logo

α decay and cluster radioactivity in extreme laser fields

NUCLEAR PHYSICS AND INTERDISCIPLINARY RESEARCH

α decay and cluster radioactivity in extreme laser fields

Hui Wang
Ying-Ge Huang
Ze-Peng Gao
Jia-Li Huang
Er-Xi Xiao
Long Zhu
Jun Su
Nuclear Science and TechniquesVol.36, No.9Article number 169Published in print Sep 2025Available online 29 Jun 2025
62501

The potential of high-intensity lasers to influence nuclear decay processes has attracted considerable interest. This study quantitatively evaluated the effects of high-intensity lasers on α decay and cluster radioactivity. Our calculations revealed that, among the parent nuclei investigated, 144Nd is the most susceptible to laser-induced alterations, primarily because of its relatively low decay energy. Additionally, circularly polarized lasers exhibit a greater impact on decay modifications than linearly polarized lasers. Given the limited time resolution of current detectors, it is essential to account for the time-averaging effect of the laser. By incorporating the effects of circular polarization, time averaging, and angular averaging, our theoretical predictions indicated that the modification of 144Nd decay could reach 0.1% at an intensity of 1027 W/cm2. However, this intensity significantly exceeds the current laser capability of 1023 W/cm2, and the predicted modification of 0.1% remains below the detection threshold of contemporary measurement techniques. Observing laser-assisted α decay and 14C cluster radioactivity will likely remain unfeasible until both ultrahigh laser intensities and significant advancements in experimental resolution are achieved.

extreme laser fieldfrozen Hartree–Fock methodα decaycluster radioactivity
1

Introduction

The field of research concerning the interactions of strong laser fields with atoms and molecules has reached a considerable degree of maturity [1-3]. Recently, projects for extremely high-intensity lasers have been proposed by the Shanghai Ultra Intensive Ultrafast Laser Facility [4, 5], the Extreme Light Infrastructure for Nuclear Physics [6, 7], and a Russian group [8]. Because of the enhancements envisaged for the near future, laser-driven nuclear physics has attracted increasing interest and extensive research has been performed on, for example, the impact of laser fields on α decay [9-19], proton emission [6, 20, 12], cluster radioactivity [12, 18], nuclear fission [12], nuclear fusion [21-23], and nuclear excitation [24-26]. Among these, significant attention has been paid to the α decay of nuclei under the influence of strong laser fields.

α decay is crucial in nuclear physics because it provides information on the nuclear structure [27-29] and facilitates the understanding of topics such as the nuclear transformation between the liquid state and cluster state [30, 31]. α radioactivity was first discovered by Rutherford in 1903. Following this discovery, many attempts were made to modify α decay rates by changing the temperature, pressure, and magnetic and gravitational fields [32, 33]. The changes in the decay constant were small and could be neglected. These interpretations may stem from Gamow’s explanation of quantum-mechanical tunneling [34], according to which α decay is correlated with the width through the potential. The distortions in the potential and changes in the decay energy modified by the above experiments were negligible and no effect was detected. The remarkable developments in laser technology provide an alternative method to explore and advance this study.

Lasers interact with matter through two fundamental mechanisms: single-photon and electromagnetic field interactions. The former is not feasible for nuclear processes because of the significant energy discrepancy between a single photon (on the order of 1 eV) and nuclear energy levels (on the order of 1 MeV). When the laser intensity is sufficiently high, the laser–matter interaction is predominantly governed by the electromagnetic field [3], which is believed to possess the potential to control nuclear systems. Thus, many studies have focused on the necessity of high-intensity lasers to modify decay processes [9-19]. According to Ref. [11], no significant modification of α decay is expected with the lasers currently available or those anticipated for the forthcoming years.

However, some recent studies have indicated the substantial effect of current laser intensities on α decay by solving the time-dependent Schrödinger equation within the oscillating Kramers–Henneberger frame [15-19]. Others suggest a small yet detectable influence at the current laser intensities or those that will be attained in the foreseeable future [9, 10, 12-14]. The inconsistencies in these findings highlight the ongoing debate and the lack of a clear consensus. Moreover, the temporal and angular effects and variation in the spatial shape of the laser field are intriguing for experiments; however, these remain ambiguous. In this study, we investigated the influence of extreme laser fields on nuclear α decay using the frozen Hartree–Fock (FHF) approach [35-37]. In contrast to the aforementioned approaches, it can compute the microscopic internuclear potential and deformation effects in a self-consistent manner [38-40]. Cluster radioactivity has been investigated since 1984 [41] as an intermediate process between α decay and spontaneous fission [42-44], and it has deepened our understanding of decay mechanics. Thus, it would also be interesting to study cluster radioactivity.

