logo

Production of high energy neutron beam from deuteron breakup

NUCLEAR PHYSICS AND INTERDISCIPLINARY RESEARCH

Production of high energy neutron beam from deuteron breakup

Ren-Sheng Wang
Li Ou
Zhi-Gang Xiao
Nuclear Science and TechniquesVol.33, No.7Article number 92Published in print Jul 2022Available online 19 Jul 2022
143200

The deuteron breakup on heavy targets has been investigated in the framework of an improved quantum molecular dynamics model, focusing on the production of neutrons near zero degrees. The experimental differential cross-sections of neutron production in the 102 MeV d+C reactions were reproduced by simulations. Based on the consistency between the model prediction and experiment, the feasibility of producing a neutron beam through the breakup of deuteron on a carbon target was demonstrated. Because of the nucleon Fermi motion inside the deuteron, the energy spectrum of the inclusive neutron near 0° in the laboratory exhibits considerable energy broadening in the main peak, whereas the long tail on the low-energy side is suppressed. By coincidentally measuring the accompanying deuteron breakup proton, the energy of the neutron can be tagged with an intrinsic uncertainty of approximately 5% (1σ). The tagging efficiency of the accompanying proton on the forward-emitted neutron can reach 90%, which ensures that the differential cross-section in the (d, np) channel remains two orders higher than that in (p,n) after considering the measurement of accompanying protons. This enables the application of a well-defined energy neutron beam in an event-by-event scheme.

Deuteron breakupMonochromatic neutronHigh energyQuantum molecular dynamics
1

Introduction

High-quality monochromatic neutron beams have important applications in several fields. For instance, the neutron radiation hardness evaluation of electronic elements in aviation devices requires a neutron beam with well-defined energy [1, 2]. The assessment of the neutron dose received by patients in heavy ion therapy or by astronauts in aircraft relies on calibration using a well-defined neutron beam [3]. In fundamental research, high-energy neutron beams are essential for calibrating high-energy neutron detectors and accumulating data on the cross section of neutron-induced reactions [4]. Undoubtedly, high-quality and high-energy neutron beams have become essential tools [5-9].

Because neutrons have no charge, high-energy neutron beams can originate only from the nucleus in the beam or target. Although a neutron beams below 20 MeV can be produced by a nuclear reaction with a fixed Q value at a given angle, a monochromatic neutron beam above 20 MeV is usually produced in the laboratory with a proton-induced reaction on the lithium target. By deflecting the unreacted and secondary charged particles with a magnetic dipole, a semi-monochromatic neutron beam can be obtained at a forward angle [10, 7, 11]. Because the nucleons are bounded in the target nuclei by nuclear forces, neutrons possess a long low-energy tail that cannot be eliminated [7, 12]. Therefore, reducing the low-energy tail based on weakly bound nuclei such as deuteron becomes the next target.

The properties and applications of deuteron nuclei have been intensely researched since their discovery in 1932 [13]. A year later, a deuteron beam was produced for the first time [14]. The first photodisintegration of deuterons has been measured [15]. Using photographic photometry, the spin of deuterons was determined to be J=1 [16]. A deuteron was found to possess an electric quadrupole moment [17], indicating the existence of an additional D-wave component. Such D waves can be generated by the tensor part of the one-pion exchange (OPE) potential [18], leading to a stronger understanding of the nuclear force. Since the 1950s, numerous experiments on ed scattering have been performed to extract the form factors of deuteron nuclei, including charge monopole, magnetic dipole, and charge quadrupole form factors. For a review, refer to [19].

Using deuterons to generate high-quality neutron beams seems to possible. It has been mentioned that deuteron-induced reactions can be used to produce neutron beams, and the neutron energy can be tagged in the specific p(d, np)p channel [19]. Some early measurements on the n-p angular and energy correlation in deuteron breakup have been reported [20]. Recently, Jin and Qiu et al. reported that deuteron-induced spallation reactions can be used as a powerful method of generating neutron beams [21, 22]. These results are observed because deuteron is a loosely bound nucleus with binding energy EB=2.2 MeV and is easily disassociated in the reaction with a target.

