Introduction
Clustering is one of the most important aspects of understanding nuclear structures [1, 2]. Clustering fundamentally affects the structure and reaction features of stable and unstable exotic nuclei.
Since the 1960s, various cluster models [3, 4] have been proposed and applied to the study of exotic nuclear structures that cannot be understood from the perspective of a pure shell model. Currently, clustering effects play an increasingly important role not only in nuclear structures but also in many other fields of nuclear physics, such as heavy-ion collisions [5-7], astrophysical nucleosynthesis [8, 9], and nuclear matter [10, 11].
According to cluster models, nucleons are assigned to different groups to construct clusters, and the relative-motion wave function between the clusters is solved using the equation of motion. Microscopic cluster models, including the resonating group method (RGM) [12, 13] and generator coordinate method (GCM) [13-15], ensure the antisymmetrization between all the nucleons. By contrast, the orthogonality condition model (OCM) [16-18], as a semi-microscopic cluster model, simulates the effect of antisymmetrization by requiring the inter-cluster wave function to be orthogonal to the forbidden states. In recent years, a novel type of wave function known as the Tohsaki-Horiuchi-Schuck-Röpke (THSR) wave function proposed by Tohsaki, Horiuchi, Schuck, and Röpke [19] has been utilized for studying the well-known Hoyle state [20] and the analogous 4α gas-like state of 16O. A generalized THSR wave function [21] was proposed a decade later to describe the clustering structure in nuclei [22, 23].
In nuclear physics, various physical quantities, including the root-mean-square (RMS) radius, monopole transition strength M(E0), and cluster decay width, reflect the degree of clustering in the nucleus. A straightforward indicator of clustering is the reduced-width amplitude (RWA), or overlap amplitude [13, 24]. The RWA is defined as the overlap between the wave function of the nucleus and the cluster-coupling wave function in a specified channel, depending on the distance between the clusters. Accordingly, the RWA not only indicates the probability of cluster formation but also the relative motion between clusters. The radial nodal excitation of the intercluster motion can be inferred from the relationship
Sharing the same definition as that of the overlap function, the RWA can also serve as an important input parameter for evaluating reaction cross-sections, thus providing more accurate microscopic structural information for nuclear reaction studies [28-32]. In traditional reaction theories, such as the distorted-wave Born approximation (DWBA) method [33, 34], the structural information of the participating nuclei is approximated using a simple optical-potential model, and the relative-motion wave function must be normalized by an adjustable spectroscopic factor, which is fitted according to the experimental data to include the effects of antisymmetrization and core excitation [28]. Therefore, using the microscopically obtained RWA as input in reaction theories greatly enhances the precision and self-consistency of the cross-section calculations, as it incorporates more detailed information about the participating nuclei and interactions.
This article aims to provide a concise overview of the calculations and applications of the RWA. In the following section, we introduce various cluster model wave functions and the theoretical models used to obtain them. In Sect. 3, we define and discuss the calculation methods of RWA based on the cluster-model wave functions. We also examine the features and extensions of the three-body analysis. Applications of RWA in clustering structure analysis are presented in Sect. 4. Finally, in Sect. 5 we provide a summary and outlook.
Nuclear cluster wave functions
In light nuclei, cluster configurations evolve with increasing excitation energy. The ground state generally has a compact structure, but in excited states, especially near breakup thresholds of cluster emission, various interesting clustering structures emerge, as illustrated by the famous Ikeda diagram [35].
Microscopic cluster models [1] aim to describe and understand the correlations between clusters or nucleons in states with significant clustering effects. Microscopic studies on nuclear clustering began with Wheeler's proposal of the RGM in 1937 [12]. Various cluster models have since been introduced to theoretically analyze the structure and scattering characters of light nuclei. To properly describe the nuclear system, one must consider the antisymmetrization effect in the wave function due to the indistinguishability of nucleons. The Hamiltonian of the nuclear system can be expressed as
Resonating group method
The RGM was formulated as early as 1937 to study scattering between light nuclei microscopically. In this method, the nucleons are separated into several groups, as the precursor of the concept of “cluster,” whereas the exchange effect between identical nucleons from different groups is taken as if the nucleon is resonating between each group. Since the 1960s, intensive research has been conducted using RGM to analyze the clustering structures of nuclei. Considering a two-cluster system
Generator coordinate method and Brink wave function
The actual calculation using the RGM is tedious and requires solving both an integro-differential equation and an analysis of the Hamiltonian and norm kernels. In addition, extension to three or more cluster systems within the RGM framework is much more cumbersome. The proposal of the generator coordinate method (GCM), which is essentially equivalent to the RGM [18, 38], makes performing the calculation and extending the framework to multi-cluster systems much easier. The GCM wave function of the nucleus can be expressed as [18]
To describe a realistic nuclear system, the GCM–Brink wave function is defined as the superposition of the angular-momentum and parity-projected Brink wave functions:
In the Brink cluster model, the existence of clusters is assumed a priori. By contrast, more flexible theoretical methods for studying nuclear clustering, such as antisymmetrized molecular dynamics (AMD) [40-42] and fermionic molecular dynamics (FMD) [43-45], treat all nucleons independently without assuming any clustering structure. The Brink wave function can be considered as a special case of AMD or FMD wave functions, with a fixed harmonic oscillator parameter b and frozen degrees of freedom for the nucleons in clusters.
