Introduction
The chip industry is undergoing significant transformation in the rapidly developing fields of microelectronics and nanotechnology. Semiconductor manufacturers are continuously striving to enhance chip performance, add functionalities, and integrate additional components onto chips [1-7]. With the ongoing improvements in integrated circuits, planar integrated circuits can no longer meet the needs of development. Thus, advanced processes such as 3D transistor designs and intricate patterning techniques have been developed. Fin-based field-effect transistors (FinFET) remained the mainstream device option until 2021, when gate-all-around (GAA) designs emerged and dominated at smaller dimensions owing to their better electrostatic control. Meanwhile, techniques such as 3D stacking and 3D very-large-scale integration (3DVLSI) have introduced a significant number of additional steps in production processes of integrated circuits [8, 9]. In these processes, the grating serves as a crucial microstructure, that play a vital role in chip manufacturing. With technological advancements, the critical dimensions of chips have gradually decreased, requiring more accurate and high-resolution measurement techniques. The size of the gratings decreases rapidly, which poses considerable challenges for precise measurements.
In the methods used for the measurement of grating dimensions, scanning electron microscopy (SEM) and atomic force microscopy (AFM) are capable of detecting local critical dimensions in gratings [10]. The optical critical dimension (OCD) is another technology that is widely applied, especially in the study of devices such as nonplanar FinFETs on silicon insulators [11, 12].
Small angle X-ray scattering has been extensively employed in a multitude of scientific disciplines, including physics, chemistry, materials science, and life sciences, as a highly effective technique for examining structural characteristics at the nanoscale [13-18]. This enables nondestructive analysis of the dimensions, morphology, and distribution of nanoparticles [19] as well as investigation of the structure of biological macromolecules [20, 21], measurement of the size, shape, and size distribution of nanoparticles, and analysis of the microstructure of thin films for solar cells [22, 23]. Notably, the critical dimension small angle X-ray scattering (CD-SAXS) technique developed by scientists at NIST stands out as a promising measurement platform that can reveal the three-dimensional configuration of regularly spaced arrays of nanostructured surface elements [24, 25]. CD-SAXS has the potential to serve as an alternative to OCD measurement methods. This advanced X-ray scattering technique can be used to explore critical dimensions, morphology, structure, and organization of materials at the nanoscale. Being nondestructive, CD-SAXS enables the measurement of the angle and intensity distribution of X-ray scattering in materials. Its key advantage lies in revealing detailed microstructural information at the nanoscale. By precisely measuring critical dimensions such as line width and spacing, CD-SAXS can contribute to process control and optimization, offering precision at the nanometer scale while remaining nondestructive.
In the field of advanced 3D microelectronics architecture, the outstanding performance of CD-SAXS in providing high-precision critical dimension measurements has been well established [26]. CD-SAXS has been effectively utilized to investigate the widely popular FinFET structures of gratings and has validated its measurement capabilities for potential future grating structures [27]. Roughness critically impacts transistor performance, and CD-SAXS can measure roughness information and exhibits robust characterization potential under various conditions, including synchrotron radiation sources and laboratory environments [28]. Previous research has indicated that the precision of the critical dimensions of the grating are affected by the energy of the X-rays, which highlights the need for further studies on the influence of X-ray energies on measurement accuracy. This technology has marked significant advancements in addressing grating roughness issues, and important insights have been provided on methods to optimize transistor performance [29, 30]. Notably, CD-SAXS experiments conducted under synchrotron radiation sources not only provide highly accurate data for grating roughness but also lay the foundation for the design and optimization of future grating structures. Furthermore, the successful application of CD-SAXS in laboratory environments has promoted the development and spread of CD-SAXS technology. In summary, CD-SAXS demonstrates remarkable potential in 3D microelectronic architectures, offering powerful tools and methods for studying grating structures.
Currently, CD-SAXS primarily uses synchrotron radiation as its X-ray source. Although synchrotron radiation can meet the requirements of high brightness and sensitivity, CD-SAXS applications using laboratory X-ray sources still involve some notable limitations. Establishing laboratory X-ray sources is crucial to address the challenges associated with the high cost and constrained experimental conditions of synchrotron sources and to expand the application domains of the technology. The selection of target materials for laboratory X-ray sources is a critical step in determining the X-ray energy spectra to meet specific requirements of grating measurements. Additionally, the influence of beam size on measurement precision has not been systematically investigated in previous studies. In this study, we investigated the effects of varying beam size and X-ray photon energies on CD-SAXS experimental accuracy were examined.
