Introduction
Determining the limits of nuclear stability and expanding the map of known isotopes are among the main goals of modern nuclear physics [1-3]. The single-particle structure is of great importance for nuclear stability, particularly for heavy nuclei. As it is known, the superheavy nuclei (with the atomic number
Indeed, the mechanism of spontaneous symmetry breaking allows nuclei to be represented as non-spherical shapes. Numerous experiments have indicated that nuclei can possess not only axially or nonaxially quadrupole deformations but also nonaxially or axially octupole and hexadecapole deformations [4-9]. Nuclear spectra, moments, and electromagnetic matrix elements are typically used to verify such deformation properties [4, 5, 10]. The importance of high-order deformation, e.g., the hexacontetrapole deformation β6, has been revealed in describing the ground states [11-13] and the excited states including both the multi-quiparticle high-K states [14, 15] and collective rotational states [15-18]. For instance, Xu et al. [18] recently probed the importance of the coupling between the high-order deformation β6 and odd-order deformation β3 in rotating 252,254No. In the spontaneous fission process, the effect of higher multipolarity shape parameters in nuclei with
To date, the new generation of experimental facilities has served for many years to explore the limits of stability of high proton-number (Z) and/or high isospin (T) nuclei, including the measurements of their structural properties. Theoretically, the main methods include macroscopic-microscopic (MM) models and microscopic theory, for example, cf. Refs. [20-22]. Prior to this work, we have performed some PES and total-Routhian-surface (TRS) calculations in multidemensional deformation spaces, e.g., (β2, γ, β4), (β2, β3, β4, β5) and some exotic deformation spaces [5-7, 9, 23-26]. In the present study, using an improved PES calculation with the inclusion of higher multipolarity deformations, we focus on investigating the 246,248No nuclei, located in both the heavy and drip-line actinide regions. The 248No nucleus is the most neutron-deficient even-even No isotope, which has already been synthesized experimentally [27] but the half-life and structural properties remain unknown, and its neighboring even-even 246No nucleus is expected to be synthesized as the next candidate. In Ref. [28], it was reported that a large reduction of more than five and six orders of magnitude of the ground-state fission half-lives was found between 252No and 254No and, following this trend, the fission half-life of the ground state of the more neutron-deficient even-even No isotopes will be extremely short, making it experimentally inaccessible and very close to the 10-14-s limit of existence of an atom. However, a recent study within a cluster model pointed out that the neutron-deficient 247,248No nuclei are relatively stable with respect to spontaneous fission, and no abrupt decreases in their fission half-lives were observed [29].
Concerning the development of the PES approach, our primary contribution in this work is to extend the deformation space (β2, β3, β4, β5) to further cover higher-order β6, β7 and β8 degrees of freedom, mainly including the calculation modifications of the new Hamiltonian matrix, surface, and Coulomb energies of the nuclear liquid drop. The remainder of this paper is organized as follows. The theoretical framework is described in Sect. 2. The calculated results and related discussions are presented in Sect. 3. Finally, Sect. 4 summarizes the main conclusions of this study.
Theoretical method
The general procedures for PES calculations (even with rotation, e.g., TRS) within the framework of MM models are standard and have been summarized in Refs. [30-32]. In the following, we briefly present the realization of the PES approach, focusing on the leading lines and some basic definitions.