Orthogonality condition model
In RGM and GCM, the forbidden states, resulting from the Pauli exclusion principle between fermions, are eliminated when solving the equations of motion due to antisymmetrization in the nuclear systems. As a semi-microscopic method, the orthogonality condition model (OCM) [16-18] reduces computation cost by artificially removing the forbidden states before solving the equation of motion. Considering the semi-microscopic approximation of the RGM, the equation of motion can be expressed as
Tohsaki–Horiuchi–Schuck–Röpke wave function
In 2001, the THSR wave function [19] was originally proposed to describe the α-condensation of the Hoyle state, defined as
An important feature of the clustering revealed by the THSR wave function is the BEC nature of the Hoyle state. It was found that by varying the total energy, the Hoyle state could be obtained using the THSR wave function with a rather large B value, which means that the Hoyle state can be well interpreted as a 3-α condensate state, where the α clusters all move in the 0S orbit within a relatively large volume, consistent with the large radius of the Hoyle state [19]. More interestingly, a subsequent study showed that the THSR wave function of the Hoyle state is nearly equivalent to the 3α cluster model wave functions obtained from the RGM or GCM [46]:
Reduced-width amplitudes
Provided the microscopic wave functions are based on the aforementioned cluster models, namely
-202504-ok/1001-8042-36-04-002/alternativeImage/1001-8042-36-04-002-F001.jpg)
The significance of RWA is twofold. First, the RWA provides important information about the clustering configurations and angular momentum coupling channels. The amplitudes are directly related to the probability of forming a clustering structure at different separation distances. Consequently, the optimized distance between the two-body clustering and forbidden states can be inferred from the amplitudes. To further evaluate the components of the clustering configurations in the state of a nucleus, we can calculate the spectroscopic factors (SFs) by integrating the squared norm of RWA:
For example, in the (d, p) transfer reaction, the scattering matrix from the initial state i to the final state f is [28, 51]
On the other hand, for
Calculation methods of RWA
Calculation methods for the RWA were established many years ago [13]. In RGM, the calculation for the RWA is straightforward, where the RGM-type wave function is written as
The traditional method for calculating the RWA using the GCM-Brink wave function requires significant computational resources. Recently, Chiba and Kimura [53] proposed a Laplace expansion method to calculate the RWA within the GCM/AMD framework. Through the Laplace expansion, the AMD wave function of the A-nucleon system, which is defined as the determinant of an
Asymptotic behavior
For cluster states in self-conjugated nuclei, such as α+α, as shown in Fig. 2, the RWA exhibits distinct features in different regions, namely suppressed inner oscillation, enhanced surface peak, and damping of the outer tail. The inner oscillation and enhanced peak are closely related to the antisymmetrization effect between the clusters. Due to the fermionic nature of the nucleons in the α clusters, the formation probability of the α+α structure at a small distance is suppressed, and forbidden states appear at nodal distances. However, the tail part of the RWA, where the distance between clusters is sufficiently large that the antisymmetrization effect between clusters becomes very weak, is mainly determined by the separation energy as well as the centrifugal and Coulomb barriers. Consequently, the asymptotic behavior of the RWA should be well defined, and is important for examining the delocalization of α clusters in weakly bound cluster states [54].