Experimental and Calculation Methods
CD-SAXS measurements were conducted at the small-angle X-ray scattering beamline of the Shanghai Synchrotron Radiation Facility (SSRF). Measurements were conducted with 12 keV photons at the center position of the sample and utilized four different beam sizes. Additionally, a further series of measurements was performed at the same sample position with the same beam size with three different photon energies.
Critical Dimension Small Angle X-ray Scattering
CD-SAXS measurements were conducted on a trapezoidal sample shown in Fig. 1, which illustrates a grating model with a trapezoidal profile characterized by several geometrical parameters, including pitch L, height h, width W, sidewall angle (SWA) θ, and the roughness of the sidewall.
_2026_04/1001-8042-2026-04-71/alternativeImage/1001-8042-2026-04-71-F001.jpg)
In this study, we utilized transmission small-angle X-ray scattering through a silicon substrate with a thickness of 0.7 mm. The measurement geometry, as elaborated in Fig. 2, specifies the q vectors for both the beam and the detector. The configuration aligns the Z-direction with the incoming beam, while the X- and Y-directions are set perpendicular to both the primary beam and each other. The sample was placed on a rotating platform with the line direction of the grating aligned in parallel with the rotation axis. Its range of rotation extended from -50° to 50° with a step of 1°, and the data collection time at each angle was 10 seconds. A reciprocal space map (RSM) was constructed to facilitate the visualization of the diffraction data from all the tilt conditions simultaneously. The reciprocal space map representation was prepared by extracting the diffracted intensities from each individual tilt condition into a one-dimensional scattering profile._2026_04/1001-8042-2026-04-71/alternativeImage/1001-8042-2026-04-71-M001.png)
_2026_04/1001-8042-2026-04-71/alternativeImage/1001-8042-2026-04-71-M002.png)
_2026_04/1001-8042-2026-04-71/alternativeImage/1001-8042-2026-04-71-M003.png)
_2026_04/1001-8042-2026-04-71/alternativeImage/1001-8042-2026-04-71-M004.png)
_2026_04/1001-8042-2026-04-71/alternativeImage/1001-8042-2026-04-71-M005.png)
_2026_04/1001-8042-2026-04-71/alternativeImage/1001-8042-2026-04-71-F002.jpg)
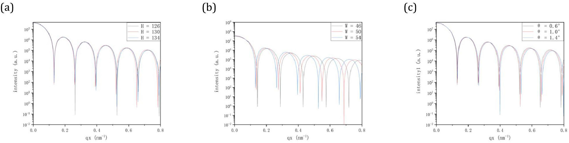
The analysis of CD-SAXS involves an inverse and iterative approach. This method compares the scattering calculated from a hypothesized form function with actual scattering data. The trial shape was adjusted iteratively until the calculated scattering aligned with the observed scattering data. The influence of various parameters on the form factor of the trapezoidal grating sample is shown in Fig. 3. These graphs show that different critical grating dimensions have varying effects on the shape factor. A comparison of the influence of each parameter aids in adjusting their ranges to fit the experimental data more accurately.
_2026_04/1001-8042-2026-04-71/alternativeImage/1001-8042-2026-04-71-F003.jpg)
Curve Fit
Curve fitting is a prevalent technique in science and engineering for approximating the functional relationships represented by discrete data points [33-36]. Mathematically, these discrete data points can be represented using continuous curves or densely packed discrete equations. This enables mathematical calculations, theoretical analysis of experimental results, and estimation of unmeasurable locations. This method plays a crucial role in solving several problems that rely solely on sampling or experimentation to acquire discrete data.
The fitting of the experimental data is framed as an optimization problem with the fitting function’s undetermined parameters, such as the critical dimensions in CD-SAXS. The objective of the optimization was to minimize a certain error metric between the observed experimental data and the function values of the fitting function. A typical optimization goal is to minimize the sum of the squares of the errors between the values of the fitting function and observed data. Alternatively, in cases where the significance or distribution of the observed data varies, a weighted sum of squares of errors can be employed as the optimization objective [37, 38]._2026_04/1001-8042-2026-04-71/alternativeImage/1001-8042-2026-04-71-M006.png)
The theoretical computation of CD-SAXS involves parameters related to several critical dimensions, along with considerations for describing the width of diffraction peaks. Given the high-dimensional parameter space formed by the parameters to be fitted, navigating for optimal solutions within vast datasets poses significant challenges, and an advanced curve fitting approach was employed, combining a stepwise fitting strategy with an iterative optimization process. Initially, traditional gradient descent methods were tested but proved inadequate for locating the global optimum within the complex parameter space. Instead, a stepwise fitting approach was adopted, beginning with data visualisation and focusing on analysing the impact of each parameter on the function’s graph. Firstly, partial parameter fitting is performed on specific parameters without considering the influence of others, thereby reducing the dimensionality of the parameter space. Subsequently, an iterative optimization strategy is applied, where multiple starting points are randomly selected within the parameter space, and the loss function (mean squared error) is evaluated for each iteration. The minimum value of the loss function is identified as the optimal solution. To ensure reproducibility, the random seed for the starting points is fixed, and the fitting process is repeated multiple times to confirm consistency. This combined approach has been shown to significantly improve the accuracy and reliability of the fitting results, thereby enabling efficient navigation of the high-dimensional parameter space in CD-SAXS measurements.
