1 Introduction
Linear accelerators (linacs) have been investigated for many applications. The design of linear accelerators potentially benefits from the use of X-band high-gradient accelerating structures to shorten the accelerator design [1]. Normal-conducting X-band technologies have been developed for future lepton linear collider projects over the several past decades [2–4]. Recent experiments have demonstrated that a gradient of 100 MV/m is achievable for X-band structures with a radio frequency (RF) breakdown rate of less than 10-5 /pulse/m [5–7].
The power consumption is proportional to the square of the accelerating gradient. High-gradient accelerating structures consequently require more input power and increased investment in RF power sources. The RF pulse compressor alleviates the need for power source investments [8]. It converts the long pulse from the power generator to a short pulse with a higher power level. In several applications, such as the free electron laser (FEL) [9] and the Thomson scattering source [10], the linacs are operated in single-bunch mode and require a short pulse length. Therefore, the use of a RF pulse compressor is preferable in these single-bunch applications.
The present work is motivated by the design and optimization of such an X-band (11.424 GHz) linac with a SLED-I type pulse compressor. This X-band linac will be used in the injector of the Tsinghua Thomson scattering X-ray (TTX) facility [11]. It will boost the electron beam from the current 50 MeV to 150 MeV, as shown in Fig. 1.
-202011/1001-8042-31-11-002/alternativeImage/1001-8042-31-11-002-F001.jpg)
Given the space limitation in the bunker, the active length of this X-band structure should not be greater than 1.3 m, and a gradient of 80 MV/m is required. Such a X-band structure demands a RF input power greater than 120 MW. The RF pulse compressor has a power gain of more than 3, so a 50 MW X-band klystron suffices as the power supply. The RF pulse compressor used in this work was obtained from Ref. [12], and is a SLED-I type compressor with a compact and easily operated design. The compressed RF pulse shape is not flat, i.e., the power varies over time, as shown in Fig. 2. The facility is operated in single-bunch mode, and the electron bunch will be accelerated at the maximum voltage point in every RF pulse. However, the time-varying RF power travels through the structure at a limited speed (group velocity); thus, the upstream and downstream cells in the structure experience different input power, thereby changing the distribution of the gradient. Detailed discussions will be presented in Sect. 2.
-202011/1001-8042-31-11-002/alternativeImage/1001-8042-31-11-002-F002.jpg)
The geometry of the X-band structure is optimized in this work to minimize the RF power required from the generator. This optimization is important in the TTX facility for two reasons: the klystron is more stable at lower power levels, and the spare power can be used to operate other X-band devices such as a RF photo-cathode gun [13], a deflecting cavity [14,15], or a linearizer [16]. Section 3 analytically explores the optimum solution for the accelerating structure. The study shows that the compressed RF pulse results in a near-optimum solution for the constant-impedance structure. The constant-impedance structure uses an identical structure geometry for each regular cell. It is more easily fabricated than the common traveling wave (TW) structure with varying iris apertures. The study in Sect. 3 demonstrates that a constant-impedance structure is favorable for the linac design if a SLED-I type RF pulse compressor is used. The concept of utilizing a constant-impedance structure as a near-optimum solution was also presented in Ref. [17].
We implemented this concept to develop the RF design of the X-band linac in the TTX facility, which uses a constant-impedance structure as the nominal accelerating structure design. Another design using varying iris apertures is also discussed and compared with the nominal design. Further details will be presented in Section 4. The study in this work will be useful for designing linacs operated in single-bunch mode for other similar applications [18–20], such as X-band FEL sources [21–27] and Thomson sources [28]. In the two-beam acceleration scheme, the RF pulse generated by the drive beam delivered in single-bunch mode [29–32] has a shape similar to that produced by the SLED-I type RF pulse compressor. The discussion in this work is hence also helpful in studying two-beam acceleration.
2 Compressed RF pulse in the TW structure
The principle of the SLED-I type RF pulse compressor is described in Ref. [8]. The pulse shape of the compressed output RF power (dashed line in Fig. 2) can be expressed by the following formulas:
where t is the time from the peak power point, P0 is the klystron input power, A is the field amplitude at the peak power point, ω is the angular frequency, and β and Qs are the coupling and quality factors of the storage cavity, respectively. The power gain factor A2 is determined by the shape of the filling pulse and the time of the phase switching (see Fig. 2). In the ideal case where the filling pulse is rectangular-shaped with a length of Tp and the phase is switched instantaneously, A can be analytically expressed as
Figure 3a shows that the compressed RF power flows from the upstream cells to successive downstream cells in the X-band structure at a speed equal to the group velocity of the structure. The maximum accelerating voltage is achieved when the wave front of the peak RF power and the electron bunch arrive simultaneously at the end of structure, as shown in Fig. 3b.
