Introduction
Neutrino studies have led to significant breakthroughs in particle physics and astrophysics. Neutrino experiments Super-Kamiokande and SNO proved that neutrinos have mass [1, 2], KamLAND, SNO and Daya Bay measured three of the oscillation parameters (
Reactor neutrinos are detected via inverse beta decay (IBD) in LS, wherein the outgoing positron and neutron produce correlated prompt and delayed signals, respectively. The energy of the incident neutrino can be deduced from the positron energy. In LS detectors, the reconstruction of the positron vertex and energy are strongly correlated. On the one hand, due to the nonuniform detector response, the precision of the vertex affects the energy nonuniformity, which is one of the main contributing factors to the energy resolution. On the other hand, the vertex resolution is highly energy-dependent, and positrons with larger energy emit more photons, resulting in a more accurate reconstruction of the vertex. Several studies have been conducted on the vertex or energy reconstruction of positrons in JUNO, including likelihood methods [8-11] and machine learning methods [12-14]. The basic strategy of the likelihood method is to obtain the expected charge or time response of PMTs first, which strongly depends on the vertex or energy. Given the observed charge or time information of PMTs, a maximum likelihood method is utilized to reconstruct the positron vertex or energy. However, in the previous energy reconstruction studies applied to JUNO [8, 9], the vertex was assumed to be known, and the electronic effects of the PMTs were not considered. The PMT time probability density function (PDF) of vertex reconstruction studies in [10, 11] was vertex-independent and relied on Monte Carlo simulations. In this study, we developed a simultaneous reconstruction of the positron vertex and energy using both the charge and time information of PMTs, as well as the required PMT response extracted from the calibration data, to improve the precision of reconstruction. Major updates with respect to previous studies are listed below.
• more realistic expected charge response of PMTs with all electronic effects included
• more realistic time PDF of PMT photon hits has been constructed based on 68Ge calibration data rather than positron data from Monte Carlo simulations
• the dependence on the propagation distance of time of flight or effective refractive index of photons in LS is calibrated, leading to a more accurate time of flight
• more accurate time PDF of PMT photon hits which considers the dependence on the vertex radius and photon propagation distance
• simultaneous reconstruction of vertex and energy with both charge and time information of PMTs
The remainder of this paper is organized as follows: Section 2 briefly describes the JUNO detector and the Monte Carlo samples. Section 3 presents the updates of crucial inputs to the reconstruction. Section 4 describes the proposed reconstruction method and its performance. Finally, Sect. 5 presents the conclusions.
JUNO detector and data samples
The JUNO detector consists of a central detector (CD), top tracker detector, and water Cherenkov detector. The target matter of the CD is 20k ton liquid scintillator filled in a 35.4 m acrylic ball, monitored by approximately 12612 20-inch MCP-PMTs, 5000 20-inch Dynode-PMTs, and 25600 3-inch PMTs [15]. The LS is composed of PPO, LAB, and bis-MSB [16]. In addition, JUNO has a comprehensive calibration system, which consists of the Cable Loop System (CLS), the Auto Calibrate Unit (ACU), the Guide Tube Calibration System (GTCS), and the Remotely Operated under-LS Vehicles (ROV). A schematic view of the CD and calibration system is shown in Fig. 1 [9]. Further details regarding the calibration system can be found elsewhere [17]. Only the CLS and ACU were used in this study.
-202306/1001-8042-34-06-003/alternativeImage/1001-8042-34-06-003-F001.jpg)
Because the JUNO detector is still under construction, Monte Carlo (MC) samples were simulated using custom Geant4-based (version 4.10.p02) offline software SNiPER [18]. The calibration and physics data samples are summarized in Table 1. Laser and 68Ge calibration samples were used to construct crucial inputs for the vertex and energy reconstruction. The calibration positions (Fig. 2) were set as those in Case 5, as described in Ref. [9], and 10k events were simulated at each position. Nine sets of positron samples with discrete kinetic energies of Ek = (0, 1, 2, ..., 8) MeV were produced to evaluate the reconstruction performance. The statistics for each set were 450k, and events were uniformly distributed in the CD. Electron data were generated to elaborate the construction principle and performance of the time PDF of positrons.