-202504-ok/1001-8042-36-04-002/alternativeImage/1001-8042-36-04-002-F002.jpg)
In addition, when nuclear reactions are analyzed, the asymptotic behavior of the RWA determines the angular distributions of the nucleon or cluster removal cross-sections [27]. For bound systems and narrow resonances, the tail part of RWA decreases as
The significance of the asymptotic behavior of RWA is further demonstrated by the consistency between the tail parts of the relative wave functions with distinctive definitions. It should be noted that the RWA is not normalized to unity but to
Testing the abilities of different trial wave functions is also interesting for describing the asymptotic behavior of the cluster relative motion. Based on the equivalence of the three types of relative wave function in the tail region, Kanada-En'yo [54] further calculated the relative wave functions obtained from the Brink, spherical THSR (sTHSR), and deformed THSR (dTHSR) wave functions as well as a function with Yukawa tail (YT), and compared them with the exact solution obtained by GCM wave function. The relative wave functions of these trail wave functions can be expressed as various types of Gaussians. For the Brink and sTHSR wave functions, the intercluster wave function can be adopted as a shifted spherical Gaussian (ssG)
To determine the accuracy of the trial wave functions in describing the asymptotic behavior of the cluster relative motions, Fig. 3 shows the relative wave function
-202504-ok/1001-8042-36-04-002/alternativeImage/1001-8042-36-04-002-F003.jpg)
Two-body overlap amplitude
The RWA is essentially a one-body overlap amplitude that depends on a single intercluster distance parameter. To observe the correlations between clusters or nucleons more clearly and to understand the much more complex three-body cluster motion, we can extend the analysis of overlap amplitudes to three-body channels. This extension was recently applied to the analysis of
The two-body overlap amplitude is defined as
Applications
The RWA (or cluster form factor in NCSM formalism or overlap function in reaction theories) has been extensively applied in a wide range of studies. In addition to its ability to analyze cluster configurations and calculate reaction cross-sections, the RWA (cluster form factor) also serves as an indispensable quantity for solving the equation of motion in the no-core shell model with continuum (NCSMC), which is an ab initio theory that combines the NCSM with the cluster model [58, 59].
As Fig. 4 shows, the RWA calculated by the GCM and NCSMC [60] are compared for the
-202504-ok/1001-8042-36-04-002/alternativeImage/1001-8042-36-04-002-F004.jpg)
In this article, we review the theory and applications of RWA in nuclear clustering studies. In the following section, we demonstrate the application of RWA to the clustering structural analysis based on cluster model wave functions. Some reaction studies closely related to clustering structures in the nuclei and the calculation of RWA are also briefly discussed.
Clustering structure in Nα nuclei
One of the most interesting phenomena related to clustering in nuclei is the existence of the Hoyle state and its analogs in Nα self-conjugate nuclei, in which α clusters simultaneously occupy the lowest 0+ state and present the characteristic of BEC [19]. The Hoyle state is essential for the evolution of life because it plays a crucial role in the nucleosynthesis of isotopes heavier than helium [20, 61]. However, the structural configuration of the Hoyle state has been debatable since its discovery [62-64]. The subsequent discussion reveals that the RWA is an effective tool for searching and verifying Nα-condensation states in light nuclei.
By means of α+α+α GCM, Uegaki et al. [65] systematically calculated the ground and excited states of 12C. To study the coupling between the α cluster and 8Be in the ground and excited states, the RWA of various 8Be+α channels were evaluated for the obtained states of 12C. We found that the Hoyle state
-202504-ok/1001-8042-36-04-002/alternativeImage/1001-8042-36-04-002-F005.jpg)
-202504-ok/1001-8042-36-04-002/alternativeImage/1001-8042-36-04-002-F006.jpg)
Although the 4α condensate state of 16O has been predicted using gas-like THSR wave functions [19], the identification of this state has been controversial for years. With the semi-microscopic method OCM, Funaki et al. [70] reproduced the full experimental spectrum of 0+ states for 16O up to
-202504-ok/1001-8042-36-04-002/alternativeImage/1001-8042-36-04-002-F007.jpg)
Consisting of five α clusters, the relative motions between the clusters in 20Ne are more complicated. By calculating the 16O+α RWA for various rotational bands of 20Ne, Kimura [72] investigated the relative motions of 16O and α clusters. Similar to 12C and 16O, for the low-lying states of 20Ne, the RWA results of various 16O+α components oscillate and are suppressed in the interior region, and are then clearly enhanced in the exterior region. The calculated RWA also demonstrated that the ground band of 20Ne exhibits a pronounced anti-stretching phenomenon because the average distance between the 16O and α clusters decreases as the angular momentum increases. The 5α condensate state is predicted to be much higher, at approximately 20 MeV, making the search for this state much more difficult. Recently, Zhou et al. [71] theoretically recognized the 5α condensate state of 20Ne at 2.7 MeV above the 5α threshold. The calculated RWA shows that, analogous to the 3α and 4α condensate states, the 5α condensate state (denoted as
-202504-ok/1001-8042-36-04-002/alternativeImage/1001-8042-36-04-002-F008.jpg)
Clustering in neutron-rich nuclei
In addition to the Hoyle and Hoyle-analog states in Nα nuclei, neutron-rich nuclei exhibit various interesting cluster states [73]. Since the 1990s, both experimental [74] and theoretical studies [75-77] have suggested that a novel form of clustering via the molecular structure may occur in neutron-rich Be or C isotopes, in which the α clusters interact with extra neutrons, serving as valence neutrons akin to covalent electrons that bind atoms in a molecule.
