Introduction
The synthesis of new elements and nuclides is a popular topic in the nuclear physics field [1-3]. This is not only of great significance for understanding the structure of matter, but also provides important information for understanding the evolution of the celestial environment, making it an essential means of exploring nature. Heavy-ion fusion evaporation (FE) reactions play a crucial role in the synthesis of new elements [3, 4] and nuclides [5, 6]. In such reactions [7, 8], heavy ions are accelerated by a heavy-ion accelerator and collide with target nuclei [9, 10], leading to nuclear fusion and subsequent evaporation processes that result in the synthesis of new nuclides [11, 12].
The FE reaction has made great progress in experiment. In 1975, 40Ar beams with energies up to 225 MeV from the Dubna U-300 cyclotron bombarded 204Pb and 206Pb targets, and 242Fm was synthesized [13]. The 206Pb and 209Bi targets were bombarded with 40Ar beam from the GSI Universal Linear Accelerator (UNILAC) accelerator to form 243Fm and 247Md in the FE reactions in 1981 [14]. Similarly, the successful synthesis of new nuclides, 245Md and 246Md, was achieved via 40Ar + 209Bi combination at the GSI Laboratory in 1996 [15]. An enriched 204Pb target was bombarded with 40Ar beams from the GSI UNILAC accelerator, forming 241Fm in the (3n) FE reaction in 2008 [16]. The new neutron-deficient isotope 217U was produced in the bombardment of the 182W target with 40Ar ions and identified using a recoil-α-α correlation method in 2000 [17]. In addition, China has also made some achievements in the synthesis of new nuclides by using 40Ar in recent years, such as the team of the Institute of Modern Physics of the Chinese Academy of Sciences (IMPCAS) successfully synthesizing the new uranium isotopes, 215,216U, using the projectile-target combination 40Ar + 180W in 2015 [18, 19]. Since 2017, the IMPCAS has devoted itself to the synthesis and study of Np radioisotopes and has successively synthesised a series of new neutron-deficient isotopes 220,223,224 Np through the FE reactions 40Ar + 185,187Re [20-22]. Recent results from Dubna for the 40Ar + 238U reaction [23] demonstrated that 40Ar beam can also be used for the synthesis of superheavy nucleus.
In theoretical studies, many models have been developed to understand the formation mechanism of heavy and superheavy nuclei in FE reactions [24-28]. This study is based on the dinuclear system (DNS) model [29-32]. The synthesis of heavy and superheavy nuclei is a complex dynamic process involving competition between fusion and quasi-fission. The fusion and quasi-fission processes can be viewed as the evolution of the DNS model along the two main degrees of freedom: the relative motion of nuclei in the interaction potential for the formation of DNS and the decay of the DNS (quasi-fission process) along the elongation degree of freedom (internuclear motion); the transfer of nucleons between two nuclei in the mass asymmetric coordinate system
Theoretical calculations were performed using the combination of the DNS + statistical model 1, as well as the combination of the DNS + statistical model 2 (GEMINI++ model). The evaporation residual cross sections (ERCSs) for FE reactions were calculated by using 144Sm, 160,164Dy, 165Ho, 166Er, 169Tm, 171,174Yb, 175Lu, 176-180Hf, 181Ta, 180,182W and 187Re targets with 40Ar projectile and the results were compared with available experimental data. The remainder of this paper is organized as follows. In Sect. 2, we give a brief description of the theoretical framework. The results and discussion are presented in Sect. 3. A summary is concluded in Sect. 4.
Theoretical framework
In theoretical studies, the FE reaction process can be divided into three successive phases. The first phase is the capture process, which can be evaluated using the capture cross section. The second phase is the evolution of the DNS from the contact configuration to the formation of a compound nucleus, which can be evaluated using the fusion probability. The final stage involves the excited compound nucleus undergoing evaporation of light particles to prevent fission, which can be evaluated using the survival probability. Finally, ERCSs of residual nuclei is obtained. In the DNS concept, the ERCS is calculated as the sum of all partial waves [24, 25, 38]._2026_03/1001-8042-2026-03-40/alternativeImage/1001-8042-2026-03-40-M001.png)
