1 Introduction
The production of forward J/ψ mesons in proton-proton (p+p) and proton-nucleus (p+A) collisions can provide valuable insight into the gluon saturation physics and strong color fields at a small x. Thus, this subject has received much attention on nuclear theory sides in recent years [1-5]. There are two stages for J/ψ production. The first stage is the J=ψ pair production in p+p and p+A collisions. The Color Glass Condensate (CGC) theory, which consider the p+p (A) as a dilute-dense system, is an effective method to study the J=ψ pair production. According to the CGC theory, the J=ψ pair production comes from two processes at leading order. One process is that the gluon from the incoming proton splits into a J=ψ pair before multiple scattering with the target, and the other process is that the incoming gluon multiply scatters with the target nucleus first and then splits into the J=ψ pair. The second stage is the J=ψ pair producing the J/ψ meson. This process can be described with the simple color evaporation model (CEM) [6,7]. In this model, the color of the J=ψ pair is assumed to be "evaporated" away in the form of a soft gluon, and then all the J=ψ pair are assumed to become the J/ψ mesons with a fixed fraction below the D-meson threshold.
In the CGC framework, the dipole amplitude is the key ingredient to compute the cross section for J=ψ pair production. At Large Hadron Collider (LHC) energies, the value of Bjorken-x for J=ψ pair production in p+p (Pb) collisions will be down to 10-6. At this x domain, the common phenomenological saturation models, such as the CGC model [8], the Soyez model [9], and the Golec-Biernat and Wüsthoff (GBW) model [10], are not valid. Recently, it is more popular to use the running coupling Balitsky-Kovchegov (rcBK) equation for the dipole amplitude [1-3]. Unfortunately, there is a Fourier transform to obtain the unintegrated gluon distribution (UGD) from the dipole amplitude. Because the Fourier transform is an oscillatory integral [11], it is too difficult to ensure the accuracy of the theoretical results with the rcBK approach, especially at large pT. Here, we will introduce the phenomenological model proposed by Kovchegov, Lu, and Rezaeian (KLR) [12,13]. This model is depended on the Anti-de Sitter space/conformal field theory (AdS/CFT) approach, and proved very valid at a small Bjorken-x domain (10-4∼10-6). Furthermore, an analytic formula of the UGD can be obtained from the dipole amplitude given by the KLR-AdS/CFT model. Thus, the accuracy of the theoretical results can be ensured. In this paper, we will use the rcBK approach and the KLR-AdS/CFT model to investigate the J/ψ production in p+p and p+Pb collisions at LHC energies.
In order to study the nuclear suppression of forward J/ψ production in p+A collisions, the nuclear effects should be considered. A simple method to consider nuclear effects is by relating the saturation scale of a heavy nucleus,
This paper is organized as follows. In Sect. 2, we introduce the theoretical formalism for J=ψ pair production in the large Nc limit. Then, we give the method of calculating the differential cross section for J/ψ production in Sect. 3. In Sect. 4, we give the theoretical results and compare them with the recent experimental data from ALICE and LHCb.
2 Quark Pair Production Cross Section in the Large Nc Limit
In the CGC framework, the cross-section of quark pair production with the transverse momentum, pT(qT), and rapidity, yp(yq) of the quark (anti-quark) can be written as [1]
where
where
with aT ≡qT -kT. x1 Gp (x1,Q2) is the collinear gluon distribution function of the proton. In this work we use the CTEQ6 LO parametrization [24].
The three-point function of the nucleus in Eq. (1) can be expressed as
where b is the impact parameter and lT=pT+qT. The UGD can be obtained by a Fourier transform [11,25]
where SY(rT) is the dipole amplitude and J0 is the spherical bessel function of the first kind.
In this paper, the rcBK approach and the KLR-AdS/CFT model are used for SY(rT). In the rcBK approach, the dipole scattering amplitude can be given by Ref. [25]
where KBal(rT,r1T,r2T) is the kernel for the running term, and the GBW ansatz is used for the initial conditions of the dipole scattering amplitude
with γ=1 and
where the saturation scale is given by
With
Here, we choose λYM=20 and M0=6.16×10-3, which are obtained from a fit to the HERA data.
