainly depends on the gap size. The cell lengths of the IH cavities (near βλ/2 for π-mode structures) ranged from 20.6 to 29.1 mm in the acceleration range of 5 to 10 MeV per nucleon. The first cells have less space available for the acceleration gap, on the order of 8–9 mm, considering the size of the stems and drift tubes that need to be machined. It is useful to consider that each IH tank, composed of a series of cells with increasing length, produces a uniform voltage profile; therefore, the cavity performance is determined by the maximum achievable level at the shortest cells.
In this study, we followed the same criterion of limiting the surface field to a maximum of 51 MV/m as used for the 750 MHz proton RFQ. Given the positive results during commissioning, this limit is considered high but safe under nominal conditions with 5 μs pulses and a repetition rate of up to 200 Hz. The maximum effective voltage per cell (including the transit-time factor) that can be reached at an energy of 5 MeV/u is 125 kV. Subsequent tanks with larger cell sizes and gaps allow for a higher voltage per cell, and the same surface field limitation criterion is applied based on the results of the electromagnetic simulation of individual cells.
We note that a uniform voltage profile across all cells is a first-order approximation of the profile that can be achieved after complete RF design of an IH tank. Therefore, it is necessary to iterate using the same code by introducing more realistic profiles and paying attention to the maximum surface field obtained from electromagnetic simulations.
Results and discussion
Hereafter, we outline a selection from a variety of solutions for the section with IH structures from 5 to 10 MeV/u following the KONUS configuration approach. We explored the option of using an initial MEBT to adapt the output beam optics from the RFQ to the interior of the IH cavities, considering the space requirements for other diagnostic systems.
Design Proposal 1: without MEBT
First, we opted for the possibility of directly connecting the RFQ with the first IH tank, with a separation of only 10 cm to account for possible connections to the vacuum chamber. This entails carefully integrating the beam exiting the RFQ into the IH-DTL structure, which does not readily accept FODO-type optics, whereas other structures, such as the Quasi-Alvarez DTL [11] or SCDTL [15] offer a more suitable approach. The details of the transverse and longitudinal dynamics of this solution are shown in Fig. 3.
_2026_03/1001-8042-2026-03-52/alternativeImage/1001-8042-2026-03-52-F003.jpg)
The strong defocusing of the beam in the horizontal plane allows for acceleration through only five drift tubes with a 5 mm aperture, requiring the immediate use of quadrupole magnets. In this case, the first five cells accelerated at a phase of -35°. At this point, the beam has also passed the beam waist, which exited the RFQ with vertical plane focusing. Therefore, we opted for a set of three PMQs of different lengths but with the same gradient, each with a 2 cm aperture, to re-enter the following drift tubes. In this case, it is convenient to integrate the PMQs into the same cavity for two reasons. First, to avoid the manufacture of a separate IH cavity unit that is too short, as its end cells are potentially a source of electrical consumption [31]. However, as we have assessed later in this article, this may lead to the opposite effect if the tube containing the PMQs is excessively long, thereby carrying more RF currents. Second, this minimizes the space occupied by the magnets without controlling the longitudinal dynamics. We achieved a gap distance of 274 mm, equivalent to 13 times βλ/2 to meet the phase criterion within the same cavity. The remaining cells in the first IH tank are divided into a new rebunching section with 6 cells at -35° and an asynchronous zero-degree section with 35 cells. All gaps in this tank have an effective voltage of 125 kV, except for the cells at the ends and those adjacent to the body enclosing the PMQs, where a reduction of approximately half of the same voltage is expected. Following the first tank, a symmetrical triplet of PMQs was optimized to refocus the beam transversely and allow it to enter the second IH tank, which consists of four rebunching cells and 31 asynchronous acceleration cells at 145 kV per gap.
This solution is very compact, occupying approximately 3 m in length, and offers maximum transmission while maintaining moderate emittance throughout its phase space. At the exit of the second IH tank, a sub-millimeter (rms) round beam was obtained. In the longitudinal plane, the beam exited with a very short length of less than 1.5° (rms), although its energy spread almost doubled. We will see later that, for the beam to be adequately accepted in the 3 GHz SCDTL cavities, reducing its longitudinal length is more critical than the energy spread. The projections of the transverse and longitudinal phase spaces are shown in Sect. 4.5.
