1 Introduction
The nuclear dynamics in heavy-ion collisions and in hadron induced reactions at the medium and high energies is complicated and associated with the many-body interaction, collision dynamics, fermionic nature etc. Over the past several decades, two sorts of models based on transport theories have been developed for investigating the hot and dense nuclear matter created in heavy-ion collisions, i.e., the quantum molecular dynamics and Boltzmann Uehling Uhlenbeck (BUU) transport models [1-4]. The liquid-gas phase transition formed in dilute nuclear matter and the quark-gluon plasma (QGP) phase transition in dense matter attracted much attention and have obtained progress both in theories and in experiments [5-11]. The isospin degree of freedom in the nuclear matter plays a significant role on the phase transition.
The nuclear equation of state (EOS) is a basic quantity for describing the nuclear matter with the density and temperature. The EOS in the isospin asymmetric nuclear matter is usually expressed with the energy per nucleon as E(ρ, T, δ)=E(ρ, T, 0)+Esym(ρ,T)δ2+ O(δ2) in terms of baryon density, ρ, isospin asymmetry, δ=(ρn-ρp)/(ρn+ρp), and temperature, T. For treating the properties of a nucleus and cold dense matter, the temperature is usually not taken into account. The high-density symmetry energy Esym is a key ingredient in understanding the stellar structure, the cooling of protoneutron stars, the nucleosynthesis during supernova explosion of massive stars, and even the binary neutron star merger [12, 13]. The symmetry energy at suprasaturation densities can be constrained from the observables emitted from the high-density regime in nucleus-nucleus collisions. Up to now, the high-density behavior of symmetry energy is not well understood. With operating and constructing the new generation radioactive beam facilities in the world, such as the Cooling Storage Ring (Institute of Modern Physics, Lanzhou, China), Facility for Antiproton and Ion Research (GSI, Darmstadt, Germany), RIKEN (Japan), SPIRAL2 (GANIL, Caen, France), and Facility for Rare Isotope Beams (MSU, East Lansing, USA), the isospin physics is to attract much attention both in theories and in experiments. Besides nucleonic observables, particles produced in heavy-ion collisions would be preferable probes for extracting the information of high-density phase diagram. Kaons as probing the high-density EOS were proposed for the first time [14]. The available experimental data from the KaoS collaboration for K+ production favored a soft EOS at high baryon densities associated with transport model calculations [15-18]. Similar structure for Λ production on the EOS was found in Ref. [19]. The ratios of isospin particles produced in heavy-ion collisions such as π-/π+, K0/K+, ∑-/∑+ etc. [20-26], the yields of η etc [27, 28], and the flow difference of isospin particles [29, 30] have been proposed as sensitive probes for extracting the high-density behavior of the nuclear symmetry energy.
Properties of hadrons in dense nuclear matter is related to the Quantum Chromodynamics (QCD) phase structure, in particular the chiral symmetry restoration, phase transition from hadronic to partonic degrees of freedom, hypernucleus formation, nuclear EOS etc [31-33]. Nucleus-nucleus collisions provide possibilities for exploring the in-medium properties of hadrons, which are related to the interaction potentials and production cross sections in nuclear reactions. The energy spectra of particles are distorted by the surrounding nucleons. It has obtained progress in extracting the in-medium properties of hadrons in dense nuclear matter, in particular for strange particles K,
In this article, I will review the recent progress on the theoretical treatment of nuclear dynamics in heavy-ion collisions. The symmetry energy, strange particles and in-medium effects, and hyperfragment formation are to be discussed. In Sect.2, I will give a transport model description for simulating the nuclear dynamics essentially based on the quantum molecular dynamics (QMD). The nuclear dynamics and isospin effect in heavy-ion collisions are shown in Sect. 3. The hadron induced reactions and hypernuclide production are investigated in Sect. 4. Summary and perspective on the medium-energy nuclear dynamics are presented in Sect. 5.
2 The quantum molecular dynamics model and its modification
In the QMD transport model, the ith nucleon is represented with a Gaussian wave packet [3, 4]
Here ri(t), and pi(t) are the centers of the wave packet in the coordinate and momentum space, respectively. The σr is the width of the Gaussian wave packet. The N-body wave function is assumed as the direct product of the coherent states
The density distributions
The QMD transport model was improved by different groups, such as implementing the Pauli potential into the mean-field potential [52], extending to the relativistic heavy-ion collisions (TuQMD, UrQMD) [36, 53], introducing the cooling method in the initialization and the time-dependent wave-packet width (EQMD) [54, 55], distinguishing the isospin degree of freedom (IQMD) [56, 57], taking the phase-space constraint approach into the dynamical evolution and nucleon-nucleon collisions (CoMD) [58]. Recently, the ImQMD model by the CIAE group was proposed for describing the fusion-fission, quasifission dynamics, multinucleon transfer, symmetry energy etc [59-63]. The mean-field potential in the ImQMD model is derived selfconsistently from the Skyrme energy-density function. The shell effect in the fusion reactions was investigated within the framework of the QMD model by the Lanzhou group and a phenomenological formula was proposed [64, 65]. Recently, the giant dipole resonance formed in heavy-ion collisions was investigated by SINAP group for probing the α clustering structure in a nucleus and the EOS within the QMD model [66, 67].
In this work, I will give a description of the quantum molecular dynamics model developed by the Lanzhou group (LQMD). The dynamics of the resonances (Δ(1232), N*(1440), N*(1535), etc), hyperons (Λ, ∑, Ξ, Ω), and mesons (π, η, K,
In the LQMD model, the time evolutions of the baryons (nucleons and resonances) and mesons in the reaction system are governed by Hamilton’s equations of motion under the self-consistently generated mean-field potential as
The Hamiltonian of baryons consists of the relativistic energy, the effective potential, and the momentum dependent interaction. The effective potential is composed of the Coulomb interaction and the local potential
The Coulomb interaction potential is written as
where the ej is the charged number including protons and charged resonances. The rij=|ri-rj| is the relative distance of two charged particles.
The local potential can be derived from the energy-density functional as
which is constructed with the 2-body and 3-body Skyrme-type interaction as
and
In the model, the 2-body nucleon-nucleon (NN) interaction includes the attractive potential, symmetry energy, surface term and momentum dependent interaction. The 3-body interaction is embodied in the short-range repulsive force and an approximation treatment is taken in evaluating Eq. (11) [4]. The energy-density functional is expressed by
where the ρn, ρp, and ρ=ρn+ρp are the neutron, proton, and total densities, respectively, and the δ=ρn-ρp)/(ρn+ρp) is the isospin asymmetry. The surface coefficients gsur and
and
The parameters Csym, asym, and bsym are taken as the values of 52.5 MeV, 43 MeV, -16.75 MeV and 23.52 MeV, 32.41 MeV, -20.65 MeV corresponding to the mass splittings of
A Skyrme-type momentum-dependent potential is used in the LQMD model [71]
Here, Cτ,τ=Cmom(1+x), Cτ,τ’=Cmom(1-x) (τ≠τ’) and the isospin symbols τ(τ’) represent a proton or neutron. The parameters Cmom and ϵ were determined by fitting the real part of the optical potential as a function of incident energy from the proton-nucleus elastic scattering data. The parameter x is the strength of the isospin splitting of nucleon effective mass, e.g., the value of -0.65 leading to the splitting of
| Parameters | α (MeV) | β (MeV) | γ | Cmom (MeV) | ϵ (c2/MeV2) | K∞ (MeV) | |
|---|---|---|---|---|---|---|---|
| PAR1 | -215.7 | 142.4 | 1.322 | 1.76 | 5×10-4 | 0.75 | 230 |
| PAR2 | -226.5 | 173.7 | 1.309 | 0. | 0. | 1. | 230 |
The symmetry energy per nucleon in the LQMD model is composed of three parts, namely the kinetic energy, the local part, and the momentum dependence of the potential energy as
After an expansion to second order around the normal density, the symmetry energy can be expressed as
in terms of a slope parameter of
-201803/1001-8042-29-03-010/alternativeImage/1001-8042-29-03-010-F001.jpg)
The single-particle optical potential can be obtained from the density functional as [72]
Here τ≠τ’, ∂δ2/∂ρn=4∂δρ/ρ2 and ∂δ2/∂ρp=-4δρn/ρ2. The nucleon effective (Landau) mass in nuclear matter of isospin asymmetry δ=ρn-ρp)/(ρn+ρp) with ρn and ρp being the neutron and proton density, respectively, is calculated through the potential as
-201803/1001-8042-29-03-010/alternativeImage/1001-8042-29-03-010-F002.jpg)
The dynamics of mesons, hyperons, and antiprotons is influenced by the mean-field potentials. The Hamiltonian is constructed as follows
Here, ν denotes the hadron species, and the Coulomb potential is evaluated by point-like charged particles as
The Nν and Nh are the total numbers of the same species and all charged particles. The in-medium energy ων(pi,ρi) is related to the hadron momentum and baryon density, which is usually evaluated from the scalar and vector potential components to hadron self-energies.