-202011/1001-8042-31-11-002/alternativeImage/1001-8042-31-11-002-F003.jpg)
The wall loss in the structure attenuates the RF power traveling within it. The RF power versus the longitudinal position z and the time t are expressed in the formulas below:
where T(z) is the filling time, α(z) is the attenuation factor, vg is the group velocity, and Q is the quality factor. The detailed derivation of Eqs. (5–7) is shown in Refs. [33,34]. Assuming that the electron bunch passes through the structure at the speed of light, the gradient of each cell is expressed as
where R is the shunt impedance per unit length and t0 is the time point at which the beam enters the inlet of the structure.
To obtain the maximum voltage, the peak RF power and the electron bunch should arrive at the end of the structure simultaneously, such that
where L is the length of one structure unit and Tf is the filling time. From Eqs. (1), (5), and (8), the gradient as a function of z can be given as
where the coefficient F represents the gradient gain due to the RF pulse compressor. According to Eqs. (1) and (4), A > Γ; thus, F is an increasing function of z. Figure 4 shows an example of the gradient distribution with and without the RF pulse compressor.
-202011/1001-8042-31-11-002/alternativeImage/1001-8042-31-11-002-F004.jpg)
3 Analytical optimization of the gradient distribution
This section explores the optimum solution that minimizes the input power for a given gradient. This optimization is equivalent to maximizing the effective shunt impedance Reff of the whole system [17], which is defined by the ratio of the average gradient
For large accelerator projects such as linear colliders, the AC power consumption is significant. Thus, the optimization of these applications should also consider additional parameters such as the RF pulse length and the beam current. The study in this work will focus on maximizing Reff because the investment in the power sources is much more expensive than the electricity in our application.
Eq. (8) indicates that the gradient is calculated from R, Q, and vg. Travelling wave accelerating structures usually have iris apertures that are tapered from the upstream cells to the downstream cells. The tapering results in the variation of vg from cell to cell, but the variations of R and Q are insignificant compared to that of vg. R and Q are assumed to be constant functions of z in this section. In this case, the distribution of the gradient is determined by vg = vg(z), which needs to be solved in the design work of the accelerating structure. If a RF pulse compressor is not used (F in Eq. (10) is 1), the integral of the square of the gradient can be written in a simple form:
From Eqs. (6) and (7), α(L) is equal to ωTf/Q. For a given P0, R, and Tf, the right side of Eq. (14) has a constant value regardless of the form of vg(z). In the calculus of variations, G(z) is an element or vector in a Banach space. Eq. (14) provides the Euclidean norm of G(z). According to the Cauchy–Schwarz inequality
The two sides of Eq. 15 are equal when G(z) is equal to 1, which means that Reff reaches its maximum when G(z) is a constant function. This indicates that the optimum solution is a constant gradient structure. From Eq. (14),
If the RF pulse compressor is used, then Eq. (15) can be rewritten as
where another assumption was made that the group velocity is much slower than the speed of light, i.e., T(z)=z/vg≫z/c; thus, the z/c and L/c terms in Eq. (10) can be ignored. Eq. (17) indicates that if the filling time Tf is fixed, then the Euclidean norm of G(z) does not depend on the specific form of vg(z). Therefore, the conclusion remains that the optimum solution is a uniformly distributed gradient when a RF pulse compressor is used. With a constant function as the gradient, vg can be solved as a function of the filling time T(z) based on Eq. (10):
One additional term F is included in the equation. It represents the effect of the pulse compressor on the solution of vg. F is an increasing function of T(z) such that the optimum solution of vg decreases more slowly than the solution without the RF pulse compressor. Fig. 5 shows the solutions of vg with different parameters of the RF pulse compressor as examples. For a number of parameter sets, the solutions of vg approximate constant functions, as shown in the second and fourth curves in Fig. 5. The constant vg allows all the structure cells to use identical geometries, which is called the constant-impedance structure. Compared to a structure using linearly-tapering iris apertures, the constant-impedance structure is significantly easier to fabricate and reduces the total cost of the accelerator.
