logo

Response estimation and evaluation of direct-conversion dual-layer perovskite X-ray detectors: a numerical study with a cascaded signal model

NUCLEAR ELECTRONICS AND INSTRUMENTATION

Response estimation and evaluation of direct-conversion dual-layer perovskite X-ray detectors: a numerical study with a cascaded signal model

Han Cui
Yu-Hang Tan
Xin Zhang
Hao-Di Wu
Ting Su
Jiong-Tao Zhu
Hai-Rong Zheng
Dong Liang
Xiang-Ming Sun
Yong-Shuai Ge
Nuclear Science and TechniquesVol.37, No.2Article number 38Published in print Feb 2026Available online 07 Jan 2026
5600

This study aims to investigate the responses of a perovskite-based direct-conversion dual-layer flat-panel detector (DL-FPD) numerically. To this end, the X-ray sensitivity, spatial resolution quantified by the modulation transfer function (MTF), and detective quantum efficiency (DQE) of the DL-FPD are evaluated numerically using a linear cascade model. In addition, both the single-crystal (SC) and polycrystalline (PC) structures of MAPbI3 are investigated, along with various other key parameters such as the material thickness, electric field strength, X-ray beam spectrum, and electronic readout noise. The results demonstrate that SC perovskite consistently exhibits better performance than PC perovskite owing to fewer material defects. Increasing the layer thickness may decrease the MTF, but can also enhance the sensitivity and DQE. Moreover, appropriately increasing the external electric field within the material can improve the sensitivity, MTF, and DQE. Finally, reducing the electronic readout noise can significantly enhance the DQE for low-dose imaging. This study demonstrates the potential of high-quality dual-energy X-ray imaging using direct-conversion perovskite DL-FPDs.

X-ray imagingDual-layer flat-panel detectorPerovskite X-ray detector
1

Introduction

In recent years, metal halide perovskites (MHPs), which are denoted as ABX3 (e.g., A: Cs+, MA+, B: Pb2+, Bi2+, and X: Br-, I-) [1], as illustrated in Fig. 1(a), with high X-ray absorption capabilities, high charge carrier mobilities μ, and long carrier lifetimes τ, have been considered promising alternatives to traditional semiconductors such as Si, α-Se, CdTe, CdZnTe, diamond, HgI2, and Ga2O3 [2-7]. MHPs can be grown in both single-crystal (SC) and polycrystalline (PC) forms, and can be integrated with various readout circuits. Owing to their orientation-dependent transport behavior and low defect concentrations, SC MHPs exhibit excellent potential for X-ray detection. For instance, flat-panel detectors (FPDs) fabricated from hybrid organic-inorganic SC MAPbBr3 [8, 9] and MAPbI3 [10, 11] achieved significantly higher X-ray detection sensitivity than the commercial α-Se detector. Despite their superior X-ray detection performance, the fabrication of SC MHPs with scalable dimensions for large-area X-ray detectors is challenging and expensive. Fortunately, experiments have demonstrated that a conversion layer made of PC MHPs can be more easily scaled up to cover large areas at a much lower cost [12, 13]. The first PC MAPbI3-based FPD prototype was demonstrated in 2015, which enabled the direct detection of soft X-ray photons [14]. In 2017, Kim et.al. reported the possibility of direct hard-X-ray imaging using a thick CH3NH3PbI3 film on a thin-film transistor (TFT) array for the first time [12]. In 2021, Deumel et al. developed a new procedure for manufacturing a direct X-ray detector by soft-sintering CH3NH3PbI3 on a hydrogenated amorphous silicon TFT array, employing a grid structure to adhere the thick perovskite film mechanically [15]. In 2022, Xia et al. prepared a TFT array via soft pressing and in situ polymerization of a multifunctional binder (TMTA) for a CH3NH3PbI3 film [16]. In 2024, Liu et al. developed a novel complementary metal oxide semiconductor (CMOS) array-based dynamic perovskite X-ray detector using a CsPbBr3 film [17]. Although many studies have demonstrated the excellent potential of FPDs composed of MHP materials for X-ray imaging, as illustrated in Fig. 1(c), few studies have extended this research to spectral imaging, which is a technique that captures X-ray attenuation information at multiple energy levels. In this manner, X-ray spectral imaging allows the distinction between different materials. Consequently, X-ray spectral imaging can enhance the image contrast and specificity, making it valuable for medical, industrial, and security imaging applications [18, 19]. In 2022, Pang et al. proposed a perovskite X-ray detector with a vertical structure that offers the opportunity for improved multienergy X-ray imaging [20]. However, this innovative vertical design presents challenges for fabricating detectors with large surface areas. Therefore, alternative solutions for utilizing MHP materials in spectral imaging require further investigation.

Fig. 1
(Color online) Illustration of MAPbI3-based direct X-ray detection. (a) Crystal structure of ABX3, (b) structures of TFT, IGZO-TFT, and CMOS, (c) direct conversion of X-ray photons into electric charges, (d) MHP-based dual-layer FPD, and (e) linear cascaded model
pic

In biomedical X-ray imaging applications, the dual-layer FPD (DL-FPD) has emerged as a promising tool for quantitative dual-energy X-ray imaging [21-23]. The DL-FPD comprises two stacked FPD layers with varying thicknesses. In this configuration, lower-energy X-ray photons are detected by the top layer, whereas higher-energy photons are detected by the bottom layer. Studies have also explored the use of DL-FPDs in dual-energy computed tomography imaging [24-27]. However, current DL-FPDs primarily employ scintillator materials, which pose a significant challenge: the imaging performance of the bottom detector, including its spatial resolution, sensitivity, and detective quantum efficiency (DQE), is inferior to that of the top detector. Consequently, the results of dual-energy X-ray imaging are limited. Alternatively, the DL-FPD can be constructed using MHP materials, as shown in Fig. 1(d). As opposed to scintillator-based indirect X-ray detectors, MHP-based X-ray detectors can directly convert X-ray photons into electric charges, which are then driven by the applied electric field and subsequently collected by the electrodes. DL-FPDs made of MHP materials offer improved imaging performance compared with scintillator-based detectors. For instance, because the applied electric field can be well confined, signal spreading in direct-conversion X-ray FPD is less severe than in indirect-conversion X-ray FPD, where X-ray-converted visible light photons may spread across several neighboring detector elements. Consequently, the spatial resolution of the bottom layer of MHP-based DL-FPDs can be enhanced. Despite the potential for the improved imaging performance of MHP-based DL-FPDs, comprehensive investigations to evaluate the imaging performance of direct X-ray DL-FPDs have not yet been conducted.