| Source | Type | Energy [MeV] | Pos. | Stats. |
|---|---|---|---|---|
| Laser | op | ∼1 | 296 | 10k/pos |
| 68Ge | γ | 1.022 | 296 | 10k/pos |
| Positron | e+ | (0,1,2,…,8)+1.022 | uniform | 450k/energy |
| Electron | e- | 1 | 296 | 10k/pos |
-202306/1001-8042-34-06-003/alternativeImage/1001-8042-34-06-003-F002.jpg)
For all samples, a realistic detector geometry was deployed. The optical parameters of the LS based on the measurements [16] were also implemented. Various optical processes, including scintillation, Cherenkov process, absorption and re-emission, Rayleigh scattering, and reflection or refraction at detector boundaries, were simulated using Geant4 in the detector simulation. In addition, the electronic effects of PMTs, such as charge smearing, transit time spread, and dark noise (DN), were implemented using a toy electronic simulation. The PMT parameters were obtained from PMT testing [19, 11] and are summarized in Table 2. These values are still being refined, and electronics testing is ongoing [20]. Although the parameters are different PMT by PMT, they approximately follow Gaussian distributions for each type of PMT. One exception is the dark noise rate, which has a much wider and nonsymmetric spread.
| Dynode-PMT | MCP-PMT | |
|---|---|---|
| Charge resolution | 0.28 ± 0.02 p.e. | 0.33 ± 0.03 p.e. |
| Time transit spread | 1.1 ± 0.1 ns | 7.6 ± 0.1 ns |
| Dark noise | 15 ± 6 kHz | 32 ± 16 kHz |
Construction of the nPE map and time PDF of PMTs using calibration data
The basic strategy for the energy or vertex reconstruction is similar to that described in Ref. [9, 11]. For any positron event, the charge and time responses of all the PMTs strongly depend on the positron vertex and energy. First, the expected charge (referred to as the nPE map) and time PDF of PMTs were constructed using the calibration data. Given the observed charge and time information of PMTs, a likelihood function was built and utilized to reconstruct the energy or vertex. As mentioned in the introduction, with respect to Ref. [9, 11], a few important updates regarding the expected charge and time responses of PMTs were implemented in this study, and the details are described in this section.
Realistic nPE map with full electronic effects
One of the crucial components of the energy reconstruction in Ref. [9] is the nPE map denoted by
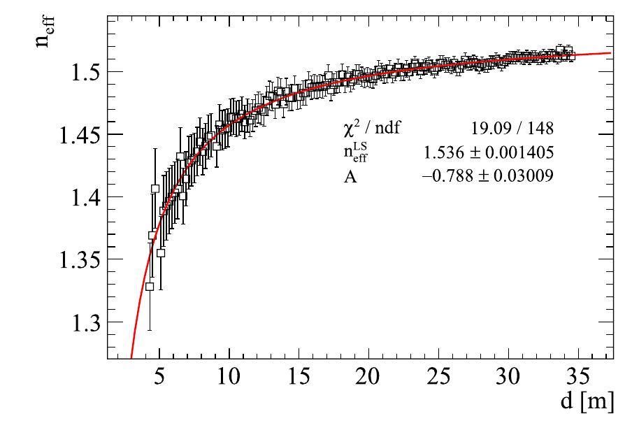
Calibration of the effective refractive index of photons in LS
In addition to charge, another important observable of PMTs is the hit time of the photons. This can be approximately expressed as Eq. 2:
-202306/1001-8042-34-06-003/alternativeImage/1001-8042-34-06-003-F003.jpg)
Ref. [11] defines the residual time of PMT photon hits tr as
-202306/1001-8042-34-06-003/alternativeImage/1001-8042-34-06-003-F004.jpg)
Construction of more accurate and realistic time PDF.
One caveat of the residual time PDF from Ref. [11] is that it was obtained from MC simulations. Any potential discrepancy between the MC and real data will degrade the vertex reconstruction. Furthermore, the PDF was constructed using only the events at the detector center. This simplification did not consider the PDF dependence on the vertex and was later found to cause a large vertex bias near the detector border in Ref. [11]. Based on the calibration-data-driven construction of the nPE map in Ref. [9], the same calibration data can be used to build a realistic time PDF. Moreover, various calibration positions allow for a more precise parametrization of the time PDF.
To construct the nPE maps in Ref. [9], 68Ge and laser sources were used. As previously mentioned, the optical photons of the laser source are absorbed and re-emitted by the LS. However, the other particles must first transfer energy to the LS molecules. Consequently, the photon timing profile of the laser source is different from that of the positrons. In this study, we only use 68Ge to construct the time PDF of the positrons. Ideally, an electron source can be used to describe the time PDF of photons originating from the kinetic energy of positrons. Although electron sources were not available, we compared the reconstruction performance using the time PDF of 68Ge to that of 68Ge and electrons to check its impact. The details are presented in Sect. 4.
