introduction
The equation of state (EoS) of asymmetric nuclear matter (ANM), especially its nuclear symmetry energy Esym(ρ) term, plays an essential role in studying the structure [1-4] and evolution of radioactive nuclei [5-8], as well as the synthesis of medium and heavy nuclei [9-12]. The Esym(ρ) characterizes the variation in the EoS of the symmetric nuclear matter (SNM) to that of the pure neutron matter (PNM); the latter is closely connected to the neutron star (NS) matter. Naturally, the properties of NS, such as the radius and the deformation of the NS merger, are also closely related to Esym(ρ), especially at densities of approximately twice the saturation density ρ0 [13-20]. Nevertheless, knowledge of the Esym(ρ) at suprasaturation densities is still limited, although that around and below ρ0 [21, 22] as well as the isospin-independent part of EoS for ANM (i.e., EoS of SNM [23-25]) are relatively well determined. Essentially, the EoS of the ANM and its Esym(ρ) term are determined by the nuclear mean field, especially its isovector part (i.e., the symmetry/isovector potential [27, 26]). However, because of the extreme challenge of relatively direct detection of the isovector potential in experiments, one extracted only using the nucleon-nucleus scattering and (p,n) charge-exchange reactions between isobaric analog states limited information of the isovector potential at ρ0 and parameterized as
Heavy-ion collision (HIC) is one of the most promising approaches for exploring the symmetry potential/energy, especially at supersaturation densities [3, 4, 13, 31-33]. Recently, the SπRIT collaboration reported results from the first measurement dedicated to probing the Esym(ρ) at suprasaturation densities through pion production in Sn + Sn collisions at 270 MeV/nucleon carried out at RIKEN-RIBF in Japan [31]. Moreover, they compared the charged pion yields and their single and double pion ratios with the corresponding simulation results from seven transport models. Qualitatively, the theoretical simulations from the seven transport models reach an agreement with the data, yet quantitatively, almost all the models cannot satisfactorily reproduce both the pion yields and their single and double pion ratios of the experimental data [31]. In this situation, author of Ref. [34] claimed that by considering approximately 20% of high-momentum nucleons in colliding nuclei can reproduce both the charged pion yields and their pion ratios of the experimental data quite well because of the high momentum distribution in nuclei caused by short-range correlations (SRCs) [35-40]. Following this work, we focused on the momentum dependence of the symmetry potential because it plays an important role in probing the high-density behavior of Esym(ρ) [41-43]. In fact, in [31] and in [44-48] of the transport model comparison project, the possible reasons for the unsatisfactory results of the seven models quantitatively fitting the experimental data may be due to different assumptions regarding the mean field potential, pion potential, and the treatment of the Coulomb field. Therefore, exploring how the momentum dependence of the symmetry potential affects the pion production in HICs is necessary. Regarding the other aforementioned factors, we also provide detailed considerations based on sophisticated treatment methods, as discussed in Sect. 2. In Sect. 3, we discuss the results of the present study. Finally, a summary is presented in Sect. 4.
The Model
This study was carried out using an isospin- and momentum-dependent Boltzmann-Uehling-Uhlenbeck (IBUU) transport model. In the framework, the present model is originated from IBUU04 [49, 50] and/or IBUU11 [51] models. However, the present model has been greatly improved to accurately simulate pion production, as discussed below.
First, a separate density-dependent scenario for in-medium nucleon-nucleon interaction [52-54], which is expressed as
The upper windows in Fig. 1 show the kinetic-energy-dependent neutron and proton potentials at ρ0 with different
-202212/1001-8042-33-12-013/alternativeImage/1001-8042-33-12-013-F001.jpg)
-202212/1001-8042-33-12-013/alternativeImage/1001-8042-33-12-013-F002.jpg)
Second, we also considered the pion potential effects in HICs to accurately simulate pion production in HICs. Specifically, when the pionic momentum is greater than 140 MeV/c, we use the pion potential based on the Δ-hole model of the form adopted in [62]. We adopt the pion potential of the form used in [63-65] when the pionic momentum is lower than 80 MeV/c, whereas for the pionic momentum falling in the range of 80 to 140 MeV/c, an interpolative pion potential constructed in [62] is used. The present pion potential includes the isospin- and momentum-dependent pion s- and p-wave potentials in a nuclear medium, as in [66] (see [62-65]).