For p+A collisions, the saturation scale of the nucleus can be given by Ref. [21,22]
where the participating nucleons in the collisions, Npart,A, can be given by a convolution of the thickness function of the proton and nucleus [26]. For the thickness function of the nucleus, we use the Woods-Saxon form [27]
where ρ0 is the nucleon density in the center of the nucleus and R is the nuclear radius [26]. For the proton, the Gaussian form is used [28]
with
3 Differential Cross Section in Terms of the J/ψ Variate
In order to compare with the experimental data, we should express the cross section in Eq. (1) in terms of the variate of J/ψ, which are the invariant mass, M2, the transverse momentum, PT, and rapidity, Y. The relation equation can be written as Ref. [29]
where
where the momenta in the center of mass system of the quark pair
and
In Eq. (16), Lx(βx) and Lz(βz) are the Lorentz boosts in the x-axis and z-axis, respectively.
To calculate the cross section of J/ψ, we will use the simple color evaporation model [6,7]. This model assumes that all
where FJ/ψ(=0.01-0.05) is a nonperturbative quantity representing the probability that a J=ψ pair will become a J/ψ [23].
4 Results and Discussion
For the UGD of the KLR-AdS/CFT model, an analytic form can be obtained from Eq. (7)
The UGD SY(x,kT) versus x at kT= 1 GeV (a), 2 GeV (b), 4 GeV (c), and 6 GeV (d) are shown in Fig. 1. The solid and dashed curves are the results of the rcBK approach and the KLR-AdS/CFT model, respectively. It is shown that the results of the KLR-AdS/CFT model are larger than that of the rcBK approach at small kT, but the results are just the opposite at large kT. It is also shown that the results of the KLR-AdS/CFT model are obviously independent of Bjorken-x when x is small.
-201808/1001-8042-29-08-010/alternativeImage/1001-8042-29-08-010-F001.jpg)
In Fig. 2, we give the results for the production cross section of J/ψ in p+p collisions versus Y (a,c) and PT (b,d) at a center of mass energy
-201808/1001-8042-29-08-010/alternativeImage/1001-8042-29-08-010-F002.jpg)
Using Eq. (12), we show the differential cross section of J/ψ production versus Y (a) and PT (b) in p+Pb collisions at a center of mass energy of
In order to compare with experimental data, we introduce the nuclear modification factor
and
where
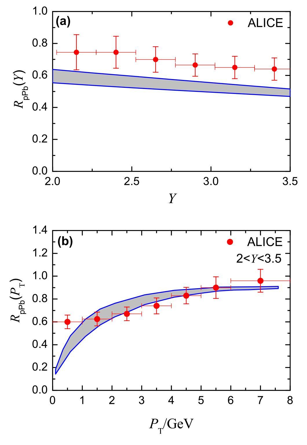
In Fig. 5, we analyze the J/ψ production in p+Pb collisions at forward (a) and backward (b) rapidity at the center of mass energy of
-201808/1001-8042-29-08-010/alternativeImage/1001-8042-29-08-010-F005.jpg)
In summary, we have investigated forward J/ψ production in p+p and p+Pb collisions at LHC energies in the CGC framework together with the CEM. Considering the transverse distribution of the proton and nucleus, the theoretical results are in good agreement with the data from ALICE and LHCb with the analytic UGD from the KLR-AdS/CFT model. Unfortunately, there are still some deviations between the theoretical results and the data especially at large PT. Thus, we should give a further study on this subject in the future.
Leptons from heavy-quark semileptonic decay in pA collisions within the CGC framework
. Nucl. Phys. A 951, 45 (2016). doi: 10.1016/j.nuclphysa.2016.03.045Centrality-dependent forward J/ψ production in high energy proton-nucleus collisions
. EPJ Web of Conferences 112, 04002 (2016). doi: 10.1051/epjconf/201611204002J/ψ production and suppression in high-energy proton-nucleus collisions
. Phys. Rev. D 92, 071901 (2015). doi: 10.1103/PhysRevD.92.071901Nuclear modification of forward D production in pPb collisions at the LHC
. arXiv: https://arxiv.org/abs/1706.06728. AccessedHeavy quark production in kt factorization approach at LHC energies
. Int. J. Mod. Phys. A 33, 1850003 (2018). doi: 10.1142/S0217751X18500033xF(or y)-dependence of nuclear absorption and energy loss effects on J/ψ production
. Commun. Theor. Phys. 52, 1049 (2009). doi: 10.1088/0253-6102/52/6/14Shadowing and absorption effects on J/ψ production in dA collisions
