introduction
The properties of strongly interacting matter described by the quantum chromodynamics (QCD) in extreme conditions of temperature T and density have aroused a plethora of experimental studies in the last thirty years [1, 2]. The experiment studies performed at the Relativistic Heavy Ion Collider (RHIC) in BNL and the Large Hadron Collider (LHC) in CERN have revealed that a new deconfined state of matter, the quark-gluon plasma (QGP), can be created at high temperature. Further, the non-central heavy-ion collisions produce the strongest magnetic fields and orbital angular momenta, which can induce a number of novel phenomena [3-5]. The lattice QCD calculation, which is a powerful gauge invariant approach to investigate the non-perturbative properties, has also confirmed that the phase transition is a smooth and continuous crossover for vanishing chemical potential [7, 6]. Owing to the so-called fermion sign problem [8], lattice QCD simulation is limited to low finite density [9, 10], even though several calculation techniques, such as the Taylor expansion [11, 12], analytic continuations from imaginary to real chemical potential [13, 14], and multi-parameter reweighting method [15], have been proposed to address this problem and improve the validity at high chemical potential. More detailed reviews of lattice calculation can be found in Refs. [16, 17]. Alternatively, one also can rely on effective models, the Dyson–Schwinger equation approach [18, 19] and the functional renormalization group approach [20, 21], to study the chiral aspect of QCD for finite baryon chemical potential μB. Currently, there are various QCD inspired effective models, such as the Nambu–Jona–Lasinio (NJL) model [22, 23], Polyakov-loop enhanced NJL (PNJL) model [24, 25], Quark-Meson (QM) model [26, 27], and Polyakov QM (PQM) model [28, 29], which not only can successfully describe the spontaneous chiral symmetry breaking and restoration of QCD but also have been applied to explore the QCD phase structure and internal properties of the meson at arbitrary T and μB. These model calculations have predicted that at high chemical potential, the phase transition is a first-order phase transition, and with decreasing μB, the first-order phase transition has to end at a critical end point (CEP) and change into a crossover. At this CEP the phase transition is of second order. However, owing to various approximations adopted in the model calculations, there is no agreement on the existence and location of the CEP in the phase diagram. Furthermore, the rotation effects [30, 31], magnetic field effects [32-35], finite-volume effects [36-40], non-extensive effects [41, 42], external electric fields [43-45], and chiral chemical potential effects [46-49] have also been considered in the effective models to provide a better insight into the phase transition of the realistic QCD plasma.
Apart from the QCD phase structure information, the transport coefficients, characterizing the non-equilibrium dynamical evolution of QCD matter in heavy-ion collisions [50-52], have also attracted significant attention. The shear viscosity η, which quantifies the rate of momentum transfer in a fluid with inhomogeneous flow velocity, has been successfully used in the viscous relativistic hydrodynamic description of the QGP bulk dynamics. The small shear viscosity to entropy density ratio η/s can be extracted from the elliptic flow data [53]. In the literature, there are various frameworks for estimating the η of strongly interacting matter, e.g., the kinetic theory within the relaxation time approximation (RTA), QCD effective models [54-58], the quasiparticle model (QPM) [60, 59], and the lattice QCD simulation [61]. The electrical conductivity σel, as the response of a medium to an applied electric field, has also attracted attention in high energy physics. The presence of σel not only can affect the duration and strength of magnetic fields [62], but also is directly proportional to the emissivity and production of soft photons [63, 64]. The thermal behavior of σel has been estimated using different approaches, such as the microscopic transport models [65-67], lattice gauge theory simulation [68, 69], hadron resonance gas model [70, 71], quasiparticle models [72, 73], effective models [54, 74], string percolation model [75], and holographic method [76]. Recently, studies of electrical conductivity in QGP in the presence of magnetic fields have also been performed [77-79]. Another less concerned but interesting coefficient is the Seebeck coefficient (also called thermopower). When a spatial gradient of temperature exists in a conducting medium, a corresponding electric field can arise and vice versa, which is the Seebeck effect. When the electric current induced by an electric field can compensate with the current owing to the temperature gradient, the thermal diffusion ends. Accordingly, the efficiency of converting the temperature gradient to an electric field in the open circuit condition is quantified by the Seebeck coefficient S. In past years, the Seebeck effect has been extensively investigated in condensed matter physics. Very recently, the exploration has been extended to the hot QCD matter. For example, the Seebeck coefficient with and without magnetic fields has been studied in both the hadronic matter [80, 81] and QGP [82, 83]. In Ref. [84], the Seebeck coefficient has also been estimated based on the NJL model, where the spatial gradient of the quark chemical potential is considered in addition to the presence of a temperature gradient.
In the initial stages of a HIC, the pressure gradient of the created fireball along the beam direction (denoted as longitudinal z direction) is significantly lower than that along the transverse direction. After the rapid expansion of the medium along the beam direction, the system becomes much colder in the beam direction than the transverse direction, which causes the QGP to possess a local momentum anisotropy, and this anisotropy can survive during the entire evolution of the medium [85]. In addition, the presence of a strong magnetic field can also induce a local anisotropy in the momentum space. Inspired by the presence of momentum-space anisotropy in HICs, the primary objective of the present work is to study phenomenologically its effect on the chiral phase structure, mesonic properties, and transport coefficients in the SU(2) NJL model. To incorporate the momentum anisotropy into numerical calculations, we follow the anisotropic distribution function parametrization method proposed by Romatschke and Strickland [86],
This paper is organized as follows: Sect. 2 provides a brief review of the basic formalism of the 2-flavor NJL model. In Sect. 3 and Sect. 4, we present a brief derivation of the expressions associated with the constituent quark mass and meson mass spectrum in both an isotropic and anisotropic medium. Section 5 includes the detailed procedure for obtaining the formulae of momentum-anisotropy-dependent transport coefficients. In Sect. 6, we present the estimation of the relaxation time for (anti-)quarks. The numerical results for various observables are phenomenologically analyzed in Sect. 7. In Sect. 8, the present work is summarized with an outlook. The formulae for the squared matrix elements in different quark-(anti-)quark elastic scattering processes are presented in the Appendix.