The motivation of this paper is to study the breakup process of deuteron in peripheral reactions, focusing on the advantageous possibility of precisely determining the energy of the neutron beam. Because monochromatic deuteron beams can easily gain on modern accelerators, if producing a neutron beam with deuteron is feasible, the neutron is expected to maintain half of the momentum of the incident deuteron and can be used as a (quasi)monochromatic neutron beam. The remainder of this paper is organized as follows. Section 2 briefly presents an improved quantum molecular dynamics (ImQMD) model. Section 3 discusses the distribution properties of generated neutron beams. Finally, Section 4 concludes the study.

2

Model Description

The ImQMD model was developed from the original version of the quantum molecular dynamics (QMD) code proposed by Aichelin et al.[23, 24]. A detailed description of the ImQMD model, including ImQMD05 version used in this work, and its applications can be found in Refs. [25, 27-32], where deuteron- and nucleon- induced reactions are simulated. Within the ImQMD05 model, the system wave function of the N-body system ψ is assumed to be a direct product of n coherent states, which is in the Hartree approximation, as shown in Eq. (1a), where the ri and pi are the centers of the wave packet of the ith nucleon in the coordinate and momentum space, respectively. According to the results of our previous studies, the traditional value of σr2=2.0 fm2 is appropriate for intermediate-energy nucleon-induced reactions. Through the Wigner transformation of the wave function, the N-body phase-space distribution function is given by Eq. (1b). The density distribution of the system is expressed by Eq. (1c). ϕi(r)=1(2πσr2)3/4exp[(rri)24σr2+irpi], (1a) fN(r,p)=i=1N1(π)3exp[(rri)22σr2]exp[(ppi)22σp2] (1b) ρ(r)=fN(r,p)dp=1(2πσr2)3/2i=1Nexp[(rri)22σr2], (1c)

Nucleons in a system move under the mean field with the nuclear potential energy density functional, which reads: Vloc=α2ρ2ρ0+βη+1ρη+1ρ0η+gsur2ρ0(ρ)2+gsur,isoρ0[(ρnρp)]2+gρτρ8/3ρ05/3+Cs2ργ+1ρ0γδ2, (2) where ρ, ρn, and ρp are the nucleon, neutron, and proton densities, respectively, δ = (ρn-ρp)/(ρn+ρp) is the isospin asymmetry degree. The parameters in Eq. (2), except Cs and γ, which describe the symmetry potential energy, are fully determined by Skyrme interactions. The Skyrme parameter set MSL0 [33], one of Skyrme parameter sets that satisfy the current understanding of the physics of nuclear matter over a wide range of applications [34], is used in the calculations. The parameters are listed in Table 1.

Table 1
Parameter set used in the ImQMD calculations.
α β η gsur g sur,iso  Cs γ ρ0
(MeV) (MeV)   (MeV fm2) (fm2) (MeV) (MeV)   (fm-3)
-254 185 5/3 21.0 -0.82 5.51 36.0 0.5 0.160
Show more

While the initialization of the heavy target nuclei is performed as in traditional QMD, the deuteron is initialized semi-classically in a simplified scheme, as in [25]. In the present work, the nuclei is initialized as that in traditional QMD as the follows: the positions of each nucleon in nuclei are sampled according to the density distribution with a "hard sphere" distribution, then the local density can be obtained based on the density distribution given by the expression 1c, and the local Fermi momentum pF is obtained by the Fermi gas model. Then, the momentum of each nucleon is sampled using the Monte Carlo method from zero to pF. The sampling process is repeated until stable pre-prepared initial nuclei with ground state properties, including the binding energy and root-mean-square radius, are obtained. Using this method, for deuteron with good ground properties, the momentum of the nucleon in deuteron sampled by the Monte Carlo method is from 8 to 125 MeV/c with an average momentum of 65 MeV/c. This is consistent with the experimental value obtained from the analysis of CLAS data of kF=116 ± 7 MeV/c [26]. At the end of the ImQMD calculations, clusters are recognized by a minimum spanning tree (MST) algorithm [24, 35] widely used in QMD calculations and transport models for relativistic nuclear collisions [36]. In this study, the nucleons with relative momenta smaller than 250 MeV/c and relative distances smaller than 3.0 fm coalesced into the same cluster. The information of the cluster with excited energy was input into the GEMINI statistical decay model [37, 38] to perform statistical decay calculations.

