Introduction
The study of exotic nuclei, especially nuclei towards the neutron-drip-line has opened a new field in the study of the structure of finite quantum mechanical systems. The study of exotic nuclei has revealed novel phenomena that have not been observed in stable nuclei. As we move away from the line of stability towards the dip-lines, traditional spherical shell closures disappear, and deformed shell gaps emerge. The deformed shell gap in single-particle structures stabilizes nuclei with large deformations, similar to spherical shell closures for traditional magic nuclei. The disappearance of the traditional magic numbers and the appearance of new magic numbers [1-5] are evident in lighter mass regions and challenge our understanding of nuclear forces. Such new phenomena in heavier unstable nuclei have gained attention recently, but remain to be thoroughly investigated. The existence of a new neutron shell gap at N=100 has been predicted from mean-field calculations [6-8] and is also evident from experiments [9, 10]. The study of neutron-rich midshell nuclei is relevant to the new shell structure.
The study of neutron-rich nuclei far from the line of β-stability is also important from an astrophysical perspective. Elements heavier than Fe are known to be synthesized by s-, r- and p-processes. The rare-earth nuclei are assumed to be produced via s- and r-processes. However, the sites for r-process are not accurately known. A huge breakthrough was made in 2017, when the Advanced LIGO and Advanced Virgo gravitational-wave detectors discovered a binary neutron-star merger named GW170817 [11]. Gravitational-wave observations were followed by the detection of the electromagnetic radiation of GW170817 over a wide range of frequencies. The measurements [12-15] of the afterglow of GW170817 (known as ‘kilonova’) provided important clues about the synthesis of heavy elements by r-process. Other possible candidate sites are neutronized ejecta-material from supernova explosions and neutrino-driven wind from a neutron star formed from a type II supernova [16]. The r-process abundance distribution has large peaks at A ~80, 130, and 195. The neutron shell closures are responsible for the observation of these peaks in the spectrum. This is because closed-shell nuclei have longer beta-decay lifetimes and capture neutrons reluctantly. Therefore, in the r-process path, neutron-closed-shell nuclei act as waiting points and their abundance increases. This mechanism has been known for several years [17]. The rare-earth region has a small but distinct peak at A~160. This is known as the rare earth element (REE) peak. In contrast to the large peaks, the origin of this peak or bump-like structure in the abundance pattern is not clearly understood. Deformation has been suggested to play an important role in the formation of the REE peak [18]. The existence of a deformation maximum can act like a neutron closed shell if the next isotope is less stable for deformation and the binding energy decreases with the addition of a neutron.
The nuclear ground state quadrupole deformation (β2) are predicted by the macroscopic-microscopic calculation (finite range droplet model, FRDM) by Möller et al. [19], the relativistic mean field (RMF) theory by Lalazissis et al. [20], the Hartree-Fock-BCS+MSk7 (HFBCS) by Goriely et al. [21] and others. Both FRDM and RMF predict the maximum deformation at N=102. However, the HFBCS predicts at N=100. The development of quadrupole deformation and the position of the maximum deformation are not well understood. Experimentally, these lighter rare-earth nuclei with N=100 and beyond have scarcely been studied because of the enormous difficulties.
Here, we theoretically study the systematics of the bulk and microscopic properties of even-even 154-170Gd and 156-172Dy rare-earth isotopic chains employing the deformed Hartree-Fock (HF) and Angular Momentum (J) projection method [22, 23]. Self-consistent microscopic calculations were performed by directly considering the residual interaction. This model, with the residual interaction built into the HF states is very close to the shell model as has been shown by earlier studies [24, 25].
Deformed Hartree-Fock and Angular Momentum Projection
In this section, we briefly discuss the model for the sake of completeness. The details of the deformed Hartree-Fock and angular momentum projection methods can be found in Refs. [22, 26, 27]. The model (namely DHF model) used by us is based on a quantum many-body method which has been quite successful in explaining the structure of nuclei in the rare-earth region [8, 28-30] as well as lighter mass region [26, 27]. It is based on the deformed Hartree-Fock model for the intrinsic states and Angular Momentum Projection (J-projection, for short) for the physical states, based on these intrinsic states.