One of the simplest examples of a molecular state is 9Be, in which the unbound system of α+α is bound by the addition of one valence neutron. By combining the resonant state method with the RGM, Arai et al. [78] systematically studied the structure of the ground and excited states of 9Be and calculated the 8Be+n and 5He+α RWAs for some low-lying states, including 3/2-, 5/2-, 1/2+, 1/2-, and 5/2+. The results show that in these states, both the 8Be+n and 5He+α configurations exhibit large amplitudes. In addition, the maximum amplitude is reached with a larger distance between clusters for positive-parity states than for negative-parity states, suggesting that the average α–α distances in positive-parity states are larger, consistent with earlier studies [79].
More structural information, besides the binary clustering probability, can be inferred from the RWA of neutron-rich nuclei. For example, the orbits of valence neutrons were analyzed in a groundbreaking study [81] on the molecular states in 12Be. By examining the RWA of different rotational bands in 6He+6He and 8He+α systems and considering molecular orbits of neutrons, Kanada-En'yo and Horiuchi concluded that in the
Furthermore, RWA analysis allows for an investigation of the tendency of α clustering as the drip-line is approached. A recent experiment demonstrated a negative correlation between α formation and neutron skin thickness in Sn isotopes [10]. Following this, α cluster formation in neutron-rich isotopes of Be and B was systematically analyzed by calculating the RWA of
A similar relationship between α formation on the nuclear surface and the richness of neutrons has also been studied for C isotopes [80]. In that study, the RWAs of various α+X-4Be channels were calculated for the ground states of 14C, 16C, and 18C, as shown in Fig 9. The results showed that for 14C, the α amplitude in the exterior was large and comparable with that for 12C, whereas for 16C and 18C, with thicker neutron skins, the α formation on the nuclear surface was considerably suppressed.
-202504-ok/1001-8042-36-04-002/alternativeImage/1001-8042-36-04-002-F009.jpg)
The formation of exotic clusters, other than α clusters, in neutron-rich nuclei has attracted increasing attention. Through the use of RWA, the formation probabilities of not only α clusters but also light exotic clusters such as triton, 3He, and deuterons, etc., can be theoretically estimated. More significantly, another type of Hoyle-analog state, composed of different types of clusters forming gas-like states, has been proposed as existing among these exotic clustering states.
A natural candidate for searching for non-Nα Hoyle-analog states is 11B, which can be well described by the α+α+t cluster model. By means of AMD, Kanada-En'yo [84] found that the
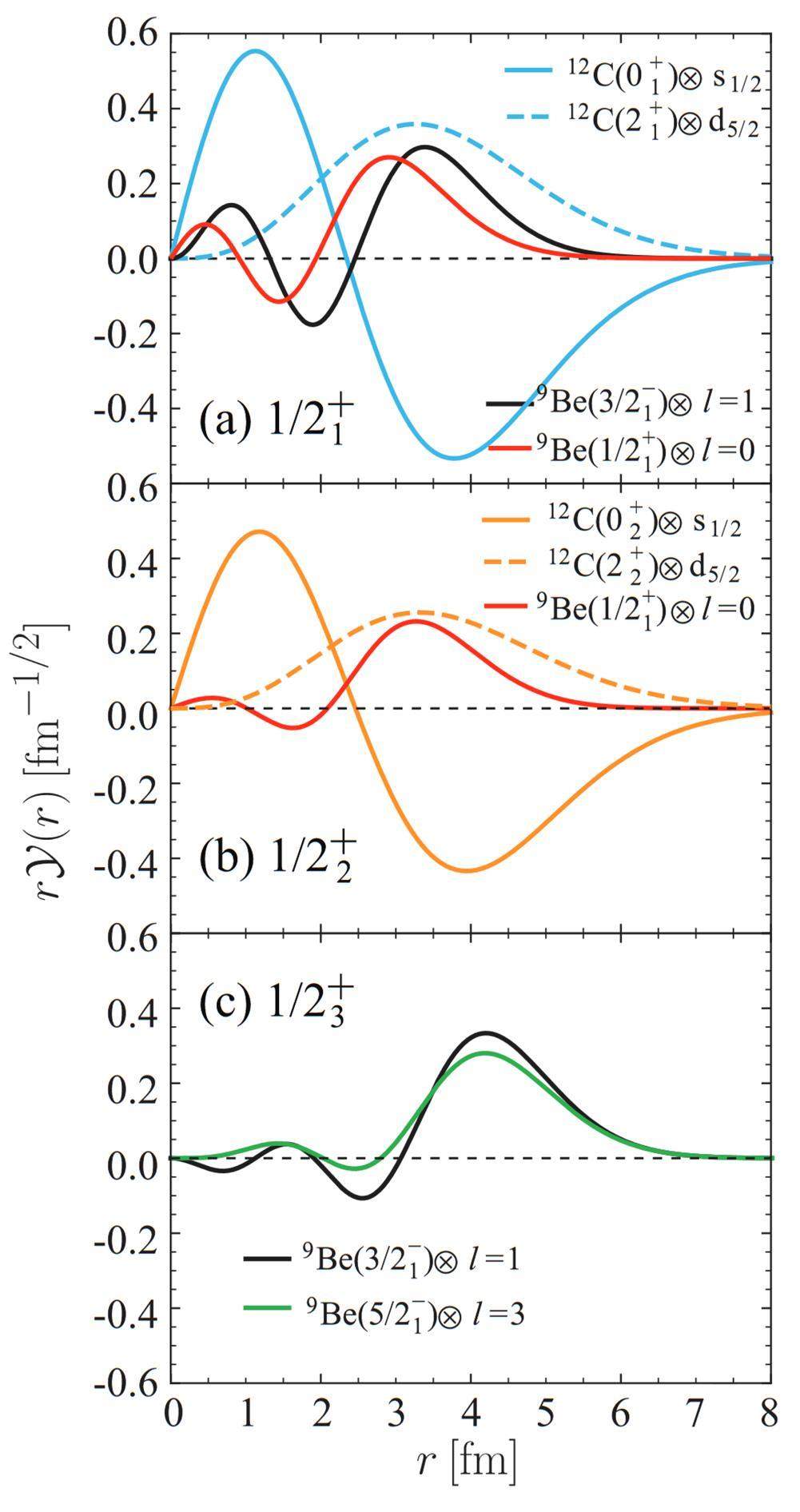
Adding an extra nucleon to the Hoyle state is another approach for exploring non-Nα Hoyle-analog states. The configurations of
-202504-ok/1001-8042-36-04-002/alternativeImage/1001-8042-36-04-002-F010.jpg)
-202504-ok/1001-8042-36-04-002/alternativeImage/1001-8042-36-04-002-F011.jpg)
For certain high-lying states of light nuclei, the α cluster may interact with loosely bound valence nucleons to form various exotic clustering structures. With the 7Li used as an example, although the most well-known clustering structure of
-202504-ok/1001-8042-36-04-002/alternativeImage/1001-8042-36-04-002-F012.jpg)
From the results, we can clearly observe the multichannel character of the cluster configurations in the two bound states: the ground state 3/2- and first excited state 1/2-. In these two states, in addition to the dominant