-202011/1001-8042-31-11-002/alternativeImage/1001-8042-31-11-002-F005.jpg)
However, the constant vg solution requires particular parameters of the RF pulse compressor that are inconsistent with the global optimum for maximizing Reff. The upper limit of Reff given by Eq. (17) can be written as
where
From Eqs. (10), (12), and (13), the effective shunt impedance of the constant-impedance structure is written as
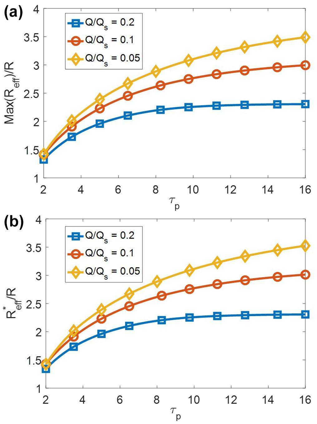
The expressions of Max(Reff) and
-202011/1001-8042-31-11-002/alternativeImage/1001-8042-31-11-002-F006.jpg)
-202011/1001-8042-31-11-002/alternativeImage/1001-8042-31-11-002-F007.jpg)
If the RF pulse compressor is not used, F(τ) in Eqs. (19) and (21) is 1. In this case, the maximum
-202011/1001-8042-31-11-002/alternativeImage/1001-8042-31-11-002-F008.jpg)
4 RF design of X-band linac for TTX facility
Section 3 analytically explored the optimum RF design of a traveling wave accelerating structure. The analysis was performed with the assumption that R and Q are constant values for all the cells in the structure. However, this assumption leads to inaccuracies if the structure cells have differing geometries. In this section, the RF parameters for two designs, namely, the optimized constant-impedance structure, and the optimized structure using varying iris apertures, are numerically calculated.
The cut view of a traveling wave accelerating structure cell is shown in Fig. 9. The phase advancement per structure cell is 2π/3. The study of short-range wakefields requires the average radius of the iris aperture to not be less than 3.5 mm and the minimum radius to be larger than 3 mm [35, 36]. With this aperture, the average group velocity is approximately 2.3% of the speed of light, and the quality factor Q is approximately 7200. The parameters of the RF pulse compressor in this work are similar to those in Refs. [12, 44]. The quality factor of the storage cavity Qs is approximately 100000. The total pulse length is approximately 1.5 μs; thus, τp is less than 14. According to Fig. 7a, the optimum τf is approximately 1.2, and thus the optimum filling time is given by Tf = τf Q/ω=120 ns. The optimum active length of the structure is calculated as vg×Tf ≈ 0.8 m. The required total active length of the X-band structure for the TTX facility is 1.3 m. The structure is hence divided into two identical structure units. Each structure unit has 72 structure cells and an active length of 0.63 m. Under these conditions, the optimum Tf is approximately 95 ns and the optimum τf is approximately 1. These optimum parameters facilitate the RF design of the linac.
-202011/1001-8042-31-11-002/alternativeImage/1001-8042-31-11-002-F009.jpg)
In actual operation, the phase switching takes time. This results in the factor A becoming less than the value obtained through the theoretical calculation in Eq. (4). This effect is not considered in this work because it complicates the estimation. The actual required power should be scaled by a factor that considers the phase-switching effect as well as the losses in the power transmission system.
The nominal RF design of the linac for TTX uses a constant-impedance structure. The design has three parameters for investigation: the iris thickness d, the ratio of the major radius to the minor radius in the elliptical iris e, and the coupling factor of the pulse compressor storage cavity β. Here, the radius of the iris aperture a is 3.5 mm, and the rounding in the wall R0 is 2.5 mm. We calculated the RF parameters R, Q, and vg of a single cell using the CST code [37]. The total required input power for the two structural units was calculated using Eq. (10) for average gradients of 80 MV/m.
Figure 10 plots the RF parameters of the structure versus β. The RF parameters include the required input power from the klystron, the maximum surface electric field Es, and the maximum modified Poynting vector Sc [38] in the structure. The maximum surface fields were calculated from the gradient of when the peak of the compressed power propagates in the cell. Fig. 10a shows that β for the minimum input power is 5. A larger value of β, however, induces a larger power flow in the upstream of the structure, which consequently increases the maximum surface field Es, and thus, Sc. According to a study on high-power tests of X-band accelerating structures, the RF breakdown rate is lower than 10-5/pulse/m when the structure operates at a pulse length of 100 ns, Es < 200 MV/m, and Sc < 5 MW/mm2 [7,39]. Finally, β was set to 3.5 considering both the input power and the maximum surface fields. Fig. 11 shows the RF parameters versus d and e. The optimum solution is d = 1.8 mm and e = 1.3 for the minimum input power under the condition that the maximum surface fields are below the limit set by the RF breakdown rate. The distributions of the normalized fields in the optimized single cell are shown in Fig. 12.