3

Results and discussion

We first calculated the phase space distribution of free neutrons in d+C reactions at 102 MeV, where experimental data are available[39]. We chose stable carbon instead of a heavy metal as the target to suppress the contributions of neutrons from the target. Fig. 1 presents the doubly differential cross section of d2σ/dΩdEn as a function of the kinetic energy En and polar angle θ in the laboratory for the neutrons produced in the reactions. The differential cross-section is calculated as follows: d2σdΩdE=bminbmax2πbf(E,Ω,b)db=i=minmax2πbiΔbf(E,Ω,bi), (3) where bmin=0.5 fm, bmax=8 fm, and Δ b = 0.5 fm are taken in our calculation. The probability distribution is written as f(E,Ω,bi)=y(E, Ω, bi)/N, where y is the yield of the neutron in each cell, and N is the number of simulated events under certain reaction conditions. The scattering plot shows that two components stand out in the statistics. One was distributed nearly homogeneously over a wide angular range with En<20 MeV, originating from the target region, and the other was situated in the projectile region, approximately maintaining the beam energy per nucleon at a very forward angle with θlab<10°. Except for these two components, the neutrons originating from the target fragmentation are distributed widely in the plot. The intensity in the target rapidity region is not high because i) we chose a light target containing fewer neutrons and ii) the binding energy of deuteron is much less than the separation energy of neutrons in the carbon nucleus.

Fig. 1
(Color online) The doubly differential cross section of d2σ/dΩdEn as a function of the kinetic energy and emitted angle with beam direction.
pic

The energy spectra at a certain angle in the laboratory can be obtained from Fig. 1 by slicing a 2-dimensional histogram. Figure 2 presents the neutron energy spectra with a logarithmic scale on the ordinate at various angles, in comparison with the experimental data [39]. Our calculation reproduces the main peak in the vicinity of the beam energy per nucleon well, particularly at small angles with θlab≤5°. The height of the main peak decreases rapidly with θlab in accordance with the data, indicating that the neutrons peak at a forward angle. On the other hand, because of the clustering inefficiency of the transport model, that is, the model counts fewer (more) clusters (nucleons) than the experiment, the yield of neutrons at very low energies originating mainly from the target fragmentation is overestimated by approximately 30%. In addition, a very small peak near 100 MeV, which is the direct knockout neutron from the target, was not reproduced in our calculation. If only the main peak of the spectrum is checked at 0° and 5°, a full width at half maximum (FWHM) of approximately 20 MeV can be derived, indicating that the direct breakup of deuteron can be used as a neutron beam source with an energy broadening of 20 MeV.

Fig. 2
(Color online) Comparison of neutron spectra at various angles between experimental results [39] and ImQMD calculations.
pic

From the comparison between the ImQMD and the experiment, the ImQMD can be used to describe the cross-section and dynamic process of the breakup of the deuteron. This conclusion has also been reached in earlier publications [40-42], where deuteron break have been suggested as an effective way to produce neutron beams. These results further demonstrated the applicability of the ImQMD model in our study.