Analysis of three-body correlations
Recently, correlations between clusters or nucleons have drawn increasing interest [92, 93] and require an analysis of the three-body motions of clusters.
The motion of the two valence neutrons around the core is closely related to the well-known di-neutron correlation [94], which is fundamental for a deeper understanding of the nuclear force. Based on the framework presented in Sec. 3.3, as examples, the two-body overlap amplitudes of the ground states of 6He and 10Be are calculated, depicting the relative motions for
Fig. 13 shows the two-body overlap amplitude of the
-202504-ok/1001-8042-36-04-002/alternativeImage/1001-8042-36-04-002-F013.jpg)
To observe the behavior of valence neutrons in the presence of a more complex core, we present the overlap amplitude of 8Be+n+n configuration in 10Be in Fig. 14. The same configuration was previously analyzed with a smaller basis space [57]. We constructed a basis space with more spatial configurations by comprehensively considering the correlations between the clusters. As an analogous structure of
-202504-ok/1001-8042-36-04-002/alternativeImage/1001-8042-36-04-002-F014.jpg)
Reaction cross-section evaluation
The development of microscopic structure studies has led to the frequent adoption of microscopic structural information, including the RWA, as an important input in recent reaction calculations. The α knockout reaction, which is closely related to α clustering in nuclei, has been extensively studied to probe clustering structures or extract experimental SF values [95-97]. Recently, Yoshida et al. [30] analyzed the
Transfer reactions are also commonly used to extract structural information of nuclei [98]. By combining the CDCC and the improved DWBA via microscopic input of RWA, Chien and Descouvemont [51] studied the
-202504-ok/1001-8042-36-04-002/alternativeImage/1001-8042-36-04-002-F015.jpg)
Summary and Outlook
In this review, we presented the forms of various microscopic cluster model wave functions while considering some typical cluster models, including RGM, GCM, and OCM. We demonstrated the significance of the reduced-width amplitude, also known as the cluster form factor or overlap function, from the perspective of structure and reaction analyses. Based on the cluster model wave functions, we presented the definition and calculation methods of the RWA. The Laplace expansion is an effective approach to calculate the RWA, as compared to the traditional method, when the GCM or THSR wave function is constructed from the Brink cluster wave functions. Furthermore, the tail part of the RWA can be approximated by calculating the overlap between the nuclear and single-Brink wave functions. Following the brief theoretical framework that we revised, we presented some application examples to demonstrate the role played by RWA in the structure and reaction analyses of light nuclei. In addition, we extended the overlap amplitude calculation from the two-body to the three-body structure analysis for 6He (
Microscopic clustering in light nuclei
. Rev. Mod. Phys. 90,Nonlocalized clustering and evolution of cluster structure in nuclei
. Front. Phys. 15, 14401 (2019). https://doi.org/10.1007/s11467-019-0917-0Cluster models from RGM to alpha condensation and beyond
. Prog. Part. Nucl. Phys. 82, 78–132 (2015). https://doi.org/10.1016/j.ppnp.2015.01.001Effects of the α-cluster structure and the intrinsic momentum component of nuclei on the longitudinal asymmetry in relativistic heavy-ion collisions
