Introduction
The fundamental properties of atomic nuclei, such as masses, nuclear spins, electromagnetic moments, and charge radii, are crucial for exploring exotic nuclear structures and probing underlying nucleon-nucleon interactions [1-5]. Laser spectroscopy techniques enable the precise determination of the electromagnetic properties of the ground and long-lived isomeric states of atomic nuclei by measuring the hyperfine structure (HFS) spectra of their atoms, ions, and even molecules. Collinear laser spectroscopy (CLS) [2, 6] is a technique capable of achieving high-resolution HFS spectrum measurements. This is realized by overlapping a fast ion beam (~30 keV) with lasers in either collinear or anti-collinear geometry, effectively suppressing the spectral Doppler broadening caused by the energy spread of the ion beam [7].
Two typical approaches are used in CLS to measure the HFS spectrum. The most commonly used method is laser-induced fluorescence (LIF), which employs a continuous-wave narrowband laser to excite atoms or ions from their ground or metastable states to higher excited states, followed by the detection of emitted fluorescence using photomultiplier tubes [8]. However, the experimental sensitivity of this approach is often limited by the high background signals caused by stray laser light. This limitation could be tamed by delivering the ion beam in short bunches, which enables to gate data taking on the ion-bunch passage through the laser-beam interaction region. As a result, the signal-to-background ratio was improved by 3-4 orders of magnitude, as demonstrated in Ref. [9]. Another approach for measuring the HFS spectrum using CLS is resonance ionization spectroscopy (RIS), which utilizes multiple lasers to stepwise excite and then ionize the targeted atoms [10]. By detecting resonantly laser-ionized ions with high efficiency, this approach eliminates the need for photon detection, thereby further improving the overall sensitivity of the CLS [11]. To achieve a high resonance ionization efficiency in this approach, high-power pulsed lasers are indispensable. Consequently, the ion beam must be delivered in bunched mode to ensure proper temporal matching between the laser pulses and the ion beam bunches in the interaction region. An earlier attempt to use continuous ion beams for RIS in CLS resulted in limited efficiency owing to duty cycle losses [12]. Therefore, a bunched ion beam is a precondition for high-resolution and high-sensitivity HFS spectrum measurements using the CLS.
In recent years, we have been working on the development of a CLS setup using both LIF and RIS approaches at Radioactive Ion Beam (RIB) facilities in China [13-15]. The first stage of the setup, based on the LIF approach, was implemented at the Beijing Radioactive Ion Facility (BRIF) of the China Institute of Atomic Energy. The first commissioning experiment successfully measured the HFS spectrum of the radioactive 38K isotope [16]. However, compared to the ~ 50 MHz linewidth of 38K HFS spectrum measured by the COLLAPS experiment at ISOLDE [17], the 150 MHz linewidth of the HFS spectrum achieved at BRIF [16] is significantly broader. This spectral broadening was found to originate from the considerable energy spread _2026_01/1001-8042-2026-01-13/alternativeImage/1001-8042-2026-01-13-M001.png)
The RadioFrequency Quadrupole (RFQ) cooler buncher is a beam manipulation device designed to simultaneously satisfy the aforementioned beam requirements for CLS experiments, namely, a pulsed ion beam with a low energy spread. This technique has been extensively implemented in the worldwide RIB facilities, such as IGISOL [9], ISOLDE [18], NSCL [19], and TRIUMF [20, 21], where it has proven effective in delivering high-quality ion beams for a range of applications.
In this work, we present a detailed commissioning test of a newly installed RFQ cooler-buncher system, which is constructed based on a design [22, 23] by the MIRACLS collaboration [24] at ISOLDE-CERN. This system was tested using a stable Rb ion beam in continuous mode from a surface ion source, and a stable In-ion beam in bunched mode (with a typical bunch width of 100 μs) from a laser ablation ion source. Through a systemic test, the optimal operational parameters of the RFQ cooler-buncher system for the subsequent CLS experiment were identified. Under this condition, the system is capable of providing an ion bunch with a 2-μs temporal width while maintaining 60% overall transmission efficiency through the RFQ system.