In practice, the initial cells of the first tank play the role of a pseudo-buncher, which cannot be operated independently, as they not only provide a certain amount of energy but also effectively preserve the longitudinal structure of the beam along the magnet section so that it can be accelerated later without affecting the emittance.
Design Proposal 2: with MEBT, with buncher
Having an MEBT at the beginning of the section may be advisable to have greater control over the beam in the case of deviations from its nominal values. For this purpose, it is common to have quadrupoles to which steering-correction magnets can be integrated to align and manipulate the beam transversely and thus ensure maximum transmission. Typically, these components should be associated with diagnostic systems that allow for proper correction adjustments. Similarly, a buncher is responsible for longitudinal plane control and allows limited control over the bunch length and energy spread at the entrance of the IH cavity.
In the design with MEBT design shown in Fig. 4, a three-gap buncher is used, each supplied with 90 kV and operating at -90°. The buncher is placed between three resistive quadrupoles that adapt the beam to focus on the first IH acceleration tank. Owing to the presence of the buncher, the first tank does not require a rebunching section following the KONUS method. Compared to the previous solution, this one divides the acceleration into three shorter tanks with 25 to 28 cells each, where the effective gap voltages are 125, 135, and 150 kV for the first, second, and last tanks, respectively. Between these three tanks, two series of symmetric PMQ triplets were optimized, although with opposite orientations to alternate the beam’s focusing and defocusing effects.
_2026_03/1001-8042-2026-03-52/alternativeImage/1001-8042-2026-03-52-F004.jpg)
In addition to the flexibility offered by this option, it achieves good transmission and preserves beam emittance. It also effectively controlled the energy dispersion at the exit of the third tank.
Design Proposal 3: with MEBT, without buncher
In this proposal, we adopted an MEBT without a buncher, leaving sufficient space to accommodate a series of diagnostic systems and vacuum components that are considered minimally essential for the proper operation of the accelerator. A space of 40 cm is reserved at the beginning of the MEBT for a gate valve, an AC Current Transformer (ACCT) for current measurements, a Beam Position Monitor (BPM), and a Diagnostic Box (DBox) for beam size interceptive measurements [32]. This is followed by three resistive quadrupoles to adapt the beam optics to the IH tank acceptance.
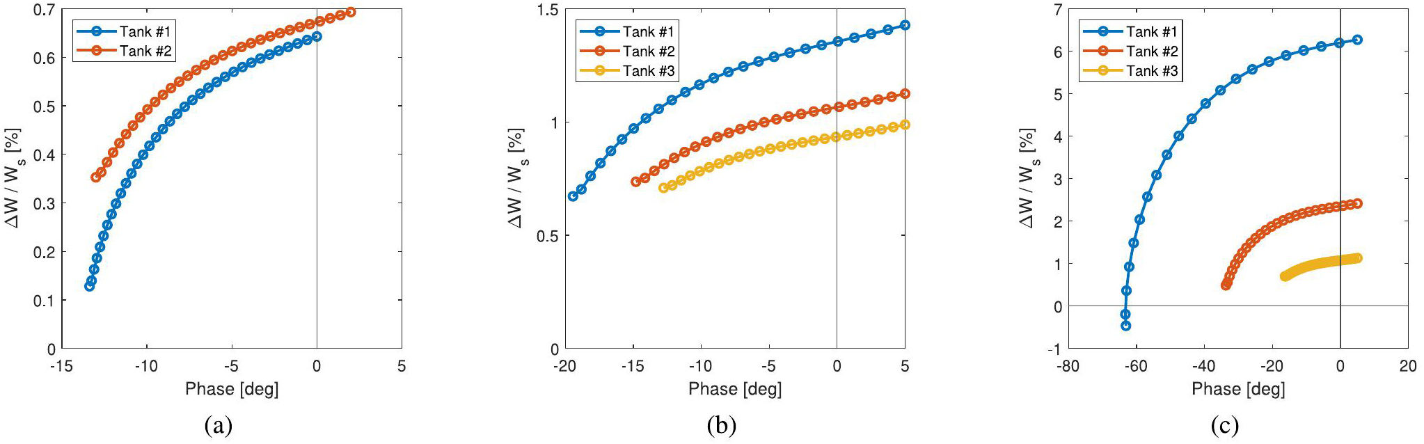
The details of the dynamics are shown in Fig. 5. The MEBT occupies a total of 90 cm, which causes the bunch length to widen beyond 4° (rms) and presents problems for direct acceleration without affecting its emittance. Motivated by the modifications to the KONUS method in [24], we decided to use the first 10 gaps of the IH as an adapted rebunching section, starting at a phase of -90° (buncher mode) and linearly increasing to -35°. This allows for greater longitudinal acceptance of the beam without a significantly increase in the emittance. However, the bunch length quickly compresses, and its energy spread increases at the same rate. The remaining cavity cells follow an optimized asynchronous zero-degree section with a greater energy difference from the bunch than the synchronous particle. In this way, the energy spread was corrected to lower levels, and the bunch length was adjusted to reach a suitable value at the entrance of the second IH tank. The phase-energy diagrams of the asynchronous sections of all three solutions are shown in Fig. 6.