-202011/1001-8042-31-11-002/alternativeImage/1001-8042-31-11-002-F010.jpg)
-202011/1001-8042-31-11-002/alternativeImage/1001-8042-31-11-002-F011.jpg)
-202011/1001-8042-31-11-002/alternativeImage/1001-8042-31-11-002-F012.jpg)
Another structure design with varying iris apertures, which often uses linear tapering on the iris apertures, is also discussed here. In this setup, the upstream cells have a large aperture such that the group velocity of these cells is higher than the average. This will reduce the gradient in the upstream cells to decrease the maximum surface fields in the structure. The strategy in this structure design uses the optimum value of β = 5 to minimize the input power, as shown in Fig. 13a. Fig. 13b shows the maximum surface fields versus the tapering parameter ∆a, which is the difference between the aperture radii of the first and the last cells. The optimum ∆a for the minimum input power is 0.2 mm, and this ∆a also has a flat gradient distribution as shown in Fig. 14, in agreement with the analytical results in Section 3. However, a ∆a of 0.8 mm was finally selected to satisfy the criteria of the maximum surface fields. The optimization of d and e is similar to that of the constant-impedance structure design.
-202011/1001-8042-31-11-002/alternativeImage/1001-8042-31-11-002-F013.jpg)
-202011/1001-8042-31-11-002/alternativeImage/1001-8042-31-11-002-F014.jpg)
The final parameters of this structure are listed in Table 1 along with the parameters of the constant-impedance structure. Both designs satisfy the criteria of maximum surface fields with a low breakdown rate. The tapering-iris aperture design has a slightly lower input power than that of the nominal design using a constant-impedance structure. This phenomenon occurs because the value of β for the nominal design is not optimal with respect to the maximum surface fields.
| Tapering on iris aperture | Constant-impedance structure | |
|---|---|---|
| Iris aperture a (mm) | 3.92 – 3.12 | 3.5 |
| Iris thickness d (mm) | 1.7 | 1.8 |
| Iris elliptical ratio e | 1.0 | 1.3 |
| Shunt impedance R (MΩ/m) | 97 – 113 | 103 |
| Group velocity vg/c | 3.33% – 1.47% | 2.24% |
| Quality factor Q | 7260 – 7200 | 7180 |
| Filling time Tf (ns) | 95 | 94 |
| Es (MV/m) | 183 | 196 |
| Sc (MW/mm2) | 4.57 | 4.96 |
| β | 5 | 3.5 |
| Effective shunt impedance (MΩ/m) | 311 | 295 |
| Input power from klystron (MW) | 25.9 | 27.3 |
The final design of the constant-impedance structure has a total length of 0.7 m, as shown in Fig. 15. This structure is named as "TTX-XC72". The input and output couplers are both well matched to the WR90 waveguides with reflections of below -45 dB. The electric field along the beam path is simulated in CST [37] and shown in Fig. 16. The RF design of the SLED-Ⅰ type RF pulse compressor using a corrugated circular cavity with a coupling coefficient of 3.5 has also been completed, as reported in Ref. [44]. The distribution of the field parameters in the accelerating structure operating with the compressed pulse is calculated analytically based on the parameters Q, R, vg, and β listed in Table 1 and presented in Fig. 17.
-202011/1001-8042-31-11-002/alternativeImage/1001-8042-31-11-002-F015.jpg)
-202011/1001-8042-31-11-002/alternativeImage/1001-8042-31-11-002-F016.jpg)
-202011/1001-8042-31-11-002/alternativeImage/1001-8042-31-11-002-F017.jpg)
The modulation of the output pulse shape of the SLED-I pulse compressor to reduce the peak output power for lower surface fields while retaining the same average output power (the gradient is the same) will be considered in future studies. Two ways of modulating the output pulse shape using correction cavities [40–42] or the phase-modulating SLED mode [43] will be studied for this application.