The _2026_03/1001-8042-2026-03-40/alternativeImage/1001-8042-2026-03-40-M002.png)
By numerically solving the four-variable master equations in the corresponding potential energy surface, the time evolution of the probability distribution function _2026_03/1001-8042-2026-03-40/alternativeImage/1001-8042-2026-03-40-M003.png)
Survival probability is important for evaluating ERCS. In the de-excitation process of the CN, two different statistical models are employed for theoretical calculations: statistical model 1 and statistical model 2 (GEMINI++ model). In model 1, similar to neutron evaporation, the probability in the channel of evaporating the x-th neutron, the y-th proton and the z-th α particle is expressed as [46]_2026_03/1001-8042-2026-03-40/alternativeImage/1001-8042-2026-03-40-M004.png)
_2026_03/1001-8042-2026-03-40/alternativeImage/1001-8042-2026-03-40-M005.png)
_2026_03/1001-8042-2026-03-40/alternativeImage/1001-8042-2026-03-40-M006.png)
_2026_03/1001-8042-2026-03-40/alternativeImage/1001-8042-2026-03-40-M007.png)
_2026_03/1001-8042-2026-03-40/alternativeImage/1001-8042-2026-03-40-M008.png)
_2026_03/1001-8042-2026-03-40/alternativeImage/1001-8042-2026-03-40-M009.png)
The particle decay widths are evaluated with the Weisskopf’s evaporation theory [49] as_2026_03/1001-8042-2026-03-40/alternativeImage/1001-8042-2026-03-40-M010.png)
The coulomb barrier calculation in the case of emission of charge particles, which can be as_2026_03/1001-8042-2026-03-40/alternativeImage/1001-8042-2026-03-40-M011.png)
The fission width can be calculated with the Bohr-Wheeler formula as [51]_2026_03/1001-8042-2026-03-40/alternativeImage/1001-8042-2026-03-40-M012.png)
The level density was calculated using the back-shifted Fermi-gas model [53]. The excitation energy is replaced with the equivalent excitation energy U=E-δ. The energy level density is expressed as_2026_03/1001-8042-2026-03-40/alternativeImage/1001-8042-2026-03-40-M013.png)
The selection of the level-density parameter in Eq. (13) is crucial, as it should be applied to both the low and high excitation energy regions. Only in this way can statistical model 1 be more rationally utilized to describe the de-excitation and fission processes of nuclei in the excited state. It is closely related to the excitation energy of the nucleus and shell correction._2026_03/1001-8042-2026-03-40/alternativeImage/1001-8042-2026-03-40-M014.png)
_2026_03/1001-8042-2026-03-40/alternativeImage/1001-8042-2026-03-40-M015.png)
_2026_03/1001-8042-2026-03-40/alternativeImage/1001-8042-2026-03-40-M016.png)
Another statistical model used in this study was GEMINI++, which is an improved version of the GEMINI statistical decay model developed by R. J. Charity [56] to describe the formation of complex fragments in heavy-ion fusion experiments. The de-excitation of the compound nucleus occurs through a series of binary decays until particle emission is energetically forbidden or impossible owing to competition with γ-ray emission. The evaporation process of light particles was described using the Hauser-Feshbach model in GEMINI++. In statistical model 1 and the GEMINI++ model, the same fission barrier was used. However, there are differences in the calculation methods for fission widths. In the GEMINI++ model, the Bohr-Wheeler formulism is used for symmetric fission [57]. For mass asymmetric fission outside the symmetric fission peak, the Moretto formalism is used. For statistical model 1, only Bohr-Wheeler’s formula was used. In addition, there are differences in the treatment of level density and the parameters of level density between the two models. In GEMINI++, the level density is calculated using the Fermi gas model:_2026_03/1001-8042-2026-03-40/alternativeImage/1001-8042-2026-03-40-M017.png)
_2026_03/1001-8042-2026-03-40/alternativeImage/1001-8042-2026-03-40-M018.png)
Numerical results and discussions
Production cross sections of heavy isotopes in 40Ar induced reactions
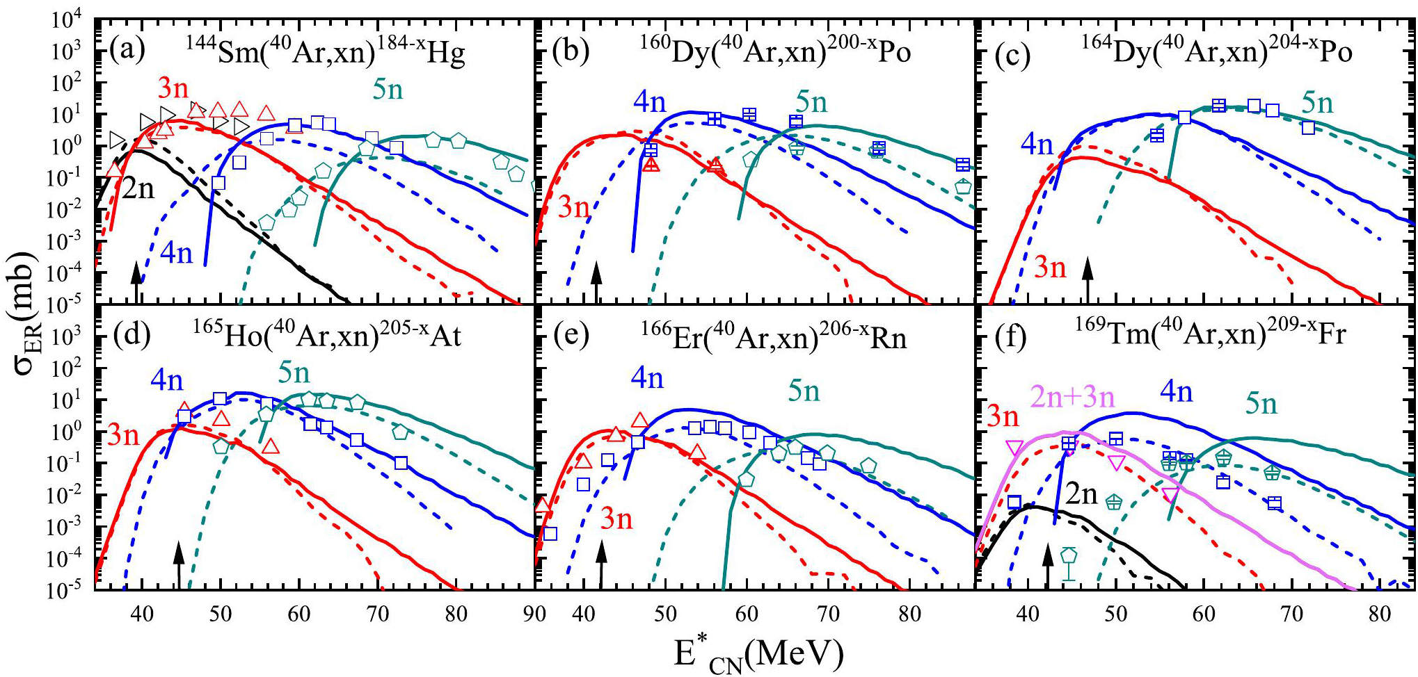