Theoretical frame
In this work, we start from the standard two-flavor NJL model, which is a purely fermionic theory owing to the absence of all gluonic degrees of freedom. Accordingly, the lagrangian is given as [22]
In the NJL model, under the mean field (or Hartree) approximation [22, 23], the quark self-energy is momentum-independent and can be identified as the constituent quark mass mq, which acts as order parameter for characterizing the chiral phase transition. For an off-equilibrium system, the evolution of the space–time dependence of the constituent quark mass in the real time formalism can be obtained by solving the gap equation [96]
To better understand the meson dynamics in HICs, it is useful to study the structure of the meson propagation in the medium. In the framework of the NJL model, mesons are bound states of quarks and antiquarks (collective modes), and the meson propagator can be constructed by calculating the quark–antiquark effective scattering amplitude within the random phase approximation (RPA) [23, 96, 98]. Following Refs. [96, 98], the explicit form for the pion (π) and the sigma meson (σ) propagators in the RPA reads as
Constituent quark and meson in an isotropic quark matter
In an expanding system (e.g., the dynamical process of heavy-ion collisions), the space–time dependence in the phase–space distribution function is hidden in the space–time dependence of temperature and chemical potential. However, for a uniform temperature and chemical potential, i.e., for a system in global equilibrium, the distribution function is well defined and independent of space–time. Therefore, in the equilibrium (isotropic) state, to investigate the chiral phase transition and mesonic properties within the NJL model, one can employ the imaginary-time formalism. Actually, the results in Ref. [96] have indicated that the real-time calculation of the closed time-path Green’s function reproduces exactly the finite temperature result of the NJL model obtained from the Matsubara’s temperature Green’s function in the thermodynamical equilibrium limit. In the following, we will briefly present the procedure for the derivation of the polarization function in the imaginary time formalism. In an equilibrium system, mq, which is temperature- and quark chemical potential-dependent, can be directly calculated from the self-consistent gap equation in momentum space [23, 22]:
Constituent quark and meson in a weakly anisotropic medium
As mentioned in the introduction, the consideration of momentum anisotropy induced by rapid expansion of the hot QCD medium for existing phenomenological applications is mostly achieved by parameterizing the associated isotropic distribution functions. To proceed with the numerical calculation, a specific form of anisotropic (non-equilibrium) momentum distribution function is required. In this work, we utilized the Romatschke–Strickland (RS) form [86] in which the system exhibits a spheroidal momentum anisotropy, and the anisotropic distribution was obtained from an arbitrary isotropic distribution function by removing the particle with a momentum component along the direction of anisotropy,
Transport coefficients in an anisotropic quark matter
In this section, we study the effects due to the local anisotropy of the plasma in the momentum space on the transport coefficients (shear viscosity, electrical conductivity, and Seebeck coefficient). The calculation is performed in the kinetic theory that is widely used to describe the evolution of the non-equilibrium many-body system in the dilute limit. Assuming that the system has a slight deviation from the equilibrium, the relaxation time approximation (RTA) can be reasonably employed. The momentum anisotropy is encoded in the phase-space distribution function, which evolves according to the relativistic Boltzmann equation. We provide the following procedures for deriving the ξ-dependent transport coefficients.
Shear viscosity
The propagation of a single quasiparticle with temperature- and chemical potential-dependent mass in an anisotropic medium is described by the relativistic Boltzmann–Vlasov equation [101]
Electrical conductivity and Seebeck coefficient
We also investigate the effect of momentum anisotropy on the electrical conductivity and thermoelectric coefficient. Under the RTA, the relativistic Boltzmann–Vlasov equation for the distribution function of single-quasiparticle of charge ea in the presence of an external electromagnetic field is given by
computation of the relaxation time
To quantify the transport coefficients, one needs to specify the relaxation time. In present work, the scattering processes of (anti)quarks through the exchange of mesons are encoded into the estimation of the relaxation time.