In conclusion, the constant-impedance structure design with its advantage of much easier fabrication is preferable for upgrades of the TTX facility. A structure prototype based on this constant-impedance structure design will be manufactured and tested in the near future.
5 Conclusion
The RF design of a X-band linac for the TTX source facility was discussed in this work. The linac was designed to boost the energy of the electron beam in the TTX facility from 50 MeV to 150 MeV. A SLED-I type RF pulse compressor is used to increase the obtained peak power such that a single 50 MW X-band klystron can support the operation of this structure at a gradient of 80 MV/m. The compressed RF pulse has an unflattened pulse shape, which changes the gradient distribution along the structure cells. The study showed that the gradients in the downstream cells increase more significantly than the gradients in the upstream cells.
The structure was optimized with the aim of reducing the required input power from the power source so that the power source can operate more stably and provide spare power to feed other X-band devices. The analytical work proved that the optimum solution is a uniform distribution of the accelerating gradient. If the input RF pulse is flat, then the optimum solution is a constant-gradient structure. However, because the SLED-I type RF pulse compressor changes the RF shape, the constant-impedance structure is a near-optimum solution.
Two designs, a nominal design using the constant-impedance structure and a structure with varying iris apertures, were optimized in this work. Both designs have similar input power requirements and satisfy the criteria of generating the maximum surface field at a low breakdown rate. The constant-impedance structure design is more easily fabricated and therefore favorable for the X-band linac of the TTX facility.
Advances in X-band TW Accelerator Structures Operating in the 100 MV/m Regime
, inHigh Gradient Performance of NLC/GLC X-Band Accelerating Structures
, inDesign and optimization of Compact Linear Collider main linac accelerating structure
. Phys. Rev. Accel. Beams 19, 111003 (2016). https://doi.org/10.1103/PhysRevAccelBeams.19.111003X-band accelerator structures: On going R&D at the INFN
. Nucl. Instrum. Meth. A. 829, pp. 206-212 (2016). https://doi.org/10.1016/j.nima.2016.02.061Research of RF High Gradient Physics and Its Application in Accelerator Structure Development
. High Gradient Accelerating Structure, pp. 17-30 (2014). https://doi.org/10.1142/9789814602105_0002Comparison of the conditioning of high gradient accelerating structures
. Phys. Rev. Accel. Beams 19, 032001 (2016). https://doi.org/10.1103/PhysRevAccelBeams.19.032001Statistics of vacuum breakdown in the high-gradient and low-rate regime
. Phys. Rev. Accel. Beams 20, 011007 (2017). https://doi.org/10.1103/PhysRevAccelBeams.20.011007SLED: A Method of Doubling SLAC’s Energy
, inLinac Coherent Light Source: The first five years
. Rev. Mod. Phys. 88, 015007 (2016). https://doi.org/10.1103/RevModPhys.88.015007Thomson linac-based X-ray generator: a primer for theory and design
. Laser. Part. Beams 34(4), pp. 637-644 (2016). https://doi.org/10.1017/S0263034616000586Generation of first hard X-ray pulse at Tsinghua Thomson Scattering X-ray Source
. Rev. Sci. Instrum. 84, 053301 (2013). https://doi.org/10.1063/1.4803671Compact rf polarizer and its application to pulse compression systems
. Phys. Rev. Accel. Beams 19, 062002 (2016). https://doi.org/10.1103/PhysRevAccelBeams.19.062002Performance of a first generation X-band photoelectron rf gun
. Phys. Rev. Accel. Beams 19, 053401 (2016). https://doi.org/10.1103/PhysRevAccelBeams.19.053401Design and application of multimegawatt X-band deflectors for femtosecond electron beam diagnostics
. Phys. Rev. ST Accel. Beams 17, 102801 (2014). https://doi.org/10.1103/PhysRevSTAB.17.102801X-band deflecting cavity design for ultra-short bunch length measurement of SXFEL at SINAP