A variety of new nuclides have been successfully synthesized in the proton-rich regions. Nevertheless, many unknown nuclides in this region are waiting to be explored. To further evaluate the potential of 40Ar projectiles in the synthesis of new nuclides, we will continue to use 40Ar as projectiles in subsequent theoretical calculations. The ERCSs for 40Ar-induced reactions with target nuclei 144Sm, 160,164Dy, 165Ho, 166Er, 169Tm, 171,174Yb, 175Lu, 176-180Hf, 181Ta, 180,182W and 187Re are presented in Figs. 1–5, and compared them with available experimental data [18, 19, 21, 22, 59-61].
_2026_03/1001-8042-2026-03-40/alternativeImage/1001-8042-2026-03-40-F001.jpg)
_2026_03/1001-8042-2026-03-40/alternativeImage/1001-8042-2026-03-40-F002.jpg)
_2026_03/1001-8042-2026-03-40/alternativeImage/1001-8042-2026-03-40-F003.jpg)
_2026_03/1001-8042-2026-03-40/alternativeImage/1001-8042-2026-03-40-F004.jpg)
_2026_03/1001-8042-2026-03-40/alternativeImage/1001-8042-2026-03-40-F005.jpg)
The survival probabilities were calculated using two different statistical models for comparison. In Figs. 1–5, the solid lines indicate ERCSs calculated via the DNS + statistical model 1, the dashed lines indicate ERCSs derived using the DNS + GEMINI++ model, and hollow symbols indicate the relevant experimental data. The arrows show positions of the corresponding Coulomb barriers. The difference is that, as shown in Figs. 1 and 2, there is only the evaporation of pure neutrons and in Figs. 3–5 the evaporation of charged particles are included.
As can be seen in Fig. 1, the results of DNS+ statistical model 1 are slightly higher than those of DNS + GEMINI++ model. The results obtained by DNS + statistical model 1 and the DNS + GEMINI++ model were in good agreement with the experimental data for most evaporation channels of these reactions.
In the context of collision orientation, we have taken into account a weighted average over the range of 0° to 90°. As shown in Eq. 3, where the integral over the θ reflects the average effect of different collision orientations. Consequently, the barrier height we calculated was an average value rather than a distribution. Furthermore, in the calculation of the fusion probability, the interaction time (
Taking the reaction 40Ar + 180Hf as an example, Hinde et al. demonstrated, based on experimental data, that the fusion probability for 40Ar + 180Hf in above-barrier collisions is 0.15 [63]. The DNS model used in this study successfully reproduced the fusion probabilities at energies above the barrier but failed to describe the sub-barrier region. Both the experimental data and calculations using alternative models suggest that in the sub-barrier region, the fusion probabilities are not significantly lower than those at higher energies. This indicates that for the reactions involving 40Ar + X considered in this study, the fusion probability is a slowly varying function of energy. Consequently, it is feasible to calculate the fusion probability within the energy range where the model is applicable. These calculations can then be extrapolated to lower energy levels starting a few MeV above the Coulomb barrier, using a physically functional form (here, we perform linear fitting processing on the fusion probabilities in the above barrier region).
It is evident from Fig. 1 that both statistical models provide a satisfactory description of the experimental data for the 3n evaporation channels in the reactions 40Ar + 144Sm, 40Ar + 166Er, as well as the 2n + 3n evaporation channel in the reaction 40Ar + 169Tm. Notably, the GEMINI++ model effectively reproduces the trend of the ERCS as a function of excitation energy in the 4n evaporation channel for the 40Ar + 169Tm reaction. For the 2n evaporation channel in the 40Ar + 144Sm reaction, the theoretical results closely aligned with the experimental data in both the sub-barrier and near-barrier regions. However, as the excitation energy increases, the survival probability decreases significantly, leading to ERCSs that are 2-3 orders of magnitude lower than the experimental data. By extrapolating the fusion probabilities using this method, the resulting ERCSs effectively reproduced the experimental data for the sub-barrier region.