RFQ cooler-buncher system
Figure 1(a) presents a detailed schematic of the system, including the offline surface ion source and laser ablation ion source, ion optics, RFQ cooler buncher, as well as its control and HV platform. Monovalent positive ions were produced by the ion source and accelerated to ~30 keV [25]. The ion beam was reshaped by an electrostatic quadrupole triplet (QT1) lens for a better beam profile and transmission before injection into the RFQ cooler buncher. The cooler buncher was installed inside a six-way cross at a potential slightly lower than the 30-keV ion beam energy. Inside the cooler buncher, the ions collided with the buffer gas atoms, eventually reaching thermal equilibrium. In this manner, any potentially large energy spread of the incoming ion beam is reduced. Simultaneously, the combined radial and axial DC electric fields enable the trapping and accumulation of ions, thereby converting the incoming continuous ion beam into ion bunches with low (longitudinal and transverse) emittance, once released from the cooler buncher. Following extraction, the bunched ion beam is re-accelerated to 30 keV, and its beam profile is optimized by QT optics prior to being directed into the CLS beamline. Two Faraday cups (FCs) were installed both upstream and downstream of the RFQ cooler buncher to evaluate the ion beam transmission. The time structure, namely, the time-of-flight (TOF) spectrum of the bunched ion beam, is recorded by a MagneTOF ion detector and data acquisition (DAQ) system [26].
_2026_01/1001-8042-2026-01-13/alternativeImage/1001-8042-2026-01-13-F001.jpg)
Ion source
Two types of offline ion sources are used for the RFQ system test: a newly installed surface ion source that provides a stable ion beam in the continuous mode, and a laser ablation ion source that offers a stable ion beam in the bunched mode. The surface ion source, containing Rb atoms (HeatWave Labs, #101139), was mounted on a CF150 flange of a six-way cross, as shown in Fig. 1(a). This ion source produced stable ion beams of 85Rb (72.17%) and 87Rb (27.83%). With a heating current of 1.44 A, an ion beam current of approximately 100pA was measured at FC1 by optimizing the extraction electrode and lens in the ion source chamber, as shown in Fig. 1. It is worth noting that under these conditions, the average fluctuation of the ion beam intensity remains within 1-pA for several hours, which is crucial for the RFQ cooler-buncher test. The details of the laser ablation ion source can be found in Ref. [25]. In brief, an indium target was ablated by a 100 Hz 532-nm Nd:YAG laser (Beamtech Gama-M100) with a power density of 0.2 J/cm2 and a pulse width of 10 ns, generating bunched stable indium ion beams with a temporal width of approximately 100 μs.
Ion optics and beam diagnose
As shown in Fig. 1(a), the stable ion beam, after being extracted from the ion source, was accelerated to ~30 keV and monitored directly by FC1. A voltage of -50 V was applied to a grating in front of the cup to suppress secondary electron emissions when the ion beam impinged on the FC, ensuring accurate beam current reading at the level of 0.1 pA.
The deflector installed after FC1 served as the equivalent beam gate. The voltage applied to the deflector (beamgate) was periodically modulated by an HV switch (Behlke Switch GHTS 30) controlled by a TTL signal. In this manner, the beam current injected into the RFQ cooler buncher can be reduced to below 1 pA, as the ion beam is deflected whenever the beamgate voltage is active. This is to avoid potential space-charge effects inside the RFQ cooler buncher caused by the intense ion beam.
The QT1 lens upstream of the RFQ cooler buncher was designed to ensure efficient transmission during subsequent injection and deceleration processes. A grounding tube (GT1), 150 mm in length and with an inner diameter of 20 mm, is installed inside a ceramic insulator immediately after QT1, which connects the beamline on the ground potential with the floating vacuum chamber of the RFQ cooler buncher. The purpose of GT1 is to provide a well-defined ground potential for the ions within the insulator tube, ensuring that their trajectory is well-controlled before they are injected into the RFQ cooler buncher.. Additionally, this GT1 also functions as a gas-flow restricting tube, separating the ~10-6 mbar vacuum environment in the QT1 region and the ~10-4 mbar vacuum inside the RFQ cooler-buncher six-way cross. GT2, QT2, and FC2, which are located downstream of the RFQ cooler buncher (Fig. 1(a)) have identical designs to those upstream, ensuring the optimization of beam quality and evaluation of beam transport. All the aforementioned ion optics and FC are powered by ±6-kV HV modules (EHS F0 60n/p) installed in an HV crate (ECH238, iseg company).