The relaxation times of (anti)quarks are microscopically determined by the thermal-averaged elastic scattering cross section and particle density. For light quarks, the relaxation time in the RTA can be written as [57]
Results and discussion
Throughout this work, the following parameter set is used: m0=m0,u=m0,d=5.6 MeV, GΛ2=2.44 and Λ=587.9 MeV. These values are taken from Ref. [117], where these parameters are determined by fitting quantities in the vacuum (T=μ=0 MeV). At T=0, the chiral symmetry is spontaneously broken and one obtains the current pion mass m0,π=135 MeV, pion decay constant fπ=92.4 MeV, and quark condensate
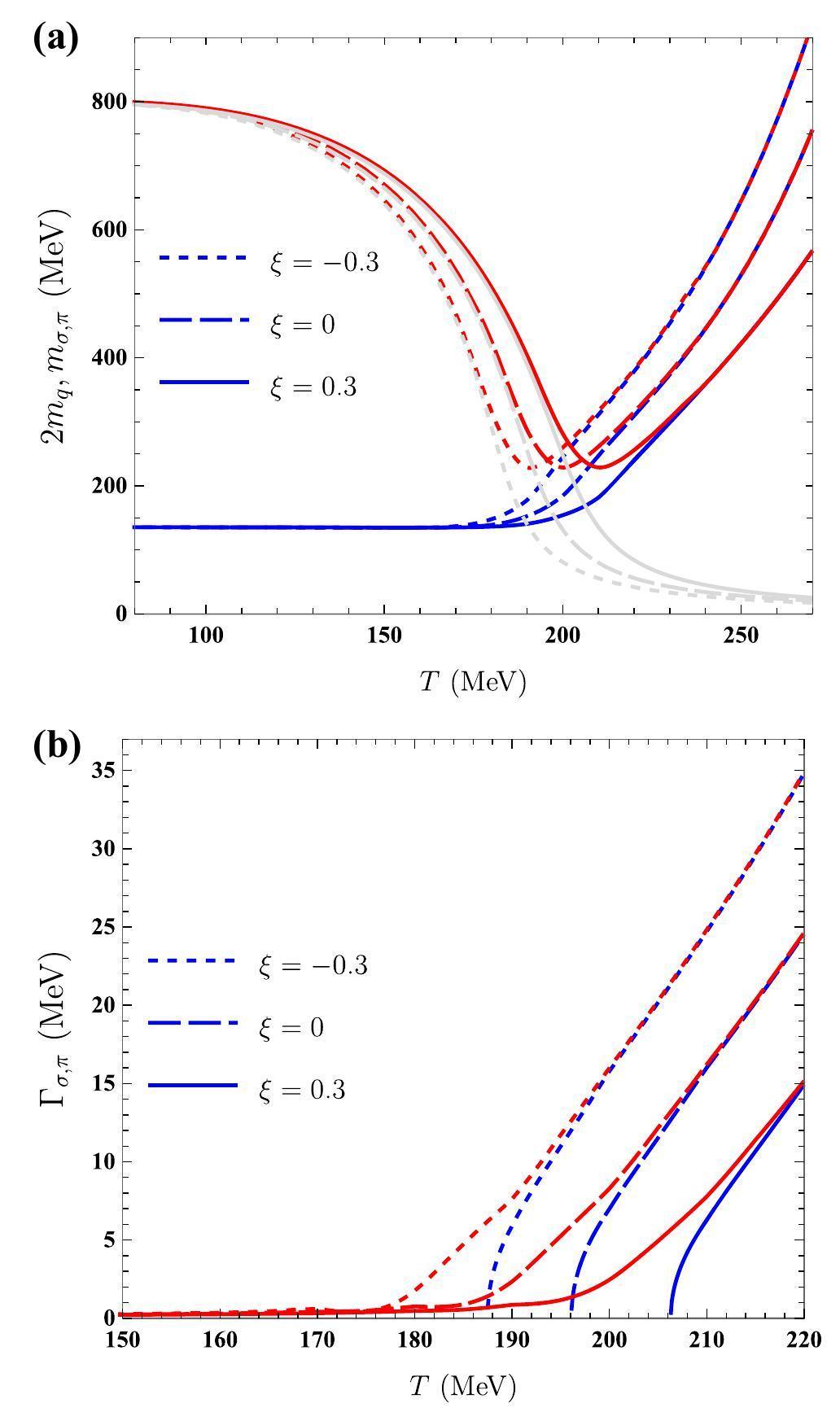
In the NJL model, the constituent quark mass is a good indicator and an order parameter for analyzing the dynamical feature of chiral phase transition. In the asymptotic expansion-driven momentum anisotropic system, the anisotropy parameter ξ is always positive owing to the rapid expansion along the beam direction. However, in the presence of a strong magnetic ξ, it becomes negative because of the reduction in transverse momentum due to Landau quantization. As we restrict the analysis to only a weakly anisotropic medium, the anisotropy parameter we address here is artificially taken as ξ=-0.3, 0.0, 0.3 to investigate phenomenologically the effect of ξ on various quantities. In Fig. 1 (a), we show the thermal behavior of the light constituent quark mass mq for vanishing quark chemical potential at different ξ. For low temperature, mq remains approximately constant at (
-202211/1001-8042-33-11-015/alternativeImage/1001-8042-33-11-015-F001.jpg)
In this work, the chiral critical temperature, Tc, was determined by the peak location of the associated chiral susceptibility χch, which is defined as
-202211/1001-8042-33-11-015/alternativeImage/1001-8042-33-11-015-F002.jpg)
We continue the analysis in the finite quark chemical potential case to investigate the effect of momentum anisotropy on the phase boundary and CEP position. First, we display the temperature- and quark chemical potential-dependence of constituent quark mass mq for different anisotropy parameters, as shown in Fig. 3. We can observe that at a small μ, mq continuously decreases with increasing T, whereas mq has a significant discontinuity or a sharp drop along the T-axis at sufficiently high μ, which is usually considered as the appearance of a first-order phase transition. To visualize the phase diagram, we use the significant divergency of χch at sufficiently high chemical potential as the criterion for a first-order phase transition, as shown in Fig. 4. With the decrease in μ, the first-order phase transition terminates at a CEP, where the phase transition is expected to be of second order. As μ decreases further, the maximum of the chiral susceptibility (χch) as the crossover criterion. The full chiral boundary lines in the (μ-T) plane for three different values of ξ are displayed in Fig. 5. We observe that as ξ increases, the phase boundary shifts toward higher quark chemical potentials and higher temperatures. We observe that the CEP appears in the low temperature and high chemical potential regions. Once the effect of momentum anisotropy (ξ>0) is taken into account, the rapid expansion and fast cooling of the created fireball along the beam direction make the temperature of the anisotropic system lower than that of the isotropic system under the same conditions. By modifying the distribution function in the gap equation, we can study the influence of momentum anisotropy on the position of the CEP. It is noted that the criteria for determining the CEP position remain the same for both isotopic and anisotropic systems. Therefore, as ξ increases, the momentum component (temperature) in the anisotropic distribution function
-202211/1001-8042-33-11-015/alternativeImage/1001-8042-33-11-015-F003.jpg)
-202211/1001-8042-33-11-015/alternativeImage/1001-8042-33-11-015-F004.jpg)
-202211/1001-8042-33-11-015/alternativeImage/1001-8042-33-11-015-F005.jpg)
To better understand the qualitative behavior of the transport coefficients in the quark matter, we first discuss the results of the scattering cross sections and the relaxation time. In Fig 6, we display the total cross section of quark–quark scattering processes
-202211/1001-8042-33-11-015/alternativeImage/1001-8042-33-11-015-F006.jpg)
The dependence of total quark relaxation time τq on temperature for vanishing quark chemical potential at different ξ is displayed in Fig. 7. As can be observed, τq first decreases sharply with increasing temperature, and after an inflection point (viz, the peak position of