Figure 2 show the ERCSs for the 180W(40Ar, xn)220-xU, 182W(40Ar, xn)222-xU, 187Re(40Ar, xn)227-xNp reactions. The results of DNS + statistical model 1 were higher than those of the GEMINI++ model. The computational ERCSs based on the GEMINI++ model were close to the relevant experimental data, and these results were in the same range as the experimental cross sections. However, a noticeable deficiency emerged in the GEMINI++ model calculations, manifesting as a lower number of generated events in these reactions.
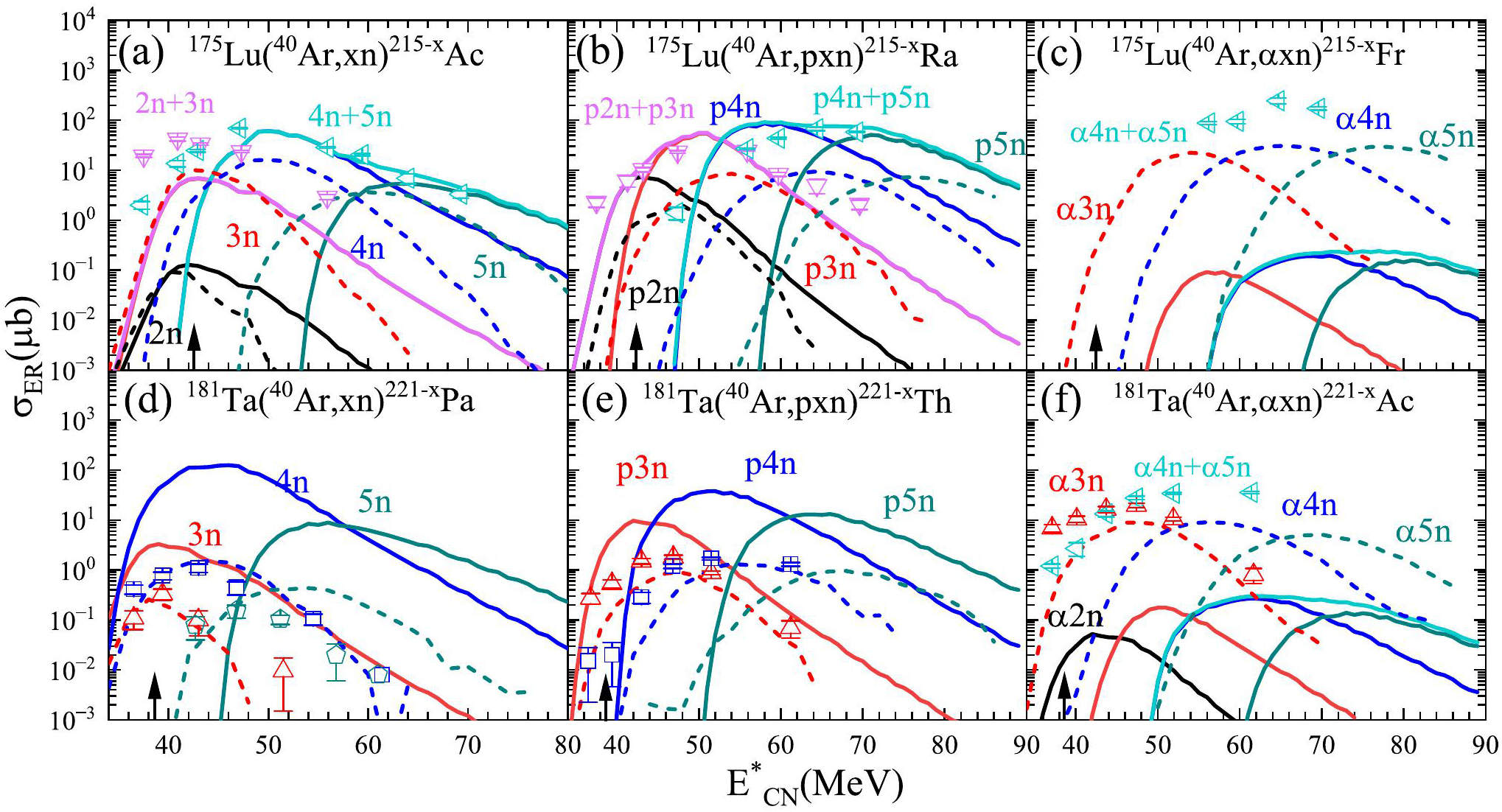
To investigate the effect of different de-excitation processes of evaporating neutrons and charged particles on the ERCSs, we analyze different evaporation channels of the 40Ar + 171,174Yb, 176-180Hf, 175Lu, 181Ta reactions in Figs. 3, 4 and 5. In general, the production of certain isotopes is more likely to occur in the xn evaporation channel. However, the pxn and αxn evaporation channels allow us to access those isotopes that are unreachable in the xn channels owing to the lack of a proper projectile-target combination, as discussed in detail by Hong et al. [64]. This provides a new perspective for the synthesis of novel nuclides.