RFQ cooler-buncher
A comprehensive description about the initial RFQ cooler-buncher’s design at MIRACLS will be presented in a forthcoming publication. Here, we describe its implementation and operation as part of the present work. As shown in Fig. 1, the entire RFQ cooler buncher floats above the high potential of HV1 and is isolated by two ceramic insulators. The internal structure of the cooler buncher is shown in Fig. 2(a). The injection section consisted of two electrodes, an injection cone and an injection endcap. The potential of the injection cone was approximately HV1-2400 V, while the injection endcap was set to approximately HV1+13 V. Both voltages are supplied by ±6-kV HV modules (e.g., EHS 80 60n/p) inside a compact HV crate (iseg, ECH224) located on the HV platform at HV1 (Fig. 1(b)): The primary function of these two electrodes, in conjunction with the preceding GT1, is to gradually decelerate the ion beam and guide the ions into the RFQ cooler-buncher via a cone-shaped structure, and detailed simulations of the injection optics can be found in Refs. [22, 27]. Furthermore, the injection endcap features a minimum aperture with a diameter of 5 mm, thereby ensuring a vacuum differential between the inside (~10-2 mbar) and outside (~10-4 mbar) of the RFQ cooler buncher [27].
_2026_01/1001-8042-2026-01-13/alternativeImage/1001-8042-2026-01-13-F002.jpg)
Upon entering the cooler buncher, the ions were radially confined by the RF quadrupole electric field (Fig. 2(b)) generated by the RF electrodes, ensuring optimal ion transmission along the axial direction and trapping with minimal loss. The RF electrodes were composed of four identical semi-cylindrical rods, each with a radius of 5 mm and a length of 152 mm, with a minimum separation of 20 mm between the opposing rods, as shown in Fig. 2(c), respectively. The RF power supply (BGTPAX2231, designed and manufactured by Beijing BBEF Science & Technology Co., Ltd.) provides two adjustable sine wave outputs with a frequency range of f = 0.3 - 1.5 MHz and an amplitude of URF=0-200 V. These two identical RF signals, except for a 180° phase difference, were applied to two pairs of opposing RF electrodes. Adjacent electrodes were driven 180° out of phase, whereas the opposing electrodes shared the same phase, thereby generating an RF field in the cross-sectional plane of the RFQ electrodes, as illustrated in Fig. 2(b): The effective confinement of the radial motion of the ions in the RF field is governed by the Mathieu equation [28], which ensures stability when the parameter _2026_01/1001-8042-2026-01-13/alternativeImage/1001-8042-2026-01-13-M002.png)
The energy spread of the ions can be reduced by collisions with the buffer gas atoms inside the cooler buncher during trapping. In our system, helium with a purity of 99.999% was selected as the buffer gas. The flow rate of the injected helium gas was adjusted using a flowmeter (Sevenstar, CS200) with a maximum capacity of 100 standard cubic centimeters per minute (SCCM), and the gas was introduced into the cooler buncher via a gas feedthrough on the top flange of the six-way cross. As ions traverse the cooler buncher, they experience continuous collisions with helium atoms. After a brief period (typically 1 to 5 ms, depending on the ion mass and gas flowrate [22]), ions eventually reach thermal equilibrium with the helium atoms.