First, let us briefly review one of the widely used techniques for nuclear shape (potential) parameterization. Namely, one can define the nuclear surface in terms of the spherical-harmonic basis expansion as,_2026_03/1001-8042-2026-03-44/alternativeImage/1001-8042-2026-03-44-M001.png)
The phenomenological nuclear potential can be calculated using a parameterized nuclear shape. For a nucleus, the Woods-Saxon (WS) potential is more realistic owing to its flat-bottomed and short-range properties. In the project, we numerically solve the Schrödinger equation with a deformed WS Hamiltonian [35, 36],_2026_03/1001-8042-2026-03-44/alternativeImage/1001-8042-2026-03-44-M002.png)
_2026_03/1001-8042-2026-03-44/alternativeImage/1001-8042-2026-03-44-M003.png)
_2026_03/1001-8042-2026-03-44/alternativeImage/1001-8042-2026-03-44-M004.png)
_2026_03/1001-8042-2026-03-44/alternativeImage/1001-8042-2026-03-44-M005.png)
For protons, a classical electrostatic potential of a uniformly charged drop is used for describing the Coulomb potential, which is defined as_2026_03/1001-8042-2026-03-44/alternativeImage/1001-8042-2026-03-44-M006.png)
During the process of calculating the WS Hamiltonian matrix, we use the eigenfunctions of the axially deformed harmonic oscillator potential in the cylindrical coordinate system as the basis function, as seen below,_2026_03/1001-8042-2026-03-44/alternativeImage/1001-8042-2026-03-44-M007.png)
Based on the obtained single-particle levels at the corresponding nuclear shape, the quantum shell correction and pairing-energy contributions can be further calculated using the Strutinsky method [37] and the Lipkin-Nogami (LN) method [38, 39]. In the these methods, the microscopic shell-correction energy is given by_2026_03/1001-8042-2026-03-44/alternativeImage/1001-8042-2026-03-44-M008.png)
_2026_03/1001-8042-2026-03-44/alternativeImage/1001-8042-2026-03-44-M009.png)
_2026_03/1001-8042-2026-03-44/alternativeImage/1001-8042-2026-03-44-M010.png)
In addition to the shell correction, another important quantum correction is the pairing-energy contribution. It is worth noting that various pairing energy variants exist in the MM approach [44]. Several types of phenomenological expressions have been widely adopted, such as pairing correlation and pairing correction energies, employing or not employing the particle number projection technique. We employ the LN method, an approximate particle number projection technique, to treat the pairing-energy calculation [38, 39]. Such a pairing treatment can help avoid not only the spurious pairing phase transition but also the particle number fluctuations encountered in simpler BCS calculations. In this method, the LN pairing energy for an even-even nucleon system at “paired solution” (pairing gap _2026_03/1001-8042-2026-03-44/alternativeImage/1001-8042-2026-03-44-M011.png)
_2026_03/1001-8042-2026-03-44/alternativeImage/1001-8042-2026-03-44-M012.png)
_2026_03/1001-8042-2026-03-44/alternativeImage/1001-8042-2026-03-44-M013.png)
_2026_03/1001-8042-2026-03-44/alternativeImage/1001-8042-2026-03-44-M014.png)
The macroscopic energy can be calculated using the standard liquid-drop model [33]. Since we pay attention to the deformation effects instead of, e.g., masses, in the PES calculation, the deformation liquid-drop energy (relative to the spherical liquid drop) is adopted [33, 36, 37], as seen below,_2026_03/1001-8042-2026-03-44/alternativeImage/1001-8042-2026-03-44-M015.png)
Within the framework of MM model, the total energy can be calculated by [20, 45]_2026_03/1001-8042-2026-03-44/alternativeImage/1001-8042-2026-03-44-M016.png)
Results and Discussion
In this project, we restricted ourselves to axially symmetric shapes and performed numerical calculations in a seven-dimensional deformation space. Namely, we calculate (25, 13, 13, 7, 5, 5, 5) points for (β2, β3, β4, β5, β6, β7, β8) deformations, respectively, taking the size 0.05 as the deformation step. Our primary concern is how high-order multipolarity deformations and their couplings affect the potential energy landscapes.