The energy of pion in the nuclear medium is composed of the isoscalar and isovector contributions as follows
The coefficient
The probabilities of the pion component satisfy the relation
The value of the probability is determined from the pion self-energy as [75]
where the pion self-energy is given by
with the Migdal parameter being g′∼0.6 and
In
The Hamiltonian of η is composed of
The eta optical potential is evaluated from the dispersion relation based on the chiral perturbation theory [76] as
with
The energies of kaon and anti-kaon in nuclear medium are calculated with the chiral Lagrangian approach as follows [69, 77]
and
respectively. Here the
The in-medium dispersion relation for hyperons reads as
The hyperon self-energies are evaluated on the basis of the light-quark counting rules, i.e., Λ and ∑ being assumed to be two thirds of nucleon self-energies, and the Ξ self-energy being one third of nucleon’s ones. Namely, for hyperons
with
-201803/1001-8042-29-03-010/alternativeImage/1001-8042-29-03-010-F003.jpg)
The probability of two-particle or three-particle collision is sampled with a Monte Carlo procedure, in which the scattering of two particles is determined by a geometrical minimum distance criterion,
-201803/1001-8042-29-03-010/alternativeImage/1001-8042-29-03-010-F004.jpg)
-201803/1001-8042-29-03-010/alternativeImage/1001-8042-29-03-010-F005.jpg)
The inelastic NN collisions are complicated and a number of reaction channels are opened and coupled to each other. The primary products in NN collisions are the resonances and their decay processes, such as Δ(1232), N*(1440), N*(1535) etc. We have included the reaction channels as follows:
Here, hadron-hadron collisions take place as two-body processes and three-body (s-state pion production) reactions. The momentum-dependent decay widths are used for the resonances of Δ(1232) and N*(1440) [85, 86]. We have taken a constant width of Γ=150 MeV for the N*(1535) decay. Elastic scattering of nucleon-resonance (NR→ NR) and resonance-resonance (RR→ RR) collisions and inelastic collisions of nucleon-resonance (NR→ NN, NR→ NR′) and resonance-resonance (RR→ NN, RR→ RR′, R and R′ being different resonances) have been included in the model. A parameterized cross section is used in the LQMD model for the channel of NΔ→NN by fitting the available experimental data [87, 88] similar to the GiBUU model [89]. Calculations based on relativistic Dirac-Brueckner also favor the decrease trend of the Δ absorption cross section with increasing energy in nuclear medium at low densities (less than 2ρ0) [90]. We used the parametrized cross sections calculated by the one-boson exchange model [86] for resonance production and the absorption of N* with the detailed balancing principle. Figure 6 is the energy dependence of resonance production in proton-proton collisions. It is obvious that the Δ(1232) production is dominant in the medium-energy heavy-ion collisions. The mass of resonance is usually sampled with the Breit-Wigner (BW) distribution as
with the peak mass,
-201803/1001-8042-29-03-010/alternativeImage/1001-8042-29-03-010-F007.jpg)
The cross section of pion-nucleon scattering is evaluated with the Breit-Wigner formula as the form of
where the p and p0 are the momenta of pions at the energies of
-201803/1001-8042-29-03-010/alternativeImage/1001-8042-29-03-010-F008.jpg)
The strangeness and vector mesons (ρ, ω) are created in inelastic hadron-hadron collisions without intermediate resonances. These are the 2-body and 3-body reaction channels as follows:
Here the B stands for (N, △, N*) and Y(Λ, ∑), K(K0, K+), and
-201803/1001-8042-29-03-010/alternativeImage/1001-8042-29-03-010-F009.jpg)
In order to describe the antiproton-nucleus collisions we have further included the annihilation channels, charge-exchange reaction (CEX), elastic (EL), and inelastic scattering as follows [70, 102]:
Here the B stands for nucleon and Δ(1232), Y(Λ, ∑, Ξ), K(K0, K+), and
3 Nuclear dynamics and isospin effect in heavy-ion collisions
The LQMD transport model has been developed for many issues in nuclear dynamics, i.e., the neck fragmentation and isospin diffusion in quasi-fission dynamics from Fermi-energy heavy-ion collisions, high-density symmetry energy, in-medium properties of hadrons etc. Motivation of the future experiments is discussed on the topics of hypernuclide production, strangeness dynamics, isospin physics, and nuclear phase diagrams in heavy-ion collisions and hadron induced reactions. Parts of the results are presented in the article.
3.1 Neck fragmentation in isotopic nuclear reactions
Heavy-ion collisions at the Fermi energies (10-100A MeV) attract much attention on several topical issues in nuclear physics, i.e., spinodal multifragmentation, liquid-gas phase transition, properties of highly excited nuclei, symmetry energy in the domain of subnormal densities etc [5, 6, 107-112]. The isospin dynamics in the Fermi-energy heavy-ion collisions is related to several interesting topics, e.g., in-medium nucleon-nucleon cross sections, cluster formation and correlation, isotopic fragment distribution, the symmetry energy in dilute nuclear matter etc. Different mechanisms can coexist and are correlated in heavy-ion collisions at the Fermi energies, such as projectile or target fragmentation, neck emission, preequilibrium emission of light clusters (complex particles), fission of heavy fragments, multifragmentation etc, in which the isospin dependent nucleon-nucleon potential dominates the dynamical processes. The time scales from dynamical and pre-equilibrium emissions to statistical decay of excited systems at equilibrium and the isospin effect in neck fragmentation were investigated experimentally [113, 114]. The LQMD transport model is used to describe the nuclear dynamics in Fermi-energy heavy-ion collisions.
The composite system formed in Fermi energy heavy-ion collisions is highly excited with an excitation energy up to several tens of MeV/nucleon. The heated system is unstable and fragmentation even multifragmentation takes place. The fragmentation dynamics in the Fermi-energy heavy-ion collisions is described by the LQMD model. The primary fragments are constructed in phase space with a coalescence model, in which nucleons at freeze-out are considered to belong to one cluster with the relative momentum smaller than P0 and with the relative distance smaller than R0 (here P0 = 200 MeV/c and R0 = 3 fm). At the freeze-out, the primary fragments are highly excited. The de-excitation of the fragments is described within the GEMINI code [115]. Particles produced from the neck fragmentations in heavy-ion collisions could be probes of the low-density phase diagram, which are constrained within the midrapidities (|y/yproj|<0.3) in semicentral nuclear collisions. Figure 10 is the kinetic energy spectra of neutron/proton ratios from the yields of free nucleons and ’gas-phase’ nucleons (nucleons, hydrogen, and helium isotopes) from the neck fragmentations in the 112Sn+58Ni and 124Sn+64Ni reactions at a beam energy of 35 MeV/nucleon with the different symmetry energies [116]. A larger value of the n/p ratio with softening symmetry energy is found, in particular at the kinetic energies above the Fermi energy (36 MeV), which is caused from the fact that more repulsive force is enforced on neutrons in dilute nuclear matter. Calculations are performed without the momentum dependent interaction, and the set of parameter of PAR2 is taken.