The in-medium isospin-dependent baryon-baryon elastic and inelastic scattering cross-sections σmedium are determined by the corresponding free-space cross-sections σfree multiplied by a factor Rmedium, which is expressed as
Finally, for the treatment of the Coulomb field, we calculate the electromagnetic (EM) interactions from the Maxwell equation, that is,
Results and Discussions
In this section, we focus on the pion production in 108Sn + 112Sn and 132Sn + 124Sn reactions at 270 MeV/nucleon with an impact parameter of b=3 fm. To investigate the sensitivity of pion yields to the high-density behavior of Esym(ρ) (i.e., L) and the momentum dependence of the symmetry potential (i.e.,
-202212/1001-8042-33-12-013/alternativeImage/1001-8042-33-12-013-F003.jpg)
-202212/1001-8042-33-12-013/alternativeImage/1001-8042-33-12-013-F004.jpg)
-202212/1001-8042-33-12-013/alternativeImage/1001-8042-33-12-013-F005.jpg)
-202212/1001-8042-33-12-013/alternativeImage/1001-8042-33-12-013-F006.jpg)
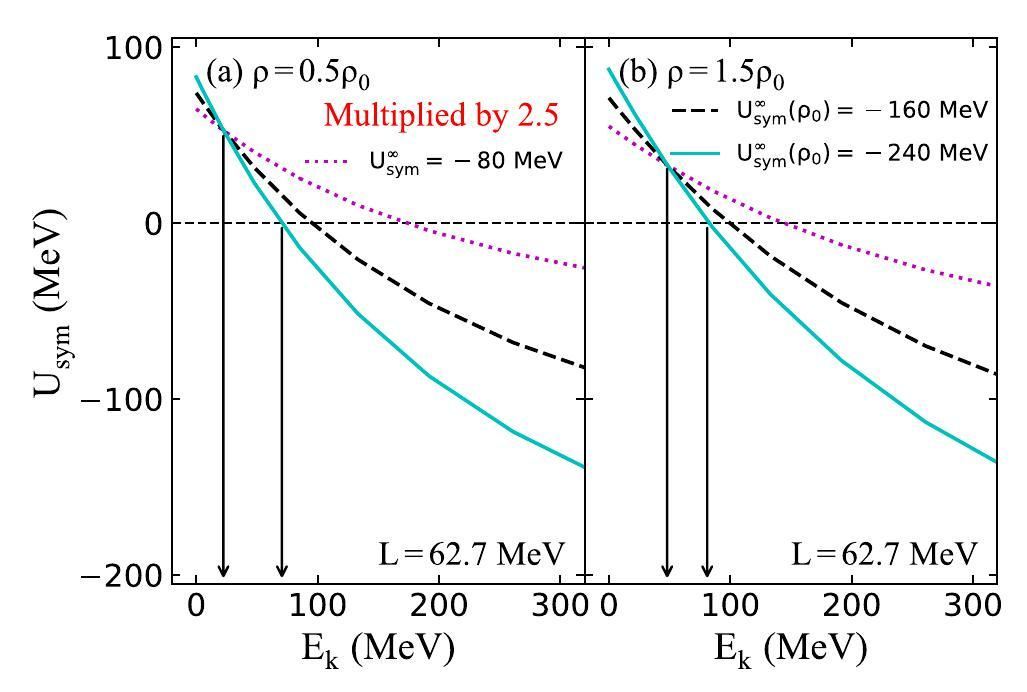
To date, one might wonder whether the symmetry potential at 1.5ρ0 (i.e., attainable maximum densities in the compression stage) with a certain L but varying
-202212/1001-8042-33-12-013/alternativeImage/1001-8042-33-12-013-F007.jpg)
Figure 8 shows the π-/π+ ratios of the theoretical simulations for the same reactions in comparison with SπRIT data. First, consistent with the observations of most transport models, the upper windows of Fig. 8 shows that the π-/π+ ratios are indeed more sensitive to L than the pion yields, and a softer symmetry energy with a smaller L value leads to a higher π-/π+ ratio. Moreover, for a more neutron-rich reaction 132Sn + 124Sn, the π-/π+ ratios show a greater sensitivity to L. Second, from the lower windows in Fig. 8, the π-/π+ ratios increase with
-202212/1001-8042-33-12-013/alternativeImage/1001-8042-33-12-013-F008.jpg)
-202212/1001-8042-33-12-013/alternativeImage/1001-8042-33-12-013-F009.jpg)
As a cleaner observable, the double ratio of the two reactions (i.e., the DR(π-/π+) ratio of reactions 132Sn + 124Sn over 108Sn + 112Sn) has the advantage of reducing both the isoscalar potential effects and the Coulomb field effects; thus, it is expected to disentangle the effects of symmetry potential/energy from both isoscalar potentials and Coulomb fields in HICs. Therefore, in Fig. 10, we show the DR(π-/π+) ratios of the two reactions in comparison with SπRIT data. The left panel of Fig. 10 shows that the DR(π-/π+) ratios of the two reactions are more sensitive to the high-density behavior of Esym(ρ). Moreover, the DR(π-/π+) ratios are also more clearly separated by varying the value of
-202212/1001-8042-33-12-013/alternativeImage/1001-8042-33-12-013-F010.jpg)
Now, we attempted to use the above three observables (i.e., pion yields and their single π-/π+ and double DR(π-/π+) ratios) to constrain the values of
-202212/1001-8042-33-12-013/alternativeImage/1001-8042-33-12-013-F011.jpg)
-202212/1001-8042-33-12-013/alternativeImage/1001-8042-33-12-013-F012.jpg)