Measurement Error Analysis
To ensure the reliability of the measurements, all experimental conditions other than the variables of interest (beam size and X-ray energy) were carefully controlled. The sample environment, detector settings, and other instrumental parameters were kept constant throughout the experiments. Data collection began only after the system had stabilized following changes in beam size or X-ray energy. This rigorous control of the experimental conditions minimized potential interference and ensured the validity of the results. The raw experimental data were pre-processed to ensure accuracy and reliability. Outliers such as those caused by detector defects (e.g., bad pixels) were identified and removed. Given the large number of data points involved in the CD-SAXS fitting, the removal of outliers did not significantly impact the overall dataset. In addition, the data were normalized to facilitate background scattering subtraction, which reduced the influence of background noise on the fitting process. This normalization step is critical for improving the precision of the subsequent analysis._2026_04/1001-8042-2026-04-71/alternativeImage/1001-8042-2026-04-71-M007.png)
_2026_04/1001-8042-2026-04-71/alternativeImage/1001-8042-2026-04-71-M008.png)
The detector enables precise measurement of the scattered signal intensity. Processing the collected data allowed for the determination of the peak center position. Typically, the position of the maximum intensity value in the collected data corresponds to the center of the peak. However, the pixels of the detector have a finite size, which introduces an inherent error in determining the peak center position within a pixel-sized area. The error in the peak center position caused by the pixel size can be described using the uncertainty of the scattered signal, as expressed in Eq. (9) as follows:_2026_04/1001-8042-2026-04-71/alternativeImage/1001-8042-2026-04-71-M009.png)
In the CD-SAXS measurement experiments, the distance between the sample and detector was kept constant. Notably, a decrease in the beam size d, as depicted in Eq. (9), results in a reduction in the
As the scattering angle θ increased, the uncertainty of the scattered signal decreased. Therefore, as the magnitude of the scattering vector q increases, the signal uncertainty decreases. Utilizing the center position of the peak value of the first-order diffraction peak to determine the periodic information of the grating, the period of the sample was inaccurate because of the influence of uncertainty. This uncertainty is further enhanced by increasing the scattering vector q. This phenomenon is evidenced by the concordance between the theoretical peak positions of the lower-order diffraction peaks and the corresponding experimental data, whereas there is a difference between the theoretical peak positions and the experimental data peak positions of the higher-order diffraction peaks.
Considering the characteristics of the structure factor in CD-SAXS, the positions of the higher-order diffraction peaks can be used to determine the grating period. In this process, the uncertainty in the scattering signal caused by a single pixel can be divided into multiple portions, to reduce the overall uncertainty and consequently minimizing errors in fitting the grating period.
Meanwhile, gaps between the pixels from some detectors may lead to undetected peak values in the diffraction patterns, rendering the sole reliance on the maximum intensity for determining the diffraction peak centers inaccurate. The shape and positional information of each diffraction peak can be accurately determined through the method of fitting the diffraction peaks. To mitigate this deviation, a multi-peak fitting approach was employed to fit the diffraction peaks in the experimental results, while simultaneously obtaining the position information for each diffraction peak. The final fitting results aligned the peak centers of the structure factor with the diffraction peaks in the experimental results, thereby enhancing the accuracy and reliability of the measurement results.
In the process of fitting the diffraction peaks, the full width at half maximum (FWHM) determines the shape and subsequently helps ascertain the peak center position. Insufficient data points can lead to imprecise measurements of the FWHM, whicn can affect both the peak fitting and final autocorrelation coefficient.
Although narrower diffraction peaks facilitate peak position localization, they offer less data, which limits the details of the peak information. This scarcity of data complicates the distinction of the background noise in the overall fitting process. Therefore, selecting an appropriate beam size is crucial to obtain accurate fitting results.