As shown in Figs. 3–5, for most channels of pure neutron evaporation, the DNS + statistical model 1 calculates ERCSs that are 1–2 orders of magnitude higher than those of DNS + GEMINI++ model. There is a difference of approximately 1-2 orders of magnitude between statistical model 1 and the experimental data, whereas the DNS + GEMINI++ model calculations are within 1 order of magnitude of the experimental data. Overall, the GEMINI++ model demonstrated superior performance in the neutron evaporation channels for these reactions. In the pxn evaporation channel, the differences between the calculations from the DNS + two statistical models were significantly reduced, and both were in good agreement with the experimental data. In the αxn evaporation channel, ERCSs calculated using DNS + GEMINI++ show significantly better agreement with the experimental data than those calculated using DNS + statistical model 1.
As mentioned in Sect. 2, the two statistical models differ in several aspects, which ultimately result in different survival probabilities for the different reaction systems. By comparing the ERCSs of the pure neutron evaporation channels and the charged particle evaporation channels (pxn and αxn) from Figs. 3–5, it is found that for the same projectile-target combination, the differences in ERCSs are mainly caused by different de-excitation modes. Specifically, these differences are mainly attributed to survival probability. It is worth noting that, based on Figs. 1–5, there are certain discrepancies between the theoretical calculations and experimental data for some evaporation channels.
The DNS model divides the fusion evaporation reaction into three consecutive processes, and the final ERCSs require comprehensive consideration of the impacts of various factors. It also involves certain assumptions and the selection of parameters. For example, our model requires a potential energy surface as an input when calculating fusion probabilities [65, 66]. However, calculating the multidimensional potential energy surfaces for the reaction system is a significant challenge in physics that has not yet been fully resolved. In addition, survival probabilities are calculated based on certain nuclear data, such as nuclear masses, neutron separation energies, and fission barriers (shell correction energies), which are usually extrapolated. For instance, in the calculation of the ERCSs for fusion reactions to synthesize SHN, the compound nucleus will evaporate 3-4 neutrons. When the fission barrier is imprecise, calculation errors in the neutron decay width and the ratio of fission width to (xn) de-excitation cascade at each step accumulate [67].
Additionally, it is important to note that our current model does not account for pre-equilibrium emission processes [68]. As is well known, this could be a significant concern at higher excitation energies. Hence, it may significantly alter the initial excitation energy distribution of the compound nucleus, making the theoretical prediction of the multi-neutron evaporation channels unreliable. Therefore, it is now calculated only for 5n evaporation channels.
Research has revealed that the production of new nuclides in the superheavy region primarily occurs through the neutron evaporation. The previous discussion shows that the two de-excitation models yield similar results in the pure neutron evaporation channels. The theoretical calculation of statistical model 1 was slightly higher than that of the GEMINI++ model. We found that the GEMINI++ model is able to better represent the survival process in the Z = 82-92 nuclear region and it also identified limitations of the GEMINI++ model in calculating survival probabilities in the actinide and superheavy nuclei regions. In addition, the number of simulations required is substantial, especially in the superheavy region where it reaches 1,000,000. Using the GEMINI++ model to simulate the de-excitation process is time-consuming. Therefore, we chose to use statistical model 1 for the generation of cross section prediction in the following parts B and C.
Production cross sections of Pu, Cm, Bk proton-rich isotopes in the heavy nuclear region
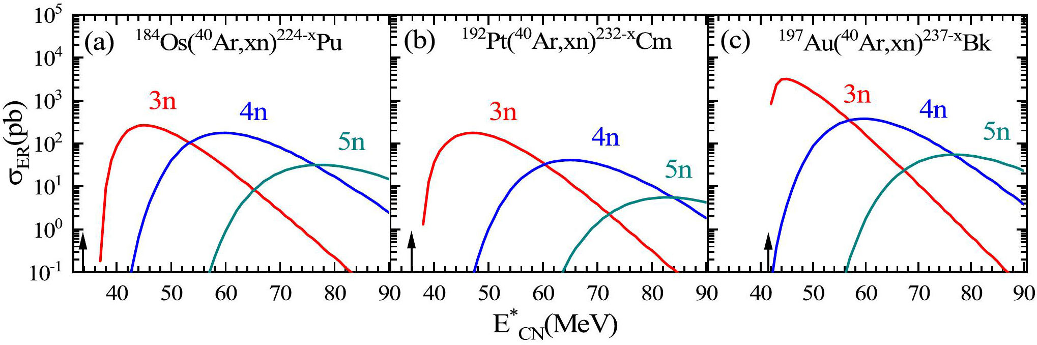
Based on the reliability of the theoretical calculations and to explore the potential of 40Ar in synthesizing new isotopes, we will continue to use 40Ar as the incident particle to further predict the ERCSs of new nuclides that could potentially be synthesized in the laboratory. Regarding the selection of 184Os, 192Pt and 197Au as target materials, the primary reasons are as follows. First, these targets possess long half-lives, which ensures their stability over extended periods during experiments, enhancing efficiency and data reliability. Furthermore, when the 40Ar beam bombards these target nuclei under the current experimental conditions, there is a possibility of producing new nuclides that are even more neutron-deficient. Figure 6 shows the relevant theoretical calculations obtained by the DNS + statistical model 1.