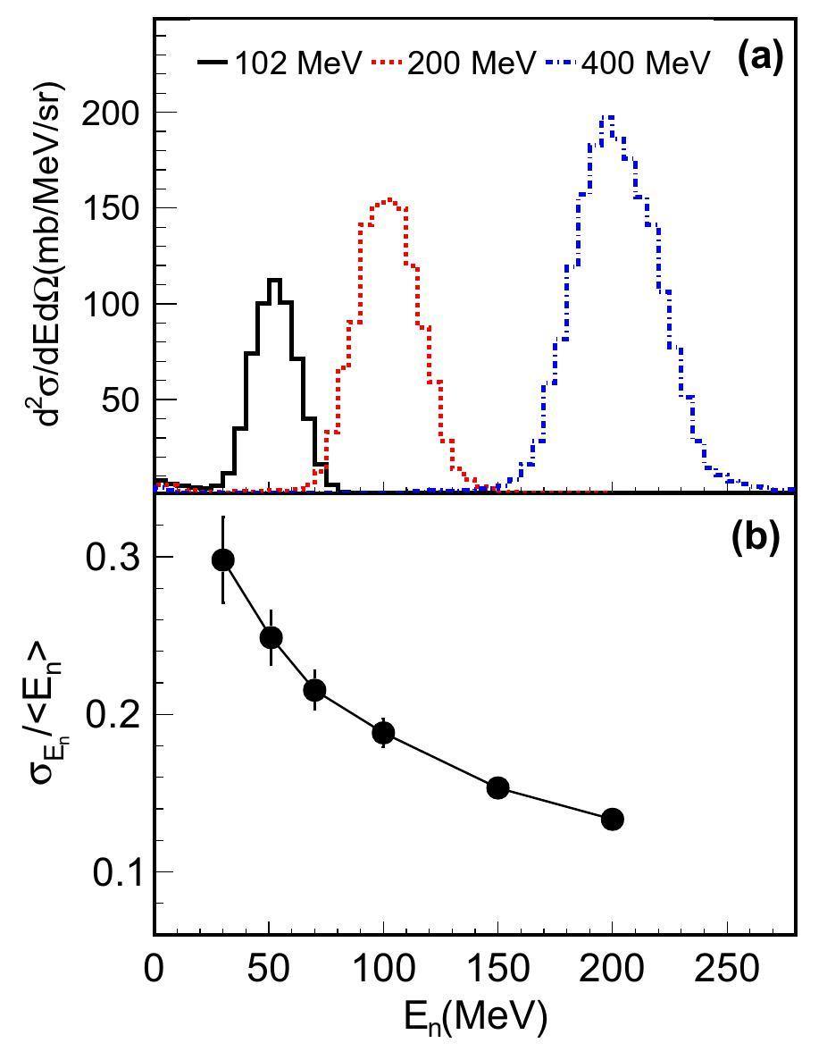
Figure 3(a) shows the neutron energy spectra in the angular range θn<2° produced in d+C reactions with incident deuteron energies of 102, 200, and 400 MeV, respectively. The results of the ImQMD simulation with the GEMINI afterburner are represented by histograms in the upper panel. The standard deviation σEn of the neutron beam normalized to the average neutron energy <En> is plotted in panel (b). At Ebeam= 200 MeV, σEn reflecting the monochromaticity of the second neutron beam is approximately 33 MeV, which is larger than the neutron spectra produced in p+Li reactions[7, 12]. The long tail on the low-energy side is significantly suppressed in d+C compared to that in the p+Li channel of neutron production.

Fig. 3
(Color online) The energy spectra (a) of the neutron in d+C with a deuteron beam energy at Ed=102, 200, and 400 MeV within θlab<2°. The relative standard deviation σEn/En as a function of neutron energy is plotted in panel (b).
pic

Although the binding energy of deuteron is only 2.2 MeV, the proton and neutron in deuteron have Fermi motion with an average momentum of 75 MeV/c, which broadens the neutron energy in the main peak. In the breakup or stripping reaction of deuterons, the total energy of the projectile remains approximately constant, and an anti-correlation is then expected between the energy of the proton and neutron from deuteron breakup. Figure 4 (a) presents the scattering plot of the proton energy vs. neutron energy in the d+C reactions at various beam energies ranging from 60 to 400 MeV. A sharp band is observed at each energy point, confirming the anti-correlation between proton and neutron energies. The total energy of the proton and neutron En+Ep is displayed in panel (b), where the neutrons are counted within θlab<2°. The total energy is constant with an intrinsic FWHM of approximately 5 MeV, despite the appearance of a tiny tail at the low-energy side. This feature has been observed in d+12C at 270 MeV, where correlated protons and neutrons were measured at 0° [44]. According to the experiment, the FWHM of the En+Ep spectrum at 0° was approximately 2.5 MeV. Moreover, the intrinsic broadening of the total energy showed an insignificant dependence on the beam energy, implying that it originated from the Fermi motion of the nucleons rather than from the kinetic effect, suggesting that if one can measure the accompanying proton at a forward angle, the energy of the neutron can be tagged with greatly improved accuracy compared with the raw main peak in Fig. 3.

Fig. 4
(Color online) The correlation of high energy neutrons and protons in the forward angle (a), the total energy distribution of the neutron and accompanying proton (b).
pic

Whether a high neutron beam delivery efficiency can be maintained with a well-defined energy using the proton tag remains to be determined. Figure 5 (a) and (b) presents the efficiency of the proton tag Rtag and the monochromaticity of the neutron beam using the coincident proton in a different angular cut as a tag, respectively. Here, Rtag is derived from the ratio of the number of coincidences between p and n to the total number of neutrons. When a neutron is found in θlab<2°, one searches for a coincident proton with an angular cut in the laboratory, as indicated in the figure: Rtag=Pn×pPn. (4) The efficiency increases rapidly at a low beam energy and gradually saturates at 90% when the beam energy is above 200 MeV/u. A comparison of the results at different θp cuts implies that the coincident proton is still at forward angles in accordance with experimental observations [20]. The monochromaticity in panel (b) is defined as the standard deviation σEnp of the total energy En+Ep normalized to the mean neutron energy σEnp/<En>. Clearly, the monochromaticity increases with beam energy and is better than 3% for producing neutron beams above 200 MeV.