Results and Discussion
Effect of Different Beam Sizes
Table 1 presents a comparative analysis of the CD-SAXS results with those of other measurement techniques to evaluate performance. Scanning Electron Microscopy (SEM) can provide information on the grating pitch without delving into the depth of the grating, thus preserving sample integrity. By contrast, Atomic Force Microscopy (AFM) can theoretically measure the grating depth. However, because of the relatively coarse nature of AFM probes at critical scales, crucial information within the surface topographic images may be obscured, leading to potential inaccuracies. Moreover, limitations may arise during grating depth measurements, restricting the probe’s access to the bottom of the grooves owing to neighboring gratings. Consequently, AFM struggles to provide precise depth-oriented details, offering only periodic information within the scanned grating sample.
| SEM | AFM | OCD | CD-SAXS | |
|---|---|---|---|---|
| Pitch (nm) | 98.3 | 102.3 | - | 100.5 ± 0.2 |
| Width (nm) | 49.1 | - | 49.6 | 50.0 ± 0.6 |
| Height (nm) | - | - | 129.1 | 131.3 ± 0.4 |
| Sidewall angle (°) | - | - | 1.3 | 1.1 ± 0.1 |
The Optical Critical Dimension (OCD) yields depth information but requires referencing results from AFM and SEM before the data fitting process. Accurate period determination in OCD measurements is critical for obtaining precise structural size information. Figure 4 shows the measurement results of the gratings obtained using SEM, AFM, and OCD.
_2026_04/1001-8042-2026-04-71/alternativeImage/1001-8042-2026-04-71-F004.jpg)
This study investigated the effects of various beam sizes on data acquisition and precision during the experimental process. Four distinct beam sizes were identified on the grating sample at the small-angle X-ray scattering beamline, with the smallest spot designated as P1 and the largest as P4. The beam sizes were arranged in ascending order. Figure 5 shows the shapes and dimensions of beams P1–P4,
_2026_04/1001-8042-2026-04-71/alternativeImage/1001-8042-2026-04-71-F005.jpg)
It is acknowledged that there is a degree of human error is inherent in the process of sample placement. Consequently, the results for each measured angle were affected by an error in the initial angle. In order to compensate for the error in the initial angle, the symmetry shown in Fig. 6 can be utilized. Reconstructed images of CD-SAXS measurements from different angles and different beam sizes produce an intensity map as a function of qx and qz, as shown in Fig. 6.
_2026_04/1001-8042-2026-04-71/alternativeImage/1001-8042-2026-04-71-F006.jpg)
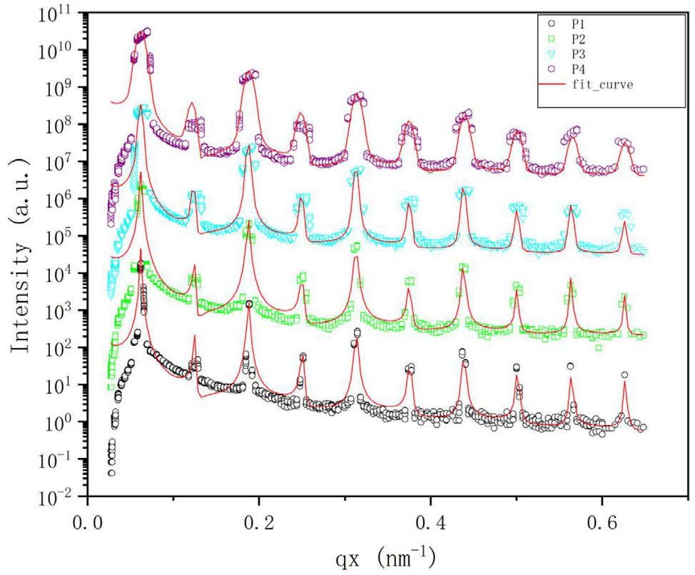
For the CD-SAXS measurements, a silver behenate sample was used to calibrate the distance from the sample to the detector, which was set to approximately 2.95 meters. When a fixed sample-to-detector distance is maintained, a smaller beam may result in data loss near the full width at half-maximum (FWHM) of the diffraction peak, as shown in Fig. 7. Detailed analysis of the results obtained from the P1 group showed that each peak existed independently in a one-dimensional curve. The measured data points were mainly distributed around the peak values of the diffraction peaks and between the neighboring diffraction peaks.