This study mainly focuses on estimating and evaluating the responses of a novel direct-conversion X-ray DL-FPD made of MHP material. Specifically, the imaging performance, including the X-ray sensitivity, modulation transfer function (MTF), and DQE, of the MHP-based direct X-ray DL-FPD is explored. To achieve this, numerical calculations are conducted based on a linear cascaded model (see the workflow illustrated in Fig. 1(e)). Moreover, the dependency of the overall imaging performance on various factors, such as the thickness of the MHP material layer, X-ray beam spectra, and external electric fields, is investigated. Additionally, the electronic readout noise effect is analyzed by considering three different readout arrays: hydrogenated amorphous silicon TFT (α-Si: TFT), metal oxide TFTs based on indium gallium zinc oxide (IGZO-TFT), and CMOS, as shown in Fig. 1(b). To date, -Si: TFT arrays have been the leading choice for perovskite X-ray FPDs owing to their simple structure, low cost, and suitability for large-area applications. The TFT [28] consists of a substrate, a gate electrode separated by a dielectric layer, an amorphous silicon layer, and source and drain electrodes, all of which are arranged to control the flow of charge carriers in the semiconductor channel. The CMOS technology [29] combines both p-type and n-type metal-oxide-semiconductor field-effect transistors to achieve low power consumption and high noise immunity, offering advantages such as a lower readout noise and higher readout speeds, making them promising alternatives. IGZO-TFTs [30] have a structure similar to that of α-Si:TFT, with the primary difference being the use of an IGZO layer instead of amorphous silicon, which results in less readout noise and increased readout speed; these are intermediate between those of α-Si: TFT and CMOS, positioning IGZO-TFT as a competitive option for fabricating X-ray detectors.

The remainder of this paper is organized as follows. Section 2 reviews the linear cascade model and deduces the calculations for the sensitivity, MTF, and DQE. Section 3 introduces the main parameters considered in this study and presents details of the numerical calculations. Section 4 presents the results of the DL-FPD responses obtained using different parameters. Section 5 provides a discussion and brief conclusion.

2

Detector response model

2.1
Linear cascade model

The seven dominant stages of the linear cascade model [31-34], which describe the propagation of signals and noise from X-ray photons to electric signals in a direct FPD, are summarized as follows: [stage 0:]

stage 0. X-ray input. (X-ray quanta , fluctuation σ0(E). See Eqs. 10 and 11.)

stage 1. Absorption of X-ray photons. (Absorption efficiency , variance σ1(E,x). See Eqs. 12 and 13.)

stage 2. Electron-hole cloud effect. (MTFm(E;f) owing to charge cloud. See Eq. 14.)

stage 3. Electron-hole conversion. (Charge conversion multiplication , variance σ3(E). See Eqs. 17 and 18.)

stage 4. Electron-hole collection. (Charge collection efficiency , variance σ4(E,x). See Eqs. 19 and 20.)

stage 5. Electron-hole blurring by charged traps. (MTFtr(E;f) owing to charge trapping. See Eq. 21.)

stage 6. Electron-hole blurring by pixel aperture (MTFa(f) owing to aperture collection. See Eq. 25).

stage 7. Signal output. (Additive noise power spectrum owing to dark current shot noise σshot and electronic readout noise σreadout. See Eq. 28.)

The variables E, x and f denote the X-ray photon energy, vertical position in the detector, and spatial frequency, respectively. Essentially, the above seven stages can be divided into three steps: the gain step, including stages 1, 2, and 4; the stochastic blurring step, including stages 3 and 5; and the deterministic blurring step, including stage 6. Further details of the cascaded model can be found in Appendix 5.

For a given gain stage n, the propagations of the signal quantum Φn and noise power spectrum NPSn are expressed as follows [31, 33]:pic(1)For a stochastic blurring stage n, the propagations of Φn and NPSn can be expressed as [31, 33]pic(2)To determine the blurring stage n, the Φn and NPSn propagations are expressed as [31, 33]pic(3)Note that the electronic noise σadd in stage 7 contributes only to the noise power spectrum, and can be directly added to NPS6.

2.2
Response evaluation

To evaluate the responses of the perovskite DL-FPD, the sensitivity, MTF, and DQE are calculated separately for the top and bottom layers. Specifically, the sensitivity Si represents the ability to convert X-ray photons into electric charges for the i-th layer, where i = t or b denotes the top or bottom layer in a DL-FPD, respectively. Mathematically:pic(4)where and Li denote the received X-ray quanta and thickness of the i-th layer, respectively. In particular, Smax(E), which represents the maximum sensitivity, is expressed as [35]pic(5)where e (C) is the elementary charge, W (eV) is the average energy for a pair of electron-hole creation, (cm2/g) is the mass-energy absorption coefficient of air, and αen and α (cm-1) are the energy absorption and absorption coefficients of the detector material, respectively. The factor 1.14×102 converts the inverse exposure units from R-1 into Gy-1 [36], resulting in a calculated sensitivity in units of μC·Gy-1·cm-2. Note that the X-ray quanta received on the top layer differ from received on the bottom layer, considering that X-rays are filtered by the top layer. can be expressed as follows:pic(6)The MTF quantifies the contrast of an object at various spatial frequencies f (in units of line pairs per millimeter, lp/mm). It is often used to quantify the spatial resolution of X-ray detectors [37-40]. In particular, the MTFi of each detector layer is expressed aspic(7)In addition, the DQE describes the spatial frequency f-dependent signal-to-noise ratio (SNR) propagation efficiency of the X-ray detector [41-46]. The DQEi of each detector layer is defined as the square ratio of the corresponding output SNRi to the top-layer input SNRt:pic(8)Note that both the top and bottom layers utilize the same input SNR as the input X-ray quantum.