_2026_03/1001-8042-2026-03-40/alternativeImage/1001-8042-2026-03-40-F006.jpg)
As shown in Fig. 6, for the 184Os (40Ar, xn) 224-xPu reaction system, the maximum cross sections of 3n, 4n and 5n channels are 266.27, 176.53 and 31.63 pb, respectively, resulting in the production of 219-221Pu, and the maximum ERCS is located in the 3n channel, corresponding to the excitation energy of approximately 45 MeV. The maximum cross sections of 3n, 4n and 5n channels for 192Pt (40Ar, xn) 232-xCm reaction are 177.34, 40.94 and 5.54 pb, respectively, resulting in the production of 227-229Cm. The maximum ERCS is located in the 3n channel, and the corresponding excitation energy is approximately 47 MeV. For 197Au (40Ar, xn) 237-xBk reaction system, the maximum cross sections of 3n, 4n and 5n channels are 3193.41, 376.49 and 54.77 pb, respectively, resulting in the production of 232-234Bk. The maximum ERCS was located in the 3n channel, and the corresponding excitation energy was approximately 45 MeV.
Production cross sections of Ds, Cn, Fl proton-rich isotopes in the superheavy nuclear region
Similarly, we predicted the ERCSs of new nuclides in the superheavy nuclei region that may be synthesized in the laboratory. In this study, 40Ar was utilized as the projectile with actinide targets, including 238U, 244Pu, and 248Cm. In the field of superheavy nuclei research, 238U, 244Pu, and 248Cm are commonly used target nuclei, which have been validated by numerous experiments, particularly those involving 48Ca beams. These studies have yielded invaluable data for understanding the properties of the superheavy elements.
Figure 7(a) shows the predicted excitation function of xn ERCSs for the reaction 238U (40Ar, xn) 278-xDs. The maximal ERCSs of the 3n, 4n, and 5n channels were 1.479, 4.813, and 0.188 pb, respectively, resulting in the production of 273-275Ds. The largest ERCS was located in the 4n channel, with a corresponding excitation energy of 46 MeV. In particular, the new nuclide 273Ds was produced through the combination of 40Ar + 238U with a production cross section of σ = 0.18 pb at an excitation energy of 49 MeV [23]. There is a 2.67 times difference compared to the theoretical result of 0.48 pb. In Fig. 7(b), the maximum cross sections of the 3n, 4n and 5n channels of the 244Pu(40Ar, xn) 284-xCn reaction are 1.215, 0.897 and 0.019 pb, respectively, resulting in the production of 279-281Cn. The largest ERCS is located in the 3n channel, and its corresponding excitation energy is approximately 43 MeV. Similarly, for the 248Cm (40Ar, xn) 288-xFl reaction system in Fig. 7(c), the maximum cross section of 3n, 4n and 5n channels are 1.142, 2.699 and 0.071pb, respectively, resulting in the production of 283-285Fl and the maximum residual evaporation cross section is located in the 4n channel, corresponding to the excitation energy of approximately 45 MeV. The new nuclides, such as 273-275Ds, 280, 281Cn, 284, 285Fl, are the most probable isotopes because of their larger cross sections.
_2026_03/1001-8042-2026-03-40/alternativeImage/1001-8042-2026-03-40-F007.jpg)
Summary
Despite the fact that many areas of the nuclide chart have been filled in recent years, many unknown nuclides still exist in the nuclide chart. To search for proton-rich isotopes in heavy and superheavy regions, we systematically investigated the 40Ar-induced fusion evaporation reaction in the theoretical framework of the DNS model. Two different statistical models were employed to calculate survival probabilities. The results indicated no significant differences between the two models in the computations of the neutron and proton evaporation channels. The GEMINI++ model showed superior performance in the calculations for α-particle evaporation channels. However, the GEMINI++ model has limitations in the SHN region. Based on statistical model 1, we used 40Ar as projectiles to predict the ERCSs of new isotopes of actinide elements such as Pu, Cm and Bk. The cross sections of new isotopes of Ds, Cn, and Fl are predicted in the superheavy nuclei region of Z≥104. The production cross sections of 273-275Ds, 279-281Cn, 283-285Fl are 0.488, 4.813, 1.479 pb; 0.019, 0.89, 0.215 pb; 0.071, 2.699, 1.142 pb, respectively. We hope that these results will inspire further experimental studies on the synthesis of new isotopes.