_2026_04/1001-8042-2026-04-71/alternativeImage/1001-8042-2026-04-71-F007.jpg)
Although this experiment rapidly determined the diffraction peak positions, the significant drawback is the shortage of data points near the half-maximum of the diffraction peaks, which is a phenomenon evident in the P1 curve illustrated in Fig. 7. In the process of fitting the diffraction peaks, FWHM was employed to determine the peak shapes and subsequently to determine the positions of the peak centers. The scarcity of data points resulted in large absolute values of the derivatives at the diffraction peaks’ half-maximum positions, making it difficult to accurately determine the FWHM of the peak shapes. Insufficient data points led to inaccurate measurements of the width at half-maximum, which in turn affected the fitting of the diffraction peaks and, thus the final autocorrelation coefficient.
Figure 8 reveals considerable dispersion in the P1 data points, particularly in the qz direction, where the number of data points is comparatively lower than in the other groups. This scarcity of data points makes it challenging to discern the true trend, leading to a decrease in the fitting accuracy and rendering the fitted values less reliable. Notably, the data at
_2026_04/1001-8042-2026-04-71/alternativeImage/1001-8042-2026-04-71-F008.jpg)
The results of CD-SAXS measurements using different beam sizes are summarized in Table 2. Observing the results, measurements with the smallest beam size exhibited the smallest pitch confidence interval. Although the results in this group showed minor differences in grating width, height, and sidewall angle compared to the expected values (i.e., the known critical dimensions of the reference material (RM) used in our experiments), the confidence interval for the sidewall angle was notably large. Even if many experiments were completed, the sidewall angle remained at a higher level of uncertainty in the P1 group. The significant sidewall angle uncertainty for P1 was derived from the small beam size, which resulted in experimental data that did not accurately describe the shape of the diffraction peaks. Therefore, it is challenging to provide precise information regarding shape factors. A moderate increase in the beam size for group P2 notably narrowed the confidence interval without evident deviations in the fitting results. Conversely, further beam size increases in P3 and P4 increase the uncertainty of the critical dimensions. Specifically, the fitting results for group P4 deviated noticeably from those of the other groups and the expected values, substantially reducing the measurement precision. The deviation observed in the results can be attributed to the relatively large beam size, resulting in a set of diffraction peaks with comparatively smooth and broadened profiles owing to the smear effect of scattering. This broadening of the peak profiles led to increased uncertainty in confirming the exact locations of the peak centers. In the context of CD-SAXS data fitting, it is imperative to use the values of the diffraction peaks to discern the shape factor trend, thereby extracting crucial dimensional information regarding the grating sample. The increased uncertainty in peak center identification renders the fitting algorithm more vulnerable to nearby values, thus diminishing the emphasis on peak centers and adversely affecting the shape factor determination and fitting precision. These findings highlight the significant impact of beam size on the uncertainty and precision of CD-SAXS measurements. Therefore, an appropriate beam size selection is crucial for obtaining accurate and reliable measurement results, ensuring the credibility and reproducibility of the experimental results.
| Parameter | P1 | P2 | P3 | P4 |
|---|---|---|---|---|
| Pitch (nm) | 100.3 ± 0.1 | 100.4 ± 0.2 | 100.5 ± 0.2 | 100.5 ± 0.3 |
| Width (nm) | 49.8 ± 0.6 | 49.8 ± 0.2 | 50.0 ± 0.6 | 50.3 ± 0.6 |
| Height (nm) | 130.3 ± 0.4 | 130.0 ± 0.2 | 130.3 ± 0.3 | 131.4 ± 0.5 |
| Sidewall angle (°) | 1.1 ± 0.5 | 1.1 ± 0.2 | 1.2 ± 0.2 | 1.2 ± 0.3 |
Effect of Different Energies
To thoroughly analyze the impact of X-ray photon energy on CD-SAXS measurement accuracy, this study performed CD-SAXS assessments of gratings using various X-ray photon energies while maintaining a constant beam size. In CD-SAXS experiments, scientists at NIST recommend conducting tests at energy levels greater than 17 keV. High-energy X-rays facilitate straightforward transmission through the grating sample substrate. However, this simplicity comes at the cost of reduced interaction between the X-rays and grating. Figure 9 shows the transmission rate of X-rays through a 700 μm silicon substrate at different energy levels. When the X-ray photon energy was high, the absorption of the grating sample decreased and the transmittance increased. This results in background scattering that passes through the grating and is received by the detector. To perform CD-SAXS measurements using laboratory X-ray sources, the challenge of low intensities must be addressed when performing CD–SAXS measurements using laboratory X-ray sources. Achieving high-quality scattering signals within a short time frame necessitates an improvement in photon utilization efficiency. Therefore, careful selection of the metal target in the X-ray tube is crucial for designing laboratory X-ray sources. By contrast, synchrotron radiation sources produce X-rays with exceptionally high brightness, resulting in a significantly elevated photon flux per unit area. This characteristic allows researchers to acquire a substantial amount of information from a detector within a given time period. The use of synchrotron radiation sources for CD-SAXS experiments at various X-ray photon energy levels can serve as a reference for selecting metal targets when constructing laboratory X-ray sources.