_2026_03/1001-8042-2026-03-52/alternativeImage/1001-8042-2026-03-52-F005.jpg)
_2026_03/1001-8042-2026-03-52/alternativeImage/1001-8042-2026-03-52-F006.jpg)
With the configuration of the first tank, designed with effective gap voltages of 125 kV, the beam energy gain is reduced because it mostly operates at phases below -35°; however, it establishes better acceleration conditions for the subsequent tanks. The designs of the second and third tanks and PMQ triplets followed the standard optimization process, resulting in an output beam similar to that observed in the previous solutions.
Acceptance into 3 GHz SCDTL cavities of the bent-linac
To validate the integration of this new section into the designed bent-linac [10], a comparison was been made between the output beam and the acceptance of the rest of the beamline from 10 to 430 MeV/u. The new transition to 10 MeV/u involves a frequency jump from 750 MHz to 3 GHz, which occurred just after the RFQ in its original version. Additionally, the introduction of the new KONUS transverse optics requires adapting the beam back to a FODO-type lattice; therefore, it is essential to add a new transfer line for this purpose.
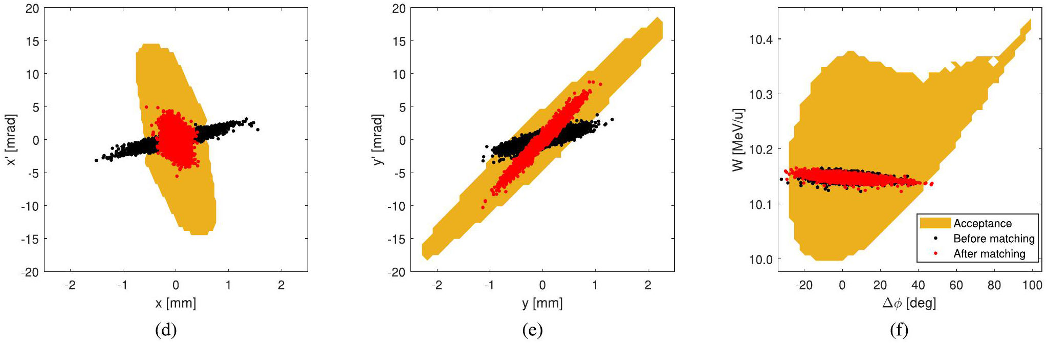
In this study, we considered the output beam of Design Proposal 3. The solutions from the other two proposals provided a very similar beam distribution, thus yielding analogous results. Figure 7 represents the comparison between this 10 MeV/u beam and the acceptance of the rest of the bent-linac up to 430 MeV/u in the three projections of the phase space. Using the TRAVEL code, a 68 cm long matching section was configured, consisting of three quadrupole electromagnets that matched the beam phase space to the transverse acceptance. The figure shows the correct orientation of the beam in the horizontal and vertical planes after matching the section. In the longitudinal plane, it can be observed that a wide energy spread is accepted, over 300 keV/u, but the bunch length becomes more critical due to the frequency jump, causing the bunch to occupy four times more space. Nevertheless, even though the bunch expands further along the matching section, over 95% of it fits within the acceptance area. For the beam distribution obtained in other proposals, such as Design Proposal 1, the matching transfer line would need to manage a wider energy spread beam but with a narrower bunch length. This was accomplished by attempting to limit the longitudinal emittance growth in all proposals. An adequately matched transport line with a similar length produces the same bunch length entering the 3 GHz linac section and is still acceptable.