As shown in Eq. 4, to calculate the residual time, the information of t0 is required for every single event. In contrast to a laser source with high precision of t0, this quantity of calibration events from radioactive sources is unknown. Reconstruction of t0 for each event was attempted; however, the uncertainty was greater than 2 ns. Because the th - ttof distribution for different events with a fixed vertex and energy should have approximately the same shape, a different t0 would merely cause a relative shift in the distribution. The peak of the th - ttof distribution t’0 can be used as the new reference time instead of t0 to align the different events. Eq. 4 can be modified as follows such that the distribution of the newly defined residual time tr’ always peaks at 0. For convenience, the prime symbols tr’ and t0’ are omitted in the remainder of this paper.
Dependence on r and d
Optical processes such as absorption and re-emission or Rayleigh scattering are not negligible in an LS volume as large as JUNO and become more prominent as the photon propagation distance d increases. Meanwhile, the total reflection can significantly change the direction of the photons, which is more likely to occur for events with a larger radius r. Thus, f(t) of the LS photoelectron fl(t) depends on d and r. This dependency can be addressed by deploying calibration sources at different positions with the ACU + CLS system. This data-driven construction of the time PDF does not require a comprehensive understanding of the properties of the liquid scintillator such as attenuation length and decay time.
One of the challenges in constructing a time PDF from the calibration data is that the number of calibration positions is limited. To address this challenge, 35 and 200 bins were set in the r- and d-directions, respectively. Examples of the construction results of the tr PDF of one LS photoelectron are shown in Fig. 5. The left and right plots correspond to vertices in the central and edge regions, respectively. One can clearly observe the difference in the time PDF for different radii r. Moreover, the time PDF becomes wider as d increases, except in the total reflection region. Most of the detected photons in the total reflection region are scattered light, whose time PDF is relatively flat. Notably, the contribution from dark noise was subtracted and will be added independently in the next subsection.
-202306/1001-8042-34-06-003/alternativeImage/1001-8042-34-06-003-F005.jpg)
Once the time PDF of one LS photoelectron is obtained, it is straightforward to calculate the time PDF of n LS photoelectrons using Eq. 10, where
Adding dark noise contribution
Photoelectrons induced by PMT DN contaminate the photoelectrons from the signal particles in the LS. Their impact on the residual-time PDF must be carefully considered. As dark-noise photoelectrons occur randomly in time, their f(t) is simply
-202306/1001-8042-34-06-003/alternativeImage/1001-8042-34-06-003-F006.jpg)
Charge vs. nPE
As described in the above two subsections, the usage of the time PDF requires knowledge of the number of photoelectrons detected by each PMT, whereas the PMT charge is usually measured. Given that the charge information is used to estimate μ, the time PDF can be rewritten as Eq. 14:
Simultaneous reconstruction of vertex and energy
In previous studies [9, 11], the reconstruction of the positron vertex and energy was decoupled for simplicity. The positron energy was reconstructed assuming that its vertex was known, and vice versa. For real data, neither the vertex nor the energy of a positron is known; both must be reconstructed. Moreover, these two variables are highly correlated. One main correlation is that the energy response for monoenergetic positrons varies at different vertices, which is also referred to as the detector energy nonuniformity. The other is that the vertex resolution depends on the energy. The higher the positron energy, the smaller the vertex resolution. This section presents the simultaneous reconstruction of the positron vertex and energy for large liquid scintillator detectors. The strong correlation between the vertex and the energy is handled naturally. Moreover, the crucial inputs of the simultaneous reconstruction, namely the nPE map and time PDF of PMTs, could be obtained from the calibration data and did not depend on the MC simulation. In addition, with all the updates from Sect. 3, the nPE map and time PDF of PMTs were more realistic and accurate.
The reconstruction performance was evaluated in terms of radial bias, radial resolution, energy uniformity, and energy resolution. The radial bias and resolution were defined as the mean and sigma of the Gaussian fit of the rrec-redep distribution, respectively. Energy uniformity represents the consistency of the reconstructed energy of identical particles generated at different positions, which is assessed by the deviation of the average reconstructed energies of monoenergetic positrons within different small volumes (~10 m3) of the detector [9]. The reconstructed energies of the monoenergetic positrons were fitted with a Gaussian function
Charge based maximum likelihood estimation
Ref. [9] presented the basic strategy for energy reconstruction; a likelihood function was constructed using the expected nPE
This likelihood function utilizes only the charge information of PMTs and is referred to as the charge-based maximum likelihood estimation (QMLE). It is constructed using Eq. 15, which is the product of the probabilities of observing a charge qi when the expected nPE is μi for the i-th PMT.