3

Methods

3.1
Detector configuration

In this study, a metal-semiconductor-metal (MSM) structure with ohmic contacts is assumed for the perovskite detector, ignoring the internal photoconductive gain. Key parameters that may affect the DL-FPD imaging performance, such as the input beam spectra, layer thickness, electric field, dark current, readout noise, and material structure, are considered during the numerical calculations.

3.1.1
Material structure

In this study, calculations are performed for both SC and PC MAPbI3. The mobility-lifetime product for electrons (μτe) and holes (μτh) is assumed to be equal, and it is set to 1×10-3 cm2· V-1 for SC MAPbI3 and 1×10-4 cm2·V-1 for PC MAPbI3 [10-12, 15].

3.1.2
Beam spectra

In total, three X-ray beam spectra with different radiation qualities (RQA) are simulated according to the International Electrotechnical Commission (IEC) 61267:1994 guidelines: (a) RQA5, (b) RQA7, and (c) RAQ9 (see Table 1 and Fig. 2(a)).

Table 1
Key parameters for different X-ray beam settings
Radiation qualities Tube voltage (kV) Half-value layer (Al) Added filtration (mm Al) X-ray quanta (mm-2·μGy-1)
RQA5 70 7.1 21 30174
RQA7 90 9.1 30 32362
RQA9 120 11.5 40 31077
Show more
Fig. 2
(Color online) (a) Normalized input X-ray beam spectra. (b) Attenuation efficiency of MAPbI3 versus thickness for RQA5, RQA7, and RQA9 beams
pic
3.1.3
Layer thickness

The total thickness L of the top and bottom MHP layers is fixed at 1.0 mm to ensure sufficient (≥80%) X-ray attenuation. As shown in Fig. 2(b), the attenuation efficiencies of the 1.0 mm MAPbI3 layer are 82%, 88%, and 96% for the RQA5, RQA7, and RQA9 beams, respectively. In addition, the thickness of the top layer, denoted by Lt, increases from 100 μm to 500 μm at intervals of 100 μm. This corresponds to a top-layer thickness occupation, denoted by Lt/L, of 10%, 20%, 30%, 40%, and 50%. The sensitivities, MTF(f), and DQE(f) of the top and bottom layers are calculated for different Lt/L values.

3.1.4
Electric field

The electric field inside each MHP layer, as shown in Fig. 1(c), is calculated as the ratio of the applied bias voltage Ui to the layer thickness Li, that is, (i = t or b), for each layer. For the sensitivity estimations, the electric field is explored within the range of 0.01 to 0.6 V/μm in increments of 0.01 V/μm. In addition, the MTF and DQE responses are investigated under electric fields of 0.01, 0.05, 0.1, 0.5, and 1 V/μm.

3.1.5
Dark current

As discussed in Sect. 5.0.8, the dark current has an impact on the DQE owing to the introduction of additive noise. Assuming ohmic-type contacts, the dark current density can be modeled aspic(9)where σd denotes the dark conductivity of the material. According to the literature [11, 12, 14, 15, 37], the σd of PC MAPbI3 can achieve values comparable to those of SC MAPbI3, with both being approximately 1×10-10(cm)-1. Therefore, a σd value of 1×10-10 (Ω·cm)-1 is assigned to both SC and PC MAPbI3. Hence, the dark current density depends on the electric field applied inside the MHP layers. Its impact on the DQE is included in the influence of the electric field and is not discussed independently.

3.1.6
Readout noise

Similarly, the electronic readout noise σreadout also affects the DQE by introducing additive noise, as discussed in Sect. 5.0.8. Three types of pixelated readout circuits are compared in this study: CMOS, IGZO-TFT, and traditional α-Si: TFT, with typical readout noise levels of 200 e-, 700 e-, and 2000 e-, respectively [30].

3.2
Numerical study

Specifically, the RQA5, RQA7, and RQA9 beam spectra are generated using SpekCal [38]. The pixel size is set to 100 μm.

The mass density ρmass of MAPbI3 material is 4.16 g/cm3. The X-ray absorption coefficients are obtained from the National Institute of Standards and Technology (NIST) database. The electron-hole pair creation energy [12, 15] W± is 4.7 eV. The signal integration period Δt is set to 10.0 ms. The incident X-ray exposure is examined at 1.0 and 0.1 μGy to investigate the effects of the electric field and readout noise, whereas it is fixed at 1 μGy to investigate the effects of the other parameters. More detailed settings are presented in Table 2. All numerical calculations are performed using Python (version 3.10) on a desktop (Dell XPS, Intel i7-13700, 16 GB DDR5 RAM).

Table 2
Key parameters used for numerical simulations
Parameter Specifications
X-ray spectra RQA5, RQA7, RQA9
Dose (μGy) 0.1, 1
Pixel size (μm) 100
Δt (ms) 10
σreadout (e-) [30] 200 (CMOS), 700 (IGZO-TFT), 2000 (α-Si: TFT)
L (μm) Lt+Lb=1000, Lt/L=10%, 20%, 30%, 40%, 50%
F (V/μm) 0.01, 0.05, 0.1, 0.5, 1
Material [10-12, 15] MAPbI3
ρmass (g/cm3) 4.16
W± (eV) 4.7
μτe,h (cm2/V) 1×10-3 (SC), 1×10-4 (PC)
Show more
4

Results

4.1
Dependence on material thickness

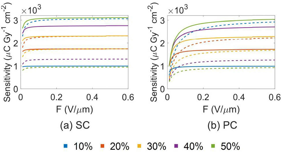
The calculated sensitivity responses are presented in Fig. 3 for five different Lt/L ratios: 10%, 20%, 30%, 40%, and 50%. The solid and dashed lines represent the sensitivity responses of the top and bottom layers, respectively. The input beam spectrum is set to RQA7. The sensitivity increases as the electric field increases and reaches its maximum when the external electric field exceeds a certain threshold. In general, SC MAPbI3 achieves its maximum sensitivity at a lower electric field than PC MAPbI3. This indicates that SC MAPbI3 can achieve sufficient charge collection efficiency at a lower electric field than PC MAPbI3. Moreover, the sensitivity responses of the top and bottom detector layers exhibit a competitive relationship as Lt/L varies. Specifically, the sensitivity of the top detector layer increases as Lt/L increases, whereas that of the bottom detector layer decreases. This occurs because more X-ray photons are absorbed by the top layer, thereby reducing the number of X-ray photons collected by the bottom layer.