. Nucl. Sci. Tech. 25, 060101 (2014). https://doi.org/10.13538/j.1001-8042/nst.25.060101X-band rf driven free electron laser driver with optics linearization
. Phys. Rev. ST Accel. Beams 17, 110703 (2014). https://doi.org/10.1103/PhysRevSTAB.17.110703Optimisation of single bunch linac for FERMI upgrade
, inNormal conducting linac designs for low beam loading
. Nucl. Instrum. Meth. A. 729, pp. 605-614 (2013). https://doi.org/10.1016/j.nima.2013.08.013Generation of a subpicosecond relativistic electron single bunch at the S-band linear accelerator
. Phys. Rev. E 50, 3068 (1994). https://doi.org/10.1103/PhysRevE.50.3068Design, realization and test of C-band accelerating structures for the SPARC_LAB linac energy upgrade
, Nucl. Instrum. Meth. A. 837, pp. 161-170 (2016). https://doi.org/10.1016/j.nima.2016.09.010rf traveling-wave electron gun for photoinjectors
. Phys. Rev. Accel. Beams 19, 072001 (2016). https://doi.org/10.1103/PhysRevAccelBeams.19.072001High-gradient C-band linac for a compact x-ray free-electron laser facility
. Phys. Rev. ST Accel. Beams 17, 080702 (2014). https://doi.org/10.1103/PhysRevSTAB.17.080702Design, fabrication and first beam tests of the C-band RF acceleration unit at SINAP
. Nucl. Instrum. Meth. A. 823, pp. 91-97 (2016). https://doi.org/10.1016/j.nima.2016.03.101Design optimization of a C-band traveling-wave accelerating structure for a compact X-ray free electron laser facility
. Chinese Sci. Bull. 56, pp. 3420-3425 (2011). https://doi.org/10.1007/s11434-011-4754-yDevelopment of new S-band SLED for PAL-XFEL Linac
. Nucl. Instrum. Meth. A. 843, pp. 50-60 (2017). https://doi.org/10.1016/j.nima.2016.11.005X-band technology applications at FERMI@Elettra FEL project
. Nucl. Instrum. Meth. A. 657, pp. 150-155 (2011). https://doi.org/10.1016/j.nima.2011.06.048FEL Proposal Based on CLIC X-Band Structure
, inElectron Linac design to drive bright Compton back-scattering gamma-ray sources
. J. Appl. Phys. 113, 194508 (2013). https://doi.org/10.1063/1.4805071rf breakdown tests of mm-wave metallic accelerating structures
. Phys. Rev. Accel. Beams 19, 011301 (2016). https://doi.org/10.1103/PhysRevAccelBeams.19.011301High-gradient two-beam accelerator structure
. Phys. Rev. ST Accel. Beams 13, 071303 (2010). https://doi.org/10.1103/PhysRevSTAB.13.071303Interaction of an Ultrarelativistic Electron Bunch Train with a W-Band Accelerating Structure: High Power and High Gradient
. Phys. Rev. Lett. 116, 054801 (2016). https://doi.org/10.1103/PhysRevLett.116.054801Drive Generation and Propagation Studies for the Two Beam Acceleration Experiment at the Argonne Wakefield Accelerator
. inAnalytical solutions for transient and steady state beam loading in arbitrary traveling wave accelerating structures
. Phys. Rev. ST Accel. Beams 14, 052001 (2011). https://doi.org/10.1103/PhysRevSTAB.14.052001Transient beam-loading model and compensation in Compact Linear Collider main linac
. Phys. Rev. ST Accel. Beams 14, 111001 (2011). https://doi.org/10.1103/PhysRevSTAB.14.111001Very short-range wakefields in strongly tapered disk-loaded waveguide structures
. Phys. Rev. ST Accel. Beams 15, 121001(2012). https://doi.org/10.1103/PhysRevSTAB.15.121001New local field quantity describing the high gradient limit of accelerating structures
. Phys. Rev. ST Accel. Beams 12, 102001 (2009). https://doi.org/10.1103/PhysRevSTAB.12.102001Performance limiting effects in X-band accelerators
. Phys. Rev. ST Accel. Beams 14, 010401 (2011). https://doi.org/10.1103/PhysRevSTAB.14.010401The RF Design of a Compact, High Power Pulse Compressor with a Flat Output Pulse
, inrf design of a pulse compressor with correction cavity chain for klystron-based compact linear collider
. Phys. Rev. Accel. Beams 20, 112001 (2017). https://doi.org/10.1103/PhysRevAccelBeams.20.112001Demonstration of a cavity-based pulse compression system for pulse shape correction
. Phys. Rev. Accel. Beams 22, 082001 (2019). https://doi.org/10.1103/PhysRevAccelBeams.22.082001Phase-Modulation SLED Mode on BTW Sections at Elettra
, inThe X-band pulse compressor for Tsinghua Thomson scattering X-ray source
, in