The decelerated ions inside the cooler buncher are also influenced by a DC electric field along the axial direction. This electric field, generated by 12 annular DC electrodes positioned along the axial direction, guides the ion beam towards the end section. The first seven electrodes had a thickness of 13 mm, whereas the last five electrodes had a thickness of 8 mm, allowing for more precise electric-field control. The potentials of these 12 DC electrodes were supplied by ±500 V modules (iseg, EBS C0 05), forming an axial electric field with the extraction endcap electrode. The extraction electrodes mirror those of the injection section; however, the extraction endcap is not directly connected to the HV module. Instead, it interfaces with the HV module via a Behlke Switch (GHTS 30) controlled by a periodic TTL signal. The Behlke Switch features two HV inputs (DC+ and DC-) from ± 6-kV HV modules (e.g., EHS 80 60n/p) and a single HV output, enabling the application of a periodic voltage to the extraction endcap. During a typical measurement cycle, the control TTL signal for the Behlke Switch remains at a low level, causing it to output a positive DC voltage (e.g. +1600 V), thereby maintaining a high potential at the end section. Under the combined effects of the RF field, collisions with the buffer gas, and DC trapping potential, ions gradually cooled and accumulated at the end of the section. After a sufficient trapping time, the control TTL signal switches to a high level, and the extraction endcap receives a negative voltage (e.g., -800 V) from the Behlke Switch. Note that the voltage applied to the extraction cone was maintained at a relatively large negative value (e.g., -2000 V) for efficient extraction. As a result, the ions trapped at the end section were released and re-accelerated to nearly 30 keV, eventually forming an ion bunch with a temporal width of only a few microseconds.
To achieve the desired functionality of the RFQ cooler buncher, multiple hardware components are required, including an RF power supply, a helium gas input, and DC power supplies. All devices associated with this system are illustrated in Fig. 1(b): The entire cooler buncher is floated at a high-voltage potential, HV1, supplied by a high-precision DC power supply (Heinzinger PNChp 40000-15pos). Consequently, all the associated devices were installed on an HV platform at the same potential, HV1, within an HV cage, as shown in Fig. 1(b): A 50-kV isolation transformer is employed to electrically isolate HV1 from the ground potential while supplying 220 VAC power to all the devices on the HV platform. To facilitate remote operation, all devices on the platform were controlled via pairs of photoelectric converters and optical fibers, ensuring bidirectional communication between the control PC and the equipment. This system allows for the control and/or monitoring of key components, such as the RF power supply, DC power supply, gas flowmeter, vacuum gauge controller, and Behlke Switch. The TTL signals required to operate the Behlke Switch were generated using a pulse generator (Quantum Composer 9520).
Performance Test
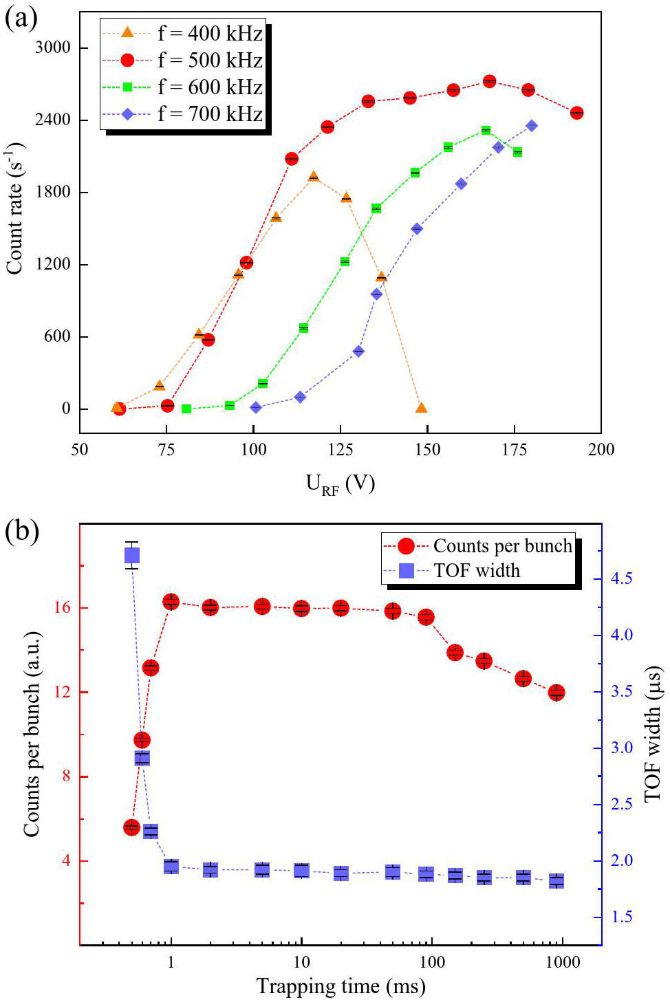