Fig. 3
(Color online) Numerical results of sensitivities versus electric field for (a) SC and (b) PC MAPbI3 with Lt/L varying from 10% to 50%. The input spectrum is set to RQA7. The solid and dashed lines represent the results of the top and bottom layers, respectively
pic

Finally, the ratio Lt/L is crucial for determining the relative sensitivities of the top and bottom layers. As can be observed, the sensitivity of the top layer exceeds that of the bottom layer when Lt/L≥30%. Conversely, the sensitivity becomes lower than that of the bottom layer when Lt/L≤20%. Therefore, a ratio Lt/L between 20% and 30% is preferred to achieve similar sensitivities for the top and bottom layers.

The estimated MTF(f) curves obtained from the five different Lt/L ratios are plotted in Fig. 4. The input spectrum is set to RQA7 and the external electric field is set to 0.1 V/μm for both layers. The ideal MTF, which is determined by the pixel aperture collection blurring, is indicated by cyan lines.

Fig. 4
(Color online) Numerical results of MTF(f) for (a) SC and (b) PC MAPbI3 with Lt/L varying from 10% up to 50%. The solid and dashed lines represent the results of the top and bottom layers, respectively. The input spectrum is set to RQA7 and the external electric field is set to 0.1 V/μm for both layers
pic

For the SC MAPbI3 material, the generated MTF(f) curves are almost identical across different Lt/L values and closely resemble the ideal MTF(f), as shown in Fig. 4(a). This indicates that the SC MAPbI3 material has a minimal impact on the spatial resolution of the detector. However, under the same conditions, the MTF(f) of the detector made of PC MAPbI3 varies dramatically with different Lt/L ratios. Most of these values are lower than the ideal MTF(f), except for the very thin top layer when Lt/L=10% (see Fig. 4(b)). Furthermore, the MTF(f) of the top detector layer exhibits a competitive relationship with that of the bottom layer as Lt/L varies. For very thin top detector layers, such as Lt/L=10%, the top MTF(f) is notably higher than the bottom MTF(f), as indicated by the solid and dashed blue lines in Fig. 4(b). As Lt/L increases, the MTF(f) of the top detector layer decreases while the MTF(f) of the bottom detector layer increases. This is because of the more severe charge trapping with increasing material thickness. When the material thicknesses become equal, that is, Lt/L=50%, as expected, the MTF(f) of the top detector layer approaches that of the bottom layer.

The estimated DQE(f) curves obtained from the different Lt/L values are plotted in Fig. 5. The input spectrum is set to RQA7, the electric field is set to 0.1 V/μm for both detector layers, the entrance dose is set to 1 μGy, and CMOS readout noise is assumed. As observed for both SC and PC MAPbI3, the DQE(f) of the top detector layer increases with an increasing Lt/L. In contrast, the DQE(f) of the bottom detector layer decreases with a larger Lt/L. This is because more X-ray photons are absorbed by the top layer as it becomes thicker, whereas fewer X-ray photons are absorbed by the bottom layer. In addition, the DQE(f) values of the detector made from PC MAPbI3 decrease more rapidly in the high spatial frequency range compared with those made from SC MAPbI3, especially for the bottom layer (see Fig. 5(b). This is attributed to the more severe signal blurring effect caused by charge trapping in PC materials. Similar to the sensitivity responses, the DQE(f) of the top detector layer is lower than that of the bottom layer when Lt/L≤20%, but exceeds that of the bottom layer when Lt/L≥30%. Thus, it can be inferred that an Lt/L ratio between 20% and 30% can help to achieve similar DQE(f) values for the top and bottom layers.

Fig. 5
(Color online) Numerical results of DQE(f) for (a) SC and (b) PC MAPbI3 with Lt/L varying from 10% up to 50%. The solid and dashed lines represent the results of the top and bottom layers, respectively. The input spectrum is set to RQA7, the external electric field is set to 0.1 V/μm for both layers, the entrance dose is set to 1 μGy, and CMOS readout noise is assumed
pic

Overall, the sensitivity, MTF(f), and DQE(f) of the top layer exhibit a competitive relationship with those of the bottom layer for various values of Lt/L. In the following studies, we concentrate on scenarios in which Lt/L = 30%.

4.2
Dependence on beam spectrum

The estimated sensitivities with respect to the three different input beam spectra, that is, RQA5, RQA7, and RQA9, are shown in Fig. 6. For the top detector layer, the sensitivity responses for RQA5 and RQA7 are identical but higher than those of RQA9 (see the solid lines in Fig. 6). This is jointly determined by the X-ray absorption efficiency and charge-conversion multiplication. However, for the bottom layer, the sensitivity response is the highest for RQA9 and lowest for RQA5, as indicated by the dashed lines in Fig. 6. This is because the bottom layer is sufficiently thick to generate similar absorption efficiencies for X-ray photons of different energies. As a result, higher sensitivity is achieved for the higher-energy beam spectrum. Interestingly, the sensitivities of the top and bottom detector layers are similar for RQA9. This indicates that an appropriately low Lt/L should be selected for the low-energy spectrum to generate similar sensitivity responses in the top and bottom detector layers.

Fig. 6
(Color online) Numerical results of sensitivities versus electric field for (a) SC and (b) PC MAPbI3 under input spectrum of RQA5, RQA7, and RQA9. The Lt/L is set to 30%. The solid and dashed lines represent the results of the top and bottom layers, respectively
pic

The obtained MTF(f) curves for different input spectra are plotted in Fig. 7. The electric field is fixed at 0.1 V/μm for both layers.