Colloquium: superheavy elements: oganesson and beyond
. Rev. Mod. Phys. 91,Theoretical study of the synthesis of superheavy nuclei using radioactive beams
. Phys. Rev. C 91,The discovery of the heaviest elements
. Rev. Mod. Phys. 72, 733 (2000). https://doi.org/10.1103/RevModPhys.72.733Super-heavy nuclei
. J. Phys. G Nucl. Part. Phys. 42,New results on elements 111 and 112
. Eur. Phys. J. A. 14, 147 (2002). https://doi.org/10.1140/epja/i2001-10119-xExperiment on synthesis of an isotope 277112 by 208Pb + 70Zn reaction
. J. Phys. Soc. Jpn. 76,Eleven new heaviest isotopes of elements Z=105 to Z=117 identified among the products of 249Bk + 48Ca reactions
. Phys. Rev. C 83,Investigation of the 243Am + 48Ca reaction products previously observed in the experiments on elements 113, 115, and 117
. Phys. Rev. C 87,Super-heavy element research
. Rep. Prog. Phys. 78,Experiments on the synthesis of superheavy nuclei 284Fl and 285Fl in the 239,240Pu + 48Ca reactions
. Phys. Rev. C 92,Nucleosynthesis and observation of the heaviest elements
. Eur. Phys. J. A. 59, 28 (2023). https://doi.org/10.1140/epja/s10050-023-00927-7Status and developments of target production for research on heavy and superheavy nuclei and elements
. Eur. Phys. J. A. 59, 14 (2017). https://doi.org/10.1140/epja/s10050-023-00919-7Synthesis of the new neutron-deficient isotopes 250102, 242Fm, and 254Ku
, Nucl. Phys. A 255, 509 (1975). https://doi.org/10.1016/0375-9474(75)90696-XThe new isotopes 247Md, 243Fm, 239Cf, and investigation of the evaporation residues from fusion of 206Pb, 208Pb, and 209Bi with 40Ar
. Z. Phys. A 302, 7 (1981). https://doi.org/10.1007/BF01425097Identification of new mendelevium and einsteinium isotopes in bombardments of 209Bi with 40Ar
, Z. Phys. A 356, 11 (1996). https://doi.org/10.1007/s002180050141Spontaneous fission of neutron-deficient fermium isotopes and the new nucleus 241Fm
. Eur. Phys. J. A 37, 177 (2008). https://doi.org/10.1140/epja/i2008-10608-4The new isotope 217U
. Eur. Phys. J. A 8, 295 (2000). https://doi.org/10.1007/s100500070082α-decay properties of the new isotope 216U
. Phys. Rev. C 91,Alpha decay of the new isotope 215U
. Eur. Phys. J. A 51, 88 (2015). https://doi.org/10.1140/epja/i2015-15088-9New isotope 220Np: Probing the robustness of the N=126 shell closure in neptunium
. Phys. Rev. Lett. 122,New short-lived isotope 223Np and the absence of the Z = 92 subshell closure near N = 126
. Phys. Lett. B 771, 303 (2017). https://doi.org/10.1016/j.physletb.2017.03.074Identification of the new isotope 224Np
. Phys. Rev. C 98,Synthesis and decay properties of isotopes of element 110: 273Ds and 275Ds
. Phys. Rev. C 109,Dynamical aspects of nucleus-nucleus collisions
. Nucl. Phys. A. 391, 471 (1982). https://doi.org/10.1016/0375-9474(82)90621-2Unified consideration of deep inelastic, quasi-fission and fusion–fission phenomena
. J. Phys. G Nucl. Part. Phys. 31, 825 (2005). https://doi.org/10.1088/0954-3899/31/7/024Synthesis of superheavy nuclei: Nucleon collectivization as a mechanism for compound nucleus formation
. Phys. Rev. C 64,Production of unknown neutron-rich isotopes in 238U + 238U collisions at near-barrier energy
. Phys. Rev. C 94,Dissipation dynamics and spin-orbit force in time-dependent Hartree-Fock theory
. Phys. Rev. C 90,Fusion cross sections for superheavy nuclei in the dinuclear system concept
. Nucl. Phys. A. 633, 409 (1998). https://doi.org/10.1016/S0375-9474(98)00124-9Treatment of competition between complete fusion and quasifission in collisions of heavy nuclei
. Nucl. Phys. A. 627, 361 (1997). https://doi.org/10.1016/S0375-9474(97)00605-2Isotopic dependence of superheavy nuclear production in hot fusion reactions
. Phys. Rev. C 92,Unified description of fusion and multinucleon transfer processes within the dinuclear system model
. Phys. Rev. C. 104,Competition between complete fusion and quasi-fission in reactions between massive nuclei. The fusion barrier
. Phys. Lett. B 319, 425 (1993). https://doi.org/10.1016/0370-2693(93)91746-ACompound nucleus formation in reactions between massive nuclei: Fusion barrier
. Phys. Rev. C 51, 2635 (1995). https://doi.org/10.1103/PhysRevC.51.2635Melting or nucleon transfer in fusion of heavy nuclei
. Phys. Lett. B 481, 228 (2000). https://doi.org/10.1016/S0370-2693(00)00471-8Dynamical deformation in heavy ion collisions and formation of superheavy nuclei