Fig. 5
(Color online) The efficiency of proton tag and the monochromaticity of the total energy of the neutron and proton. The neutrons in θn are counted, while the coincident protons are searched in different angular cuts of θp in the laboratory.
pic

Finally, Fig. 6 compares the cross section of the neutron production in two different channels, the deuteron-induced production d+12C in this work, and the conventional channel of p+7Li [12, 45-47]. The angular emittance of the neutron beam was θn<2° with respect to the primary deuteron beam in the laboratory system. It is shown that the cross-section of neutron production in d+12C is higher by a factor of 100, which is slightly dependent on the energy. This result has important implications, that is, to obtain the same neutron beam, the primary beam intensity of deuterons with (d,np) channels can be lower than that of protons with (p,n) channels by two orders of magnitude. As an advantage, the background was significantly reduced. The data point of En=51 MeV is at the top of the simulation[39], indicating that our calculation is reliable. This suggests that the breakup of deuterons provides a novel method for generating high-energy neutron beams with well-defined energy and efficiency. It is worth mentioning that the cross section of the secondary neutron from deuteron breakup increases with the atomic number of the target [44] but is likely to produce more neutrons originating from the target, which degrades the monochromaticity.

Fig. 6
(Color online) The cross section of the neutron production with two channels d+12 C and p+7Li.
pic

A thick target of the order of a few millimeters to centimeters has been proposed to achieve a high-intensity neutron beam based on a primary beam with reasonable luminosity. However, the method described in this work requires measuring the energy of the accompanying protons in an event-by-event scheme. To measure the energy of protons event-by-event, using a thin target is an optimized option that requires only a general data acquisition system and position-sensitive detector. With a thin target, for example, several tens to hundreds of microns, the effect of the target on the primary or secondary particles can be omitted, particularly for high-energy beams. Using the same setup as in (p,n) or (d,n)[39], a position-sensitive detector can be added to measure the energy of the accompanying proton.

4

Summary

To summarize, we calculated the neutron spectra produced in the d+C reactions at various incident energies and compared them with the experimental data, if available. We show that the neutron originating from the breakup of deuteron keeps the kinetic memory of the projectile with some broadening of the energy arising from the Fermi motion of the nucleon in the projectile. The accompanying proton from the deuteron breakup exhibits a sharp anti-correlation with the neutron, and the total energy of the neutron and the proton remains constant with less than 5 MeV intrinsic energy variation. Thus, with an efficiency of approximately 90%, the energy of the neutron can be tagged by the accompanying proton on an event-by-event basis with enhanced precision. The cross-section of producing the neutron beam is much higher in the (d,np) channel than in the (p,n) channel.

References
[1] T.J.O. Gorman, J.M. Ross, A.H. Taber et al.,

Field testing for cosmic ray soft errors in semiconductor memories

. IBM J. Res. Dev. 40, 41-50 (1996). doi: 10.1147/rd.401.0041
Baidu ScholarGoogle Scholar
[2] R.C. Baumann,

Soft errors in advanced semiconductor devices-part I: the three radiation sources

. IEEE Trans. Device Mater. Reliab. 1,17-22 (2001). doi: 10.1109/7298.946456
Baidu ScholarGoogle Scholar
[3] P. Pomp,

Tutorial on neutron physics in dosimetry

. Radiat. Meas. 45,1090 (2010). doi: 10.1016/j.radmeas.2010.06.021
Baidu ScholarGoogle Scholar
[4] T. Baumann, J. Boike, J. Brown et al.,

Construction of a modular large-area neutron detector for the NSCL

. Nucl. Instrum. Meth. A 543, 517-527 (2005). doi: 10.1016/j.nima.2004.12.020
Baidu ScholarGoogle Scholar
[5] J. Klug, J. Blomgren, A. Ataç et al.,