Fig. 7
(Color online) Numerical results of MTF(f) for (a) SC and (b) PC MAPbI3 under input spectrum of RQA5, RQA7, and RQA9. The solid and dashed lines represent the results of the top and bottom layers, respectively. The external electric field is set to 0.1 V/μm for both layers and Lt/L is set to 30%
pic

The MTF(f) curves are almost identical and closely resemble the ideal MTF(f) for the SC MAPbI3 material (see Fig. 7(a)). However, the MTF(f) curves are consistently lower than the ideal MTF(f) for the PC MAPbI3, as shown in Fig. 7(b). This is owing to the charge-trapping-induced signal blurring effect inside the PC MAPbI3 material. Specifically, the high-energy spectrum tends to generate a slightly better MTF(f) than the low-energy spectrum for the bottom layer.

The DQE(f) responses are plotted in Fig. 8. The entrance dose is set to 1 μGy, and CMOS readout noise is assumed. For the top layer, the DQE(f) is the highest for RQA5 and lowest for RQA9 (see the solid lines in Fig. 8. Conversely, the DQE(f) is the highest for RQA9 and lowest for RQA5 in the bottom layer, as indicated by the dashed lines in Fig. 8. Moreover, the high-energy spectrum RQA9 exhibits a narrower DQE(f) gap between the top and bottom layers than the RQA5 and RQA7 spectra. Consequently, a lower Lt/L ratio is preferable to achieve similar DQE(f) responses between the top and bottom layers.

Fig. 8
(Color online) Numerical results of DQE(f) for (a) SC and (b) PC MAPbI3 under input spectrum of RQA5, RQA7, and RQA9. The solid and dashed lines represent the results of the top and bottom layers, respectively. The external electric field is set to 0.1 V/μm for both layers, Lt/L is set to 30%, the dose is set to 1 μGy, and CMOS readout noise is assumed
pic
4.3
Dependence on electric field

The MTF(f) responses with respect to five different electric field strengths, namely 0.01, 0.05, 0.1, 0.5, and 1.0 V/μm, are plotted in Fig. 9. The input spectrum is set to RQA7 and Lt/L is set to 30%. For the SC MAPbI3, the MTF(f) exhibits less dependence on the electric field, except for the lower bottom detector layer with an ultra-small electric field of 0.01 V/μm (see Fig. 9(a)). Conversely, for the detectors made of PC MAPbI3, the MTF(f) of the bottom detector layer depends heavily on the electric field. Increasing the electric field can significantly enhance the MTF(f) response, as shown in Fig. 9(b). At high electric fields, MTF(f) of the bottom detector layer can become comparable to or even outperform that of the top detector layer. For example, the bottom layer with 0.5 V/μm exhibits a similar MTF(f) to that of the top layer with 0.05 V/μm. However, increasing the electric field would lead to a higher dark current density, potentially compromising the detection limit and DQE(f) response. Hence, the electric field must be optimized to generate a comparable MTF(f) in the top and bottom layers.

Fig. 9
(Color online) Numerical results of the MTFs(f) for (a) SC and (b) PC MAPbI3 with different electric fields. The solid and dashed lines represent the results of the top and bottom detector layers, respectively. The input spectrum is set to RQA7 and Lt/L is set to 30%
pic

The DQE(f) responses with respect to the different electric fields are shown in Fig. 10 for 1 μGy and 0.1 μGy. An RQA7 input spectrum and CMOS readout noise are assumed. For the SC MAPbI3, the electric field has a negligible impact on DQE(f), except for the ultra-low electric field of 0.01 V/μm, as shown in the plots in Fig. 10(a) and (c). Conversely, reducing the electric field dramatically degrades the DQE(f) of the detector made from PC MAPbI3 (see the plots in Fig. 10(b) and (d)). This is owing to the insufficient charge collection efficiency of PC MAPbI3. Consequently, DL-FPDs made from PC MAPbI3 can achieve a similar DQE(f) to that of SC MAPbI3 if a higher electric field is applied. Increasing the electric field does not always enhance the DQE(f) because the charge collection efficiency saturates once it exceeds a certain field strength. For example, the DQE(f) curve obtained using 0.5 V/μm is similar to that obtained using 1 V/μm, as shown in Fig. 10. Under these conditions, continuously increasing the electric field will lead to an increased dark current, but does not improve the DQE(f).

Fig. 10
(Color online) Numerical results of the DQEs(f) of DL-FPD for (a) SC and (b) PC MAPbI3 with different electric fields. The solid and dashed lines represent the results of the top and bottom detector layers, respectively. The input spectrum is set to RQA7, Lt/L is set to 30%, and CMOS readout noise is assumed
pic
4.4
Dependence on readout noise

The DQE(f) responses with respect to three different electronic readout noise levels are plotted in Fig. 11 for the CMOS, IGZO-TFT, and α-Si: TFT circuits. The electric field is set to 0.5 V/μm to ensure sufficient charge collection efficiency for both layers. In addition, only the PC MAPbI3 material is investigated. The DQE(f) responses of IGZO-TFT are comparable to those of CMOS and higher than those of α-Si: TFT for a dose level of 1 μGy (see Fig. 11(a)). For a dose level of 0.1 μGy, the DQE(f) responses of CMOS are slightly higher than those of IGZO-TFT, but significantly higher than those of α-Si: TFT (see Fig. 11(b)). Therefore, the back-plate readout noise has a more pronounced impact on low-dose imaging tasks. That is, a back-plate with lower readout pixel noise is suggested in low-dose imaging scenarios.

Fig. 11
(Color online) Numerical results of the DQEs(f) for (a) SC and (b) PC MAPbI3 with different readout noise types. The solid and dashed lines represent the results of the top and bottom detector layers, respectively. Lt/L is set to 30%, the electric field is set to 0.5 V/μm for both detector layers, and the RQA7 X-ray beam is assumed
pic
5

Discussion and Conclusion

In this study, the responses of a direct-conversion perovskite DL-FPD were investigated numerically based on a linear cascade signal model under various configurations. Specifically, the sensitivity, MTF(f), and DQE(f) were evaluated and compared across settings, including the beam spectrum, material structure, material thickness, electric field, and readout noise. Although some material parameters such as the attenuation coefficient and mobility-lifetime product (μτ) were tailored to the MAPbI3 material in this study, the methods and results obtained can be easily generalized to analyze DL-FPDs made from other MHP materials such as CsPbBr3.