This basis is enriched compared to the Nilsson basis because the pp, nn, and pn correlations are built in by the inclusion of residual interaction in a self-consistent manner through the HF iteration procedure. Occupation of the lowest HF orbits by the active neutrons and protons forms the ground band (K=0) intrinsic configuration for even-even nuclei. Here we use an axially symmetric basis with K quantum number for each intrinsic state. This is actually not a limitation of our model because we can diagonalize among various K configurations after J-projection.
An intrinsic wave function _2026_03/1001-8042-2026-03-55/alternativeImage/1001-8042-2026-03-55-M001.png)
_2026_03/1001-8042-2026-03-55/alternativeImage/1001-8042-2026-03-55-M002.png)
_2026_03/1001-8042-2026-03-55/alternativeImage/1001-8042-2026-03-55-M003.png)
_2026_03/1001-8042-2026-03-55/alternativeImage/1001-8042-2026-03-55-M004.png)
In general, two states _2026_03/1001-8042-2026-03-55/alternativeImage/1001-8042-2026-03-55-M005.png)
_2026_03/1001-8042-2026-03-55/alternativeImage/1001-8042-2026-03-55-M006.png)
The Reduced matrix element of a tensor operator TL of polarity L, between projected states _2026_03/1001-8042-2026-03-55/alternativeImage/1001-8042-2026-03-55-M007.png)
Results and Discussions
Deformation Properties
In deformed (axial) Hartree-Fock and angular momentum projection technique [for details see [23, 27] and references there in] we start with a model space and an effective interaction. The model space is presently limited to one major shell for protons and neutrons lying outside the 132Sn core. The 3s1/2, 2d3/2, 2d5/2, 1g7/2, 1h11/2 and 1h9/2 proton states have energies 3.654, 3.288, 0.731, 0.0, 3.205 and 6.96 MeV, and the 3p1/2, 3p3/2, 2f5/2, 2f7/2, 1h9/2 and 1i13/2 neutron states have energies 4.462, 2.974, 3.432, 0.0, 0.686 and 1.487 MeV, respectively [30, 31]. We use Surface Delta Interaction (SDI) [32] as the residual interaction among the active nucleons within the valence space. The strength of the SDI was taken to be 0.3 MeV for p-p, n-n and p-n interactions in our calculation [28, 33]. The strength was fixed to reproduce relative binding energies of nuclei in the rare-earth mass region [33]. Despite its simplicity, this interaction provides a good description of the systematic deformations in this mass region [33, 34]. Also the interaction reproduces quite well the relative experimental binding energies of the Gd and Dy isotopic chains, respectively [30]. Therefore, despite being a simpler schematic interaction, the SDI is very useful for understanding the simplicity of complex calculations. It can simulate the main important correlations, short-range (pairing), and long-range (quadrupole) of nuclei in a rather simple way [35, 36]. It is also evident that SDI gives qualitatively the same behavior as the pairing plus quadrupole interaction for the first excited
As the proton and neutron orbits are filled beyond the closed shell, the deformation and collectivity increase. The maximum deformation was expected at the middle of the shell. The 170Dy isotope with Z=66 and N=104 lies in the middle of the proton shell Z=50-82 and neutron shell N=82-126. Hence, 170Dy is expected to have the most collective nuclei in its ground state [40]. However, experimental data are not currently available for this isotope. In Fig. 1, we have plotted the quadrupole deformation (β2) parameters for N=90 to 106 isotopes of Gd and Dy. Our DHF results for β2 are compared with available experimental [38, 39] as well as RMF [20], FRDM [19] and HFBCS [21] calculations. All theoretical values, including the DHF results, were slightly lower than the experimental data. However, the overall trends were correctly reproduced. The β2 values increased steadily with N and were nearly stabilized after N=96, with a maximum at N~100. This shows that β2 value tends to decrease beyond N=102. The quadrupole and hexadecapole moments for the prolate Hartree-Fock solutions are listed in Table 1. From Table 1, we can see that the nuclei studied here possess large static ground-state quadrupole moments.