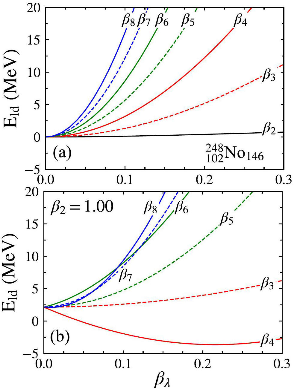
For heavy nuclear systems, nuclear stability is approximately governed by the competition between the surface tension of the nuclear liquid drop and the strong Coulomb repulsion between numerous protons. The former tends to hold the system together, whereas the latter drives the nucleus towards spontaneous fission. To understand the influence of different deformation parameters on the macroscopic energy, taking 248No as an example, the evolution of deformed liquid-drop energies near the spherical and elongated shapes is illustrated in Fig. 1. For such a heavy nucleus, the macroscopic liquid-drop energy remains almost a small constant with changing β2, in agreement with our previous study [6]. It can be observed that the nuclear stiffness (usually defined by
_2026_03/1001-8042-2026-03-44/alternativeImage/1001-8042-2026-03-44-F001.jpg)
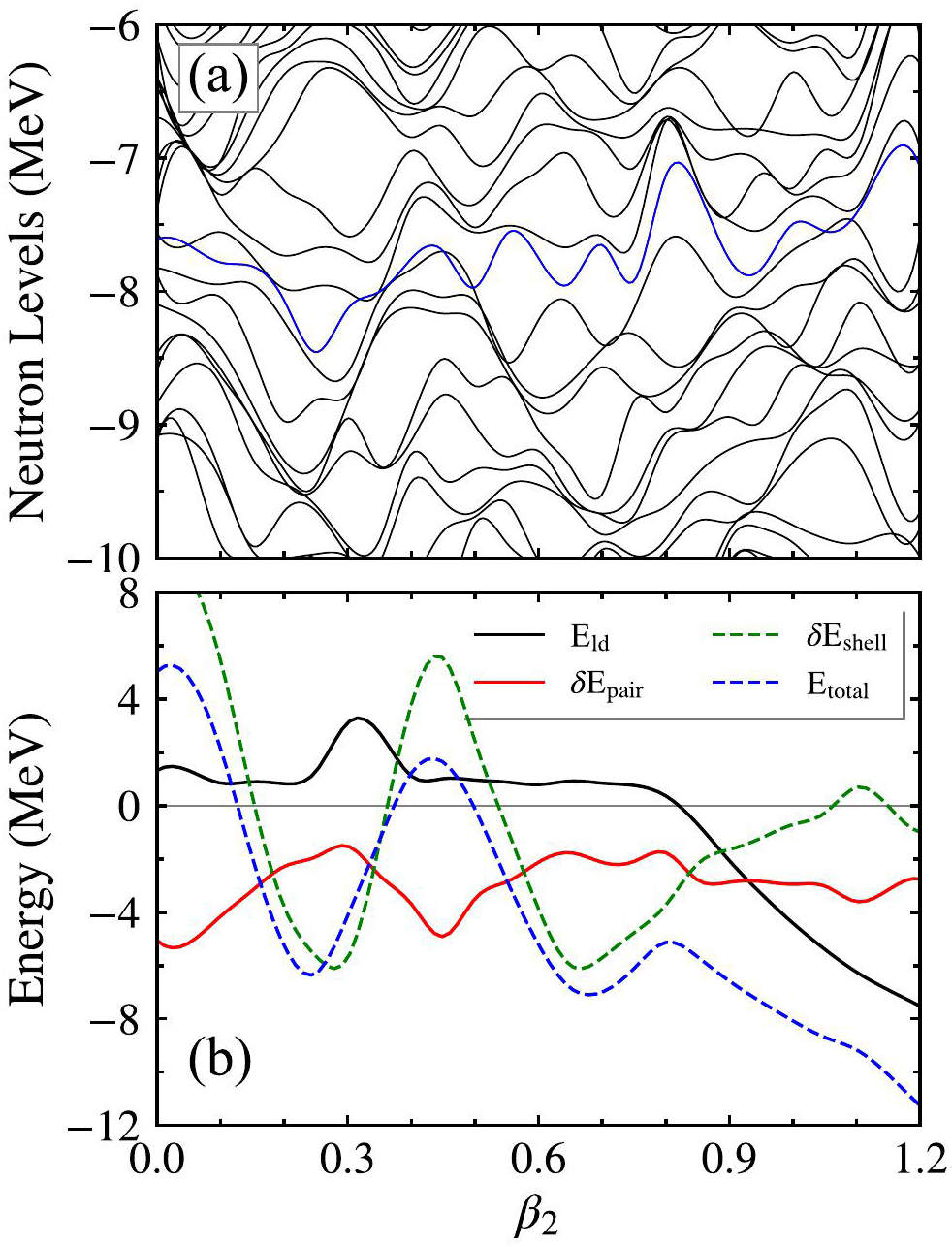
Quantum shell effects arising from single-particle states can enhance nuclear stability in the MM calculation because high and low densities will give rise to positive and negative shell corrections, respectively. The appearance of these appropriate corrections on the pathway to scission may lead to enhanced stability. Figure 2 shows the effects of different high-order deformations (e.g.,
_2026_03/1001-8042-2026-03-44/alternativeImage/1001-8042-2026-03-44-F002.jpg)
All projected two-dimensional β2-vs-βλ (λ=3, 4, 5, 6, 7 or 8) maps for 246No and 248No in such a seven-dimensional deformation space are illustrated in Figs. 3 and 4. In each subplot, the total energy is minimized over the remaining deformation degrees of freedom (e.g., on the β2-vs-β3 plane, the energy is minimized over β4,5,6,7,8). From these projection maps, some properties, such as energy minima and fission paths, can be analyzed. It should be noted that, ignoring the interpolated errors, the corresponding minima, for example, the normally deformed minima near β2=0.2 and the superdeformed minima near β2 = 0.7, in different projection maps are the same. In these two figures, all odd-order deformation parameters are zero at both the normally deformed and superdeformed minima. The ensembles (β2, β4, β6, β8;