-202211/1001-8042-33-11-015/alternativeImage/1001-8042-33-11-015-F007.jpg)
Next, we discuss the results regarding various transport coefficients. In Fig. 8, the temperature dependence of scaled shear viscosity η/T3 in quark matter for different momentum anisotropy parameters at a vanishing chemical potential is displayed. We observe that with increasing temperature, η/T3 first decreases, reaches a minimum around the critical temperature, and increases afterwards. The temperature position for the minimum η/T3 is consistent with the temperature for the peak
-202211/1001-8042-33-11-015/alternativeImage/1001-8042-33-11-015-F008.jpg)
In Fig. 9, we plot the thermal behavior of scaled electrical conductivity σel/T at μ=0 MeV for different ξ. Similar to the temperature dependence of η/T3, σel/T also exhibits a dip structure in the entire temperature region of interest. We also present the comparison with other previous results. The result obtained from the PHSD approach [66] (brown stars), where the plasma evolution is solved by a Kadanoff–Baym type equation, also has a valley structure, even though the location of the minimum is different from ours. We also observe that in the temperature region dominated by the hadronic phase, the thermal behavior of σel/T using the microscopic simulation code SMASH [65] (pink open circles) is similar to ours. Furthermore, our result is much larger than the lattice QCD data (dark yellow dots) taken from Ref. [69] owing to the uncertainty in the parameter set and absence of gluonic dynamics. The result within the excluded volume hadron resonance gas (EVHRG) model [71] (cyan dash-dotted line) and the result obtained from the partonic cascade BAMPS [67] (gray thick dash-dotted line) are qualitatively and quantitively similar to our calculations below the critical temperature and beyond the critical temperature, respectively. Our result is similar to that of Marty et al. obtained within the Nf=3 NJL model [54] (green dotted line), with the numerical discrepancy mainly coming from the differences in the values of the model parameter set and scattering cross sections. At low T, the absolute values of both the first and second terms in Eq. (54) increase as ξ increases. However, the variation of the first term is larger than that of the second term, which results in an enhancement of σel/T. At high T, the decreasing feature of relaxation time with ξ can weaken the increasing behavior of σel/T with ξ, and the values of σel/T for different ξ gradually approach and eventually overlap. Our qualitative result of σel/T is different from the result in Ref. [73], where the σel/T of the QGP is a monotonic decreasing function of ξ. This occurs because the effect of momentum anisotropy is not incorporated in the calculation of the relaxation time and the effective mass of quasiparticles, as the ξ dependence of σel/T is only determined by the anisotropic distribution function. We also observe that with the increase in ξ, the minimum of σel/T shifts to higher temperatures, which is similar to η/T3. However, the height of the minimum increases, which is opposite to η/T3.
-202211/1001-8042-33-11-015/alternativeImage/1001-8042-33-11-015-F009.jpg)
Finally, we study the Seebeck coefficient S in quark–antiquark matter. Owing to the sensitivity of S to the charge of particle species, at a vanishing chemical potential, quark number density nq is equal to antiquark number density
-202211/1001-8042-33-11-015/alternativeImage/1001-8042-33-11-015-F010.jpg)
Summary
We phenomenologically investigated the impact of weak momentum-space anisotropy on the chiral phase structure, mesonic properties, and transport properties of quark matter in the 2-flavor NJL model. The momentum anisotropy, which is induced by the initial preferential expansion of the created fireball in heavy-ion collisions along the beam direction, can be incorporated in the calculation through the parameterization of the anisotropic distribution function. Our result has shown that the chiral phase transition is a smooth crossover for vanishing quark chemical potential, independent of the anisotropy parameter ξ, and an increase in ξ can even hinder the restoration of the chiral symmetry. We found that the CEP is highly sensitive to the change in ξ. With the increase in ξ, the CEP shifts to higher μ and smaller T, and the momentum anisotropy affects the CEP temperature to almost the same degree as it affects the CEP chemical potential. Before the merge of π and σ meson masses, the ξ dependence of the π meson mass is opposite to that of the σ meson mass.