_2026_04/1001-8042-2026-04-71/alternativeImage/1001-8042-2026-04-71-F009.jpg)
The reconstructed images from CD-SAXS measurements produced an intensity map as a function of qx and qz, as shown in Fig. 10(a). The 16 keV test results revealed numerous diffraction peaks, and the peak centers of these diffraction peaks can provide information about the structural factor of the trapezoidal grating sample.
_2026_04/1001-8042-2026-04-71/alternativeImage/1001-8042-2026-04-71-F010.jpg)
As shown in Fig. 10(b), a detailed examination of the data is achieved through one-dimensional profile cuts over qx (qz=0) and qz (across all peak orders). The lack of clear spacing between diffraction peaks significantly increases the mutual interference, and excessively broad peaks reduce the resolution, which complicated the identification of the peak positions. A high resolution is crucial for CD-SAXS measurements to accurately determine periodic information. Observations at 16 keV revealed a notable broadening of the diffraction peaks, which caused adjacent peaks to obscure each other, with significant intensity variations. The second-order diffraction peak is heavily influenced by the first-order peak, posing challenges for accurate observation. Furthermore, peak widening considerably decreases the signal-to-noise ratio, creating uncertainty in the relative intensity correlation between the signals and noise. Consequently, this decreases the accuracy of the fitting results and markedly increases the uncertainty.
The CD-SAXS results obtained at 10 keV and 12 keV are shown in Fig. 11. These results were normalized to facilitate the analysis of the energy effect with various scattering cross-sections on the experimental results. Although the X-ray transmissivities at 10 keV and 11 keV were lower than those at 16 keV, the diffraction peaks were clearly distinct and did not overlap. The clear shapes of the diffraction peaks are advantageous for data fitting. In addition, the diffraction peaks were distinctly separated from the background scattering. There were significant differences in the peak heights and background intensities, which made them easy to distinguish. Higher X-ray photon energy leads to increased background scattering, as shown in Fig. 11. This decreased contrast can impair the accuracy of the peak measurement and analysis. As the X-ray energy increased, the absorption capacity of the grating sample decreased, whereas the penetration capacity increased. This implies that a larger number of X-ray photons can pass through the substrate, accompanied by a corresponding enhancement in the background signals that pass through the sample and are received by the detector. Concurrently, the scattering cross-section decreases, resulting in weakening of the intensity of each scattering event. An overall enhancement of the diffraction peak and background signals was observed; however, the signal-to-noise ratio decreased. Figure 9 shows the calculation of the scattering probability at each energy level, demonstrating that as the energy increases, the scattering probability also increases. The enhancement of the background signal reduces the signal-to-noise ratio of the diffraction pattern, which in turn results in the boundaries of the diffraction peaks becoming blurred and increasing their width. The analysis of the grating structure becomes more complex because of the indistinct positions and different diffraction peaks.
_2026_04/1001-8042-2026-04-71/alternativeImage/1001-8042-2026-04-71-F011.jpg)
In the experimental results at 10 keV and 12 keV, we can readily observe that the background scattering remains stable between the diffraction peaks and is unaffected by the presence of diffraction peaks. This reduces the uncertainties introduced by noise during the fitting process. The CD values obtained at three different energies are listed in Table 3.
| Parameter | 10 keV | 12 keV | 16 keV |
|---|---|---|---|
| Pitch (nm) | 100.8 ± 0.5 | 100.6 ± 0.3 | 101.1 ± 1.2 |
| Width (nm) | 51.0 ± 0.9 | 50.1 ± 0.4 | 50.4 ± 2.4 |
| Height (nm) | 131.9 ± 1.7 | 131.2 ± 1.3 | 132.4 ± 3.1 |
| Sidewall angle (°) | 1.3 ± 0.7 | 1.2 ± 0.3 | 1.4 ± 0.4 |
This confirmed the feasibility of CD-SAXS testing below 17 keV. As the energy of the X-rays increased, the grating parameters achieved an optimal solution, which occurred when the energy of the X-rays was 12 keV. The mean values of the height, sidewall angle, and pitch at 16 keV exhibited a notable discrepancy from the expected values. The mean width at 10keV exhibits a considerable discrepancy from the expected value. Notably, the measurement results at 12 keV exhibit the smallest confidence interval. Compared with the other two sets of results, the data at 12 keV were more accurate and relatively stable.