To further verify the above results, we select a value of -160 MeV for
-202212/1001-8042-33-12-013/alternativeImage/1001-8042-33-12-013-F013.jpg)
-202212/1001-8042-33-12-013/alternativeImage/1001-8042-33-12-013-F014.jpg)
So far, one can find that our results suggest a constraint on L (i.e., 62.7<L<93.1 MeV). This constraint on L is considerably close to the values 70<L<101 MeV extracted from charge exchange and elastic scattering reactions in [71] and within the constrained range of 42<L<117 MeV in [13]. Moreover, our results also suggest a constraint on
Finally, it should be mentioned that our results in the present work are mainly based on SπRIT experiments. It will also be interesting to see how
Summary
In conclusion, we studied the effects of the momentum dependence of the symmetry potential on pion production in central Sn + Sn collisions at 270 MeV/nucleon. It was found that with a certain L, the characteristic parameter
Neutron radii and the neutron equation of state in relativistic models
. Phys. Rev. C 64, 027302 (2001). doi: 10.1103/PhysRevC.64.027302Transport theories for heavy-ion collisions in the 1 A GeV regime
. J. Phys. G Nucl. Part. Phys. 31, S741 (2005). doi: 10.1088/0954-3899/31/6/015Reaction dynamics with exotic nuclei
. Phys. Rep. 410, 335 (2005). doi: 10.1016/j.physrep.2004.12.004Recent progress and new challenges in isospin physics with heavy-ion reactions
. Phys. Rep. 464, 113 (2008). doi: 10.1016/j.physrep.2008.04.005Complete electric dipole response and the neutron skin in 208Pb
. Phys. Rev. Lett. 107, 062502 (2011). doi: 10.1103/PhysRevLett.107.062502Density dependence of the symmetry energy from neutron skin thickness in finite nuclei
. Eur. Phys. J. A 50, 27 (2014). doi: 10.1140/epja/i2014-14027-8A way forward in the study of the symmetry energy: experiment, theory, and observation
. J. Phys. G:Nucl. Part. Phys. 41, 093001 (2014). doi: 10.1088/0954-3899/41/9/093001Nuclear charge and neutron radii and nuclear matter: Trend analysis in Skyrme density-functional-theory approach
. Phys. Rev. C 93, 051303 (2016). doi: 10.1103/PhysRevC.93.051303The nuclear symmetry energy
. Prog. Part. Nucl. Phys. 91, 203 (2016). doi: 10.1016/j.ppnp.2016.06.006Shannon information entropy in heavy-ion collisions
. Prog. Part. Nucl. Phys. 99, 120 (2018). doi: 10.1016/j.ppnp.2018.01.002Investigation of the symmetry energy of nuclear matter using isospin-dependent quantum molecular dynamics
. Nucl. Sci. Tech. 31, 61 (2020). doi: 10.1007/s41365-020-00766-xNuclear fragments in projectile fragmentation reactions
. Prog. Part. Nucl. Phys. 121, 103911 (2021). doi: 10.1016/j.ppnp.2021.103911Probing the Symmetry Energy with the Spectral Pion Ratio
. Phys. Rev. Lett. 126, 162701 (2021). doi: 10.1103/PhysRevLett.126.162701Insights on Skyrme parameters from GW170817
. Phys. Lett. B 796, 1 (2019). doi: 10.1016/j.physletb.2019.05.055Neutron star tidal deformabilities constrained by nuclear theory and experiment