-201803/1001-8042-29-03-010/alternativeImage/1001-8042-29-03-010-F010.jpg)
Besides the fast nucleons being probes of symmetry energy in the dilute matter, the neutron to proton ratio of light intermediate mass fragments (IMFs) could be sensitive to the stiffness of symmetry energy because of the isospin migration from the neck fragmentation [117]. The light IMFs (Z≤10) are measured by the CHIMERA detector at the INFN-LNS Superconducting Cyclotron of Catania (Italy) and emitted preferentially towards the midrapidity domain on a short timescale within 50 fm/c, which can not be entirely described through the decay of the excited projectile-like (PLF) and target-like (TLF) fragments [118]. We constrained the particles emitted from the neck fragmentation within the rapidity range of |y/yproj|<0.3. Figure 11 is the average neutron to proton ratio of light IMFs in the isotopic reactions of 112Sn+58Ni, 124Sn+64Ni, 112Sn+112Sn, and 124Sn+124Sn. The isospin effect is pronounced for the light isotopes, i.e., lithium, beryllium, and boron. The soft symmetry energy leads to a larger n/p ratio of light IMFs. It is caused from the fact that the heavy fragments tend to the neutron-rich side with the hard symmetry energy. However, the statistical decay leads to the disappearance of the isospin effect in heavy fragments. The light IMFs from the neck fragmentation are emitted preferentially towards the midrapidity domain on a short time scale in comparison to PLFs and TLFs. The isospin ratios depend on the stiffness of the symmetry energy and the effects increase with softening of the symmetry energy, in particular in neutron-rich nuclear reactions. It should be mentioned that the hard symmetry energy leads to the neutron-rich fragment formation in the PLF and TLF regime.
-201803/1001-8042-29-03-010/alternativeImage/1001-8042-29-03-010-F011.jpg)
The spectra of the isospin ratios are influenced by both the symmetry energy and the isospin splitting of nucleon effective mass, in particular at the high kinetic energies, which confuse the extraction of the density dependence of symmetry energy. On the other hand, the n/p ratios are also influenced by the Coulomb potential and the detector efficiencies of protons and neutrons in experiments. To eliminate the uncertainties, the double ratios of two isotopic systems would be nice probes for constraining the isospin splitting of nucleon effective mass and the symmetry energy beyond the saturation density from the experimental data. Figure 12 is the double ratio spectra in collisions of 124Sn+124Sn over 112Sn+112Sn. The influence of the isospin splitting with a linear symmetry energy (left panels) and the stiffness of symmetry energy with the mass splitting of
-201803/1001-8042-29-03-010/alternativeImage/1001-8042-29-03-010-F012.jpg)
3.2 Pseudoscalar meson production and in-medium effects in heavy-ion collisions
Hadronic matter is created in high-energy heavy-ion collisions and exists in the compact stars, such as neutron stars. The hadron-hadron interaction in the superdense matter is complicated and varying with the baryon density. The hadron-nucleon potential impacts the ingredients of hadrons in the compact stars. In nuclear reactions, i.e., heavy-ion collisions, antiproton (proton) induced reactions etc, the production and phase-space distribution of particles were modified in the nuclear medium. The isospin dependence of the potential and the corrections on threshold energies influence the ratios of isospin particles. Consequently, the extraction of high-density symmetry energy is to be moved from particle production. On the other hand, the yields of particles and bound fragments such as hypernuclides, kaonic nucleus, and antiprotonic nucleus are related to the potential of particles in the nuclear medium. Dynamics of pseudoscalar mesons (π, η, K, and
-201803/1001-8042-29-03-010/alternativeImage/1001-8042-29-03-010-F013.jpg)
Dynamics of pseudoscalar mesons in heavy-ion collisions near threshold energies provide the isospin effect of nucleon force and the in-medium properties of u, d, and s quark in dense matter. The strange particles are produced at the supra-saturation densities and emitted at the early stage of the phase diagram when compared with the pion production. The strangeness exchange process retards the saturation of Λ and ∑ production [123]. Higher incident energy and central collisions enhance the domain of the high-density phase diagram, hence leading to the increase of the strangeness multiplicity. A larger high-density region of compressed nuclear matter is formed in heavy collision systems when compared with the light systems, which increases the strangeness production. The total multiplicity of particles produced in central 40Ca+40Ca collisions are calculated and shown in Fig. 14. The η and strange particles (K,
To investigate the high-density symmetry, the isospin observables emitted from the high-density reaction zone are expected. However, the dynamics of particles produced in the high-density reaction domain is distorted in the nuclear medium. The in-medium corrections on particle production in heavy-ion collisions are the elementary cross section modifications and the dynamical evolutions by the mean-field potentials [69]. The interaction potential of the strange particle and nucleon is of significance in the formation of a hypernucleus, the core structure of a neutron star, etc. However, it is not well understood up to now, in particular, in the dense nuclear matter. Consequently, the KN potential reduces the kaon production at midrapidities and at high transverse momenta. However, an opposite contribution of the ηN potential is obtained because of the attractive interaction of eta and nucleon in the nuclear medium. The hyperon-nucleon interaction is negligible for Λ dynamics. Figure 15 is the inclusive spectra of π0, η, K0,
-201803/1001-8042-29-03-010/alternativeImage/1001-8042-29-03-010-F015.jpg)
-201803/1001-8042-29-03-010/alternativeImage/1001-8042-29-03-010-F016.jpg)
The high-density matter larger than normal nuclear density can be formed in high-energy heavy-ion collisions, where strange particles are produced. The influence of the in-medium potential by distinguishing the isospin effect and the stiffness of symmetry energy on strangeness production can be observed from the emission of isospin pairs. Figure 17 is a comparison of the energy dependence of the yield ratios of K0/K+ and ∑-/∑+ produced in central 197Au+197Au collisions. It should be noticed that the KN potential increases the K0/K+ ratio by distinguishing isospin effect and also enlarges the influence of symmetry energy on isospin ratio in comparison to the in-vacuum and the nonisospin cases, in particular in the domain of deep subthreshold energies. The effect of symmetry energy on the isospin ratios disappears at high incident energy. The inclusion of the KN potential leads to a reduction of the total kaon yields. The contribution of LF is very small on the kaon production, but changes the kaon distribution in momentum space [68, 100]. Calculations of the double ratio excitations of K0/K+ taken from the two systems of 96Ru+96Ru and 96Zr+96Zr present that the symmetry energy effect is very weak over the whole energy range [100]. In analogue to the isospin ratio of kaons, the effect of symmetry energy on the ∑-/∑+ excitation function is pronounced in the region of the deep threshold energies. Overall, a hard symmetry energy leads to a lower isospin ratio in neutron-rich nuclear collisions. The ∑-/∑+ ratio is larger than the value of K0/K+ in the whole energy regime. Production of ∑ increases dramatically with the incident energy and the isospin effects of the yields for charged ∑ are obvious with decreasing the energy. Despite that part of sigma can be absorbed in nuclear matter through the reaction of
-201803/1001-8042-29-03-010/alternativeImage/1001-8042-29-03-010-F017.jpg)
3.3 Hypernucleus formation in heavy-ion collisions
The formation mechanism of fragments with strangeness in high-energy heavy-ion collisions has been investigated within the LQMD transport approach combined with the statistical model (GEMINI). The production and dynamics of hyperons is described within the LQMD model. A coalescence model is used for constructing the primary fragments and the hyperon capture by residual nucleons. The combined approach is used to describe the formation of hyperfragments. The production of hypernuclei is associated to the hyperon production, hyperon-nucleon and hyperon-hyperon interactions, capture of hyperons by nucleonic fragments, and decay of excited hyper-fragments. The investigation of hypernucleus properties is an essential way for extracting the in-medium information of hyperons. To form the hyperfragments in heavy-ion collisions, the incident energy is chosen to be enough for creating hyperons, but not too high that the hyperons are captured by surrounding nucleons. At the near threshold energies, the reaction channels of BB → BYK and π(η)B → KY dominate the hyperon production. Usually, the hyperons are created in the domain of the dense nuclear medium. The hyperon-nucleon potential impacts the hyperon dynamics and hyperfragment formation. Calculations from a statistical model showed that the beam energy regime of 3-5 GeV/nucleon is available for producing hypernuclei [130]. The production and structure studies of neutron-rich and even double-strangeness hypernuclides have been planned at the high intensity heavy-ion facility (HIAF) in the future. Figure 18 is the rapidity and kinetic energy spectra of Λ-hypernuclides with the charged numbers of Z≥2 in collisions of 112Sn+112Sn, 124Sn +124Sn, and 132Sn +124Sn at the incident energy of 2 GeV/nucleon and within the collision centrality bin of 0-8 fm in the center of mass frame. The hyperfragments are formed within a narrower rapidity domain and at the less kinetic energies in comparison to hyperons in Fig. 15. The phase-space distributions are available for arranging the detector setup in experiments. The isotopic and charge distributions of Λ-hyperfragments are also calculated, as shown in Fig. 19. It is obvious that the neutron-rich systems are favorable for producing the more neutron-rich hyperfragments and the production rate decreases drastically with the charged number. The medium and heavy hyperfragments might be created with the peripheral collisions, but have very small cross sections owing to the less production number of hyperons. The strangeness physics opens a new window in nuclear physics, besides the hypernuclide properties, and also are the main ingredients in the dense baryonic matter, such as neutron stars etc. An accurate description of the hypernucleus formation in heavy-ion collisions is still in progress, i.e., the quantal clustering hyperfragments, the multi-mode decays of excited hyperfragments, the formation of exotic hypernucleus (
-201803/1001-8042-29-03-010/alternativeImage/1001-8042-29-03-010-F018.jpg)
-201803/1001-8042-29-03-010/alternativeImage/1001-8042-29-03-010-F019.jpg)
4 Nuclear dynamics induced by hadrons
The nuclear matter formed in heavy-ion collisions is compressed, and the nuclear density varies with the time-space evolutions and the incident energy. The spinodal and chemical instabilities complicate the nuclear fragmentation and particle emission in heavy-ion collisions. However, the nuclear reactions induced by hadrons have advantages on many topical issues, i.e., the in-medium properties of hadrons around the saturation density, the highly excited nucleus, the production of hypernucleus etc.