The dependences of CD on the X-ray beam size and photon energy are shown in Fig. 12. Clearly, the changes in these conditions affect the average measurement values and allow easy observation of the confidence intervals for each dataset. By comparing the size of the grating standard sample, different experimental conditions with high precision and small confidence intervals. This provides a basis for determining the experimental conditions for future CD-SAXS measurements.
_2026_04/1001-8042-2026-04-71/alternativeImage/1001-8042-2026-04-71-F012.jpg)
Conclusion
In this study, the critical dimensions of a grating with a half-pitch of 50nm were investigated using small-angle X-ray scattering with various spot sizes and incidence energies. We propose an effective fitting method for reconstructing grating structural information and obtaining the critical dimensions. The optimized CD values were achieved with an X-ray energy of 12 keV and a spot size of 200 μm, with a precisions of 0.2 nm for the pitch, width, and height, as well as 0.1° for the sidewall angle (SWA). This research demonstrates the significance of the beam size and confirms the viability of CD-SAXS experiments within specific energy ranges, laying the foundation for future developments and providing valuable references for laboratory setups. In conclusion, this study makes a significant contribution to CD-SAXS experimentation and paves the way for further technological advancements.
Despite its advantages, CD-SAXS technology faces several challenges that limit its current applicability. One major limitation is the requirement for a high signal-to-noise ratio (SNR) to accurately infer the key dimensions from the data. Achieving a high SNR often requires prolonged irradiation times, which can be impractical for routine laboratory use. Additionally, the low flux of laboratory X-ray sources further restricts the efficiency of CD-SAXS measurements. To address these challenges, the Mo X-ray source emerges as a favorable choice due to its balanced performance characteristics. However, the liquid-metal-jet X-ray source—particularly alloy-rich indium variants—presents a promising alternative, because it enhances the flux density by one order of magnitude while achieving smaller spot sizes (100 μm) compared with solid-target sources (500 μm with multilayer-coated Montel mirrors). These advancements align directly with our CD-SAXS measurement accuracy results, where the reduced spot size and enhanced flux synergistically improve the precision. Future efforts should prioritize optimizing such high-brightness sources along with algorithmic innovations to streamline data acquisition and analysis, and ultimately accelerate the adoption of CD-SAXS in both research and industrial metrology.
Limits on fundamental limits to computation
. Nature 512, 147-154 (2014). https://doi.org/10.1038/nature13570Fifty years of Moore’s Law
. IEEE Trans. Semicond. Manufact. 24, 202-207 (2011). https://doi.org/10.1109/tsm.2010.2096437Science and research policy at the end of Moore’s law
. Nat. Electron. 1, 14-21 (2018). https://doi.org/10.1038/s41928-017-0005-9Investigation of the initial crystallization stage in lysozyme solutions by small-angle X-ray scattering
. Cryst. Growth Des. 16, 1792-1797 (2016). https://doi.org/10.1021/acs.cgd.5b01662Determination of the internal morphology of nanostructures patterned by directed self-assembly
. ACS Nano 8, 8426-8437 (2014). https://doi.org/10.1021/nn5029289Characterizing patterned block copolymer thin films with soft X-rays
. ACS Appl. Mater. Interfaces 9, 31325-31334 (2017). https://doi.org/10.1021/acsami.7b02791Small angle X-ray scattering measurements of lithographic patterns with sidewall roughness from vertical standing waves
. Appl. Phys. Lett. 90,Can ultra-thin Si FinFETs work well in the sub-10 nm gate-length region?