| Z | A | EDHF (MeV) | B.E. (expt) (MeV) | Q2 [b] | Q4 [b2] | ||
|---|---|---|---|---|---|---|---|
| Proton | Neutron | Proton | Neutron | ||||
| 64 | 154 | -1266.55 | -1266.55 | 13.45 | 14.34 | 14.01 | 41.25 |
| 156 | -1280.26 | -1281.59 | 13.57 | 15.86 | 13.40 | 20.78 | |
| 158 | -1293.77 | -1295.88 | 13.60 | 18.20 | 13.68 | 41.97 | |
| 160 | -1307.56 | -1309.28 | 13.63 | 20.27 | 13.75 | 54.29 | |
| 162 | -1320.93 | -1321.76 | 13.70 | 21.89 | 13.17 | 36.25 | |
| 164 | -1332.94 | -1333.32 | 13.73 | 23.37 | 13.00 | 33.37 | |
| 166 | -1345.67 | -1344.27 | 13.75 | 22.86 | 12.76 | 12.47 | |
| 168 | -1357.27 | -1354.25 | 13.75 | 21.99 | 12.55 | -10.13 | |
| 170 | -1369.02 | -1362.89(sys) | 13.77 | 22.61 | 12.17 | -28.98 | |
| 66 | 156 | -1278.02 | -1278.02 | 13.64 | 14.54 | 9.74 | 41.98 |
| 158 | -1292.49 | -1294.04 | 13.75 | 15.94 | 9.22 | 18.43 | |
| 160 | -1306.97 | -1309.45 | 13.78 | 18.28 | 9.56 | 39.68 | |
| 162 | -1321.81 | -1324.11 | 13.81 | 20.35 | 9.73 | 52.09 | |
| 164 | -1336.34 | -1338.03 | 13.87 | 22.04 | 9.19 | 33.10 | |
| 166 | -1349.04 | -1350.79 | 13.90 | 23.51 | 9.10 | 30.28 | |
| 168 | -1364.15 | -1362.91 | 13.91 | 22.98 | 8.76 | 9.65 | |
| 170 | -1377.56 | -1374.11 | 13.92 | 22.11 | 8.42 | -12.94 | |
| 172 | -1391.12 | -1384.60 | 13.94 | 22.75 | 8.10 | -31.71 | |
Single particle configuration
The prolate-deformed HF single-particle levels for even-even 154-170Gd and 156-172Dy are shown in Fig. 2 and Fig. 3. The proton and neutron Fermi surfaces are denoted by “dashed” lines, below which the levels are completely filled. The proton single-particle levels remain largely similar throughout the respective isotopic chains both for both Gd and Dy. The neutron single-particle spectra, however, show considerable variation with the change in the valence neutron number, as can be seen from Fig. 2 for the Gd isotopes. It is interesting to note that a considerable gap at the neutron Fermi surface is opened at N=100 isobars compared to its neighboring nuclei. A similar trend was also observed for the nearby Z=62 162Sm nucleus from the mean-field calculation [33]. The gap in single-neutron levels is prominent for the Gd isotope, whereas it exists for Dy isotopes, but less prominently. This indicates a possible deformed subshell gap near N=100. The possibility of a deformed subshell gap at N=100 for
_2026_03/1001-8042-2026-03-55/alternativeImage/1001-8042-2026-03-55-F002.jpg)
_2026_03/1001-8042-2026-03-55/alternativeImage/1001-8042-2026-03-55-F003.jpg)
The HF single-particle orbits shown in Figs. 2 and 3 are obtained by fully self-consistent deformed HF procedure. We emphasize that the deformation dynamically follows the HF solutions and is not externally imposed. A more familiar Nilsson-like plot can be obtained using constrained HF calculations. However, the HF single-particle levels are largely mixed because of the inclusion of residual interactions during the HF iteration procedure. The components of the single-particle levels can be traced back to each single-particle orbital. To obtain a Nilsson-like deformed single-particle plot, we performed constrained HF calculations. For constrained HF calculation, we use a quadrupole-constrained Hamiltonian given by_2026_03/1001-8042-2026-03-55/alternativeImage/1001-8042-2026-03-55-M008.png)
In Fig. 4, we show the Nilsson-like single-particle orbits near the neutron Fermi surface for 164Gd. As mentioned earlier, a considerable gap opens up at the neutron Fermi surface near N=100. Furthermore, higher-order deformations (e.g., β4, β6) may influence the size of the gap.