_2026_03/1001-8042-2026-03-52/alternativeImage/1001-8042-2026-03-52-F007.jpg)
Comparison of design proposals
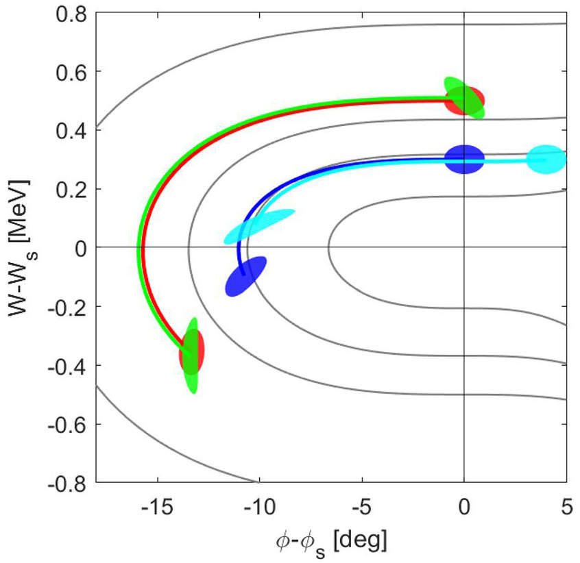
The three beam dynamics solutions are shown in Figs. 3, 4 and 5 using the same plot scales to visually enhance comparability. The phase-space projections of the output beam in the transverse and longitudinal planes are shown in Fig. 8.
_2026_03/1001-8042-2026-03-52/alternativeImage/1001-8042-2026-03-52-F008.jpg)
In Table 2, we summarize the most relevant design characteristics. These include the number of cells in each tank, voltage provided by each cell and total voltage across the entire structure, RF power losses generated by the IH cavities (buncher consumption has not been accounted for in Design Proposal 2), and length of the cavities and total space occupied by the full section, including the MEBT and focusing magnets. Finally, the table shows the results of emittance growth (defined by 90% of the beam) at the end of the line for each proposal, relative to the input beam emittance specified in Table 1. As we had set as the objective function of the code, in all design proposals, we demonstrated the ability to contain the emittance in all phase-space planes to a value below 4%. Additionally, all proposals achieve nearly total transmission, with over 99.5% transmission, using the input beam sample distribution described in Sect. 3.1.
| Design Proposal | Number of cells |
Voltage | RF power | Length | 90% emittance growth | |||||
|---|---|---|---|---|---|---|---|---|---|---|
| Gap (kV) | Total (MV) | Tank (kW) | Total (kW) | Only-tanks (m) | Total (m) | |
|
|
||
| 1. Without MEBT | 46 | 125 | 10.4 | 156 | 250 | 1.95 | 2.99 | +3.4% | -1.0% | -2.1% |
| 35 | 145 | 94 | ||||||||
| 2. With MEBT, with buncher | 25 | 125 | 11.0 | 52 | 201† | 2.03 | 3.76 | +1.2% | -0.9% | +1.3% |
| 28 | 135 | 67 | ||||||||
| 28 | 150 | 82 | ||||||||
| 3. With MEBT, without buncher | 31 | 125 | 12.0 | 65 | 225 | 2.18 | 4.11 | +2.9% | -0.9% | +2.4% |
| 30 | 135 | 72 | ||||||||
| 30 | 150 | 88 | ||||||||
To assess power consumption, an estimation was conducted through electromagnetic simulations with CST of various individual cells across a wide range of lengths, as well as the end cells, as documented in [12, 13, 31]. Such estimation does not account for the arrangements necessary for assembling the cavity components and their auxiliaries but is calculated based on the simplest model. Therefore, the power values recorded in the table appear to be underestimated, although they are consistent across all cases, enabling an approximate comparison.