. Phys. Rev. Lett. 121, 062701 (2018). doi: 10.1103/PhysRevLett.121.062701Critical examination of constraints on the equation of state of dense matter obtained from GW170817
. Phys. Rev. C 98, 045804 (2018). doi: 10.1103/PhysRevC.98.045804Early appearance of Δ isobars in neutron stars
. Phys. Rev. C 90, 065809 (2014). doi: 10.1103/PhysRevC.90.065809Connecting neutron star observations to three-body forces in neutron matter and to the nuclear symmetry energy
. Phys. Rev. Lett. 108, 081102 (2012). doi: 10.1103/PhysRevLett.108.081102Core-crust transition in neutron stars: Predictivity of density developments
. Phys. Rev. C 83, 045810 (2011). doi: 10.1103/PhysRevC.83.045810The equation of state of hot, dense matter and neutron stars
. Phys. Rep. 621, 127 (2016). doi: 10.1016/j.physrep.2015.12.005Constraints on the Skyrme equations of state from properties of doubly magic nuclei
. Phys. Rev. Lett. 111, 232502 (2013). doi: 10.1103/PhysRevLett.111.232502Isospin dependence of nucleon effective masses in neutron-rich matter
. Nucl. Sci. Tech. 27, 141 (2016). doi: 10.1007/s41365-016-0140-4Determination of the equation of state of dense matter
. Science 298, 1592 (2002). doi: 10.1126/science.1078070Equations of state for supernovae and compact stars
. Rev. Mod. Phys. 89, 015007 (2017). doi: 10.1103/RevModPhys.89.015007Constraints on the skewness coefficient of symmetric nuclear matter within the nonlinear relativistic mean field model
. Nucl. Sci. Tech. 28, 185 (2017). doi: 10.1007/s41365-017-0329-1Examination of an isospin-dependent single-nucleon momentum distribution for isospin-asymmetric nuclear matter in heavy-ion collisions
. Nucl. Sci. Tech. 31, 71 (2020). doi: 10.1007/s41365-020-00779-6Basic quantities of the equation of state in isospin asymmetric nuclear matter
. Nucl. Sci. Tech. 32, 117 (2021). doi: 10.1007/s41365-021-00955-2Coupled-Channel Calculations of the Energy Dependence of the (p,n) Charge-Exchange Reaction
. Phys. Rev. Lett. 29, 227 (1972). doi: 10.1103/PhysRevLett.29.227Local and global nucleon optical models from 1 KeV to 200 MeV
. Nucl. Phys. A 713, 231 (2003). doi: 10.1016/S0375-9474(02)01321-0Dependence of the Fermi energy upon neutron excess
. Phys. Rev. C 43, 2211 (1991). doi: 10.1103/PhysRevC.43.2211Symmetry energy investigation with pion production from Sn+Sn systems
. Phys. Lett. B 813 136016, (2021). doi: 10.1016/j.physletb.2020.136016SπRIT: A time-projection chamber for symmetry-energy studies
. Nucl. Instr. Meth. A 784, 513 (2015). doi: 10.1016/j.nima.2015.01.026Systematics of central heavy ion collisions in the regime
. Nucl. Phys. A 848, 366 (2010). doi: 10.1016/j.nuclphysa.2010.09.008Symmetry energy extracted from the SπRIT pion data in Sn + Sn systems
. Phys. Rev. C 104, 014613 (2021). doi: 10.1103/PhysRevC.104.014613Probing cold dense nuclear matter
. Science 320, 1476 (2008). doi: 10.1126/science.1156675Short range correlations and the EMC effect
. Phys. Rev. Lett. 106, 052301 (2011). doi: 10.1103/PhysRevLett.106.052301New properties of the high-momentum distribution of nucleons in asymmetric nuclei