_2026_03/1001-8042-2026-03-55/alternativeImage/1001-8042-2026-03-55-F004.jpg)
It is to be noted (stressed) that
Systematic of the first 2+ and 4+ energies
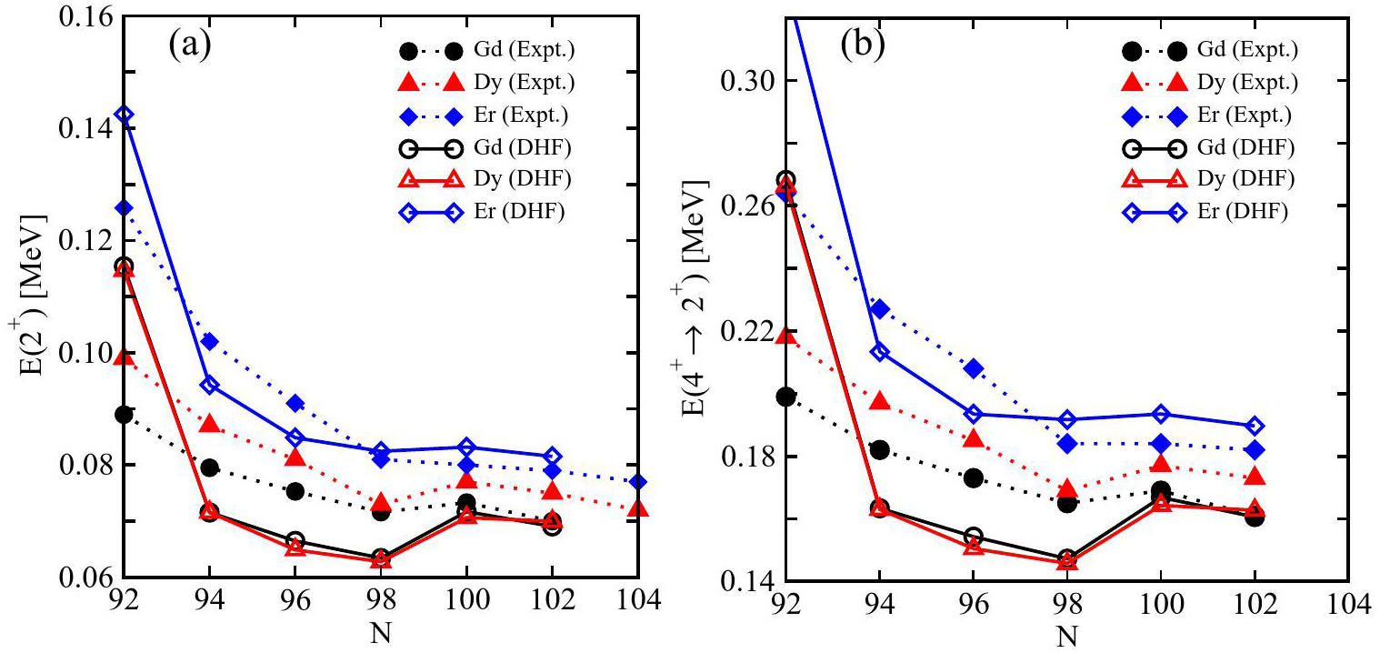
Figure 5(a) shows the systematics of the first 2+ energy E(2+) for even-even Gd, Dy, and Er rare-earth nuclei. A local maximum at N=100 is evident for the Gd and Dy nuclei and less prominent for the Sm isotope [39]. From our calculations, we observed a similar trend for the Gd and Dy nuclei, as shown in Fig. 5(a). Near Z=68, 168Er does not exhibit such a trend at N=100. The E(2+) values decrease from N = 92 to N = 98. From Fig. 5(a), it can be seen that the 2+ energy for N=100 is higher than that of its immediate neighbors. A similar nature is also observed for N=100 and Z=62 isotopes [9]. This supports the possible increase in stability at N=100,
Electromagnetic properties
Electromagnetic properties (e.g., B(E2), quadrupole, and dipole moments) are very useful tools for testing collectivity in nuclear states, as these quantities are very sensitive to nuclear wave functions. The calculated values are often compared with available experimental data to ensure the wave function reliability. However, the experimental information is limited for most of the nuclei studied here. These nuclei lie close to the drip line, and experiments are difficult to perform, even with sophisticated modern facilities.