SCANDAL—a facility for elastic neutron scattering studies in the 50–130MeV range

, Nucl. Instrum. Meth. A 489, 282-303(2002). doi: 10.1016/S0168-9002(02)00576-4
Baidu ScholarGoogle Scholar
[6] R. Nolte, M.S. Allie, P.J. Binns et al.,

High-energy neutron reference fields for the calibration of detectors used in neutron spectrometry

. Nucl. Instrum. Meth. A 476, 369-373 (2002). doi: 10.1016/S0168-9002(01)01472-3
Baidu ScholarGoogle Scholar
[7] M. Österlund, J. Blomgren, S. Pomp et al.,

The Uppsala neutron beam facility for electronics testing

. Nucl. Instrum. and Meth. B 241,419-422(2005). doi: 10.1016/j.nimb.2005.07.052
Baidu ScholarGoogle Scholar
[8] C. Andreani, A. Pietropaolo, A. Salsano et al.,

Facility for fast neutron irradiation tests of electronics at the ISIS spallation neutron source

. Appl. Phys. Lett. 92, 114101 (2008). doi: 10.1063/1.2897309
Baidu ScholarGoogle Scholar
[9] L. Ren, Y. Han, J. Zhang et al.,

Neutronics analysis of a stacked structure for a subcritical system with LEU solution driven by a D-T neutron source for 99Mo production

. Nucl. Sci. Tech. 32, 123(2021). doi: 10.1007/s41365-021-00968-x
Baidu ScholarGoogle Scholar
[10] I.S. Anderson, C. Andreani, J.M. Carpenter et al.,

Research opportunities with compact accelerator-driven neutron sources

. Phys. Rep. 654, 1 (2016). doi: 10.1016/j.physrep.2016.07.007
Baidu ScholarGoogle Scholar
[11] H. Harano, T. Matsumoto, Y. Tanimura et al.,

Monoenergetic and quasi-monoenergetic neutron reference fields in Japan

. Radiat. Meas. 45, 1076-1082(2010). doi: 10.1016/j.radmeas.2010.07.006
Baidu ScholarGoogle Scholar
[12] Y. Iwamoto, M. Hagiwara, D. Satoh et al.

Characterization of high-energy quasi-monoenergetic neutron energy spectra and ambient dose equivalents of 80–389 MeV 7Li(p,n) reactions using a time-of-flight method

. Nucl. Instrum. Meth. A 804, 50-58 (2015) doi: 10.1016/j.nima.2015.09.045
Baidu ScholarGoogle Scholar
[13] H.C. Urey, E.G. Brickwedde and G.M. Murphy,

A hydrogen isotope of mass 2

. Phys. Rev. 39, 164(1932). doi: 10.1103/PhysRev.39.164
Baidu ScholarGoogle Scholar
[14] G.N. Lewis, N.S. Livingstone and E.O. Lawrence,

The Emission of Alpha-Particles from Various Targets Bombarded by Deutons of High Speed

. Phys. Rev. 44, 55 (1933). doi: 10.1103/PhysRev.44.55
Baidu ScholarGoogle Scholar
[15] J. Chadwick and M. Goldhaber,

A Nuclear Photo-effect: Disintegration of the Diplon by -Rays

. Nature 134, 237-238 (1934). doi: 10.1038/134237a0
Baidu ScholarGoogle Scholar
[16] G.M. Murphy and H. Johnston,

The Nuclear Spin of Deuterium

. Phys. Rev. 46, 95 (1934). doi: 10.1103/PhysRev.46.95
Baidu ScholarGoogle Scholar
[17] J.M.B. Kellogg, I. I. Rabi, N. F. Ramsey et al.,

An Electrical Quadrupole Moment of the Deuteron

. Phys. Rev. 55, 318 (1939). doi: 10.1103/PhysRev.55.318
Baidu ScholarGoogle Scholar
[18] N.K. Glendenning and G. Kramer.