. Phys. Rev. C 71, 054902 (2005). doi: 10.1103/PhysRevC.71.054902Saturation and BFKL dynamics in the HERA data at small-x
. Phys. Lett. B 590, 199 (2004). doi: 10.1016/j.physletb.2004.02.040Saturation QCD predictions with heavy quarks at HERA
. Phys. Lett. B 655, 32 (2007). doi: 10.1016/j.physletb.2007.07.076Saturation effects in deep inelastic scattering at low Q2 and its implications on diffraction
. Phys. Rev. D 59, 014017 (1999). doi: 10.1103/PhysRevD.59.014017Hadron multiplicities in p+p and p+Pb collisions at the LHC
. Nucl. Sci. Tech. 25, 040502 (2014). doi: 10.13538/j.1001-8042/nst.25.040502Comparing AdS/CFT calculations to HERA F2 data
. Phys. Rev. D 80, 074023 (2009). doi: 10.1103/PhysRevD.80.074023AdS/CFT applications to relativistic heavy-ion collisions: a brief review
. Rep. Prog. Phys. 75, 12 (2012). doi: 10.1088/0034-4885/75/12/124301QCD saturation and deuteron-nucleus collisions
. Nucl. Phys. A 730, 448 (2004). doi: 10.1016/j.nuclphysa.2003.08.031The nuclear configurational entropy impact parameter dependence in the Color-Glass Condensate
. EPL 118, 38001 (2017). doi: 10.1209/0295-5075/118/38001Fine-tuning the Color-Glass Condensate with the nuclear configurational entropy
. EPL 117, 18001 (2017). doi: 10.1209/0295-5075/117/18001Entropic information of dynamical AdS/QCD holographic models
. Phys. Lett. B 762, 107 (2016). doi: 10.1016/j.physletb.2016.09.023Configurational entropy of glueball states
. Phys. Lett. B 765, 81 (2017). doi: 10.1016/j.physletb.2016.12.007AdS/QCD duality and the quarkonia holographic information entropy
. Phys. Lett. B 776, 78 (2018). doi: 10.1016/j.physletb.2017.11.034Configurational entropy of anti-de Sitter black holes
. Phys. Lett. B 767, 386 (2017). doi: 10.1016/j.physletb.2017.02.031Gluon saturation in pA collisions at energies available at the CERN Large Hadron Collider: Predictions for hadron multiplicities
. Phys. Rev. C 85, 044920 (2012). doi: 10.1103/PhysRevC.85.044920Pseudo-rapidity distributions of charged hadrons in pp and pA collisions at the LHC
. Chin. Phys. C 37, 084102 (2013). doi: 10.1088/1674-1137/37/8/084102Heavy quark pair production in high-energy pA collisions: Quarkonium
. Nucl. Phys. A 915, 1 (2013). doi: 10.1016/j.nuclphysa.2013.06.011CTEQ6 parton distributions with heavy quark mass effects
. Phys. Rev. D 69, 114005 (2004). doi: 10.1103/PhysRevD.69.114005Nonlinear QCD meets data: A global analysis of lepton-proton scattering with running coupling Balitsky-Kovchegov evolution
. Phys. Rev. D 80, 034031 (2009). doi: 10.1103/PhysRevD.80.034031Glauber modeling in high-energy nuclear collisions
. Annu. Rev. Nucl. Part. Sci. 57, 205 (2007). doi: 10.1146/annurev.nucl.57.090506.123020Shannon information entropy in heavy-ion collisions
. Prog. Part. Nucl. Phys. 99, 120 (2018). doi: 10.1016/j.ppnp.2018.01.002Energy dependent growth of the nucleon and hydrodynamic initial conditions
. Phys. Rev. C 84, 054905 (2011). doi: 10.1103/PhysRevC.84.054905Quark pair production in high energy pA collisions: General features
. Nucl. Phys. A 780, 146 (2006). doi: 10.1016/j.nuclphysa.2006.09.012Measurement of quarkonium production at forward rapidity in pp collisions at s =7 TeV
. Eur. Phys. J. C 74, 2974 (2014). doi: 10.1140/epjc/s10052-014-2974-4J/ψ production and nuclear effects in p-Pb collisions at sNN=5.02 TeV
. JHEP 1402, 073 (2014). doi: 10.1007/JHEP02(2014)073Study of J/ψ production and cold nuclear matter effects in pPb collisions at sNN=5TeV
. JHEP 1402, 072 (2014). doi: 10.1007/JHEP02(2014)072Charmonium Production at forward rapidity in pp, p-Pb and Pb-Pb collisions, with ALICE
. http://lanl.arxiv.org/abs/1409.4458. AccessedPrompt and nonprompt J/ψ production and nuclear modification in pPb collisions at sNN =8.16 TeV
. Phys. Lett. B 774, 159 (2017). doi: 10.1016/j.physletb.2017.09.058

-201808/1001-8042-29-08-010/alternativeImage/1001-8042-29-08-010-F003.jpg)
-201808/1001-8042-29-08-010/alternativeImage/1001-8042-29-08-010-F004.jpg)