_2026_03/1001-8042-2026-03-44/alternativeImage/1001-8042-2026-03-44-F003.jpg)
_2026_03/1001-8042-2026-03-44/alternativeImage/1001-8042-2026-03-44-F004.jpg)
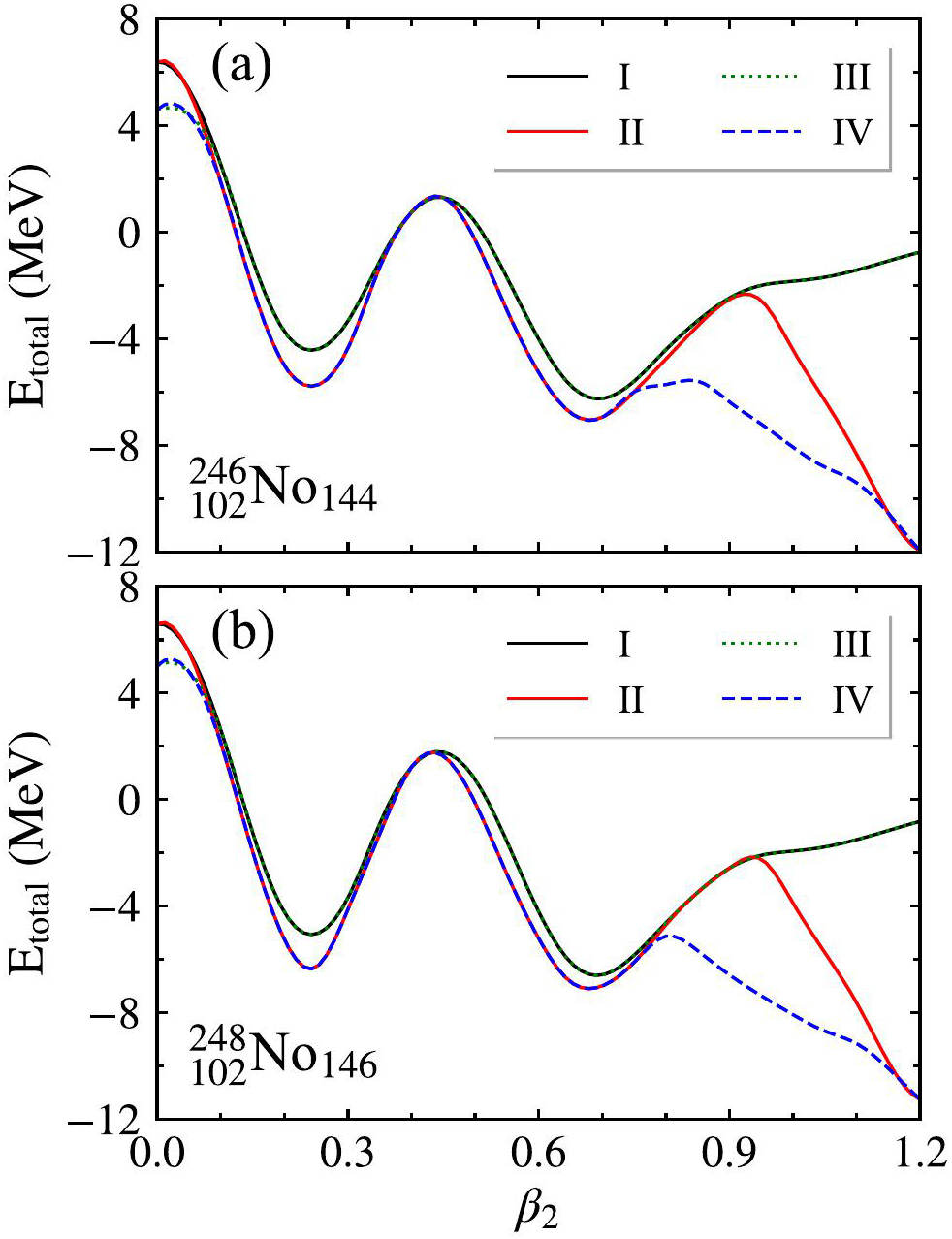
To understand the effects of even- and odd-order deformations on the fission trajectory, Figure 5 shows four types of potential energy curves along the minimum valley in the quadrupole deformation β2 direction for 246,248No. The typically double-humped fission barriers in actinide nuclei are well reproduced [46]. Note that the
_2026_03/1001-8042-2026-03-44/alternativeImage/1001-8042-2026-03-44-F005.jpg)
_2026_03/1001-8042-2026-03-44/alternativeImage/1001-8042-2026-03-44-F006.jpg)
It should be pointed out that although the normally deformed minimum in 246,248No is still referred to as the ground state in Ref. [20], the inversion of the energies between the normally deformed minimum and the superdeformed minimum has occurred. Therefore, strictly speaking, the superdeformed minima in 246,248No are the ground states. The fission half-lives of 246,248No decaying from such ground states will rapidly decrease relative to those of normally deformed ground states (e.g., in lighter actinide nuclei). However, as discussed in Ref. [47] where it is pointed out that the stability of superheavy nuclei may be enhanced by high-K isomer, such very neutron-deficient heavy nuclei may have the enhanced stability due to the normally-deformed minimum as the shape isomer (The study of decay half-life from it, including the typical γ distortion of the inner barrier [23] is beyond the scope of the present work).
In addition, to verify that odd-order deformation effects for the fission paths can occur only when the even-order deformations are considered, we show the energy projection maps in the (β2, β3) plane for 246,248No in Fig. 7, ignoring the even-order deformation degrees of freedom. The fission valley in Fig. 7 is equivalent to curve III in Fig. 5. From Fig. 7, one can see that, from the normally deformed minima to the strongly elongated region, the odd-order deformation β3 does not change the fission path in 246,248No. It can be concluded that odd-order deformation effects only play important roles, accompanied by higher even-order deformations (e.g., β4). Whether such a conclusion is a general rule deserves further study through systematic investigation in the future.