. Nanoscale 13, 5536-5544 (2021). https://doi.org/10.1039/D0NR09094HMonolithic three-dimensional integration of carbon nanotube FET complementary logic circuits
. 2013 IEEE International Electron Devices Meeting, DC, 2013, pp. 19.7.1-19.7.4, https://doi.org/10.1109/IEDM.2013.6724663Atomic force microscopy as a tool for atom manipulation
. Nat. Nanotechnol. 4, 803-810 (2009). https://doi.org/10.1038/nnano.2009.347Modeling the effect of line profile variation on optical critical dimension metrology
. Proc. Spie. 6518,Metrology for the next generation of semiconductor devices
. Nat. Electron. 1, 532-547 (2018). https://doi.org/10.1038/s41928-018-0150-9Synchrotron radiation-based materials characterization techniques shed light on molten salt reactor alloys
. Nucl. Sci. Tech. 31, 6 (2020). https://doi.org/10.1007/s41365-019-0719-7Correction of distorted X-ray absorption spectra collected with capillary sample cell
. Nucl. Sci. Tech. 34, 106 (2023). https://doi.org/10.1007/s41365-023-01253-9The protein complex crystallography beamline (BL19U1) at the Shanghai Synchrotron Radiation Facility
. Nucl. Sci. Tech. 30, 170 (2019). https://doi.org/10.1007/s41365-019-0683-2Solution scattering at the Life Science X-ray Scattering (LiX) beamline
. Journal of Synchrotron Radiation 27, 804-812 (2020).Scanning structural mapping at the Life Science X-ray Scattering Beamline
. J Synchrotron Radiat 29, 540-548 (2022). https://doi.org/10.1107/S1600577521013266.Development in small-angle X-ray scattering (SAXS) for characterizing the structure of surfactant-macromolecule interaction and their complex
. International Journal of Biological Macromolecules. 251,Iterative and accurate determination of small angle X-ray scattering background
. Nucl. Sci. Tech. 27, 105 (2016). https://doi.org/10.1007/s41365-016-0108-4BL19U2: Small-angle X-ray scattering beamline for biological macromolecules in solution at SSRF
. Nucl. Sci. Tech. 31, 117 (2020). https://doi.org/10.1007/s41365-020-00825-3Biophysical analysis and small-angle X-ray scattering-derived structures of MeCP2–nucleosome complexes
. Nucleic Acids Research 39, 4122-4135 (2011). https://doi.org/10.1093/nar/gkr005In situ studies on the positive and negative effects of 1,8-diiodoctane on the device performance and morphology evolution of organic solar cells
. Nucl. Sci. Tech. 32, 57 (2021). https://doi.org/10.1007/s41365-021-00893-zOrigin of the X-Ray-induced damage in perovskite solar cells
. IEEE Trans. Nucl. Sci. 69, 1850-1856 (2022). https://doi.org/10.1109/TNS.2022.3190200Small angle X-ray scattering for sub-100 nm pattern characterization
. Appl. Phys. Lett. 83, 4059-4061 (2003). https://doi.org/10.1063/1.1622793Everything SAXS: small-angle scattering pattern collection and correction
. J. Phys. Condens. Matter 26,Three-dimensional crossbar arrays of self-rectifying Si/SiO2/Si memristors
. Nat. Commun. 8, 15666 (2017). https://doi.org/10.1038/ncomms15666Critical dimension small angle X-ray scattering measurements of FinFET and 3D memory structures
. in 27th Conference on Metrology, Inspection, and Process Control for Microlithography, 27th Conference on Metrology, Inspection, and Process Control for Microlithography San Jose, CA, 2013. (Spie-Int Soc Optical Engineering,BELLINGHAM, 2013).Characterization of correlated line edge roughness of nanoscale line gratings using small angle x-ray scattering
. J. Appl. Phys. 102,Sub-50 nm p-channel FinFET
. IEEE Trans. Electron Devic. 48, 880-886 (2001). https://doi.org/10.1109/16.91823Variational principles for scattering processes
. Phys. Rev. 79, 469-480 (1950). https://doi.org/10.1103/PhysRev.79.469Determining the shape and periodicity of nanostructures using small-angle X-ray scattering
. J. Appl. Crystallogr. 48, 1355-1363 (2015). https://doi.org/10.1107/s1600576715013369Extended pseudo-Voigt function for approximating the Voigt profile
. J. Appl. Crystallogr. 33, 1311-1316 (2000). https://doi.org/10.1107/s0021889800010219Curve fitting and optimal design for prediction
. J. R. Stat. Soc. B 40, 1-42 (1978). https://doi.org/10.1111/j.2517-6161.1978.tb01643.xParameter optimization for B-spline curve fitting based on adaptive genetic algorithm
. J. Comput. Appl. 30, 1878-1882 (2010). https://doi.org/10.3724/SP.J.1087.2010.0187A rapid and accurate gamma compensation method based on double response curve fitting for high-quality fringe pattern generation
. Optics & Laser Technology. 160,Maneuver target detection method with iterative endpoint fitting assisted
. Lecture Notes in Electrical Engineering. 256, 839-846 (2013). https://doi.org/10.1007/978-3-642-38466-0_93Bayesian regression and classification using Gaussian process priors indexed by probability density functions
. Inf. Sci. 548, 56-68 (2021). https://doi.org/10.1016/j.ins.2020.09.027Bayesian network classification for aster data based on wavelet transformation
. Proceedings of SPIE - The International Society for Optical Engineering 5985,The authors declare that they have no competing interests.