It is clear that incorporating an MEBT after the RFQ increase the space requirements for the entire section. The minimum extra space required is almost 80 cm, compared to the solution without MEBT, which includes a buncher but does not leave room for other diagnostics that are typically highly useful in beam operations. In the case of having some space for diagnostics, even without using a buncher, the MEBT consumes over one meter of space.
In Design Proposal 3, a higher voltage is required to accelerate particles to the same energy because lower initial phases are required for emittance growth moderation. As a result, the RF power consumption was approximately 24 kW higher than that in the case with a buncher. Considering the additional losses in the buncher itself, the overall RF consumption difference was smaller.
The scenario of Design Proposal 1, without an MEBT, represents the most compact solution; however, it is noteworthy that the power losses are somewhat higher than in the previous cases, despite utilizing only two tanks. The losses were primarily concentrated in the first tank, which incorporated a triplet of encapsulated PMQs in a larger drift tube. The dimensions of this anomalously long drift tube, which would require separating the two tank sections by 274 mm, would lead to a significant source of RF losses.
Summary and conclusions
This article proposes to take advantage of the high efficiency performance of H-mode cavities for a linear injector of carbon ion beams starting from 5 MeV/u and presents some alternatives to the baseline design of the CERN’s bent-linac for a hadron therapy facility.
The detailed script presented here, based on the TRAVEL tracking code, has proven to be functional for beam dynamics design for IH cavities in the standard KONUS configuration, as well as in modified versions tailored to specific dynamic requirements. This is demonstrated by the three solutions proposed under very different conditions to achieve similar output beams: in the first, without an MEBT at the RFQ exit, and in the other two, with an MEBT that includes or excludes a buncher. The authors would like to clarify that none of the proposals deserves greater consideration than the others, as one of the objectives of this work is to exploit the capabilities of the beam dynamics and tracking code under the different conditions presented, which may be useful for the new design or upgrade of other linacs.
As a comparative analysis, the baseline design of the fixed-energy bent-linac, for the same energy range, occupies a length of 1.59 m [10], and we estimate a total power consumption of 1.7 MW, based on the orientative shunt impedances achieved by 3 GHz DTLs for these energies at their best performance [33]. Although IH cavities introduce a change in transverse optics and require more space than SCDTLs, these solutions provide greater power efficiency and are compatible with proper acceptance in the rest of the 3 GHz cavities at energies above 10 MeV/u.
An area that requires further study is the possibility of integrating encapsulated permanent magnets inside an IH tank, as proposed in Design Proposal 1, without the MEBT. This is the most compact solution that can be achieved without requiring a large MEBT, although we have noted significant efficiency degradation due to RF losses in an excessively long drift tube.
To improve compactness and efficiency, the challenge lies in manufacturing this type of structure at 750 MHz for the first time, compared to the current state-of-the-art RF frequencies of up to 325 MHz. The feasibility of these structures is being studied through electromagnetic and mechanical design analyses. The study presented here represents a necessary starting point for defining the specifications of the elements in this injector. Given that the collaboration remains interested in furthering its work on this topic, the technical and engineering complexities of manufacturing and commissioning will be addressed in the near future.