Summary
In this project, we developed a PES calculation method, extending the deformation space, within the framework of the MM model and investigated the high-order deformation effects in the neutron-deficient heavy nuclei 246,248No. The evolution properties of microscopic single-particle levels and macroscopic energies as functions of different deformation degrees of freedom are illustrated. It was found that the higher the deformation order, the more difficult it is to occur because, for a spherical liquid drop, in general, the stiffness along some deformation will gradually increase as the corresponding deformation-multipolarity increases. However, for a strongly elongated spheroid, high-order deformations play an important role owing to the large softness along them. Our calculations illustrate that the highly even-order deformations significantly affect both the potential energy minima and the fission paths. In particular, the high-order deformation β8 may be more favored than the lower-order β6 for a strongly elongated nuclear shape. All odd-order deformations mainly affect the second barrier, but they must accompany even-order deformations (e.g., β4). Indeed, the inclusion of higher-order deformations is somewhat necessary in the study of nuclear structure, nuclear fusion, and fission processes. Although we cannot accurately determine the symmetry properties of fission fragments owing to the scarcity of information on the scission points, the trend in earlier studies [48, 49] indicates the possible occurence of asymmetric fissions in these two nuclei. Moreover, it is also found that the very neutron-deficient 246No nucleus may still be accessed experimentally because, similar to the high-K isomer reported in Ref. [47], the normally deformed shape isomer can enhance the survival probability in the drip-line heavy nucleus, although the superdeformed ground state is rather unstable. In the future, it would be meaningful to extend the deformation space to include nonaxially deformations.