4.1 Particle production in proton-nucleus collisions
The nuclear dynamics induced by protons has many interesting aspects, in particular, the spallation reactions on heavy targets, the in-medium properties of hadrons, the hypernucleus formation etc. Microscopic description on the issues is quite necessary. It has been found that the strangeness production is strongly suppressed in proton-induced reactions in comparison to heavy-ion collisions [126]. The kaon-nucleon and antikaon-nucleon potentials change the structures of rapidity and transverse momentum distributions and the inclusive spectra in proton-nucleus collisions. Figure 20 is the temporal evolution of pions, resonances, η, and strange particles produced in collisions of a proton on 40Ca at the momentum of 3 GeV/c. The pions are dominant products and the secondary collisions of π(η)N → KY are negligible for the hyperon production. Once the particles are created, they go away from the surrounding nucleons rapidly and the shadowing effect is very weak in the proton induced reactions. The strange particles are mainly from the direct process of the channel NN(Δ) → NYK. The phase-space distributions of particles produced in proton-nucleus collisions are distorted by the surrounding nucleons although the secondary collisions are slight. Therefore, it provides a good opportunity for studying the optical potentials around the normal nuclear density and the exotic bound states with the proton induced reactions, i.e., πN, ηN, YN etc.
-201803/1001-8042-29-03-010/alternativeImage/1001-8042-29-03-010-F020.jpg)
It has been found that the kaon- (antikaon-) nucleon potential plays a significant role on the strangeness production and dynamical emission in phase space, which reduces (enhances) the kaon (antikaon) yields and is pronounced when the incident energy is close to the threshold values. Although there are very low hyperon yields produced in proton-nucleus collisions, the hyperfragments could be formed because the hyperons are created inside the target nucleus. The fragments and hyperfragments are calculated, as shown in Fig. 21, with the 5 GeV/c protons on the targets of 40Ca, 124Sn, and 197Au, respectively. Roughly, the Λ-hyperfragments are produced with the yields of the 4-order magnitude lower than the nucleonic fragments. The fragments tend to be formed in the target-like region. It provides the possibility for studying the delayed fission of heavy hypernuclide with the high-energy protons.
-201803/1001-8042-29-03-010/alternativeImage/1001-8042-29-03-010-F021.jpg)
4.2 Meson induced nuclear reactions
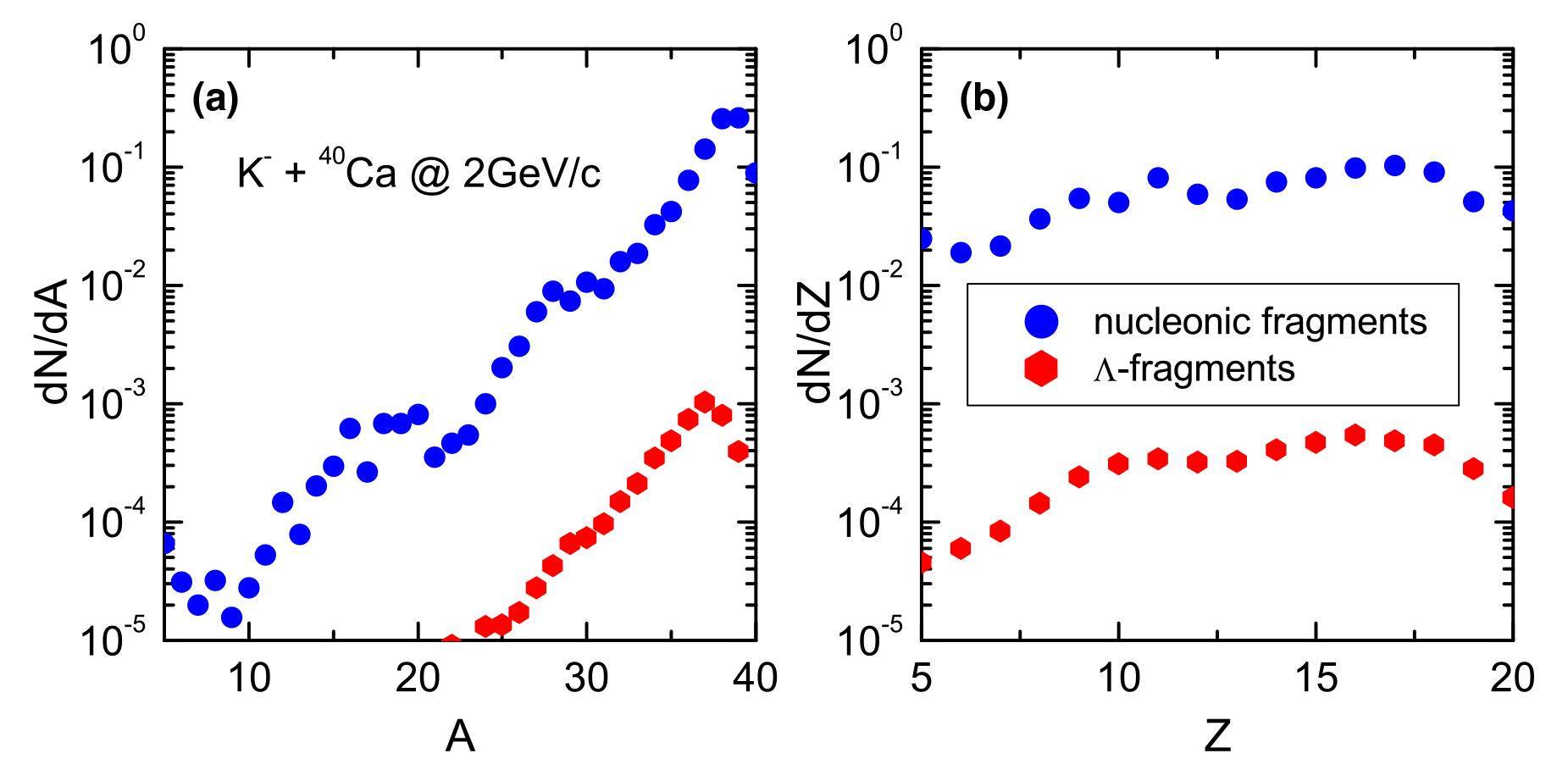
The nuclear dynamics induced by charged mesons has attracted much attention on the aspects of the charge-exchange reactions, nuclear fragmentation, hypernuclide production etc. On the other hand, the meson-nucleus collisions have advantages in investigating the energy dissipation mechanism, the meson-nucleon interaction, and resonance properties in nuclear medium around the saturation density. Figure 22 is the comparison of the nucleonic fragments, hyperfragments, and free Λ in the K-+40Ca reaction at an incident momentum of 2 GeV/c. A similar structure of hyperfragments and free Λ is found. The strangeness exchange reaction of K-N → π Y dominates the hyperon production. Once the Λ is created in the nucleus, a large probability is captured to form a hypernucleus. The free Λ hyperons and hyperfragments have the narrower rapidity regime and lower kinetic energies. The nuclear fragmentation is still pronounced owing to the decay of the highly excited target nucleus.