. Phys. Rev. C 108,Influence of α-clustering nuclear structure on the rotating collision system
. Nucl. Sci. Tech. 29, 186 (2018). https://doi.org/10.1007/s41365-018-0523-9α-clustering effect on flows of direct photons in heavy-ion collisions
. Nucl. Sci. Tech. 32, 66 (2021). https://doi.org/10.1007/s41365-021-00897-9Unveiling the dynamics of little-bang nucleosynthesis
. Nat. Commun. 15, 1074 (2024). https://doi.org/10.1038/s41467-024-45474-xLight and heavy clusters in warm stellar matter
. Nucl. Sci. Tech. 29, 181 (2018). https://doi.org/10.1007/s41365-018-0518-6Formation of α clusters in dilute neutron-rich matter
. Science 371, 260–264 (2021). https://doi.org/10.1126/science.abe4688Quasiparticle light elements and quantum condensates in nuclear matter
. J. Phys. Conf. Ser. 321,On the mathematical description of light nuclei by the method of resonating group structure
. Phys. Rev. 52, 1107–1122 (1937). https://doi.org/10.1103/PhysRev.52.1107Chapter III. Kernels of GCM, RGM and OCM and their calculation methods
. Prog. Theor. Phys. Supp. 62, 90–190 (1977). https://doi.org/10.1143/PTPS.62.90Nuclear constitution and the interpretation of fission phenomena
. Phys. Rev. 89, 1102–1145 (1953). https://doi.org/10.1103/PhysRev.89.1102Collective motions in nuclei by the method of generator coordinates
. Phys. Rev. 108, 311–327 (1957). https://doi.org/10.1103/PhysRev.108.311Effect of Pauli principle in scattering of two clusters
. Prog. Theor. Phys. 40, 893–894 (1968). https://doi.org/10.1143/PTP.40.893Interaction between clusters and Pauli principle
. Prog. Theor. Phys. 41, 705–722 (1969). https://doi.org/10.1143/PTP.41.705Chapter II. Theory of resonating group method and generator coordinate method, and orthogonality condition model
. Prog. Theor. Phys. Supp. 62, 11–89 (1977). https://doi.org/10.1143/PTPS.62.11Alpha cluster condensation in 12C and 16O
. Phys. Rev. Lett. 87,On nuclear reactions occuring in very hot stars. I. The synthesis of elements from carbon to nickel
. Astrophys. J., Suppl. Ser. 1, 121 (1954). https://doi.org/10.1086/190005Nonlocalized clustering: A new concept in nuclear cluster structure physics
. Phys. Rev. Lett. 110,Nonlocalized cluster dynamics and nuclear molecular structure
. Phys. Rev. C 89,Investigation of 9Be from a nonlocalized clustering concept
. Phys. Rev. C 91,Approximation of reduced width amplitude and application to cluster decay width
. Prog. Theor. Exp. Phys. 2014,Cluster form factor calculation in the ab initio no-core shell model
. Phys. Rev. C 70,Overlap functions for reaction theories: Challenges and open problems
. J. Phys. G 41,A semi-microscopic approach to transfer reactions
. Eur. Phys. J. A 58, 193 (2022). https://doi.org/10.1140/epja/s10050-022-00840-5Practical method for decomposing discretized breakup cross sections into components of each channel
. Phys. Rev. C 103,Quantitative description of the 20Ne(p,pα)16O reaction as a means of probing the surface α amplitude
. Phys. Rev. C 100,Manifestation of α clustering in 10Be via α-knockout reaction
. Phys. Rev. C 97,Probing surface distributions of α clusters in 20Ne via α-transfer reaction
. Phys. Rev. C 93,The systematic structure-change into the molecule-like structures in the self-conjugate 4n nuclei
. Prog. Theor. Phys. Supp. E68, 464–475 (1968). https://doi.org/10.1143/PTPS.E68.464Equilibrium deformation calculations of the ground state energies of 1p shell nuclei
. Nucl. Phys. 74, 33–58 (1965). https://doi.org/10.1016/0029-5582(65)90244-0Systematic investigation of scattering problems with the resonating-group method