We also studied the thermal behavior of various transport coefficients, such as the scaled shear viscosity η/T3, scaled electrical conductivity σel/T, and Seebeck coefficient S at different ξ. The associated ξ-dependent expressions are derived by solving the relativistic Boltzmann–Vlasov transport equation in the relaxation time approximation, and the momentum anisotropy effect is also embedded in the estimate of relaxation time. We found that η/T3 and σel/T have a dip structure around the critical temperature. Within the consideration of momentum anisotropy, η/T3 decreases as ξ increases and the minimum shifts to higher temperatures. With the increase in ξ, σel/T significantly increases at low temperature, whereas its sensitivity to ξ at high temperature is significantly reduced, which is different from the behavior of η/T3 with respect to ξ. We also found that the sign of S at μ=100 MeV was positive, indicating that the dominant carriers for converting the thermal gradient to the electric field are up quarks. With increasing temperature, S first decreases sharply and then almost flattens out. At low temperature, S significantly increases with the increase in ξ, whereas at high temperature the rise is marginal compared to the value of S itself.
We note that it is of considerable interest to include the Polyakov-loop potential in the present model to study both chiral and confining dynamics in a weakly anisotropic quark matter. A more general ellipsoidal momentum anisotropy characterized by two independent anisotropy parameters is then needed to gain a deeper understanding of the QGP properties. In the present work, no proper time dependence was given to the anisotropy parameter. However, in a realistic case, ξ varies with the proper time starting from the initial proper time up to a time when the system becomes isotropic. Thus, a proper time dependent anisotropy parameter [119] needs to be introduced to better explore the effect of time-dependent momentum anisotropy on chiral phase transition. For the strongly longitudinal expanding QCD matter, the investigation of chiral phase transition needs to be performed by numerically solving both the Vlasov equation and gap equation concurrently and continuously. In this case, the phase diagram of a strongly expanding system is a map in the space–time plane rather than in the T-μ plane. In addition, the investigation of the thermoelectric coefficients, especially the magneto-Seebeck coefficient and Nernst coefficient in magnetized quark matter, based on the PNJL model would be an attractive direction, and we plan to work on it in the near future.
An experimental review of open heavy flavor and quarkonium production at RHIC
. Nucl. Sci. Tech. 31, 81 (2020). doi: 10.1007/s41365-020-00785-8Energy and centrality dependence of light nuclei production in relativistic heavy-ion collisions
. Nucl. Sci. Tech. 33, 45 (2022). doi: 10.1007/s41365-022-01028-8Recent developments in chiral and spin polarization effects in heavy-ion collisions
. Nucl. Sci. Tech. 31, 90 (2020). doi: 10.1007/s41365-020-00801-xAnomalous chiral transports and spin polarization in heavy-ion collisions
. Nucl. Sci. Tech. 31, 56 (2020). doi: 10.1007/s41365-020-00764-zSpin polarization formula for Dirac fermions at local equilibrium
. Sci. China Phys. Mech. Astron. 65, 272011 (2022). doi: 10.1007/s11433-022-1903-8The Order of the quantum chromodynamics transition predicted by the standard model of particle physics
. Nature 443, 675 (2006). doi: 10.1038/nature05120Equation of state in (2+1)-flavor QCD
. Phys. Rev. D 90, 094503 (2014). doi: 10.1103/PhysRevD.90.094503The QCD Sign Problem for Small Chemical Potential
. Phys. Rev. D 75, 116003 (2007). doi: 10.1103/PhysRevD.75.116003Chiral Symmetry Breaking in QCD at Finite Temperature and Density
. Phys. Lett. B 231, 463 (1989). doi: 10.1016/0370-2693(89)90695-3Chiral Restoration at Finite Density and Temperature
. Nucl. Phys. A 504, 668 (1989). doi: 10.1016/0375-9474(89)90002-XPressure and nonlinear susceptibilities in QCD at finite chemical potentials
. Phys. Rev. D 68, 034506 (2003). doi: 10.1103/PhysRevD.68.034506The Equation of state for two flavor QCD at nonzero chemical potential
. Phys. Rev. D 68, 014507 (2003). doi: 10.1103/PhysRevD.68.014507Making the most of Taylor expansion and imaginary μ
. J. Phys. Conf. Ser. 432, 012016 (2013). doi: 10.1088/1742-6596/432/1/012016The Nf=2 QCD chiral phase transition with Wilson fermions at zero and imaginary chemical potential
. Phys. Rev. D 93, 114507 (2016). doi: 10.1103/PhysRevD.93.114507A New method to study lattice QCD at finite temperature and chemical potential
. Phys. Lett. B 534, 87 (2002). doi: 10.1016/S0370-2693(02)01583-6The phase diagram of nuclear and quark matter at high baryon density
. Prog. Part. Nucl. Phys. 72, 99 (2013). doi: 10.1016/j.ppnp.2013.05.003Properties of hot and dense matter from relativistic heavy ion collisions
. Phys. Rept. 621, 76 (2016). doi: 10.1016/j.physrep.2015.12.003Collective perspective on advances in Dyson-Schwinger Equation QCD