-201803/1001-8042-29-03-010/alternativeImage/1001-8042-29-03-010-F022.jpg)
Nuclear reactions induced by pions provide the opportunity to study the pion-nucleon interaction, the charge-exchange reactions, decay modes of highly excited nucleus, hypernucleus formation, and the in-medium properties of Δ resonance. Recently, the bound state of the neutron-rich Λ-hypernucleus,
-201803/1001-8042-29-03-010/alternativeImage/1001-8042-29-03-010-F023.jpg)
The hyperon does not obey the Pauli principle and can occupy the same quantum state with nucleons. On the other hand, the attractive hyperon-nucleon interaction enables the binding of the very neutron-rich hypernucleus and even the two-neutron-Λ or four-neutron-Λ state. The isotopic distributions of hyperfragments in collisions of K- on 40Ca at the momentum of 2 GeV/c are shown in Fig. 24. The maximal yields are located around the neutron number of N=19. A comparison of nucleonic fragments and hyperfragments is shown in Fig. 25. The decay of primary hyperfragments enables the nucleon emissions and lightens the hypernuclei. The hyperfragment yields are reduced by the two order magnitude than the nucleonic fragments, which are available for hypernucleus formation with the strangeness exchange reactions in comparison to heavy-ion collisions and π induced reactions.
-201803/1001-8042-29-03-010/alternativeImage/1001-8042-29-03-010-F024.jpg)
-201803/1001-8042-29-03-010/alternativeImage/1001-8042-29-03-010-F025.jpg)
4.3 Hypernucleus formation in antiproton-nucleus collisions
Since the first evidence of antiprotons was found in 1955 at Berkeley in collisions of protons on copper at the energy of 6.2 GeV by Chamberlain, Segrè, Wiegand, and Ypsilantis [132], the secondary beams of antiprotons were produced at many laboratories, such as CERN, BNL, KEK etc [133-136]. The stochastic cooling method provides the possibility for storing the antiprotons produced in proton-nucleus collisions. The particles W± and Z0 were found for the first time with the high energy protons colliding the stored antiprotons at CERN [137, 138]. On the other hand, the antiproton-nucleus collisions are motivated by many interesting issues, i.e., charmonium physics, strangeness physics, antiprotonic atom, symmetry, in-medium properties of hadrons, cold quark-gluon plasma, highly excited nucleus etc [50, 139]. Recently, the antiproton-antiproton interaction was investigated by the STAR collaboration in relativistic heavy-ion collisions [140]. The low-energy antiprotons usually annihilate at the nucleus surface because of the large absorption cross section. The huge annihilation energy is available for producing the 2-6 pions. The subsequent processes are complicated and also associated with the multiple pion-nucleon interaction, which result in the fragmentation of the target nucleus and the preequilibrium emissions of complex particles. The localized energy is deposited in the nucleus with an excitation energy of several hundreds of MeV. The hot nucleus proceeds to the explosive decay via multifragmentation process or the sequential particle evaporation. On the other hand, the collisions of the antiproton and secondary particles with surrounding nucleons lead to the pre-equilibrium particle emissions, which are related to the scattering cross sections of each reaction channels, antiproton-nucleon interaction, particle-nucleon potentials, and density profile of target nucleus. The unexpected large neutron yields produced by stopped antiprotons in nuclei were reported in the LEAR experiments [141].
The dynamics of the antiproton-nucleus collisions is more complicated in comparison to hadron (proton, π, K etc) induced reactions and to heavy-ion collisions, in which the particles produced in the annihilation of the antiproton in a nucleus are coupled to the subsequent collisions with surrounding nucleons. The dynamics of antiproton-nucleus collisions are complicated, which is associated with the mean-field potentials of hadrons in nuclear medium, and also coupled to a number of reaction channels, i.e., the annihilation channels, charge-exchange reaction, and elastic and inelastic collisions. A more localized energy deposition enables the secondary collisions to be available for producing hyperons. Hyperons produced in antiproton induced reactions can be captured in the potential of nucleon fragments to form hypernuclei. The dynamics of antiproton-nucleus collisions is complicated, which is associated with the mean-field potentials of hadrons in nuclear medium, and also with a number of reaction channels, i.e., the annihilation channels, charge-exchange reaction, and elastic and inelastic collisions. The larger yields of strange particles in antiproton induced reactions are favorable to form hypernuclei in comparison to proton-nucleus and heavy-ion collisions. To understand the nuclear dynamics induced by antiprotons, several approaches have been proposed, such as the intranuclear cascade (INC) model [142], kinetic approach [143], Giessen Boltzmann-Uehling-Uhlenbeck (GiBUU) transport model [144, 145], Statistical Multifragmentation Model (SMM) [146], and the Lanzhou quantum molecular dynamics (LQMD) approach [102, 147]. Particle production in antiproton induced reactions is significant in understanding the contributions of different reaction channels and the energy dissipation into the nucleus. In Fig. 26 the temporal evolutions of pions, kaons, antikaons, hyperons, and antihyperons in the reaction of
-201803/1001-8042-29-03-010/alternativeImage/1001-8042-29-03-010-F026.jpg)
The fragmentation process of the target nucleus is induced by an antiproton undergoing the explosive process (fast stage) in which the preequilibrium nucleons (light clusters) are emitted or the multifragments are produced after collisions between baryons and nucleons, and the decay process (slow stage) of the highly excited nucleus after the relative motion energy is deposited via the meson-nucleon collisions. The decay mechanism is determined by the excitation energy, i.e., the particle evaporation or fission dominating at low excitation energies (1-2 MeV/nucleon). The system is broken via multifragmentation when the local energy is close to the binding energy. More information on the hyperfragment formation in antiproton induced reactions is pronounced from the mass and charged number distributions. Direct production of hypernuclei with strangeness s=-2 (double Λ- hypernucleus) in heavy-ion collisions or by proton induced reactions are difficult because of very small cross sections, in particular for the heavy-mass region. Properties of the hypernuclei would be significant in understanding the Λ-Λ and
-201803/1001-8042-29-03-010/alternativeImage/1001-8042-29-03-010-F027.jpg)
5 Summary
In this article, I reviewed the recent progress on the nuclear dynamics in heavy-ion collisions and in hadron induced reactions, in particular, with the topics of symmetry energy, in-medium properties of hadrons, fragmentation reactions, and hypernucleus formation being stressed. The possible challenges and treatments in simulating nucleus-nucleus collisions with transport models are discussed. Further experiments are motivated at the facilities in the world such as CSR, HIAF, FRIB, Spiral2, FAIR etc. Within the framework of the LQMD transport model, the high-density symmetry energy, decay mode of highly excited nucleus, hyperon-nucleon and hyperon-hyperon interactions in dense nuclear matter, and hypernuclide production with double strangeness are thoroughly investigated.
The isospin effect in Fermi-energy heavy-ion collisions is pronounced, in particular from the neck fragmentation. The ratios of neutron to proton yields from free nucleons and from light IMFs are sensitive to the stiffness of symmetry energy. The soft symmetry energy at the domain of subsaturation densities is constrained from the CHIMERA and MSU data. The mass splitting of neutron and proton in the nuclear medium is obvious at the high beam energy. The optical potentials of pions, etas, and kaons influence the structures of invariant spectra. The hadron production is coupled to the reaction channels and the transportation is related in the mean-field potentials. The phase-space distributions of particles produced in hadron-hadron collisions are influenced by the potentials. A weakly repulsive KN potential roughly being 25 MeV and the attractive
The nucleonic fragments and hyperfragments are investigated within the LQMD transport model and are associated with the GEMINI statistical code. Hyperfragments are formed in the region of the narrower rapidity and lower kinetic energy in comparison with nucleonic fragments and hyperons. The hyperfragment yields formed in heavy-ion and proton (pion)-nucleus collisions are 10-4 times smaller in comparison to the fragments. The nuclear reactions induced by K- and antiprotons are available for producing the Λ-hypernuclide. Moreover, the heavy-ion collisions, in particular with the neutron-rich beams, have an advantage for creating the neutron-rich hypernuclide. Experiments on the strangeness physics and hypernucleus properties are planned at the HIAF in the future.