The RFQ cooler-buncher system described above was successfully manufactured and installed at Peking University. Because this system will be used to generate bunched ion beams for subsequent collinear resonance laser spectroscopy experiments, our primary focus is on the TOF spectrum width of the ion bunches and the overall transmission efficiency. To evaluate the performance, the bunched ions were detected using a MagneTOF ion detector (ETP, 14924 MagneTOFTM Mini) located downstream in the laser spectroscopy setup, as shown in Fig. 1 of Ref. [29]. The ion bunches generated from the cooler buncher were delivered to the ion detector through a 90° dipole magnet, as depicted in Fig. 1.
Given the large number of parameters involved in the operation of the RFQ cooler-buncher system, a systematic testing approach is required. During commissioning, each component of the RFQ system was individually tested and optimized, followed by iterative fine-tuning of the various device parameters to achieve global optimization. For example, as illustrated in Fig. 3, the influence of the RF parameters and trapping time on the released ion count and TOF width was examined. Using stable Rb ions from the surface ion source, the maximum count rate was achieved with an RF voltage of
_2026_01/1001-8042-2026-01-13/alternativeImage/1001-8042-2026-01-13-F003.jpg)
Other parameters can also influence the properties of bunched ion beams. For example, the DC and DC voltages applied to the extraction endcap significantly affect both the ion count rate and TOF spectrum. The potential gradient across the 12 DC electrodes changed the profile of the TOF spectrum (e.g., symmetrical or asymmetrical). The buffer gas flow rate in the range of 10–30 SCCM has only a minor effect on both the ion count rate and TOF width. In principle, a TOF spectrum with a width as narrow as a few tens of nanoseconds can be achieved, as demonstrated by MIRACLS, but this comes at the cost of an increased energy spread and possibly a loss in overall efficiency. However, considering the commonly used TOF width of approximately 2 μs for collinear laser spectroscopy [31, 32], the optimized parameters listed in Table 1 are obtained under conditions that yield an overall RFQ transmission efficiency of 60% for both continuous and bunched modes, as measured using FC1 and FC2. The electrostatic potential along the axial direction of the RFQ cooler buncher calculated using the actual voltage settings listed in Table 1 is shown in Fig. 4. Under these conditions, the observed TOF spectra of 85Rb ions from the surface ion source and 115In ions from the laser ablation ion source are shown in Fig. 5. A comparison of the TOF spectra with and without the RFQ cooler-buncher operation clearly demonstrates that this system effectively compresses the continuous ion beam and bunched ion beam with a large temporal width of ~100 μs, narrowing it into significantly narrower ion bunches with a temporal width of ~2 μs, while maintaining an overall efficiency greater than 60%. In addition, the RFQ cooler buncher demonstrated consistent and reliable performance during both this test and the laser spectroscopy experiment [30], operating continuously for 8–10 h per day while providing sustainable beam quality without noticeable degradation. This further confirmed the long-term operational reliability of the RFQ system.