. Commun. Theor. Phys. 58, 79-134 (2012). doi: 10.1088/0253-6102/58/1/16QCD at finite temperature and chemical potential from Dyson-Schwinger equations
, Prog. Part. Nucl. Phys. 105, 1-60 (2019). doi: 10.1016/j.ppnp.2019.01.002Renormalization group approach towards the QCD phase diagram
. Phys. Part. Nucl. 39, 1025-1032 (2008). doi: 10.1134/S1063779608070083Introduction to the functional RG and applications to gauge theories
. Lect. Notes Phys. 852, 287-348 (2012). doi: 10.1007/978-3-642-27320-9_6Dynamical Model of Elementary Particles Based on an Analogy with Superconductivity. 1
. Phys. Rev. 122, 345-358 (1961). doi: 10.1103/PhysRev.122.345Dynamical Model of Elementary Particles Based on an Analogy with Superconductivity. 2
. Phys. Rev. 124, 246-254 (1961). doi: 10.1103/PhysRev.124.246Thermodynamics of the PNJL model
. Eur. Phys. J. C 49, 213 (2007). doi: 10.1140/epjc/s10052-006-0065-xPhase diagrams in the three-flavor Nambu-Jona-Lasinio model with the Polyakov loop
. Phys. Rev. D 77, 114028 (2008). doi: 10.1103/PhysRevD.77.114028Susceptibilities near the QCD (tri)critical point
. Phys. Rev. D 75, 085015 (2007). doi: 10.1103/PhysRevD.75.085015The three-flavor chiral phase structure in hot and dense QCD matter
. Phys. Rev. D 79, 014018 (2009). doi: 10.1103/PhysRevD.79.014018The Phase Structure of the Polyakov-Quark-Meson Model
. Phys. Rev. D 76, 074023 (2007). doi: 10.1103/PhysRevD.76.074023QCD critical region and higher moments for three flavor models
. Phys. Rev. D 85, 034027 (2012). doi: 10.1103/PhysRevD.85.034027Chiral phase transition inside a rotating cylinder within the Nambu–Jona-Lasinio model
. Phys. Rev. D 102, 114023 (2020). doi: 10.1103/PhysRevD.102.114023Pairing Phase Transitions of Matter under Rotation
. Phys. Rev. Lett. 117, 192302 (2016). doi: 10.1103/PhysRevLett.117.192302Deconfinement and Chiral Symmetry Restoration in a Strong Magnetic Background
. Phys. Rev. D 83, 034016 (2011). doi: 10.1103/PhysRevD.83.034016Entanglement between chiral and deconfinement transitions under strong uniform magnetic background field
. Phys. Rev. D 83, 117901 (2011). doi: 10.1103/PhysRevD.83.117901QCD phase diagram in a magnetic background for different values of the pion mass
. Phys. Rev. D 98, 054509 (2018). doi: 10.1103/PhysRevD.98.054509The QCD phase diagram for external magnetic fields
. JHEP 1202, 044 (2012). doi: 10.1007/JHEP02(2012)044Chiral phase transition from the Dyson-Schwinger equations in a finite spherical volume
. Chin. Phys. C 43, 063101 (2019). doi: 10.1088/1674-1137/43/6/063101Effect of fluctuations on the QCD critical point in a finite volume
. Phys. Rev. D 90, 054012 (2014). doi: 10.1103/PhysRevD.90.054012Thermodynamic Properties of Strongly Interacting Matter in Finite Volume using Polyakov-Nambu-Jona-Lasinio Model
. Phys. Rev. D 87, 054009 (2013). doi: 10.1103/PhysRevD.87.054009Influence of Finite Volume Effect on the Polyakov Quark–Meson Model
. Universe 5, 94 (2019). doi: 10.3390/universe5040094Finite size effect on Dissociation and Diffusion of chiral partners in Nambu-Jona-Lasinio model
. Chin. Phys. C 46, 044102 (2022). doi: 10.1088/1674-1137/ac3defQCD chiral phase transition and critical exponents within the nonextensive Polyakov-Nambu-Jona-Lasinio model
. Chin. Phys. C 45, 073105 (2021). doi: 10.1088/1674-1137/abf8a2Chiral Phase Transition in Linear Sigma Model with Nonextensive Statistical Mechanics
. Adv. High Energy Phys. 2017, 4135329 (2017). doi: 10.1155/2017/4135329Deconfinement and chiral phase transitions in quark matter with a strong electric field
. Phys. Rev. D 101, 016017 (2020). doi: 10.1103/PhysRevD.101.016017Influence of chiral chemical potential, parallel electric, and magnetic fields on the critical temperature of QCD
. Phys. Rev. D 94, 116003 (2016). doi: 10.1103/PhysRevD.94.116003Chiral phase transition and Schwinger mechanism in a pure electric field
. Phys. Rev. D 93, 016007 (2016). doi: 10.1103/PhysRevD.93.016007Chiral transition and the chiral charge density of the hot and dense QCD matter
. JHEP 2006, 122 (2020). doi: 10.1007/JHEP06(2020)122QCD phase diagram with a chiral chemical potential
. Phys. Rev. D 93, 074037 (2016). doi: 10.1103/PhysRevD.93.074037Effect of the chiral chemical potential on the chiral phase transition in the NJL model with different regularization schemes
. Phys. Rev. D 94, 014026 (2016). doi: 10.1103/PhysRevD.94.014026Thermodynamics of quark matter with a chiral imbalance
. Phys. Rev. D 94, 074011 (2016). doi: 10.1103/PhysRevD.94.074011Recent development of hydrodynamic modeling in heavy-ion collisions
, Nucl. Sci. Tech. 31, 122 (2020). doi: 10.1007/s41365-020-00829-zDynamically Exploring the QCD Matter at Finite Temperatures and Densities: A Short Review
. Chin. Phys. Lett. 38, 081201 (2021). doi: 10.1088/0256-307X/38/8/081201Bulk viscosity of interacting magnetized strange quark matter
. Nucl. Sci. Tech. 32, 111 (2021). doi: 10.1007/s41365-021-00954-3Viscosity Information from Relativistic Nuclear Collisions: How Perfect is the Fluid Observed at RHIC?