-202306/1001-8042-34-06-003/alternativeImage/1001-8042-34-06-003-F007.jpg)
Time-based maximum likelihood estimation
The event vertex is strongly constrained by the time information of the PMTs. Similar to Ref. [11], a likelihood function can be constructed using the first hit time of PMTs and a more accurate and realistic time PDF PT from Eq. 14. This likelihood function uses only the PMT time information and is referred to as time-based maximum likelihood estimation (TMLE). It can be constructed using Eq. 16, which is the product of the probabilities of observing the residual time of
-202306/1001-8042-34-06-003/alternativeImage/1001-8042-34-06-003-F008.jpg)
Charge and time combined maximum likelihood estimation
Given the likelihood functions from QMLE with charge information only and TMLE with time information only, it is straightforward to construct the charge and time combined maximum likelihood estimation (QTMLE), as Eq. 17, by multiplying Eq. 15 and Eq. 16.
-202306/1001-8042-34-06-003/alternativeImage/1001-8042-34-06-003-F010.jpg)
-202306/1001-8042-34-06-003/alternativeImage/1001-8042-34-06-003-F009.jpg)
The uniformity of the reconstructed energy using QTMLE for positrons with different energies is shown in Fig. 11. The QTMLE method yields excellent energy uniformity, and the residual energy nonuniformity is less than 0.23% inside the fiducial volume. Compared to the value of 0.17% in Ref. [9], which used a true vertex and did not include any electronic effects, one can see that the impact of vertex inaccuracy and electronic effects on energy non-uniformity is non-negligible but still under control.
-202306/1001-8042-34-06-003/alternativeImage/1001-8042-34-06-003-F011.jpg)
Discussion
As mentioned previously, the energy deposition process of positrons in the LS usually consists of two parts, kinetic energy and annihilation with an electron emitting two gamma particles. During the construction of the expected nPE map of PMTs, Laser and 68Ge were used to mimic the two parts, respectively. However, because the photons from the laser contain only the fast component, they cannot be used to describe the photon timing profile of the charged particles. Although electrons can mimic the kinetic energies of positrons, monoenergetic electron sources are unavailable. Consequently, only the 68Ge source was used to construct the time PDF of PMTs in all previous studies. Pseudo electron calibration data were produced to check the impact of the accuracy of the time PDF on the vertex and energy reconstruction. The QTMLE method was used and a new set of time PDF was constructed using a weighted 68Ge + electron-time PDF. The reconstruction results are compared with those obtained using the 68 Ge-time PDF.
The right plot in Fig. 8 shows the comparison of the vertex resolution. The weighted 68Ge + electron-time PDF was more accurate than the 68Ge time PDF, and the corresponding vertex resolution was about 5% better. Fig. 10 compares the energy resolutions of the two cases. Despite the better vertex resolution obtained using 68Ge + electron-time PDF, the energy resolution was almost the same as that obtained using the 68Ge time PDF. To verify the impact of the accuracy of the vertex on the energy resolution, two additional cases, namely, QMLE and QTMLE using the true vertex, are also shown in Fig. 10. The black dots correspond to the energy resolution of QMLE, which has the worst vertex resolution. The pink dots represent the energy resolution of QTMLE using the true vertex, which has an ideal vertex resolution of 0 mm. By comparing these cases, it is clear that better vertex resolution leads to better energy resolution. Meanwhile, comparing the default case of QTMLE using 68Ge time PDF to the ideal case of QTMLE using the true vertex, the impact of vertex inaccuracy on the energy resolution is approximately 0.6%.