| Parameter | Value | Parameter | Value |
|---|---|---|---|
| Element | Rb | DC Potential Gradient (V/cm) | 1.28 |
| Ion Source Voltage HV0 (V) | 29986.1 | Extraction Endcap (release) (V) | HV1-800 |
| RFQ HV Platform Voltage HV1 (V) | 29966.5 | Extraction Endcap (trapping) (V) | HV1+1600 |
| Injection Cone (V) | HV1-2400 | Extraction Cone (V) | HV1-2000 |
| Injection Endcap (V) | HV1-13 | RF Amplitude (V) | 167 |
| Trapping time (ms) | 5 | RF Frequency (kHz) | 500 |
_2026_01/1001-8042-2026-01-13/alternativeImage/1001-8042-2026-01-13-F004.jpg)
_2026_01/1001-8042-2026-01-13/alternativeImage/1001-8042-2026-01-13-F005.jpg)
The goal is to integrate the RFQ cooler-buncher system into the collinear resonance laser spectroscopy setup [29] to measure the nuclear properties of unstable nuclei far from β-stability on the nuclear chart. However, as discussed in Refs. [29], the earlier test of collinear resonance ionization laser spectroscopy, without the RFQ cooler-buncher system, encountered a major issue: an unacceptable overall ion beam transmission efficiency of less than 40%. This problem primarily arose from the distorted shape of the ion beam delivered into the CLS beamline, which significantly affected the overlap between the ion beam and laser beams within the meter-long interaction region, thereby reducing the resonance ionization efficiency [33]. With the successful integration of the RFQ cooler buncher between the ion source and the laser spectroscopy setup, we achieved an overall ion beam transmission efficiency of >80%, from FC2 to the end section of the CLS beamline, as shown in Fig. 1 of Ref. [29]. This demonstrates that, in addition to producing narrower ion bunches, the RFQ cooler-buncher system also improves the ion beam profile by reducing its transverse emittance, which is crucial for achieving optimal laser-ion overlapping during the CLS experiment [30]. Therefore, we measured the high-resolution and high-efficiency HFS spectrum of stable 85Rb, as shown in Fig. 6 (see Ref. [30] for details). These results confirm that the RFQ successfully fulfilled its intended functions for laser spectroscopy experiments.
_2026_01/1001-8042-2026-01-13/alternativeImage/1001-8042-2026-01-13-F006.jpg)
Conclusion and Near term experiment plan
In summary, an RFQ cooler-buncher system and its commissioning test are presented. The results demonstrate that this system successfully fulfills its intended functions of compressing the ion beam into short bunches and improving the ion beam profile. When the efficiency of the RFQ cooler buncher exceeds 60%, ion-beam bunches with a temporal width of ~2 μs are achieved. Furthermore, the integration of this newly developed system into the offline collinear laser spectroscopy setup significantly improved the overall transmission efficiency of the ion beam owing to the enhanced beam profile with a lower transverse emittance.
Building on these commissioning results, the RFQ cooler-buncher system was first used for the offline test of a collinear resonance ionization laser spectroscopy setup [30]. Soon after, it will be integrated into the online laser spectroscopy experiment of unstable nuclei at the BRIF facility [13] targeting Rb and Cs isotopes. Using a heavy-element target, neutron-rich 85-100Rb and 147-150Cs isotopes have already been produced at the BRIF facility with yields exceeding 100 particles per second. Given the relatively large energy spread of the ion beam at BRIF, approximately 21 eV for 38K, as observed in an earlier experiment [16], the installation of the RFQ cooler-buncher system is crucial not only for producing bunched ion beams but also for reducing the energy spread of the radioactive ion beam. This will undoubtedly enhance the sensitivity and spectral resolution of the planned online collinear resonance ionization laser spectroscopy experiments.