Nucleon-nucleon triplet-even potentials

. Phys. Rev. 126, 2159 (1962). doi: 10.1103/PhysRev.126.2159
Baidu ScholarGoogle Scholar
[19] M. Garcon and J. W. Van Orden, The deuteron: Structure and form factors, Chapter 4, in J. W. Negele et al. (eds.) Advances in Nuclear Physics, Springer, New York, 2001.
[20] G. Berg, J. Blomgren, J. Cameron et al.,

Measurements of the proton-neutron correlation in deuteron breakup at 260 MeV

. IUCF Sci. and Tech. Rep. p.70-75 (1992). https://hdl.handle.net/2022/610
Baidu ScholarGoogle Scholar
[21] M. Jin, S. Xu, G. Yang et al.,

Yield of long-lived fission product transmutation using proton-, deuteron-, and alpha particle-induced spallation

. Nucl. Sci. Tech. 32, 96(2021). doi: 10.1007/s41365-021-00933-8
Baidu ScholarGoogle Scholar
[22] W. Qiu, W. Sun, and J. Su,

Neutronic analysis of deuteron-driven spallation target

. Nucl. Sci. Tech. 32, 94(2021). doi: 10.1007/s41365-021-00932-9
Baidu ScholarGoogle Scholar
[23] J. Aichelin, C. Hartnack, A. Bohnet et al.,

QMD versus BUU/VUU: Same results from different theories

. Phys. Lett. B 224(1–2), 34 (1989). doi: 10.1016/0370-2693(89)91045-9
Baidu ScholarGoogle Scholar
[24] J. Aichelin,

“Quantum” molecular dynamics—a dynamical microscopic n-body approach to investigate fragment formation and the nuclear equation of state in heavy ion collisions

. Phys. Rep. 202, 233-360 (1991). doi: 10.1016/0370-1573(91)90094-3
Baidu ScholarGoogle Scholar
[25] L. Ou, Z. Xiao, H. Yi et al.,

Dynamic Isovector Reorientation of Deuteron as a Probe to Nuclear Symmetry Energy

. Phys. Rev. Lett. 115, 212501 (2015). doi: 10.1103/PhysRevLett.115.212501
Baidu ScholarGoogle Scholar
[26] H. Liu, N. Ma, R. Wang,

Nuclear Fermi momenta of 2H, 27Al and 56Fe from an analysis of CLAS data

. Nucl. Phys. A 1018, 122377(2022). doi: 10.1016/j.nuclphysa.2021.122377
Baidu ScholarGoogle Scholar
[27] Y. Zhang and Z. Li,

Probing the density dependence of the symmetry potential with peripheral heavy-ion collisions

. Phys. Rev. C 71, 024604 (2005). doi: 10.1103/PhysRevC.71.024604
Baidu ScholarGoogle Scholar
[28] Y. Zhang and Z. Li,

Elliptic flow and system size dependence of transition energies at intermediate energies

. Phys. Rev. C 74, 014602 (2006). doi: 10.1103/PhysRevC.74.014602
Baidu ScholarGoogle Scholar
[29] L. Ou, Z. Li, X. Wu et al,

A study of proton-induced spallation reactions by the improved quantum molecular dynamics model plus statistical decay models

. J. Phys. G: Nucl. Part. Phys. 36, 125104 (2009). doi: 10.1088/0954-3899/36/12/125104
Baidu ScholarGoogle Scholar
[30] L. Ou, Z. Li and X. Wu,

Dynamical isospin effects in nucleon-induced reactions

. Phys. Rev. C 78, 044609 (2008). doi: 10.1103/PhysRevC.78.044609
Baidu ScholarGoogle Scholar
[31] L. Ou and Z. Xiao,

Orientation dichroism effect of proton scattering on deformed nuclei

. Chin. Phys. C 44, 114103 (2020). doi: 10.1088/1674-1137/abadf1
Baidu ScholarGoogle Scholar
[32] Y. Zhang, N. Wang, Q.F. Li et al,

Progress of quantum molecular dynamics model and its applications in heavy ion collisions

. Front. Phys. 15(5), 54301 (2020). doi: 10.1007/s11467-020-0961-9
Baidu ScholarGoogle Scholar
[33] L.W. Chen, C.M. Ko, B.A. Li et al.,

Density slope of the nuclear symmetry energy from the neutron skin thickness of heavy nuclei

. Phys. Rev. C 82, 024321 (2010). doi: 10.1103/PhysRevC.82.024321
Baidu ScholarGoogle Scholar
[34] M. Dutra, O. Lourenço, J.S. Sá Martins et al.,

Skyrme interaction and nuclear matter constraints

. Phys. Rev. C 85, 035201 (2012). doi: 10.1103/PhysRevC.85.035201
Baidu ScholarGoogle Scholar
[35] Y. Zhang, Z.X. Li, C.S. Zhou et al.,