The AME 2020 atomic mass evaluation (II). tables, graphs and references
, Chin. Phys. C 45,Model-repair capabilities of tree-based machine-learning algorithms applied to theoretical nuclear mass models
, Phys. Rev. C 111,Properties of the drip-line nucleus and mass relation of mirror nuclei
, Nucl. Sci. Tech. 36, 26 (2025). https://doi.org/10.1007/s41365-024-01633-9Intrinsic reflection asymmetry in atomic nuclei
, Rev. Mod. Phys. 68, 349-421 (1996). https://doi.org/10.1103/RevModPhys.68.349Investigation of octupole effects in superheavy nuclei with improved potential-energy-surface calculations
. Chin. Sci. Bull 57, 1761-1764 (2012). https://doi.org/10.1007/s11434-012-5118-yProbing the structural evolution along the fission path in the superheavy nucleus 256Sg
. Indian J. Phys. 97, 2793-2808 (2023). https://doi.org/10.1007/s12648-023-02626-xProbes of axial and nonaxial hexadecapole deformation effects in nuclei around 230U
. Commun. Theor. Phys. 75,Violent collisions can reveal hexadecapole deformation of nuclei
. Nucl. Sci. Tech. 35, 115 (2024). https://doi.org/10.1007/s41365-024-01509-yRevisiting the island of hexadecapole-deformation nuclei in the A≈150 mass region: Focusing on the model application to nuclear shapes and masses
. Commun. Theor. Phys. 76,Radiations from 1– states in even-even nuclei
. Phys. Rev. 100, 1543-1545 (1955). https://doi.org/10.1103/PhysRev.100.1543Main deformed shells of heavy nuclei studied in a multidimensional deformation space
. Phys. Lett. B 256, 307-310 (1991). https://doi.org/10.1016/0370-2693(91)91766-ONuclear ground-state masses and deformations: FRDM(2012)
. At. Data Nucl. Data Tables 109-110, 1-204 (2016). https://doi.org/10.1016/j.adt.2015.10.002Microscopic study of higher-order deformation effects on the ground states of superheavy nuclei around 270Hs
. Chin. Phys. C 46,On the stability of high-k isomers in the second well of actinide nuclei
. Eur. Phys. J. A 47, 135 (2011). https://doi.org/10.1140/epja/i2011-11135-yHigh-k isomer and the rotational properties in the odd-Z neutron-rich nucleus M163Eu
. Chin. Phys. C 43,Understanding the different rotational behaviors of 252No and 254No
. Phys. Rev. C 86,Rotational properties of the superheavy nucleus 256Rf and its neighboring even-even nuclei in a particle-number-conserving cranked shell model
. Phys. Rev. C 87,Emergence of high-order deformation in rotating transfermium nuclei: A microscopic understanding
. Phys. Rev. Lett. 133,Role of pairing degrees of freedom and higher multipolarity deformations in spontaneous fission process
. Nucl. Phys. A 657, 134-157 (1999). https://doi.org/10.1016/S0375-9474(99)00328-0Nuclear ground-state masses and deformations
. At. Data Nucl. Data Tables 59, 185-381 (1995). https://doi.org/10.1006/adnd.1995.1002Self-consistent mean-field models for nuclear structure
. Rev. Mod. Phys. 75, 121-180 (2003). https://doi.org/10.1103/RevModPhys.75.121Rotational properties in even-even superheavy 254-258 Rf nuclei based on total-routhian-surface calculations
. Chin. Phys. C 38,Calculation of multidimensional potential energy surfaces for even-even transuranium nuclei: systematic investigation of the triaxiality effect on the fission barrier
. Chin. Phys. C 42,Characteristics of collectivity along the yrast line in even-even tungsten isotopes
. Phys. Rev. C 94,The triaxiality and coriolis effects on the fission barrier in isovolumic nuclei with mass number A = 256 based on multidimensional total routhian surface calculations
. Prog. Theor. Exp. Phys. 2018,Exotic symmetries as stabilizing factors for superheavy nuclei: Symmetry-oriented generalized concept of nuclear magic numbers
. Phys. Rev. C 106,Fission properties of 253Rf and the stability of neutron-deficient Rf isotopes
. Phys. Rev. C 105,Is there an abrupt fall of spontaneous fission half-lives in 248No and 252Rf?