The material thickness has a strong impact on the sensitivity, MTF(f), and DQE(f) responses of the top and bottom detector layers. In particular, the sensitivity and DQE(f) of the top detector layer improve as the Lt/L ratio increases, whereas those of the bottom layer decrease. In contrast, the MTF(f) of the top layer is degraded with an increase in Lt/L, whereas that of the bottom layer is enhanced. Consequently, the thickness should be optimized to ensure good low-energy imaging performance, especially for the top layer. In addition, the X-ray beam spectra may significantly affect the sensitivity and DQE(f) responses, whereas they have a minimal impact on the MTF(f). In high-energy imaging scenarios, the sensitivity and DQE(f) of the top layer may decrease, whereas those of the bottom layer may increase. Increasing the electric field can improve the sensitivity, MTF(f), and DQE(f), thereby potentially bridging the performance gap between PC and SC materials. Nonetheless, the sensitivity may become saturated when it exceeds a certain threshold. Moreover, increasing the electric field may consistently increase the dark current and potentially degrade the DQE response. Therefore, an appropriate electric field is required to achieve satisfactory imaging performance. In addition, a pixel array with lower readout noise is necessary to achieve high DQE performance for low-dose imaging applications.

This study has several limitations. First, a fairly ideal detector setting was considered without taking into account the non-uniform material responses. Clearly, these non-idealities can potentially impact the detector imaging performance. Second, we assumed that the detector functions as a photoresistor with no photoconductive gain. However, perovskite-based detectors may be photodiodes with a p-i-n structure, which could have a much higher sensitivity owing to their internal photoconductive gain [47, 48]. In addition, traps that cause signal blurring may enhance the sensitivity and SNR [49]. As a result, balancing signal blurring with the SNR is important. Third, the μτ values were assumed to be equal for electrons and holes in MAPbI3 [50]. However, μτh may be slightly greater than μτe. Consequently, the performance of the MAPbI3 detector, such as the sensitivity, MTF, and DQE, could be slightly affected when the electrodes are interchanged. Fourth, we assumed a uniform electric field in the region directly opposite to the electrodes, with a zero electric field at the pixel boundaries. In reality, a weak electric field exists at the boundaries, which may lead to issues such as signal loss or charge sharing, thus degrading the MTF and DQE of the detector. However, these issues can be mitigated via advanced designs such as the implementation of guard rings and nodal separation on CMOS chips [51]. Fifth, only one of the most popular MHP materials, MAPbI3, was investigated in this study. For detector development, it is necessary to explore other MHP materials in detail. Finally, the imaging performance of the MHP DL-FPD was only investigated for a total material thickness of 1.0 mm. For MHP detectors made of a thicker material, it is necessary to repeat the entire analysis. Finally, no experiments were performed to verify the numerical predictions in this study, owing to the lack of a DL-FPD prototype. In future studies, detailed investigations should be conducted to validate the findings presented in this work.

In conclusion, the direct-conversion DL-FPD made of MHP material has the potential to achieve superior sensitivity, consistent spatial resolution, and high detection efficiency compared with the traditional indirect-conversion DL-FPD made of scintillator materials. In the future, performing high-quality dual-energy imaging using novel direct-conversion perovskite DL-FPDs will be very useful.

References
1.M. Green, A. Ho-Baillie, H. Snaith et al.,

The emergence of perovskite solar cells

. Nat. Photonics 8, 506514 2014). https://doi.org/10.1038/nphoton.2014.134
Baidu ScholarGoogle Scholar
2.M.F. Stone, W. Zhao, B.V. Jacak et al.,

The X-ray sensitivity of amorphous selenium for mammography

. Med. Phys. 29, 319324 2002). https://doi.org/10.1118/1.1449874
Baidu ScholarGoogle Scholar
3.Z. Chen, Y.F. Zhu, Z. He,

Intrinsic photopeak efficiency measurement and simulation for pixelated CdZnTe detector

. Nucl. Instrum. Meth. A. 980, 164501 2020). https://doi.org/10.1016/j.nima.2020.164501
Baidu ScholarGoogle Scholar
4.R. Bellazzini, G. Spandre, A. Brez et al.,

Chromatic X-ray imaging with a fine pitch CdTe sensor coupled to a large area photon counting pixel ASIC

. J. Instrum. 8, C02028 2013). https://doi.org/10.1088/1748-0221/8/02/C02028
Baidu ScholarGoogle Scholar
5.M. Girolami, P. Allegrini, G. Conte et al.,

Diamond detectors for UV and X-Ray source imaging

. IEEE Electr. Device L. 33, 224226 2012). https://doi.org/10.1109/LED.2011.2176907
Baidu ScholarGoogle Scholar
6.D. Lee, K. Lee, J. Seo,

High signal-to-noise ratio HgI2 X-ray detector assisted with ultraviolet radiation

. Nucl. Instrum. Meth. A. 941, 162364 2019). https://doi.org/10.1016/j.nima.2019.162364
Baidu ScholarGoogle Scholar
7.M. Girolami, M. Bosi, V. Serpente, and et al.,

Orthorhombic undoped κ-Ga2O3 epitaxial thin films for sensitive, fast, and stable direct X-ray detectors

. J. Mater. Chem. C 11,37593769 2023). https://doi.org/10.1039/d2tc05297k
Baidu ScholarGoogle Scholar
8.H.T. Wei, Y.J. Fang, P. Mulligan et al.,

Sensitive X-ray detectors made of methylammonium lead tribromide perovskite single crystals

. Nat. Photonics 10, 333339 2016). https://doi.org/10.1038/NPHOTON.2016.41
Baidu ScholarGoogle Scholar
9.W. Wei, Y. Zhang, Q. Xu et al.,

Monolithic integration of hybrid perovskite single crystals with heterogenous substrate for highly sensitive X-ray imaging

. Nat. Photonics 11, 315321 2017). https://doi.org/10.1038/nphoton.2017.43
Baidu ScholarGoogle Scholar
10.D. Shi, V. Adinolfi, R. Comin et al.,