Physics of exotic nuclei
. Nat. Rev. Phys. 7, 21–37 2025). https://doi.org/10.1038/s42254-024-00782-5Laser spectroscopy for the study of exotic nuclei
. Prog. Part. Nucl. Phys. 129,Masses of exotic nuclei
. Prog. Part. Nucl. Phys. 120,Progress and perspective of the research on exotic structures of unstable nuclei
. Nucl. Tech. (in Chinese) 46. https://doi.org/10.11889/j.0253-3219.2023.hjs.46.080020Properties of the drip-line nucleus and mass relation of mirror nuclei
. Nucl. Sci. Tech. 36, 26 2025). https://doi.org/10.1007/s41365-024-01633-9Precision atomic physics techniques for nuclear physics with radioactive beams
. Phys. Scr. 2013,High-resolution laser spectroscopy in fast beams
. Opt. Commun. 17, 309–312 1976). https://doi.org/10.1016/0030-4018(76)90267-4Recent developments in collinear laser spectroscopy at COLLAPS/ISOLDE
. Hyperfine Interact. 198, 73–83 2010). https://doi.org/10.1007/s10751-010-0230-3On-line ion cooling and bunching for collinear laser spectroscopy
. Phys. Rev. Lett. 88,Optimising the Collinear Resonance Ionisation Spectroscopy (CRIS) experiment at CERN-ISOLDE
. Nucl. Instrum. Methods Phys. Res., Sect. B 463, 384–389 2020). https://doi.org/10.1016/j.nimb.2019.04.049Dipole and quadrupole moments of 73-78Cu as a test of the robustness of the Z=28 shell closure near 78Ni
. Phys. Rev. C 96,Application of a high efficiency selective laser ion source at the IRIS facility
. Nucl. Instrum. Methods Phys. Res., Sect. A 306, 400–402 1991). https://doi.org/10.1016/0168-9002(91)90348-TNuclear physics at BRIF
. Prog. Part. Nucl. Phys. 145,First proof-of-principle experiment with the post-accelerated isotope separator on-line beam at brif: measurement of the angular distribution of 23Na + 40Ca elastic scattering
. Nucl. Sci. Tech. 32, 53 2021). https://doi.org/10.1007/s41365-021-00889-9Precision storage lifetime measurements of highly charged heavy ions in the csre storage ring using a schottky resonator
. Nucl. Sci. Tech. 36, 17 2025). https://doi.org/10.1007/s41365-024-01614-yConstruction and commissioning of the collinear laser spectroscopy system at BRIF
. Nucl. Instrum. Methods Phys. Res., Sect. A 1032,Commissioning of the collinear laser spectroscopy system in the BECOLA facility at NSCL
. Nucl. Instrum. Methods Phys. Res., Sect. A 709, 85–94 2013). https://doi.org/10.1016/j.nima.2013.01.038Development of a new RFQ beam cooler and buncher for the CANREB project at TRIUMF
. Nucl. Instrum. Methods Phys. Res., Sect. B 376, 207–210 2016). https://doi.org/10.1016/j.nimb.2016.02.035Collinear laser spectroscopy with reverse-extracted bunched beams at TRIUMF
. Hyperfine Interact. 199, 357–363 2011). https://doi.org/10.1007/s10751-011-0331-7Simulation studies of a 30-keV MR-ToF device for highly sensitive collinear laser spectroscopy
. Nucl. Instrum. Methods Phys. Res., Sect. A 1048,Commissioning of a high-resolution collinear laser spectroscopy apparatus with a laser ablation ion source
. Nucl. Sci. Tech. 33, 9 2022). https://doi.org/10.1007/s41365-022-00992-5Control and data acquisition system for collinear laser spectroscopy experiments
. Nucl. Sci. Tech. 34, 38 2023). https://doi.org/10.1007/s41365-023-01197-0Simulations of a cryogenic, buffer-gas filled paul trap for low-emittance ion bunches
. Nucl. Instrum. Methods Phys. Res., Sect. A 1065,Progress in the development of a collinear resonance ionisation laser spectroscopy setup
. Nucl. Instrum. Methods Phys. Res., Sect. B 541, 37–41 2023). https://doi.org/10.1016/j.nimb.2023.04.020Development and characterization of a high-resolution, high-sensitivity collinear resonance ionization spectroscopy system
. Science Bulletin 70, 2721 2025).. https://doi.org/10.1016/j.scib.2025.06.036Isomer shift and magnetic moment of the long-lived 1/2+ isomer in 3079zn49: Signature of shape coexistence near 78Ni
. Phys. Rev. Lett. 116,Decay-assisted laser spectroscopy of neutron-deficient francium
. Phys. Rev. X 4,The authors declare that they have no competing interests.