The reduced electric quadrupole transition strength B(E2) from an initial state _2026_03/1001-8042-2026-03-55/alternativeImage/1001-8042-2026-03-55-M009.png)
We have also calculated the electric quadrupole moment, Q and magnetic dipole moment, μ for the first 2+ state, as shown in Fig. 8 and Fig. 9 for the Gd and Dy isotopic chains. The quadrupole moments were calculated with the effective charges ep(n)=1.75(0.75). The available experimental data and the trend of quadrupole moments with increasing neutron number (N) were reproduced quite well in our calculations. The experimental values are spare and suffer from large uncertainties for Dy isotopes. The systematic calculation of the quadrupole moments showed a smooth variation with the neutron number (N) throughout the isotopic chains. Although a minor change is apparent at N=100 for both the Gd and Dy isotopes. To calculate the magnetic dipole moments, we use the g factors gl=1.0 μN, gs=5.586 × 0.75 μN for protons, and gl=0 μN, gs=-3.826 × 0.75 μN for neutrons. A quenching factor of 0.75 for gs is used to consider the core-polarization effect [45]. The calculated values for μ(2+) agree reasonably well with the available experimental results, as shown in the lower panel of Fig. 8 and Fig. 9. The dipole moments are not well reproduced for 156,158Dy. One of the reasons for this may be the single-particle energies. At the drip line, neutron single-particle energies are still not well known. The νh11/2 orbit has a large influence on the g-factor or magnetic moment. Therefore, the different contributions of νh11/2 in the many-body nuclear wave function can alter the final dipole moment. We have not observed any variation in μ(2+) at N=100 for these nuclei.
Summary and Conclusions
A systematic study of the bulk and microscopic properties and the resulting possible deformed subshell gap around the neutron drip line was carried out for N=90-102 isotopes of Gd and Dy. To understand the structure of deformed nuclei, the basis is to study single-particle motion in a deformed potential. The deformed Hartree-Fock theory for the intrinsic structure and angular momentum projection for the restoration of rotational symmetry are useful techniques in such studies. The intrinsic configurations were generated by self-consistent deformed Hartree-Fock calculations, including the effect of residual interaction. The residual interaction causes mixing among the valence nucleons. The deformation follows dynamically based on the deformed HF theory. The intrinsic states are not the physical states of the nuclear system. One needs to do angular momentum projection to obtain a physical state with good angular momentum.
Our DHF calculations predict a smooth variation in quadrupole deformation with increasing neutron number. The β2 value reaches a maximum at N~100 and nearly stabilizes after that for both the Gd and Dy isotopic chains. The HFBCS+MSk7 [21] calculations show a distinct peak at N=100. The Skyrme Hartree-Fock calculations predict the maximum deformation for Dy isotopes at either N=100 or N=102, depending on the various parameterizations [46]. The FRDM [19] and RMF [20] predict maximum β2 with smooth variation at N=102 for Sm, Gd and Dy nuclei. Despite the variation in the position of the maximum deformation, all calculations predict that the maximum deformation occurs before N=104 in the neutron mid-shell.
The systematic E(2+) energies exhibit a peak-like structure at N=100. This local maximum was also observed in earlier calculations [8] and is evident from experiments [9, 39]. This is an indication of a possible subshell closure at N=100. Recently, it was predicted that the localized maximum deformation and hence the sub-shell closure may present at N=98 [47]. To understand this result, a recent study modified the standard Nilsson parameters with the introduction of an isotope dependence κ and μ [48]. With this modification, deformed gaps may appear at N=98 or N=100, depending on the isotopes and deformation. An increase in E(4+→2+) at N=100 is also observed and also visible from our calculations, as shown in Fig 5(b). The local maximum for E(2+ and E(4+→2+) is not present for Er(Z=68) at N=100. A deformed shell gap usually manifests a discontinuity in the two-neutron separation energy (S2n) in a manner similar to that of the spherical shell gap, but less prominently. However, no such major changes in S2n are visible for the Dy isotopic chain, where the experimental mass is known [49-51]. For other isotopes, the experimental masses are still unknown. Hence, the masses of these nuclei may be determined using the new generation of experimental facilities.
As the deformation peaks near N=100, we expect similar behavior for B(E2; 2+→0+) values. The maximum B(E2) values and hence high collectivity are observed in the present DHF calculations, as shown in Figs. 6 and 7. This may indicate maximum deformation-driven subshell closure at N=100. Although this prediction is not clearly evident from the calculated quadrupole moments, a minor variation in the quadrupole moments at N=100 indicates a change in the shell structure.