. Phys. Rev. Lett. 99, 172301 (2007). doi: 10.1103/PhysRevLett.99.172301Transport coefficients from the Nambu-Jona-Lasinio model for SU(3)f
. Phys. Rev. C 88, 045204 (2013). doi: 10.1103/PhysRevC.88.045204Shear and bulk viscosities of quark matter from quark-meson fluctuations in the Nambu–Jona-Lasinio model
. Phys. Rev. C 93, 045205 (2016). doi: 10.1103/PhysRevC.93.045205Shear viscosity and phase diagram from Polyakov–Nambu–Jona-Lasinio model
. Phys. Rev. D 91, 054005 (2015). doi: 10.1103/PhysRevD.91.054005Transport properties of a quark plasma and critical scattering at the chiral phase transition
. Phys. Rev. D 51, 3728 (1995). doi: 10.1103/PhysRevD.51.3728Elastic scattering and transport coefficients for a quark plasma in SU-f(3) at finite temperatures
. Nucl. Phys. A 608, 356-388 (1996). doi: 10.1016/0375-9474(96)00247-3Quark-flavor dependence of the shear viscosity in a quasiparticle model
. Phys. Rev. D 100, 034002 (2019). doi: 10.1103/PhysRevD.100.034002Transport coefficients for the hot quark-gluon plasma at finite chemical potential μB
. Phys. Rev. C 101, 045203 (2020). doi: 10.1103/PhysRevC.101.045203A Calculation of the shear viscosity in SU(3) gluodynamics
. Phys. Rev. D 76, 101701 (2007). doi: 10.1103/PhysRevD.76.101701Comments About the Electromagnetic Field in Heavy-Ion Collisions
. Nucl. Phys. A 929, 184 (2014). doi: 10.1016/j.nuclphysa.2014.05.008The Electrical conductivity and soft photon emissivity of the QCD plasma
. Phys. Lett. B 597, 57 (2004). doi: 10.1016/j.physletb.2004.05.079Electrical conductivity of the quark-gluon plasma and soft photon spectrum in heavy-ion collisions
. Phys. Rev. C 90, 044903 (2014). doi: 10.1103/PhysRevC.90.044903Electrical conductivity and relaxation via colored noise in a hadronic gas
. Phys. Rev. D 99, 076015 (2019). doi: 10.1103/PhysRevD.99.076015Electrical Conductivity of Hot QCD Matter
. Phys. Rev. Lett. 110, 182301 (2013). doi: 10.1103/PhysRevLett.110.182301Electric conductivity of the quark-gluon plasma investigated using a perturbative QCD based parton cascade
. Phys. Rev. D 90, 094014 (2014). doi: 10.1103/PhysRevD.90.094014Electrical conductivity of the quark-gluon plasma: perspective from lattice QCD
. Eur. Phys. J. A 57, 118 (2021). doi: 10.1140/epja/s10050-021-00436-5Electrical conductivity of the quark-gluon plasma across the deconfinement transition
. Phys. Rev. Lett. 111, 172001 (2013). doi: 10.1103/PhysRevLett.111.172001Transport coefficients of hot and dense hadron gas in a magnetic field: a relaxation time approach
. Phys. Rev. D 100, 114004 (2019). doi: 10.1103/PhysRevD.100.114004Electrical and thermal conductivities of hot and dense hadronic matter
. Phys. Rev. D 98, 114001 (2018). doi: 10.1103/PhysRevD.98.114001Impact of quark quasiparticles on transport coefficients in hot QCD
. Phys. Rev. D 103, 014007 (2021). doi: 10.1103/PhysRevD.103.014007Electrical Conductivity of an Anisotropic Quark Gluon Plasma: A Quasiparticle Approach
. Phys. Rev. C 91, 044903 (2015). doi: 10.1103/PhysRevC.91.044903Shear viscosity and electric conductivity of a hot and dense QGP with a chiral phase transition
. Phys. Rev. C 103, 054901 (2021). doi: 10.1103/PhysRevC.103.054901Electrical conductivity of hot and dense QCD matter created in heavy-ion collisions: A color string percolation approach
. Phys. Rev. D 98, 054005 (2018). doi: 10.1103/PhysRevD.98.054005Universal thermal and electrical conductivity from holography
. JHEP 1011, 092 (2010). doi: 10.1007/JHEP11(2010)092Electrical conductivity of a hot and dense QGP medium in a magnetic field
. Phys. Rev. D 100, 076016 (2019). doi: 10.1103/PhysRevD.100.076016Effective description of hot QCD medium in strong magnetic field and longitudinal conductivity
. Phys. Rev. D 96, 114026 (2017). doi: 10.1103/PhysRevD.96.114026Effect of magnetic field on the charge and thermal transport properties of hot and dense QCD matter
. Eur. Phys. J. C 80, 747 (2020). doi: 10.1140/epjc/s10052-020-8331-xMagneto-Seebeck coefficient and Nernst coefficient of a hot and dense hadron gas
. Phys. Rev. D 102, 014030 (2020). doi: 10.1103/PhysRevD.102.014030Thermoelectric effect and Seebeck coefficient for hot and dense hadronic matter
. Phys. Rev. D 99, 014015 (2019). doi: 10.1103/PhysRevD.99.014015Thermoelectric properties of the (an-)isotropic QGP in magnetic fields
. Eur. Phys. J. C 81, 623 (2021). doi: 10.1140/epjc/s10052-021-09409-wSeebeck effect in a thermal QCD medium in the presence of strong magnetic field