Low trap-state density and long carrier diffusion in organolead trihalide perovskite single crystals

. Science 347, 519522 2015). https://doi.org/10.1126/science.aaa2725
Baidu ScholarGoogle Scholar
11.F. Ye, H. Lin, H.D. Wu et al.,

High-quality cuboid CH3NH3PbI3 single crystals for high performance X-ray and photon detectors

, Adv. Funct. Mater. 29, 1806984 2019. https://doi.org/10.1002/adfm.201806984
Baidu ScholarGoogle Scholar
12.Y.C. Kim, K.H. Kim, D.Y. Son et al.,

Printable organometallic perovskite enables large-area, low-dose X-ray imaging

. Nature 550 8791 2017). https://doi.org/10.1038/nature24032
Baidu ScholarGoogle Scholar
13.J.J. Zhao, L. Zhao, Y.H. Deng et al.,

Perovskite-filled membranes for flexible and large-area direct-conversion X-ray detector arrays

. Nat. Photonics 14, 612617 2020). https://doi.org/10.1038/s41566-020-0678-x
Baidu ScholarGoogle Scholar
14.S. Yakunin, M. Sytnyk, D. Kriegner et al.,

Detection of X-ray photons by solution-processed lead halide perovskites

. Nat. Photonics 9, 444449 2015). https://doi.org/10.1038/nphoton.2015.82
Baidu ScholarGoogle Scholar
15.S. Deumel, A. van Breemen, G. Gelinck et al.,

High-sensitivity high-resolution X-ray imaging with soft-sintered metal halide perovskites

. Nat. Electron 4, 681688 2021). https://doi.org/10.1038/s41928-021-00644-3
Baidu ScholarGoogle Scholar
16.M.L. Xia, Z.H. Song, H.D. Wu et al.,

Compact and large-area perovskite films achieved via soft-pressing and multi-functional polymerizable binder for flat-panel X-ray imager

. Adv. Funct. Mater. 32, 2110729 2022). https://doi.org/10.1002/adfm.202110729
Baidu ScholarGoogle Scholar
17.Y.L. Liu, C.S. Gao, D. Li et al.,

Dynamic X-ray imaging with screen-printed perovskite CMOS array

. Nat. Commun. 15, 1588 2024). https://doi.org/10.1038/s41467-024-45871-2
Baidu ScholarGoogle Scholar
18.E. Fredenberg,

Spectral and dual-energy X-ray imaging for medical application

. Nucl. Instrum. Meth. A. 878, 7487 2018). https://doi.org/10.1016/j.nima.2017.07.044
Baidu ScholarGoogle Scholar
19.J. Greffier, N. Villani, D. Defez et al.,

Spectral CT imaging: Technical principles of dual-energy CT and multi-energy photon-counting CT

. Diagn. Interv. Imag. 104, 167177 2023). https://doi.org/10.1016/j.diii.2022.11.003
Baidu ScholarGoogle Scholar
20.J.C. Pang, S. Zhao, X. Du et al.,

Vertical matrix perovskite X-ray detector for effective multi-energy discrimination

. Light Sci. Appl. 11, 105 2022). https://doi.org/10.1038/s41377-022-00791-y
Baidu ScholarGoogle Scholar
21.T.S. Bray, M. Hoggarth, J. Luce et al.,

Prospective evaluation of dual-energy imaging in patients undergoing image guided radiation therapy for lung cancer: Initial clinical results

. Int. J. Radiat. Oncol. Biol. Phys. 89, 525531 2014). https://doi.org/10.1016/j.ijrobp.2014.03.004
Baidu ScholarGoogle Scholar
22.J.E. Kuhlman, J. Collins, G.N. Brooks et al.,

Dual-energy subtraction chest radiography: what to look for beyond calcified nodules

. RadioGraphics 26, 7992 2006). https://doi.org/10.1148/rg.261055034
Baidu ScholarGoogle Scholar
23.C.H. McCollough, S. Leng, L.F. Yu et al.,

Dual- and multi-energy CT: principles, technical approaches, and clinical applications

. Radiology 276, 637653 2015). https://doi.org/10.1148/radiol.2015142631
Baidu ScholarGoogle Scholar
24.L.X. Shi, M.H. Lu, N.R. Bennett et al.,

Characterization and potential applications of a dual-layer flat-panel detector

. Med. Phys. 47, 33323343 2020). https://doi.org/10.1002/mp.14211
Baidu ScholarGoogle Scholar
25.F. Ståhl, D. Schäfer, A. Omar et al.,

Performance characterization of a prototype dual-layer cone-beam computed tomography system

. Med. Phys. 48, 67406754 2021). https://doi.org/10.1002/mp.15240
Baidu ScholarGoogle Scholar
26.W.Y. Wang, Y.Q. Ma, M. Tivnan et al.,

High-resolution model-based material decomposition in dual-layer flat-panel CBCT

. Med. Phys. 48, 63756387 2021). https://doi.org/10.1002/mp.14894
Baidu ScholarGoogle Scholar
27.T. Su, J.T. Zhu, X. Zhang et al.,

Super resolution dual-energy cone-beam CT imaging with dual-layer flat-panel detector

. IEEE T. Med. Imaging 43, 734744 2024). https://doi.org/10.1109/TMI.2023.3319668
Baidu ScholarGoogle Scholar
28.K. Mukhopadhyaya, P. Srividya,

Trends in performance characteristics and modelling of oxide based TFT

. Mater. Today-proc. 55, 414418 2021). https://doi.org/10.1016/j.matpr.2021.12.596
Baidu ScholarGoogle Scholar
29.A.S. Prabu, V. Chithambaram, M. AntoBennet et al.,

A review on various CMOS circuit styles

. Mater. Today-proc. 30, 104114 2020). https://doi.org/10.1016/j.matpr.2020.04.858
Baidu ScholarGoogle Scholar
30.N.M. Sheth, A. Uneri, P.A. Helhm et al.,

Technical assessment of 2D and 3D imaging performance of an IGZO-based flat-panel X-ray detector

. Med. Phys. 49, 30533066 2022). https://doi.org/10.1002/mp.15605
Baidu ScholarGoogle Scholar
31.M. Rabbani, R. Shaw, R. Van Metter,