From our self-consistent microscopic calculations, a deformation maximum at N=100 was observed, which may act like a sub-shell closure for
Nuclear physics: Unexpected doubly magic nucleus
. 459, 1069-1070 (2009). https://doi.org/10.1038/4591069aEvidence for a new nuclear ‘magic number’ from the level structure of 54Ca
. 502, 207-210 (2013). https://doi.org/10.1038/nature12522Funny hills: The shell-correction approach to nuclear shell effects and its applications to the fission process
. Rev. Mod. Phys. 44, 320-405 (1972). https://doi.org/10.1103/RevModPhys.44.320Probing the N=32 shell closure below the magic proton number Z=20: Mass measurements of the exotic isotopes 52,53K
. Physical Review Letters 114,New Magic Number, N = 16, near the Neutron Drip Line
. Physical Review Letters 84, 5493-5495 (2000). https://doi.org/10.1103/PhysRevLett.84.5493New magic numbers and new islands of stability in drip-line regions in mass model
. Nuclear Physics A 722, C24-C29 (2003). https://doi.org/10.1016/S0375-9474(03)01330-7Shell overcomes repulsive nuclear force instability
. Journal of Physics G: Nuclear and Particle Physics 30, 771 (2004).Examining the stability of Sm nuclei around N = 100
. Physical Review C 85,Isomer decay spectroscopy of 164Sm and 166Gd: Midshell collectivity around N = 100
. Physical Review Letters 113,Fine structure dips in the fission fragment mass distribution for the 238U(18O,f) reaction
. Phys. Rev. C 81,GW170817: Observation of Gravitational Waves from a Binary Neutron Star Inspiral
. Phys. Rev. lett. 119,Swope Supernova Survey 2017a (SSS17a), the optical counterpart to a gravitational wave source
. Science 358, 1556-1558 (2017). arXiv:1710.05452, https://doi.org/10.1126/science.aap9811The Discovery of the Electromagnetic Counterpart of GW170817: Kilonova AT 2017gfo/DLT17ck
. Astrophys. J. 848, L24 (2017). arXiv:1710.05854, https://doi.org/10.3847/2041-8213/aa8edfLight curves of the neutron star merger GW170817/SSS17a: Implications for r-process nucleosynthesis
. Science 358, 1570-1574 (2017). arXiv:1710.05443, https://doi.org/10.1126/science.aaq0049Origin of the heavy elements in binary neutron-star mergers from a gravitational-wave event
. Nature 551, 80-84 (2017). arXiv:1710.05463, https://doi.org/10.1038/nature24453Synthesis of the Elements in Stars
. Reviews of Modern Physics 29, 547-650 (1957). https://doi.org/10.1103/RevModPhys.29.547Source of the rare-earth element peak in r-process nucleosynthesis
. Phys. Rev. Lett. 79, 1809-1812 (1997). https://doi.org/10.1103/PhysRevLett.79.1809Nuclear ground-state masses and deformations
. Atomic Data and Nuclear Data Tables 59, 185 (1995). arXiv:nucl-th/9308022, https://doi.org/10.1006/adnd.1995.1002Ground-State Properties of Even-Even Nuclei in the Relativistic Mean-Field Theory
. Atom. Data Nucl. Data Tabl. 71, 1 (1999).a HARTREE-FOCK Nuclear Mass Table
. Atomic Data and Nuclear Data Tables 77, 311-381 (2001). https://doi.org/10.1006/adnd.2000.0857Study of rotation-alignment in the backbend region by angular momentum projection
. Physics Letters B 119, 17-20 (1982). https://doi.org/10.1016/0370-2693(82)90233-7Shape mixing and the shell-model description of the isotopes of neon
. Physics Letters B 35, 11-15 (1971). https://doi.org/10.1016/0370-2693(71)90426-6Shape mixing in 24Ne
. Physics Letters B 36, 290-292 (1971). https://doi.org/10.1016/0370-2693(71)90705-2Structure of krypton nuclei and the low-lying positive parity bands in 82Kr
. Journal of Physics G Nuclear Physics 14, 843-856 (1988). https://doi.org/10.1088/0305-4616/14/7/005Study of Energy Spectra and Electromagnetic moments of Double Beta Decay Nuclei in Deformed Hartree-Fock Model