. Phys. Rev. C 89, 034305 (2014). doi: 10.1103/PhysRevC.89.034305In-medium short-range dynamics of nucleons: Recent theoretical and experimental advances
. Phys. Rep. 590, 1 (2015). doi: 10.1016/j.physrep.2015.06.002Momentum sharing in imbalanced Fermi systems
. Science 346, 614 (2014). doi: 10.1126/science.1256785Probing high-momentum protons and neutrons in neutron-rich nuclei
. Nature 560, 617 (2018). doi: 10.1038/s41586-018-0400-zSymmetry energy and the isotopic spin dependence of the single-particle potential in nuclear matter
. Phys. Rev. 134, B722 (1964). doi: 10.1103/PhysRev.134.B722Spin and spin-isospin symmetry energy of nuclear matter
. Phys. Rev. C 7, 916 (1973). doi: 10.1103/PhysRevC.7.916Isospin emission and flow at high baryon density: A test of the symmetry potential
. Phys. Rev. C 81, 044611 (2010). doi: 10.1103/PhysRevC.81.044611Understanding transport simulations of heavy-ion collisions at 100 A and 400 A MeV: Comparison of heavy-ion transport codes under controlled conditions
. Phys. Rev. C 93, 044609 (2016). doi: 10.1103/PhysRevC.93.044609Comparison of heavy-ion transport simulations: Collision integral in a box
. Phys. Rev. C 97, 034625 (2018). doi: 10.1103/PhysRevC.97.034625Comparison of heavy-ion transport simulations: Collision integral with pions and Δ resonances in a box
. Phys. Rev. C 100, 044617 (2019). doi: 10.1103/PhysRevC.100.044617Comparison of heavy-ion transport simulations: Mean-field dynamics in a box
. Phys. Rev. C 104, 024603 (2021). doi: 10.1103/PhysRevC.104.024603Transport model comparison studies of intermediate-energy heavy-ion collisions
. Prog. Part. Nucl. Phys. 125, 103962 (2022). doi: 10.1016/j.ppnp.2022.103962Momentum dependence of symmetry potential in asymmetric nuclear matter for transport model calculations
. Phys. Rev. C 67, 034611 (2003). doi: 10.1103/PhysRevC.67.034611Momentum dependence of the symmetry potential and nuclear reactions induced by neutron-rich nuclei at RIA
. Phys. Rev. C 69, 011603(R) (2004). doi: 10.1103/PhysRevC.69.011603Improved single particle potential for transport model simulations of nuclear reactions induced by rare isotope beams
. Phys. Rev. C 81, 044603 (2010). doi: 10.1103/PhysRevC.81.044603Probing isospin- and momentum-dependent nuclear effective interactions in neutron-rich matter
. Eur. Phys. J. A 50, 29 (2014). doi: 10.1140/epja/i2014-14029-6Effects of density-dependent scenarios of in-medium nucleon-nucleon interactions in heavy-ion collisions
. Phys. Rev. C 102, 024614 (2020). doi: 10.1103/PhysRevC.102.024614Hartree-Fock-Bogolyubov calculations with the D1 effective interaction on spherical nuclei
. Phys. Rev. C 21, 1568 (1980). doi: 10.1103/PhysRevC.21.1568Density dependence of two-body interactions for beyond-mean-field calculations
. Phys. Rev. C 67, 054308 (2003). doi: 10.1103/PhysRevC.67.054308Structure of finite nuclei in the local-density approximation
. Phys. Rev. C 1, 1260 (1970). doi: 10.1103/PhysRevC.1.1260Thermal properties of asymmetric nuclear matter with an improved isospin- and momentum-dependent interaction