CABOTO, a highgradient linac for hadrontherapy
. J. Radiat. Res. 54, i155-i161 (2013). https://doi.org/10.1093/jrr/rrt053Design, integration, and commissioning of the first linac for image guided hadron therapy prototype
. Phys. Rev. Accel. Beams 27,Benefit of carbon ion radiotherapy in the treatment of radio-resistant tumors
. AIP Conf. Proc. 680, 1142-1145 (2003). https://doi.org/10.1063/1.1619910A review of update clinical results of carbon ion radiotherapy
. Jpn. J. Clin. Oncol. 42, 670-685 (2012). https://doi.org/10.1093/jjco/hys104Proton and carbon linacs for hadron therapy
. in 27th International Linear Accelerator Conference, p.FLASH radiotherapy with carbon ion beams
. Med. Phys. 49, 1974-1992 (2022). https://doi.org/10.1002/mp.15135FLASH with carbon ions: tumor control, normal tissue sparing, and distal metastasis in a mouse osteosarcoma model
. Radiother. Oncol. 175, 185-190 (2022). https://doi.org/10.1016/j.radonc.2022.05.003The advantage of FLASH radiotherapy confirmed in mini-pig and cat-cancer patients
. Clin. Cancer Res. Off. J. Am. Assoc. Cancer Res. 25, 35-42 (2019). https://doi.org/10.1158/1078-0432.CCR-17-3375Strip injection for carbon ion synchrotrons
. Rev. Sci. Instrum. 78,Design of a novel linear accelerator for carbon ion therapy
. Ph.D. thesis,Quasi-Alvarez drifttube linac structures for heavy ion therapy accelerator facilities
. Phys. Rev. Accel. Beams 26,Conceptual RF design of 750 MHz IH cavities for β = 0.10 − 0.15 ion beams in medical accelerators
. Nucl. Eng. Technol. 56, 3536-3544 (2024). https://doi.org/10.1016/j.net.2024.04.001High-gradient and high-efficiency linear accelerators for hadron therapy
. Ph.D. thesis,First acceleration of a proton beam in a side coupled drift tube linac
. Europhys. Lett. 111, 14002 (2015). https://doi.org/10.1209/0295-5075/111/14002750 MHz radio frequency quadrupole with trapezoidal vanes for carbon ion therapy
. Phys. Rev. Accel. Beams 23,The IH-structure and its capability to accelerate high current beams
. in Conference Record of the 1991 IEEE Particle Accelerator Conference. (The compact 20 MV IHDTL for the Heidelberg Cancer Therapy Facility
, in Proceedings of LINAC 2004.Alternating-phasefocused IH-DTL for an injector of heavy-ion medical accelerators
. Nucl. Instrum. Methods Phys. Res. Sect. A 569, 685-696 (2006). https://doi.org/10.1016/j.nima.2006.09.057Experimental verification of an APF linac for a proton therapy facility
. Nucl. Instrum. Methods Phys. Res. Sect. B 269, 2875-2878 (2011). https://doi.org/10.1016/j.nimb.2011.04.046APF or KONUS drift tube structures for medical synchrotron injectors-a comparison
. Proceedings of the 1999 Particle Accelerator Conference (Cat. No.99CH36366). Vol. 5, pp. 3555-3557. (1999). https://doi.org/10.1109/PAC.1999.792368Development of an IH-DTL injector for the Heidelberg cancer therapy project
, in Ph.D. thesis,IH-DTL design with modified KONUS beam dynamics for a synchrotron-based proton therapy system
. Nucl. Instrum. Methods Phys. Res., Sect. A 920, 50-57 (2019). https://doi.org/10.1016/j.nima.2018.10.125Development of a compact 325 MHz proton interdigital H -mode drift tube linac with high shunt impedance
. Phys. Rev. Accel. Beams 24,Commissioning of the new GSI high current linac and HIF related RF linac aspects
. Nucl. Instrum. Methods Phys. Res. Sect. A 464, 636-645 (2001). https://doi.org/10.1016/S0168-9002(01)00155-3The KONUS IH-DTL proposal for the GSI UNILAC poststripper linac replacement
. J. Phys. Conf. Ser. 874,IH-DTL design with KONUS beam dynamics for KHIMA project
. Nucl. Instrum. Methods Phys. Res. Sect. A 801, 51-57 (2015). https://doi.org/10.1016/j.nima.2015.07.048Criterion for vacuum sparking designed to include both rf and dc
. Rev. Sci. Instrum. 28, 824-826 (1957). https://doi.org/10.1063/1.1715731H11(0) end cells for a 750 MHz IH structure
. IPAC’23 - 14th International Particle Accelerator Conference, (Preparations for beam commissioning of the carbon RFQ at CERN
. IPAC’23 - 14th International Particle Accelerator Conference, (High gradient linac for proton therapy
. Phys. Rev. Accel. Beams 20,The authors declare that they have no competing interests.