. Nucl. Phys. A 286, 53–66 (1977). https://doi.org/10.1016/0375-9474(77)90007-0Generator coordinate treatment of composite particle reaction and molecule-like structures
. Prog. Theor. Phys. 43, 375–389 (1970). https://doi.org/10.1143/PTP.43.375Fragment formation studied with antisymmetrized version of molecular dynamics with two-nucleon collisions
. Phys. Rev. Lett. 68, 2898–2900 (1992). https://doi.org/10.1103/PhysRevLett.68.2898Antisymmetrized version of molecular dynamics with two-nucleon collisions and its application to heavy ion reactions
. Prog. Theor. Phys. 87, 1185–1206 (1992). https://doi.org/10.1143/ptp/87.5.1185Structure of Li and Be isotopes studied with antisymmetrized molecular dynamics
. Phys. Rev. C 52, 628–646 (1995). https://doi.org/10.1103/PhysRevC.52.628Fermionic molecular dynamics
. Nucl. Phys. A 515, 147–172 (1990). https://doi.org/10.1016/0375-9474(90)90328-JFermionic molecular dynamics for ground states and collisions of nuclei
. Nucl. Phys. A 586, 493–532 (1995). https://doi.org/10.1016/0375-9474(94)00792-LMolecular dynamics for fermions
. Rev. Mod. Phys. 72, 655–688 (2000). https://doi.org/10.1103/RevModPhys.72.655Analysis of previous microscopic calculations for the second 0+ state in 12C in terms of 3α particle bose-condensed state
. Phys. Rev. C 67,The container picture with two-alpha correlation for the ground state of 12C
. Prog. Theor. Exp. Phys. 2014,Container picture for 3- and 4- states of 12C
. Few-Body Syst. 63, 26 (2022). https://doi.org/10.1007/s00601-021-01720-2New trial wave function for the nuclear cluster structure of nuclei
. Prog. Theor. Exp. Phys. 2018,The R-matrix theory
. Rep. Prog. Phys. 73,Analysis of the 16C(d,p)17C reaction from microscopic 17C wave functions
. Phys. Rev. C 108,Investigation of α clustering with knockout reactions
. Phys. Rev. C 98,Laplace expansion method for the calculation of the reduced-width amplitudes
. Prog. Theor. Exp. Phys. 2017,Description of an α-cluster tail in 8Be and 20Ne: Delocalization of the α cluster by quantum penetration
. Prog. Theor. Exp. Phys. 2014,Spectroscopic amplitudes in microscopic three-cluster systems
. Phys. Rev. C 107,Structure and decay of the pygmy dipole resonance in 26Ne
. Phys. Rev. C 95,Analysis of the effect of core structure upon dineutron correlation using antisymmetrized molecular dynamics
. Phys. Rev. C 93,Ab initio description of the exotic unbound 7He nucleus
. Phys. Rev. Lett. 110,Unified ab initio approach to bound and unbound states: No-core shell model with continuum and its application to 7He
. Phys. Rev. C 87,7Be and 7Li nuclei within the no-core shell model with continuum
. Phys. Rev. C 100,12B, 12C, and the red giants
. Phys. Rev. 107, 508–515 (1957). https://doi.org/10.1103/PhysRev.107.508Interpretation of some of the excited states of 4n self-conjugate nuclei
. Phys. Rev. 101, 254–258 (1956). https://doi.org/10.1103/PhysRev.101.254On the spin of a broad state around 10 MeV in 12C
. Phys. Lett. 21, 78–79 (1966). https://doi.org/10.1016/0031-9163(66)91349-7Study of α chain states through their decay widths
. Prog. Theor. Phys. 47, 1517–1536 (1972). https://doi.org/10.1143/PTP.47.1517Structure of the excited states in 12C. II
. Prog. Theor. Phys. 62, 1621–1640 (1979). https://doi.org/10.1143/PTP.62.1621Transition densities between the 01+, 21+, 41+, 02+, 22+, 11− and 31− states in 12C derived from the three-alpha resonating-group wave functions
. Nucl. Phys. A 351, 456–480 (1981). https://doi.org/10.1016/0375-9474(81)90182-2Microscopic theory of the 8Be(α,γ)12C reaction in a three-cluster model
. Phys. Rev. C 36, 54–59 (1987). https://doi.org/10.1103/PhysRevC.36.54Breathing-like excited state of the Hoyle state in 12C