. Phys. Rev. C 84,Dynamics of complete and incomplete fusion in heavy ion collisions
. Phys. Rev. C 97,Effect of the entrance channel on the synthesis of superheavy elements
. Eur. Phys. J. A 8, 205-216 (2000). https://doi.org/10.1007/s10050-000-4509-7Prediction of synthesis cross sections of new moscovium isotopes in fusion-evaporation reactions
. Nucl. Sci. Tech. 34, 7 (2023). https://doi.org/10.1007/s41365-022-01157-0Theoretical calculations for the capture cross section of the formation of heavy and superheavy nuclei
. Phys. Rev. C 107,Influence of neutron excess of projectile on multinucleon transfer reactions
. Phys. Lett. B 785, 221 (2018). https://doi.org/10.1016/j.physletb.2018.08.049Production of light neutron-rich nuclei in multinucleon transfer reactions
. Nucl. Phys. A 986, 60 (2019). https://doi.org/10.1016/j.nuclphysa.2019.02.009Systematic study of the synthesis of heavy and superheavy nuclei in 48Ca-induced fusion-evaporation reactions
. Nucl. Sci. Tech. 35, 124 (2024). https://doi.org/10.1007/s41365-024-01483-5Possibility to produce 293,295,296Og in the reactions 48Ca + 249,250,251Cf
. Phys. Rev. C 100,Relaxation times in dissipative heavy-ion collisions
. Z. Phys. A 290, 47 (1979). https://doi.org/10.1007/BF01408479A statistical approach to describe highly excited heavy and superheavy nuclei
. Chin. Phys. C 40,Production of proton-rich nuclei around Z = 84–90 in fusion-evaporation reactions
. Eur. Phys. J. A. 53, 95 (2017). https://doi.org/10.1140/epja/i2017-12281-xA schematic model for (p, xn) cross sections in heavy elementa
. Can. J. Phys. 34, 767 (1956). https://doi.org/10.1139/p56-087Statistics and nuclear reactions
. Phys. Rev. 52, 295 (1937). https://doi.org/10.1103/PhysRev.52.295Competition between evaporation channels in neutron-deficient nuclei
. Phys. Rev. C 68,The mechanism of nuclear fission
. Phys. Rev. 56, 426 (1939). https://doi.org/10.1103/PhysRev.56.426Survival probabilities of superheavy nuclei based on recent predictions of nuclear properties
. Eur. Phys. J. A 23, 249 (2005). https://doi.org/10.1140/epja/i2004-10089-5Level density parameters for the back-shifted fermi gas model in the mass range 40 < A < 250
, Nucl. Phys. A 217, 269 (1973) https://doi.org/10.1016/0375-9474(73)90196-6Nuclear ground-state masses and deformations
. Atom. Data Nucl. Data Tabl. 59, 185 (1995). https://doi.org/10.1006/adnd.1995.1002Nuclear level density and the determination of thermonuclear rates for astrophysics
. Phys. Rev. C 56, 1613 (1997). https://doi.org/10.1103/PhysRevC.56.1613Systematics of complex fragment emission in niobium-induced reactions
. Nucl. Phys. A 483, 371 (1988). https://doi.org/10.1016/0375-9474(88)90542-8Unified description of fission in fusion and spallation reactions
. Phys. Rev. C 82,Systematic description of evaporation spectra for light and heavy compound nuclei
. Phys. Rev. C 82,Cross sections for evaporation residue production near the N=126 shell closure
. Z. Physik A 318, 157-169 (1984). https://doi.org/10.1007/BF01413464Evaporation-residue cross sections in complete fusion reactions leading to Hg and Rn isotopes
. Phys. Rev. C 105,Reactions of 40Ar with 160Dy, 164Dy, and 174Yb
. Phys. Rev. C 14, 1038 (1976). https://doi.org/10.1103/PhysRevC.14.1038Possibilities for synthesis of new neutron-deficient isotopes of superheavy nuclei
. Chinese Phys. C 43,A new framework to investigate the systematics of fusion probabilities in heavy element formation: Application to Th isotopes
. Phys. Lett. B 622, 23 (2005). https://doi.org/10.1016/j.physletb.2005.07.001Possibilities of production of transfermium nuclei in charged-particle evaporation channels
. Phys. Rev. C 94,Possibility to produce element 120 in the 54Cr + 248Cm hot fusion reaction
. Phys. Rev. C 87,Effects of the entrance channel and fission barrier in synthesis of superheavy element Z=120
. Phys. Rev. C 84,Predictions of the fusion-by-diffusion model for the synthesis cross sections of Z=114–120 elements based on macroscopic-microscopic fission barriers
. Phys. Rev. C 86,Extensions to the pre-equilibrium statistical model and a study of complex particle emission
. Nucl. Phys. A 193(2), 417 (1972). https://doi.org/10.1016/0375-9474(72)90330-2The authors declare that they have no competing interests.