. ArXiv e-prints. arXiv:1111.1174Signature effects in some N=90 odd-Z rare-earth nuclei
. Phys. Rev. C 47, 1990-2000 (1993). https://doi.org/10.1103/PhysRevC.47.1990Energy spectra and electromagnetic transition rates of 160,162,164Gd in the projected Hartree-Fock model
. AIP Conference Proceedings 1609, 135-141 (2014). https://doi.org/10.1063/1.4893266Systematic study of high-K isomers in the midshell Gd and Dy nuclei
. European Physical Journal A 54, 163 (2018). arXiv:1805.07076, https://doi.org/10.1140/epja/i2018-12596-0Effect of woods-saxon wave functions on the calculation of A=18, 206, 210 spectra with a realistic interaction
. Phys. Rev. 180, 956-966 (1969). https://doi.org/10.1103/PhysRev.180.956Surface delta interaction in deformed nuclei
. Phys. Rev. 156, 1064-1071 (1967). https://doi.org/10.1103/PhysRev.156.1064Rotational Bands and Electromagnetic Transitions of Some Even-Even Neodymium Nuclei in Projected Hartree-Fock Model
. Int. J. Mod. Phys. E 21, 50070 (2012). arXiv:1106.3152, https://doi.org/10.1142/S021830131250070XBand structures and deformations of rare-earth nuclei
. J. of Phys.: Conf. Seri. 312,Nuclear coupling schemes with a surface delta interaction
. Phys. Rev. 139, 790-793 (1965). https://doi.org/10.1103/PhysRev.139.B790Nuclear deformations in the pairing-plus-quadrupole model. (I). The single- j shell
. Nucl. Phys. 62, 113-132 (1965). https://doi.org/10.1016/0029-5582(65)90074-XA connection between the surface delta interaction and the pairing plus quadrupole model in spherical nuclei
. Phys. Lett. 21, 85-86 (1966). https://doi.org/10.1016/0031-9163(66)91352-7Transition probability from the ground to the first- excited 2+ state of even-even nu clides
. Atom. Data Nucl. Data Tabl. 78, 1-128 (2001).ENSDF Database
[http://www.nndc.bnl.gov/ensdf]. http://www.nndc.bnl.gov/ensdfStructure of the doubly midshell nucleus 66170Dy104
. Physical Review C 65,Nuclear data sheets for A=164
. Nuclear Data Sheets 147, 1-381 (2018). https://doi.org/10.1016/J.NDS.2018.01.001Nuclear data sheets for A=166
. Nuclear Data Sheets 109, 1103-1382 (2008). https://doi.org/10.1016/J.NDS.2008.04.001Nuclear data sheets for A=168
. Nuclear Data Sheets 111, 1807-2080 (2010). https://doi.org/10.1016/J.NDS.2010.07.001Nuclear data sheets for A=170
. Nuclear Data Sheets 96, 611-873 (2002). https://doi.org/10.1006/NDSH.2002.0015Self-consistent description of dysprosium isotopes in the doubly midshell region
. Phys. Rev. C 68,Masses and β-decay spectroscopy of neutron-rich odd-odd 160,162Eu nuclei: Evidence for a subshell gap with large deformation at N=98
. Phys. Rev. Lett. 120,Changes of deformed shell gaps at N ~ 100 in light rare-earth, neutron-rich nuclei
. Journal of Physics G: Nuclear and Particle Physics 47,The ame2016 atomic mass evaluation (II). tables, graphs and references
. Chinese Physics C 41,Precision mass measurements on neutron-rich rare-earth isotopes at JYFLTRAP: Reduced neutron pairing and implications for r-process calculations
. Phys. Rev. Lett. 120,Precision mass measurements of neutron-rich neodymium and samarium isotopes and their role in understanding rare-earth peak formation
. Phys. Rev. Lett. 120,The authors declare that they have no competing interests.


_2026_03/1001-8042-2026-03-55/alternativeImage/1001-8042-2026-03-55-F001.jpg)
_2026_03/1001-8042-2026-03-55/alternativeImage/1001-8042-2026-03-55-F005.jpg)
_2026_03/1001-8042-2026-03-55/alternativeImage/1001-8042-2026-03-55-F006.jpg)
_2026_03/1001-8042-2026-03-55/alternativeImage/1001-8042-2026-03-55-F007.jpg)
_2026_03/1001-8042-2026-03-55/alternativeImage/1001-8042-2026-03-55-F008.jpg)
_2026_03/1001-8042-2026-03-55/alternativeImage/1001-8042-2026-03-55-F009.jpg)