. Phys. Rev. C 94,Microscopic study of 4α-particle condensation with inclusion of resonances
. Phys. Rev. C 82,α-particle condensation in 16O studied with a full four-body orthogonality condition model calculation
. Phys. Rev. Lett. 101,The 5α condensate state in 20Ne
. Nat. Commun. 14, 8206 (2023). https://doi.org/10.1038/s41467-023-43816-9Deformed-basis antisymmetrized molecular dynamics and its application to 20Ne
. Phys. Rev. C 69,Nuclear clustering in light neutron-rich nuclei
. Nucl. Sci. Tech. 29, 184 (2018). https://doi.org/10.1007/s41365-018-0522-xSpectroscopy of 12Be and 13Be using a 12Be radioactive beam
. Phys. Lett. B 343, 53–58 (1995). https://doi.org/10.1016/0370-2693(94)01435-FTwo-center molecular states in 9B, 9Be, 10Be, and 10B
. Z. Phys. A 354, 37–43 (1996). https://doi.org/10.1007/s002180050010Dimers based on the α+α potential and chain states of carbon isotopes
. Z. Phys. A 357, 355–365 (1997). https://doi.org/10.1007/s002180050255Structure of the excited states of 10Be in a microscopic cluster model
. Phys. Rev. C 69,Resonance structure of 9Be and 9B in a microscopic cluster model
. Phys. Rev. C 68,The structure of 9Be by a molecular model. II
. Prog. Theor. Phys. 61, 1049–1064 (1979). https://doi.org/10.1143/PTP.61.1049α clustering and neutron-skin thickness of carbon isotopes
. Eur. Phys. J. A 57, 157 (2021). https://doi.org/10.1140/epja/s10050-021-00465-0Cluster structures of the ground and excited states of 12Be studied with antisymmetrized molecular dynamics
. Phys. Rev. C 68,Cluster formation in neutron-rich Be and B isotopes
. Prog. Theor. Exp. Phys. 2022,Hoyle-analog state in 13C studied with antisymmetrized molecular dynamics
. Phys. Rev. C 101,Negative parity states of 11B and 11C and the similarity with 12C
. Phys. Rev. C 75,α+α+t cluster structures and 12C(02+)-analog states in 11B
. Phys. Rev. C 82,2α+t cluster structure in 11B
. Phys. Rev. C 98,α-cluster structures and monopole excitations in 13C
. Phys. Rev. C 92,The interplay of cluster structures in light nuclei: The model and the application to 7Li
. Nucl. Phys. A 311, 377–394 (1978). https://doi.org/10.1016/0375-9474(78)90520-1Effect of breathing excitations of the triton nucleus on the αt cluster structure of 7Li
. Nucl. Phys. A 414, 185–205 (1984). https://doi.org/10.1016/0375-9474(84)90639-0Microscopic theory of the 3H+α system with the multichannel resonating-group method
. Phys. Rev. C 34, 771–779 (1986). https://doi.org/10.1103/PhysRevC.34.771Probing nuclear observables via primordial nucleosynthesis
. Eur. Phys. J. A 58, 212 (2022). https://doi.org/10.1140/epja/s10050-022-00869-6Two-proton momentum correlation from photodisintegration of α-clustering light nuclei in the quasideuteron region
. Phys. Rev. C 101,Anisotropy fluctuation and correlation in central α-clustered 12C+197Au collisions
. Phys. Rev. C 102,Two-neutron halo nuclei in one dimension: Dineutron correlation and breakup reaction
. J. Phys. G 38,Validation of the 10Be ground-state molecular structure using 10Be(p,pα)6He triple differential reaction cross-section measurements
. Phys. Rev. Lett. 131,Analyzing power and cross section distributions of the 12C(p,pα)8Be cluster knockout reaction at an incident energy of 100 MeV
. Phys. Rev. C 79,Alpha spectroscopic factors for 6Li, 7Li, 9Be and 12C from the (p, pα) reaction at 296 MeV
. Nucl. Phys. A 641, 3–20 (1998). https://doi.org/10.1016/S0375-9474(98)00432-1Experimental study of intruder components in light neutron-rich nuclei via single-nucleon transfer reaction
. Nucl. Sci. Tech. 31, 20 (2020). https://doi.org/10.1007/s41365-020-0731-y