Detective quantum efficiency of imaging systems with amplifying and scattering mechanisms

. J. Opt. Soc. Am. A-Opt. Image Sci. Vis. 4, 895901 1987). https://doi.org/10.1364/josaa.4.000895
Baidu ScholarGoogle Scholar
32.M.J. Yaffe and J.A. Rowlands,

X-ray detectors for digital radiography

. Phys. Med. Biol. 42, 139 1997). https://doi.org/10.1088/0031-9155/42/1/001
Baidu ScholarGoogle Scholar
33.M.Z. Kabir,

Effects of charge carrier trapping on polycrystalline PbO X-ray imaging detectors

. J. Appl. Phys. 104, 074506 2008). https://doi.org/10.1063/1.2990765
Baidu ScholarGoogle Scholar
34.S. Kasap, J.B. Frey, G. Belev et al.,

Amorphous and polycrystalline photoconductors for direct conversion flat panel X-ray image sensors

. Sensors 11, 51125157 2011). https://doi.org/10.3390/s110505112
Baidu ScholarGoogle Scholar
35.D.M. Panneerselvam, M.Z. Kabir,

Evaluation of organic perovskite photoconductors for direct conversion X-ray imaging detectors

. J. Mater. Sci.-Mater. Electron. 28, 70837090 2017). https://doi.org/10.1007/s10854-017-6409-5
Baidu ScholarGoogle Scholar
36.J. Izewska, G. Rajan,

Radiation oncology physics: a handbook for teachers and students

. Br. J. Cancer 98, 1020 2008). https://doi.org/10.1038/sj.bjc.6604224
Baidu ScholarGoogle Scholar
37.S. Shrestha, R. Fischer, G. Matt et al.,

High-performance direct conversion X-ray detectors based on sintered hybrid lead triiodide perovskite wafers

. Nat. Photonics 11 436 2017). https://doi.org/10.1038/nphoton.2017.94
Baidu ScholarGoogle Scholar
38.G. Poludniowski, G. Landry, F. Deblois et al.,

SpekCalc: a program to calculate photon spectra from tungsten anode X-ray tubes

. Phys. Med. Biol. 54, N433 2009). https://doi.org/10.1088/0031-9155/54/19/N01
Baidu ScholarGoogle Scholar
39.S.O. Kasap,

X-ray sensitivity of photoconductors: application to stabilized α-Se

. J. Phys. D-Appl. Phys. 33, 28532865 2000). https://doi.org/10.1088/0022-3727/33/21/326
Baidu ScholarGoogle Scholar
40.W. Que, J.A. Rowlands,

X-ray imaging using amorphous selenium: inherent spatial resolution

. Med. Phys. 22, 365374 1995). https://doi.org/10.1118/1.597471
Baidu ScholarGoogle Scholar
41.K. Kanaya and S. Okayama,

Penetration and energy-loss theory of electrons in solid targets

. J. Phys. D-Appl. Phys. 5, 43 1972). https://doi.org/10.1088/0022-3727/5/1/308
Baidu ScholarGoogle Scholar
42.Z. He,

Review of the Shockley–Ramo theorem and its application in semiconductor gamma-ray detectors

. Nucl. Instrum. Meth. A. 463, 250267 2001). https://doi.org/10.1016/S0168-9002(01)00223-6
Baidu ScholarGoogle Scholar
43.M.Z. Kabir, S.O. Kasap,

DQE of photoconductive X-ray image detectors: application to a-Se

. J. Phys. D-Appl. Phys. 34, 27352743 2002). https://doi.org/10.1088/0022-3727/35/21/308
Baidu ScholarGoogle Scholar
44.M.Z. Kabir, S.O. Kasap,

Modulation transfer function of photoconductive x-ray image detectors: effects of charge carrier trapping

. J. Phys. D-Appl. Phys. 36, 23522358 2003). https://doi.org/10.1088/0022-3727/36/19/006
Baidu ScholarGoogle Scholar
45.S.O. Kasap, J.A. Rowlands,

Direct-conversion flat-panel X-ray image sensors for digital radiography

. IEE Proc.-Circuit Device Syst. 90, 591604 2002). https://doi.org/10.1049/ip-cds:20020350
Baidu ScholarGoogle Scholar
46.T. Meyer, R.E. Johanson, S.O. Kasap,

Effect of 1/f noise in integrating sensors and detectors

. IET Circ. Devices Syst. 5, 177188 2011). https://doi.org/10.1049/iet-cds.2010.0220
Baidu ScholarGoogle Scholar
47.M. Girolami, F. Matteocci, S. Pettinato et al.,

Metal-Halide Perovskite submicrometer-thick films for ultra-stable self-powered direct X-Ray detectors

. Nano-Micro Lett. 16, 182 2024). https://doi.org/10.1007/s40820-024-01393-6
Baidu ScholarGoogle Scholar
48.N. Li, Y.Y. Li, S.D. Xie et al.,

High-performance and self-powered X-ray detectors made of smooth perovskite microcrystalline films with 100 μm grains

. Angew. Chem. Int. Edit. 62 2023). https://doi.org/10.1002/anie.202302435
Baidu ScholarGoogle Scholar
49.H.H. Tsai, F.Z. Liu, S. Shrestha et al.,

A sensitive and robust thin-film x-ray detector using 2D layered perovskite diodes

. Sci. Adv. 6, eaay0815 2020). https://doi.org/10.1126/sciadv.aay0815
Baidu ScholarGoogle Scholar
50.H. Mescher, E. Hamann, U. Lemmer,

Simulation and design of folded perovskite x-ray detectors

. Sci. Rep-UK 9, 5231 2019). https://doi.org/10.1038/s41598-019-41440-6
Baidu ScholarGoogle Scholar
51.O.A. Amusan, A.F. Witulski, L.W. Massengill et al.,

Charge collection and charge sharing in a 130 nm CMOS technology

. IEEE T. Nucl. Sci. 53, 32533258 2006). https://doi.org/10.1109/TNS.2006.884788
Baidu ScholarGoogle Scholar
Footnote

The authors declare that they have no competing interests.