Effect of isospin-dependent cluster recognition on observables in heavy-ion collisions

. Phys. Rev. C 85, 051602(R) (2012). doi: 10.1103/PhysRevC.85.051602
Baidu ScholarGoogle Scholar
[36] Z. Lin and L. Zheng,

Further developments of a multi-phase transport model for relativistic nuclear collisions

. Nucl. Sci. Tech. 32, 113(2021). doi: 10.1007/s41365-021-00944-5
Baidu ScholarGoogle Scholar
[37] R.J. Charity, M.A. McMahan, G.J. Wozniak et al.,

Systematics of complex fragment emission in niobium-induced reactions

. Nucl. Phys. A 483, 371-405 (1988). doi: 10.1016/0375-9474(88)90542-8
Baidu ScholarGoogle Scholar
[38] R.J. Charity, L.G. Sobotka, J. Cibor et al.,

Emission of unstable clusters from hot Yb compound nuclei

. Phys. Rev. C 63, 024611 (2001). doi: 10.1103/PhysRevC.63.024611
Baidu ScholarGoogle Scholar
[39] S. Araki, Y. Watanabe, M. Kitajima et al.,

Systematic measurement of double-differential neutron production cross sections for deuteron-induced reactions at an incident energy of 102 MeV

. Nucl. Instrum. and Meth. A 842, 62-70, (2017). doi: 10.1016/j.nima.2016.10.043
Baidu ScholarGoogle Scholar
[40] Y. He, C. Guo, J. Su et al.,

Study on deuteron formation mechanism in nucleon-induced reactions

. Nucl. Sci. Tech. 31, 84(2020). doi: 10.1007/s41365-020-00788-5
Baidu ScholarGoogle Scholar
[41] W. Sun, W.W. Qiu, J. Su,

Production of high-energy neutrons by interaction of a deuteron beam with matter

. Appl. Radia. Isotopes 174, 109752(2021) doi: 10.1016/j.apradiso.2021.109752
Baidu ScholarGoogle Scholar
[42] S.Y. Xu, G.M. Yang, M.T. Jin et al.,

Probing the deuteron breakup and linking the cross sections of residue production between the neutron- and deuteron-induced spallation at 500 MeV/nucleon

. Phys. Rev. C 101, 024609 (2020). doi: 10.1103/PhysRevC.101.024609
Baidu ScholarGoogle Scholar
[43] T. Wakasa, S. Goto, M. Matsuno et al.,

Neutron production cross sections for (d,n) reactions at 55 MeV

. Prog. Theor. Exp. Phys. 2017, 083D01 (2017). doi: 10.1093/ptep/ptx099
Baidu ScholarGoogle Scholar
[44] H. Okamura, S. Ishida, N. Sakamoto et al.,

Mechanism of the forward-angle (d,pn) reaction at intermediate energies

. Phys. Rev. C 58, 2180 (1998). doi: 10.1103/PhysRevC.58.2180
Baidu ScholarGoogle Scholar
[45] T. Ye, Y. Watanabe and K. Ogata,

Analysis of deuteron breakup reactions on Li7 for energies up to 100 MeV

. Phys. Rev. C 80, 014604 (2009). doi: 10.1103/PhysRevC.80.014604
Baidu ScholarGoogle Scholar
[46] S.D. Schery, L.E. Young, R.R. Doering et al.,

Activation and angular distribution measurements of 7Li(p, n)7Be(0.0+0.49 MeV) for Ep=25-45 MeV - A technique for absolute neutron yield determination

. Nucl. Instrum. Meth. 147, 399-404(1977) doi: 10.1016/0029-554X(77)90275-0
Baidu ScholarGoogle Scholar
[47] M. Baba, Y. Nauchi, T. Iwasaki et al.,

Characterization of a 40–90 MeV 7Li(p,n) neutron source at TIARA using a proton recoil telescope and a TOF method

. Nucl. Instrum. Meth. A 428, 454 (1999). doi: 10.1016/S0168-9002(99)00161-8
Baidu ScholarGoogle Scholar
[48] T.N. Taddeuchi, C.A. Goulding, T.A. Carey et al.,

The (p, n) reaction as a probe of beta decay strength

. Nucl. Phys. A 469, 125-172 (1987). doi: 10.1016/0375-9474(87)90089-3
Baidu ScholarGoogle Scholar