. Phys. Rev. C 91, 014611 (2015). doi: 10.1103/PhysRevC.91.014611Reexamination of the neutron-to-proton-ratio puzzle in intermediate-energy heavy-ion collisions
. Phys. Rev. C 91, 047601 (2015). doi: 10.1103/PhysRevC.91.047601Constraining simultaneously nuclear symmetry energy and neutron-proton effective mass splitting with nucleus giant resonances using a dynamical approach
. Phys. Rev. C 95, 034324 (2017). doi: 10.1103/PhysRevC.95.034324Global Dirac optical potentials for elastic proton scattering from heavy nuclei
. Phys. Rev. C 41, 2737 (1990). doi: 10.1103/PhysRevC.41.2737Transport-theoretical description of nuclear reactions
. Phys. Rep. 512, 1 (2012). doi: 10.1016/j.physrep.2011.12.001Optical properties of low-energy pions in nuclei
. Ann. of Phys. 36, 323 (1966). doi: 10.1016/0003-4916(66)90302-2S-wave optical potential in pionic atoms
. Phys. Rev. C 37, 194 (1988). doi: 10.1103/PhysRevC.37.194Many-body approach to low-energy pion-nucleus scattering
. Nucl. Phys. A 554, 554 (1993). doi: 10.1016/0375-9474(93)90246-TMedium effects on pion production in heavy ion collisions
. Phys. Rev. C 95, 064604 (2017). doi: 10.1103/PhysRevC.95.064604Necessity of self-consistent calculations for the electromagnetic field in probing the nuclear symmetry energy using pion observables in heavy-ion collisions
. Phys. Rev. C 103, 054607 (2021). doi: 10.1103/PhysRevC.103.054607Effects of retarded electrical fields on observables sensitive to the high-density behavior of the nuclear symmetry energy in heavy-ion collisions at intermediate energies
. Phys. Rev. C 97, 034620 (2018). doi: 10.1103/PhysRevC.97.034620Beam-energy dependence of the relativistic retardation effects of electrical fields on the π-/π+ ratio in heavy-ion collisions
. Phys. Rev. C 98, 024618 (2018). doi: 10.1103/PhysRevC.98.024618Near-threshold pion production with radioactive beams
. Phys. Rev. C 71, 014608 (2005). doi: 10.1103/PhysRevC.71.014608Symmetry energy III: Isovector skins
. Nucl. Phys. A 958, 147 (2017). doi: 10.1016/j.nuclphysa.2016.11.008Feasibility of constraining the curvature parameter of the symmetry energy using elliptic flow data
. Eur. Phys. J. A 54, 40 (2018). doi: 10.1140/epja/i2018-12470-1Effects of energy conservation on equilibrium properties of hot asymmetric nuclear matter
. Phys. Rev. C 97, 014610 (2018). doi: 10.1103/PhysRevC.97.014610Proton and neutron density distributions at supranormal density in low- and medium-energy heavy-ion collisions
. Phys. Rev. C 96, 014612 (2017). doi: 10.1103/PhysRevC.96.014612Results of the ASY-EOS experiment at GSI: The symmetry energy at suprasaturation density
. Phys. Rev. C 94, 034608 (2016). doi: 10.1103/PhysRevC.94.034608Approximately at t=13 fm/c, the reaction approaches maximum compression, the nucleons in compression region are naturally in dense but low energy phase.
The value of 81 MeV is the transition kinetic energy for the symmetry potential at 1.5ρ0 with L=62.7 MeV and