Transport phenomena in Einstein-Bose and Fermi-Dirac gases
. Phys Rev, 1933, 43: 552. doi: 10.1103/PhysRev.43.552A guide to microscopic models for intermediate energy heavy ion collisions
. Phys Rep, 1988, 160: 189-233. doi: 10.1016/0370-1573(88)90170-6Quantum molecular dynamics- A novel approach to N-body correlations in heavy ion collisions
. Phys Lett B 176 (1986) 14-19. doi: 10.1016/0370-2693(86)90916-0"Quantum" molecular dynamics- a dynamical microscopic N-body approach to investigate fragment formation and the nuclear equation of state in heavy ion collisions
. Phys Rep, 1991, 202: 233-360. doi: 10.1016/0370-1573(91)90094-3Probing the Nuclear Liquid-Gas Phase Transition
. Phys Rev Lett, 1995, 75: 1040. doi: 10.1103/PhysRevLett.75.1040Application of information theory in nuclear liquid gas phase transition
. Phys Rev Lett, 1999, 83: 3617. doi: 10.1103/PhysRevLett.83.3617Correlation functions in the QCD vacuum
. Rev. Mod. Phys. 65 (1993) 1. doi: 10.1103/RevModPhys.65.1Hadronic and electromagnetic probes of hot and dense nuclear matter
. Phys Rep, 1999, 308: 65. doi: 10.1016/S0370-1573(98)00028-3Experimental and theoretical challenges in the search for the quark gluon plasma: the STAR Collaboration’s critical assessment of the evidence from RHIC collisions
. Nucl Phys A, 2005, 757: 102. doi: 10.1016/j.nuclphysa.2005.03.085Collective flow and hydrodynamics in large and small systems at the LHC
. Nucl. Sci. Tech., 2017, 28: 99. doi: 10.1007/s41365-017-0245-4Bulk properties of the medium produced in relativistic heavy-ion collisions from the beam energy scan program
. Phys Rev C, 2017, 96: 044904. doi: 10.1103/PhysRevC.96.044904GW170817: Observation of gravitational waves from a binary neutron star inspiral
. Phys Rev Lett, 2017, 119: 161101. doi: 10.1103/PhysRevLett.119.161101Insight-HXMT observations of the first binary neutron star merger GW170817
. Sci China Phys Mech Astron, 2018, 61: 031011. doi: 10.1007/s11433-017-9107-5Subthreshold kaon production as a probe of the nuclear equation of state
. Phys Rev Lett, 1985, 55: 2661. doi: 10.1103/PhysRevLett.55.2661Evidence for a soft nuclear equation-of-state from kaon production in heavy-ion collisions
. Phys Rev Lett, 2001, 86: 39. doi: 10.1103/PhysRevLett.86.39Subthreshold kaon production and the nuclear equation of state
. Phys Lett B, 1995, 349: 405. doi: 10.1016/0370-2693(95)00301-ZProbing the nuclear equation of state by K+ production in heavy-ion collisions
. Phys Rev Lett, 2001, 86: 1974. doi: 10.1103/PhysRevLett.86.1974Hadronic matter is soft
. Phys Rev Lett, 2006, 96: 012302. doi: 10.1103/PhysRevLett.96.012302Constraining the high-density behavior of the nuclear equation of state from strangeness production in heavy-ion collisions
. Phys Rev C, 2011, 83: 067604. doi: 10.1103/PhysRevC.83.067604Probing the high density behavior of the nuclear symmetry energy with high energy heavy-ion collisions
. Phys Rev Lett, 2002, 88: 192701. doi: 10.1103/PhysRevLett.88.192701∑-/∑+ ratio as a candidate for probing the density dependence of the symmetry potential at high nuclear densities
. Phys Rev C, 2005, 71: 054907. doi: 10.1103/PhysRevC.71.054907Isospin effects on subthreshold kaon production at intermediate energies
. Phys Rev Lett, 2006, 97: 202301. doi: 10.1103/PhysRevLett.97.202301Probing the nuclear symmetry energy with heavy-ion collisions
. J Phys G: Nucl Part Phys, 2010, 37: 083101. doi: 10.1088/0954-3899/37/8/083101Isospin effects on strangeness in heavy-ion collisions
. Nucl Phys A, 2010, 832: 88. doi: 10.1016/j.nuclphysa.2009.11.009Dynamics of pion production in heavy-ion collisions around 1A GeV energies
. Phys Rev C, 2010, 82, 044615. doi: 10.1103/PhysRevC.82.044615Probing high-density behavior of symmetry energy from pion emission in heavy-ion collisions
. Phys Lett B, 2010, 683: 140-144. doi: 10.1016/j.physletb.2009.12.006Effects of nuclear symmetry energy on η meson production and its rare decay to the dark U-boson in heavy-ion reactions
. Phys Lett B, 2013, 723: 388. doi: 10.1016/j.physletb.2013.05.059In-medium and isospin effects on eta production in heavy-ion collisions near threshold energies
. Eur Phys J A, 2017, 53: 128. doi: 10.1140/epja/i2017-12325-3Isospin emission and flow at high baryon density: A test of the symmetry potential
. Phys Rev C, 2010, 81: 044611. doi: 10.1103/PhysRevC.81.044611Effective mass splitting of neutron and proton and isospin emission in heavy-ion collisions
. Nucl Phys A, 2012, 878: 3-13. doi: 10.1016/j.nuclphysa.2012.01.014A survey of hypernuclear physics
. Phys Rep, 1995, 257: 349. doi: 10.1016/0370-1573(94)00114-IIn-medium nuclear interactions of low-energy hadrons
. Phys Rep, 2007, 452: 89. doi: 10.1016/j.physrep.2007.08.002Symmetry energy effects on the mixed hadron-quark phase at high baryon density
. Phys Rev C, 2011, 83: 014911. doi: 10.1103/PhysRevC.83.014911Kaons in dense matter, kaon production in heavy-ion collisions, and kaon condensation in neutron stars
. Nucl Phys A, 1997, 625: 372; doi: 10.1016/S0375-9474(97)00489-2K+ versus Λ flow in relativistic heavy-ion collisions
. Nucl Phys A, 1998, 636: 487. doi: 10.1016/S0375-9474(98)00206-1Kaon production in heavy ion reactions at intermediate energies
. Prog. Part. Nucl. Phys, 2006, 56: 1. doi: 10.1016/j.ppnp.2005.07.004Strangeness production close to the threshold in proton-nucleus and heavy-ion collisions
. Phys Rep, 2012, 510: 119. doi: 10.1016/j.physrep.2011.08.004Spectroscopy of Λ hypernuclei
. Prog. Part. Nucl. Phys. 57 (2006) 564. doi: 10.1016/j.physrep.2011.08.004Symmetry energy softening in nuclear matter with non-nucleonic constituents
. Phys Rev C, 2013, 87: 064314. doi: 10.1103/PhysRevC.87.064314Strangeness to increase the density of finite nuclear systems in constraining the high-density nuclear equation of state
. Nucl Sci Tech, 2017, 28: 180. doi: 10.1007/s41365-017-0333-5Hyperons and massive neutron stars: The role of hyperon potentials
. Nucl Phys A, 2012, 881: 62-77. doi: 10.1016/j.nuclphysa.2012.02.012Delayed disintegration of a heavy nuclear fragment: I
. Philos Mag, 1953, 44: 348. doi: 10.1080/14786440308520318PANDA Collaboration
, http://www-panda.gsi.de, arXiv: physics/0701090.Production of hypernuclei in peripheral HI collisions: The HypHI project at GSI
. Nucl Phys A, 2012, 881: 218. doi: 10.1016/j.nuclphysa.2012.02.011Observation of an antimatter hypernucleus
. Science, 2010, 328: 58. doi: 10.1126/science.1183980(Anti-)matter and hyper-matter production at the LHC with ALICE
. Nucl Phys A, 2013, 904-905: 547c. doi: 10.1016/j.nuclphysa.2013.02.073NICA White Paper
, http://theor.jinr.ru/twiki-cgi/view/NICA/WebHome.Strangeness nuclear physics experiments at J-PARC
. Prog Theor Exp Phys, 2012, 02B012. doi: 10.1093/ptep/pts056High Intensity heavy ion Accelerator Facility (HIAF) in China
. Nucl Inst Meth B, 2013, 317: 263-265. doi: 10.1016/j.nimb.2013.08.046p¯ annihilation on heavy nuclei
. Phys Lett B, 1980, 91: 281. doi: 10.1016/0370-2693(80)90450-5Quark-gluon plasma in 4 GeV/c antiproton annihilations on nuclei
. Phys Lett B, 1988, 207: 371. doi: 10.1016/0370-2693(88)90666-1Dynamical treatment of Fermi motion in a microscopic description of heavy ion collisions
. Phys Rev C, 1992, 46: 1457. doi: 10.1103/PhysRevC.46.1457Relativistic hadron-hadron collisions in the ultra-relativistic quantum molecular dynamics model
. J Phys G: Nucl Part Phys, 1999, 25: 1859. doi: 10.1088/0954-3899/25/9/308Quantum molecular dynamics study of fusion and its fade out in the 16O+16O system
. Phys Rev C, 1990, 42: 386. doi: 10.1103/PhysRevC.42.386Quantum molecular dynamics approach to the nuclear matter below the saturation density