Conclusion
High-precision vertex and energy reconstruction are crucial for large liquid scintillator detectors such as JUNO, especially for the determination of neutrino mass ordering. In this study, a calibration-data-driven simultaneous vertex and energy reconstruction method was proposed. The dependence of the refractive index on the photon propagation distance was calibrated to obtain more precise PMT time information. More accurate and realistic time PDF of PMTs were constructed to consider their dependence on the vertex radius and photon propagation distance. The contribution to the time PDF from PMT dark noise was modeled using an analytical approach. With these updates, a charge and time combined likelihood function was constructed to simultaneously reconstruct the vertices and energies of the positrons. This method does not rely on MC simulations and obtains the expected PMT charge and time response directly from the calibration data. It also naturally handles the strong correlation between the vertex and energy. By combining the PMT charge and time information, the vertex resolution was improved by approximately 4% (60%) with respect to using only the time (charge) information. The vertex bias was reduced with the more accurate time PDF and was less than 2 cm. A better vertex resolution also leads to a better energy resolution. The residual energy nonuniformity of this method was less than 0.5% within the FV. Moreover, the impact of an inaccurate vertex on energy resolution was approximately 0.6%. In the MC studies, positron samples were used to verify the method. In real data, vertex and energy resolutions can be determined using calibration sources and other natural sources such as spallation neutrons.
Evidence for oscillation of atmospheric neutrinos
. Phys. Rev. Lett. 81, 1562-1567 (1998). doi: 10.1103/PhysRevLett.81.1562Direct evidence for neutrino flavor transformation from neutral current interactions in the Sudbury Neutrino Observatory
. Phys. Rev. Lett. 89, 011301 (2002). doi: 10.1103/PhysRevLett.89.011301Reactor on-off antineutrino measurement with KamLAND
. Phys. Rev. D 88, no.3, 033001 (2013). doi: 10.1103/PhysRevD.88.033001Combined analysis of all three phases of solar neutrino data from the Sudbury Neutrino Observatory
. Phys. Rev. C 88, 025501 (2013). doi: 10.1103/PhysRevC.88.025501Measurement of the electron antineutrino oscillation with 1958 days of operation at Daya Bay
. Phys. Rev. Lett. 121, 241805 (2018). doi: 10.1103/PhysRevLett.121.241805Evidence for high-energy extraterrestrial neutrinos at the IceCube detector
. Science 342, 1242856 (2013). doi: 10.1126/science.1242856Neutrino physics with JUNO
. J. Phys. G 43, 030401 (2016). doi: 10.1088/0954-3899/43/3/030401A new method of energy reconstruction for large spherical liquid scintillator detectors
. J. Instrum. 14, P03009 (2019). doi: 10.1088/1748-0221/14/03/P03009Improving the energy uniformity for large liquid scintillator detectors,Nucl
. Instrum. Meth. A 1001, 165287 (2021). doi: 10.1016/j.nima.2021.165287A vertex reconstruction algorithm in the central detector of JUNO
. J. Instrum. 13, T09005 (2018). doi: 10.1088/1748-0221/13/09/T09005Event vertex and time reconstruction in large-volume liquid scintillator detectors
. Nucl. Sci. Tech. 32, 49 (2021). doi: 10.1007/s41365-021-00885-zVertex and energy reconstruction in JUNO with machine learning methods
. Nucl. Instrum. Meth. A 1010, 165527 (2021). doi: 10.1016/j.nima.2021.165527Improvement of machine learning-based vertex reconstruction for large liquid scintillator detectors with multiple types of PMTs
. Nucl. Sci. Tech. 33, 93 (2022). doi: 10.1007/s41365-022-01078-yEnergy reconstruction for large liquid scintillator detectors with machine learning techniques: aggregated features approach
. Eur. Phys. J. C 82, 1021 (2021). doi: 10.1140/epjc/s10052-022-11004-6JUNO physics and detector
. Prog. Part. Nucl. Phys. 123, 103927 (2022). doi: 10.1016/j.ppnp.2021.103927Optimization of the JUNO liquid scintillator composition using a Daya Bay antineutrino detector
. Nucl. Instrum. Meth. A 988, 164823 (2021). doi: 10.1016/j.nima.2020.164823Calibration strategy of the JUNO experiment
. JHEP 2021, 4 (2021). doi: 10.1007/JHEP03(2021)004The application of SNiPER to the JUNO simulation
. J. Phys. Conference Series 898, 042029 (2017). doi: 10.1007/JHEP03(2021)004JUNO PMT system and prototyping
. J. Phys.Conf. Ser. 888, 012052 (2017). doi: 10.1088/1742-6596/888/1/012052Mass Testing and Characterization of 20-inch PMTs for JUNO
. arXiv:2205.08629.Laser calibration system in JUNO
. J. Instrum. 14, P01009 (2019). doi: 10.1088/1748-0221/14/01/P01009The authors declare that they have no competing interests.