Eur. Phys. J. A 60, 164 (2024). https://doi.org/10.1140/epja/s10050-024-01382-8Multi-quasiparticle potential-energy surfaces
, Phys. Lett. B 435, 257-263 (1998). https://doi.org/10.1016/S0370-2693(98)00857-0Resolution of a possible misinterpretation of the nuclear excitation mode along the yrast line: An investigation on the evolution of rotation and vibration
. Phys. Rev. C 105,Landscape appreciation of systematic structure properties in even-even nuclei along the valley of stability
. Phys. Rev. C 105,Nuclear masses and deformations
. Nucl. Phys. 81, 1-60 (1966). https://doi.org/10.1016/0029-5582(66)90639-0Evidence of hexadecapole deformation in Uranium-238 at the relativistic heavy ion collider
. Phys. Rev. Lett. 130,Discussion of the improved parametrisation of the Woods-Saxon potential for deformed nuclei
. Nucl. Phys. A 341, 253-268 (1980). https://doi.org/10.1016/0375-9474(80)90312-7Single-particle energies, wave functions, quadrupole moments and g-factors in an axially deformed woods-saxon potential with applications to the two-centre-type nuclear problems
. Comput. Phys. Commun. 46, 379-399 (1987). https://doi.org/10.1016/0010-4655(87)90093-2New calculation of fission barriers for heavy and superheavy nuclei
. Phys. Rev. C 5, 1050-1077 (1972). https://doi.org/10.1103/PhysRevC.5.1050Study of approximations in the nuclear pairing-force problem
. Nucl. Phys. A 201, 357-368 (1973). https://doi.org/10.1016/0375-9474(73)90071-7The lipkin-nogami formalism for the cranked mean field
. Nucl. Phys. A 578, 45-61 (1994). https://doi.org/10.1016/0375-9474(94)90968-7Shape coexistence effects of super- and hyperdeformed configurations in rotating nuclei with 42≤Z≤56 and 74≤Z≤92
. At. Data Nucl. Data Tables 59, 1-181 (1995). https://doi.org/10.1006/adnd.1995.1001On the nuclear structure and stability of heavy and superheavy elements
. Nucl. Phys. A 131, 1-66 (1969). https://doi.org/10.1016/0375-9474(69)90809-4A new definition of shell corrections to the liquid drop energy
. Nucl. Phys. A 255,405-418 (1975). https://doi.org/10.1016/0375-9474(75)90688-0Particle number conserving shell-correction method
. Phys. Rev. C 70,Exotic toroidal and superdeformed configurations in light atomic nuclei: Predictions using a mean-field hamiltonian without parametric correlations
. Phys. Rev. C 103,Pairing, temperature, and deformed-shell effects on the properties of superdeformed 152Dy nucleus
. Phys. Rev. C 38, 940-952 (1988). https://doi.org/10.1103/PhysRevC.38.940The double-humped fission barrier
. Rev. Mod. Phys. 52, 725-931 (1980). https://doi.org/10.1103/RevModPhys.52.725Enhanced stability of superheavy nuclei due to high-spin isomerism
. Phys. Rev. Lett. 92,Spontaneous fission properties of 252,254No and 256,258[104] and the disappearance of the outer fission barrier
. J. Alloys Compd. 213–214, 86-92 (1994). https://doi.org/10.1016/0925-8388(94)90885-0Calculated fission-fragment mass yields and average total kinetic energies of heavy and superheavy nuclei
. Eur. Phys. J. A 56, 46 (2020). https://doi.org/10.1140/epja/s10050-020-00036-9The authors declare that they have no competing interests.


_2026_03/1001-8042-2026-03-44/alternativeImage/1001-8042-2026-03-44-F007.jpg)