. Phys Rev C, 1998, 57: 655. doi: 10.1103/PhysRevC.57.655Modelling the many-body dynamics of heavy ion collisions: Present status and future perspective
. Eur Phys J A, 1998, 1: 151. doi: 10.1007/s100500050045Analysis of isospin dependence of nuclear collective flow in an isospin-dependent quantum molecular dynamics model
. Phys Rev C, 1998, 58: 2283. doi: 10.1103/PhysRevC.58.2283Constrained molecular dynamics approach to fermionic systems
. Phys Rev C, 2001, 64: 024612. doi: 10.1103/PhysRevC.64.024612Improved quantum molecular dynamics model and its applications to fusion reaction near barrier
. Phys Rev C, 2002, 65: 064608. doi: 10.1103/PhysRevC.65.064608Microscopic dynamics simulations of heavy-ion fusion reactions induced by neutron-rich nuclei
. Phys Rev C, 2014, 89: 064601. doi: 10.1103/PhysRevC.89.064601Properties of the composite systems formed in the reactions of 238U+238U and 232Th+250Cf
. Phys Rev C, 2008,77: 064603. doi: 10.1103/PhysRevC.77.064603Production probability of superheavy fragments at various initial deformations and orientations in the 238U+238U reaction
. Phys Rev C, 2013, 88: 044605. doi: 10.1016/PhysRevC.42.386Constraints on nucleon effective mass splitting with heavy ion collisions
. Phys Lett B, 2014, 732: 186. doi: 10.1016/j.physletb.2014.03.030Improved isospin dependent quantum molecular dynamics model and its application to fusion reactions near Coulomb barrier
. Nucl Phys A, 2005, 750: 232-244. doi: 10.1016/j.nuclphysa.2005.01.001Dynamical analysis on heavy-ion fusion reactions near Coulomb barrier
. Nucl Phys A, 2008, 802: 91-106. doi: 10.1016/j.nuclphysa.2008.01.022Giant dipole resonance as a fingerprint of α clustering configurations in 12C and 16O
. Phys Rev Lett, 2014, 113: 032506. doi: 10.1103/PhysRevLett.113.032506Isoscalar giant monopole resonance in Sn isotopes using a quantum molecular dynamics model
. Phys Rev C, 2013, 88: 064615. doi: 10.1103/PhysRevC.88.064615Dynamics of strangeness and collective flows in heavy-ion collisions near threshold energies
. Nucl Phys A, 2013, 919: 32-45. doi: 10.1016/j.nuclphysa.2013.10.005In-medium and isospin effects on particle production near threshold energies in heavy-ion collisions
. Phys Rev C, 2015, 92: 044604. doi: 10.1103/PhysRevC.92.044604Particle production in antiproton-induced nuclear reactions
. Phys Rev C, 2014, 89: 044617. doi: 10.1103/PhysRevC.89.044617Momentum dependence of the symmetry potential and its influence on nuclear reactions
. Phys Rev C, 2011, 84: 024610. doi: 10.1103/PhysRevC.84.024610Nuclear in-medium effects and collective flows in heavy-ion collisions at intermediate energies
. Phys Rev C, 2012, 85: 014604. doi: 10.1103/PhysRevC.85.014604Pion scattering and isobars in nuclei
. Phys Rep, 1975, 22: 279-337. doi: 10.1016/0370-1573(75)90026-5Preequilibrium particle emissions and in-medium effects on the pion production in heavy-ion collisions
. Eur Phys J A, 2017, 53: 30. doi: 10.1140/epja/i2017-12217-6Transport model with quasipions
. Phys Rev C, 1993, 47: 788. doi: 10.1103/PhysRevC.47.788In-medium kaon production at the mean-field level
. Nucl Phys A, 1997, 625: 325. doi: 10.1016/S0375-9474(97)81464-9Antiproton-nucleus collisions simulation within a kinetic approach with relativistic mean fields
. Phys Rev C, 2009, 80: 021601(R). doi: 10.1103/PhysRevC.80.021601Nucleon-Antinucleon Optical Potential
. Phys Rev Lett, 1982, 48: 1319-1322. doi: 10.1103/PhysRevLett.48.1319Λ-nucleus single-particle potentials
. Phys Rev C, 1988, 38: 2700-2708. doi: 10.1103/PhysRevC.38.2700Importance of momentum-dependent interactions for the extraction of the nuclear equation of state from high-energy heavy-ion collisions
. Phys Rev Lett, 1987, 58: 1926. doi: 10.1103/PhysRevLett.58.1926Nucleon-nucleon elastic scattering and total cross sections
. Rev Mod Phys, 1993, 65: 47. doi: 10.1103/RevModPhys.65.47Elliptic flow in intermediate energy heavy ion collisions and in-medium effects
. Phys Rev C, 2002, 65: 064611. doi: 10.1103/PhysRevC.65.064611Nucleon-nucleon cross sections in neutron-rich matter and isospin transport in heavy-ion reactions at intermediate energies
. Phys Rev C, 2005, 72: 064611. doi: 10.1103/PhysRevC.72.064611Pion production in heavy-ion collisions in the 1A GeV region
. Chin Phys Lett, 2009, 26: 062501. doi: 10.1088/0256-307X/26/6/062501Production of Δ- and N*- resonances in the one-boson exchange model
. Nucl Phys A, 1994, 573: 587-625. doi: 10.1016/0375-9474(94)90232-1Pion reabsorption in heavy-ion collisions interpreted in terms of the Δ capture process
. Phys Lett B, 1996, 366: 63. doi: 10.1016/0370-2693(95)01342-3Pion reabsorption in heavy-ion collisions interpreted in terms of the Δ capture process
[Phys. Lett. B 366 (1996) 63].Pion reabsorption in heavy-ion collisions interpreted in terms of the Δ capture process
Phys Lett B, 1996, 375: 359 (erratum). doi: 10.1016/0370-2693(96)00207-9Eta and dilepton production in heavy-ion reactions
. Nucl Phys A, 1993, 552: 549-570. doi: 10.1016/0375-9474(93)90285-6Pion production, pion absorption, and nucleon properties in dense nuclear matter: Relativistic Dirac-Brueckner approach at intermediate and high energies
. Phys Rev C, 1987, 36: 1611. doi: 10.1103/PhysRevC.36.1611Production of deuterons and pions in a transport model of energetic heavy-ion reactions
. Nucl Phys A, 1991, 533: 712-748. doi: 10.1016/0375-9474(91)90541-DReview of Particle Physics
. Chin Phys C, 2014, 38: 090001. doi: 10.1088/1674-1137/38/9/090001Nuclear fragmentation and charge-exchange reactions induced by pions in the Δ-resonance region
. Phys Rev C, 2016, 94: 054617. doi: 10.1103/PhysRevC.94.054617Resonance model study of kaon production in baryon-baryon reactions for heavy-ion collisions
. Phys Rev C, 1999, 59: 369. doi: 10.1103/PhysRevC.59.369The role of the Δ(1920) resonance for kaon production in heavy ion collisions
. Phys Lett B, 1994, 337: 245-253. doi: 10.1016/0370-2693(94)90971-7Resonance model of pi Delta to YK for kaon production in heavy-ion collisions
. J Phys G, 1995, 21: 33. doi: 10.1088/0954-3899/21/1/005K+ production in a cascade model for high-energy nucleus-nucleus collisions
. Nucl Phys A, 1984, 422: 635-653. doi: 10.1016/0375-9474(84)90369-5Kaon versus antikaon production at SIS energies
. Nucl Phys A, 1997, 614, 415-432. doi: 10.1016/S0375-9474(96)00461-7Strangeness production in antiproton annihilation on nuclei
. Phys Rev C, 1990, 41: 1701. doi: 10.1103/PhysRevC.41.1701Nuclear in-medium and isospin effects on subthreshold kaon production in heavy-ion collisions
. Phys Rev C, 2013, 87: 064605. doi: 10.1103/PhysRevC.87.064605Studies of superdense hadronic matter in a relativistic model
. Int J Mod Phys E, 2001, 10: 267. doi: 10.1142/S0218301301000575Production of fragments and hyperfragments in antiproton-nucleus collisions
. Phys Rev C, 2016, 93: 041601(R). doi: 10.1103/PhysRevC.93.041601Transport-theoretical description of nuclear reactions
. Phys Rep, 2012, 512: 1-124. doi: 10.1016/j.physrep.2011.12.001Effects of mesonic resonance production in annihilation of stopped antiprotons on nuclei
. Nucl Phys A, 1992, 537: 393-417. doi: 10.1016/0375-9474(92)90362-NNuclear fragmentation induced by low-energy antiprotons within a microscopic transport approach
. Phys Rev C, 2016, 94: 064601. doi: 10.1103/PhysRevC.94.064601Unexpected neutron/proton ratio and isospin effect in low-energy antiproton-induced reactions
. Phys Rev C, 2017, 96: 034607. doi: 10.1103/PhysRevC.96.034607Colonna M and Randrup
J. Nuclear spinodal fragmentation. Phys Rep, 2004, 389: 263. doi: 10.1016/j.physrep.2003.09.006Searching for instabilities in nuclear dynamics
. Phys Lett B, 1993, 307: 273; doi: 10.1016/0370-2693(93)90218-7Memory effects in nuclear fragmentation?