. Phys. Rev. D 102, 096011 (2020). doi: 10.1103/PhysRevD.102.096011Thermoelectric transport coefficients of quark matter
. Eur. Phys. J. C 82, 71 (2022). doi: 10.1140/epjc/s10052-022-09999-zAnisotropic Hydrodynamics: Three lectures
. Acta Phys. Polon. B 45, 2355-2394 (2014). doi: 10.5506/APhysPolB.45.2355Collective modes of an anisotropic quark gluon plasma
. Phys. Rev. D 68, 036004 (2003). doi: 10.1103/PhysRevD.68.036004Photon production and elliptic flow from a momentum-anisotropic quark-gluon plasma
. Phys. Rev. D 102, 014037 (2020). doi: 10.1103/PhysRevD.102.014037Photon production from an anisotropic quark-gluon plasma
. Phys. Rev. D 76, 025023 (2007). doi: 10.1103/PhysRevD.76.025023Parton self-energies for general momentum-space anisotropy
. Phys. Rev. D 97, 054022 (2018). doi: 10.1103/PhysRevD.97.054022Covariant formulation of gluon self-energy in presence of ellipsoidal anisotropy
. Phys. Rev. D 102, 114002 (2020). doi: 10.1103/PhysRevD.102.114002The Heavy-quark potential in an anisotropic (viscous) plasma
. Phys. Lett. B 662, 37 (2008). doi: 10.1016/j.physletb.2008.02.048Shear viscosity η to electrical conductivity σel ratio for an anisotropic QGP
. Phys. Rev. D 95, 096009 (2017). doi: 10.1103/PhysRevD.95.096009Revisit to electrical and thermal conductivities, Lorenz and Knudsen numbers in thermal QCD in a strong magnetic field
. Phys. Rev. D 100, 016009 (2019). doi: 10.1103/PhysRevD.100.016009Jet quenching and broadening: The Transport coefficient q-hat in an anisotropic plasma
. Phys. Rev. C 78, 064906 (2008). doi: 10.1103/PhysRevC.78.064906Relativistic anisotropic hydrodynamics
. Prog. Part. Nucl. Phys. 101, 204 (2018). doi: 10.1016/j.ppnp.2018.05.004Transport theory of relativistic heavy ion collisions with chiral symmetry
. Phys. Rev. C 45, 1900-1917 (1992). doi: 10.1103/PhysRevC.45.1900Quantum transport theory of nuclear matter
. Phys. Rept. 198, 115-194 (1990). doi: 10.1016/0370-1573(90)90174-ZRelativistic transport theory for systems containing bound states
. Phys. Rev. C 57, 3299-3313 (1998). doi: 10.1103/PhysRevC.57.3299A Numerical study of an expanding plasma of quarks in a chiral model
. Nucl. Phys. A 635, 511-541 (1998). doi: 10.1016/S0375-9474(98)00184-5Derivation of transport equations for a strongly interacting Lagrangian in powers of anti-H and 1 / N(c)
. Annals Phys. 261, 37-73 (1997). doi: 10.1006/aphy.1997.5734Chiral symmetry breaking in hot matter
. Lect. Notes Phys. 516, 113-161 (1999). doi: 10.1007/BFb0107313Chiral Phase Transition in an Expanding Quark System
. Phys. Rev. C 103, 014901 (2021). doi: 10.1103/PhysRevC.103.014901Hadronization in the SU(3) Nambu-Jona-Lasinio model
. Phys. Rev. C 53, 410 (1996). doi: 10.1103/PhysRevC.53.410Critical scattering and two photon spectra for a quark / meson plasma
. Nucl. Phys. A 622, 478 (1997). doi: 10.1016/S0375-9474(97)82592-4One loop integrals at finite temperature and density
. Annals Phys. 252, 422 (1996). doi: 10.1006/aphy.1996.0140The Imaginary part of the static gluon propagator in an anisotropic (viscous) QCD plasma
. Phys. Rev. D 79, 114003 (2009). doi: 10.1103/PhysRevD.79.114003Momentum broadening in an anisotropic plasma
. Phys. Rev. C 75, 014901 (2007). doi: 10.1103/PhysRevC.75.014901Anomalous transport processes in anisotropically expanding quark-gluon plasmas
. Prog. Theor. Phys. 116, 725 (2007). doi: 10.1143/PTP.116.725Quarkonium states in an anisotropic QCD plasma
. Phys. Rev. D 79, 054019 (2009). doi: 10.1103/PhysRevD.79.054019Transport Coefficients of QCD Matter
. Nucl. Phys. B 250, 666 (1985). doi: 10.1016/0550-3213(85)90499-7Relativistic second-order dissipative hydrodynamics at finite chemical potential
. Phys. Lett. B 751, 548 (2015). doi: 10.1016/j.physletb.2015.11.018Dissipative Phenomena in Quark Gluon Plasmas
. Phys. Rev. D 31, 53 (1985). doi: 10.1103/PhysRevD.31.53NJL model analysis of quark matter at large density
. Phys. Rept. 407, 205-376 (2005). doi: 10.1016/j.physrep.2004.11.004Effect of the anomalous magnetic moment of quarks on the phase structure and mesonic properties in the NJL model
. Phys. Rev. D 99, 116025 (2019). doi: 10.1103/PhysRevD.99.116025Pre-equilibrium dilepton production from an anisotropic quark-gluon plasma
. Phys. Rev. C 78, 034917 (2008). doi: 10.1103/PhysRevC.78.034917Quark scattering off quarks and hadrons
. Nucl. Phys. A 923, 1 (2014). doi: 10.1016/j.nuclphysa.2014.01.002