Nucl Phys A, 1994, 580: 313. doi: 10.1016/0375-9474(94)90776-5Evolution of the decay of highly excited nuclei
. Phys Rev C, 1998, 57: 3178; doi: 10.1103/PhysRevC.57.3178Evidence of slow relaxation of isospin degree of freedom
. Phys Lett B, 2002, 538: 39. doi: 10.1016/S0370-2693(02)01971-8Electromagnetic field effects on nucleon transverse momentum for heavy ion collisions around 100 A MeV
. Nucl Sci Tech, 2017, 28: 182. doi: 10.1007/s41365-017-0337-1Experimental effects of dynamics and thermodynamics in nuclear reactions on the symmetry energy as seen by the CHIMERA 4π detector
. Eur Phys J A, 2014, 50: 32; doi: 10.1140/epja/i2014-14032-yProduction cross sections for intermediate mass fragments from dynamical and statistical decay of projectile-like fragments in 124Sn+64Ni and 112Sn+58Ni collisions at 35A MeV
. Phys Rev C, 2015, 91: 014610. doi: 10.1103/PhysRevC.91.014610Systemactics of complex fragment emission in niobium-induced reactions
. Nucl Phys A, 1988, 483: 371. doi: 10.1016/0375-9474(88)90542-8Effects of isospin dynamics on neck fragmentation in isotopic nuclear reactions
. Phys Rev C, 2016, 94: 014609. doi: 10.1103/PhysRevC.94.014609Neck fragmentation reaction mechanism
. Nucl Phys A, 2004, 730: 329. doi: 10.1016/j.nuclphysa.2003.10.022Correlations between emission timescale of fragments and isospin dynamics in 124Sn+64Ni and 112Sn+58Ni reactions at 35A MeV
. Phys Rev C, 2012, 86: 014610. doi: 10.1103/PhysRevC.86.014610Probing effective nucleon masses with heavy-ion collisions
. Phys Rev C, 2016, 94: 011601(R). doi: 10.1103/PhysRevC.94.011601Isospin splitting of nucleon effective mass and symmetry energy in isotopic nuclear reactions
. Chin Phys C, 2017, 41: 104104. doi: 10.1088/1674-1137/41/10/104104Transverse emission of isospin ratios as a probe of high-density symmetry energy in isotopic nuclear reactions
. Phys Lett B, 2012, 707: 83-87. doi: 10.1016/j.physletb.2011.12.001Temperature of intermediate mass fragments in simulated 40Ca+40Ca reactions around the Fermi energies by AMD model
. Nucl. Sci. Tech., 2016, 27: 111. doi: 10.1007/s41365-016-0112-8Dynamics of strangeness production in heavy-ion collisions near threshold energies
. Phys Rev C, 2010, 82: 057901. doi: 10.1103/PhysRevC.82.057901Systematics of pion emission in heavy ion collisions in the 1A GeV regime
. Nucl Phys A, 2007, 781: 459. doi: 10.1016/j.nuclphysa.2006.10.085Neutral pions and η mesons as probes of the hadronic fireball in nucleus-nucleus collisions around 1A GeV
. Phys Rev C, 2003, 67: 024903. doi: 10.1103/PhysRevC.67.024903Nuclear in-medium effects of strange particles in proton-nucleus collisions
. Phys Rev C, 2014, 90: 064604. doi: 10.1103/PhysRevC.90.064604Medium effects in kaon and antikaon production in nuclear collisions at subthreshold beam energies
. Phys Rev Lett, 1999, 82: 1640. doi: 10.1103/PhysRevLett.82.1640First evidence for different freeze-out conditions for kaons and antikaons observed in heavy-ion collisions
. Phys Rev Lett, 2003, 91: 152301. doi: 10.1103/PhysRevLett.91.152301In-medium effects on phase space distributions of antikaons measured in proton-nucleus collisions
. Phys Rev Lett, 2006, 96: 072301. doi: 10.1103/PhysRevLett.96.072301Production of light nuclei, hypernuclei and their antiparticles in relativistic nuclear collisions
. Phys Lett B, 2011, 697: 203-207. doi: 10.1016/j.physletb.2011.01.053Missing-mass spectroscopy with the 6Li(π-,K+)X reaction to search for Λ6H
. Phys Rev C, 2017, 96: 014005. doi: 10.1103/PhysRevC.96.014005Observation of Antiprotons
. Phys Rev, 1955, 100: 947. doi: 10.1103/PhysRev.100.947Experiments on Antiprotons: Antiproton-Nucleon Cross Sections
. Phys Rev, 1957, 108: 1553. doi: 10.1103/PhysRev.108.1553Antiproton Interactions in Hydrogen and Carbon below 200 MeV
. Phys Rev, 1960, 118: 1371. doi: 10.1103/PhysRev.118.1371Design Study of a Facility for Experiments with Low Energy Antiprotons (LEAR), CERN Report CERN/PS/DL 80-7
(1980).Forty years of antiprotons
. Rev Mod Phys, 1999, 71: 373. doi: 10.1103/RevModPhys.71.373Experimental observation of isolated large transverse energy electrons with associated missing energy at s=540 GeV
. Phys Lett B, 1983, 122: 103-116. doi: 10.1016/0370-2693(83)91177-2Further evidence for charged intermediate vector bosons at the SPS collider
. Phys Lett B, 1983, 129: 273-282. doi: 10.1016/0370-2693(83)90860-2Production and detection of cold antihydrogen atoms
. Nature, 2002, 419: 456-459. doi: 10.1038/nature01096Measurement of interaction between antiprotons
. Nature, 2015, 527, 345-348. doi: 10.1038/nature15724Light particle emission induced by stopped antiprotons in nuclei: Energy dissipation and neutron-to-proton ratio
. Phys Rev C, 1995, 51: 1167. doi: 10.1103/PhysRevC.51.1167Multipion dynamics following antiproton annihilation on nuclei
. Nucl Phys A, 1989, 500: 701-730. doi: 10.1016/0375-9474(89)90236-4Lambda production from anti-proton annihilation in nuclei
. Phys Lett B, 1987, 192: 31-34. doi: 10.1016/0370-2693(87)91136-1Kaon and hyperon production in antiproton- induced reactions on nuclei
. Phys Rev C, 2012, 85: 024614. doi: 10.1103/PhysRevC.85.024614Antiproton-nucleus reactions at intermediate energies
. Nucl Sci Tech, 2015, 26: S20506. doi: 10.13538/j.1001-8042/nst.26.S20506Statistical multifragmentation of nuclei
. Phys Rep, 1995, 257: 133. doi: 10.1016/0370-1573(94)00097-MNuclear dynamics induced by antiprotons
. Nucl Sci Tech, 2015, 26: S20512. doi: 10.13538/j.1001-8042/nst.26.S20512Observation of a ΛΛ6 He double hypernucleus
. Phys Rev Lett, 2001, 87: 212502. doi: 10.1103/PhysRevLett.87.212502

-201803/1001-8042-29-03-010/alternativeImage/1001-8042-29-03-010-F006.jpg)
-201803/1001-8042-29-03-010/alternativeImage/1001-8042-29-03-010-F014.jpg)