The remainder of this paper is organized as follows. Section 2 introduces the theoretical framework for laser-assisted particle decay using the FHF method. Section 3 presents and discusses the results. Finally, Section 4 presents the conclusions of this study.

2

Theoretical framework

2.1
Unified formula of half-lives for α decay and cluster radioactivity

α-decay and cluster radioactivity processes can be interpreted within a unified tunneling framework following Gamow’s depiction [44-46]. The emitted particles are assumed to preform on the surface of the parent nucleus with varying preformation probabilities [47, 48] and eventually penetrate the potential barrier by constantly hitting it. The unified formula for the half-lives of α decay and cluster radioactivity is expressed as follows: T1/2=ln2FPSpre, (1) where is the reduced Planck constant, F is the impinging frequency that hits the barrier, P is the possibility of penetration, and Spre is the preformation factor.

The impinging frequency F is expressed as follows: F=2Ek/μRin, (2) where Rin is the tunneling entrance point, and Ek is the kinetic energy of the emitted particle, which can be expressed as Ek=AdAe+AdQe. The reduced mass of the emitted particle and daughter nucleus μ can be written as μ=AeAdAe+Ad, (3) where Ae and Ad are the masses of the emitted particle and daughter nucleus, respectively.

The penetration possibility P is determined using the Wentzel–Kramers–Brillouin (WKB) approximation. Considering the nuclear deformation effect, the total penetration possibility P(t,θ,I) is obtained by integrating P(t,ϕ,θ,I) in all directions, P(t,θ,I)=120πP(t,ϕ,θ,I)sinϕdϕ,P(t,ϕ,θ,I)=exp[2(2μ)1/2RinRoutk(r,t,ϕ,θ,I)dr],k(r,t,ϕ,θ,I)=|V(r,t,ϕ,θ,I)Qe|, (4) where ϕ denotes the angle between the principal axis of the daughter nucleus and the particle emission direction. θ represents the angle between the directions of the laser field and particle emission. I denotes the laser intensity. Rin and Rout are the tunneling entrance and exit points, respectively. These points are determined by the condition V(r,t,ϕ,θ,I)=Qe, where Qe is the decay energy of the emitted particle. V(r,t,ϕ,θ,I) is the total potential with the intervention of the laser field, which is expressed as V(r,t,ϕ,θ)=VN(r,ϕ)+Vc(r,ϕ)+Vl(r)+Vi(r,t,ϕ,θ,I), (5) where VN and Vc denote the nuclear and Coulomb potentials, respectively. Both are calculated using the FHF method. The centrifugal potential Vl is given by Vl(r)=l(l+1)22μr2, (6) where l is the corresponding angular momentum quantum number of the emitted particle. The decay channel, decay energy, angular momentum, and experimental half-life are listed in Table 1. Vi represents the interaction between the laser field and the decay system, which is described in detail in the following subsection.

Table 1
Experimental and calculated half-lives (in seconds) of α decay and cluster radioactivity
Decay channels Qe(MeV) l log10Texp log10Tcal log10HF
144Nd 140Ce+α 1.90 0 22.86 22.77 0.09
226Ra 222Rn+α 4.87 0 10.70 10.09 0.61
238U 234Th+α 4.27 0 17.15 17.14 0.01
242Cm 238Pu+α 6.23 0 7.15 6.57 0.58
147Sm 143Nd+α 2.31 0 18.53 18.66 -0.13
213Po 209Pb+α 8.54 0 -5.43 -6.85 1.42
235U 231Th+α 4.68 1 16.35 14.04 2.31
239Pu 235U+α 5.25 3 11.88 11.46 0.42
222Ra 208Pb+14C 33.05 0 11.22 11.42 -0.20
223Ra 209Pb+14C 31.83 4 15.04 13.84 1.20
224Ra 210Pb+14C 30.53 0 15.87 16.16 0.29
226Ra 212Pb+14C 28.20 0 21.20 20.93 0.27
Show more
Qe and l are the decay energy and the angular momentum quantum number of the emitted particle, respectively

The uniform values or formulas for the pre-formation factor Spre in Eq. (1) have been established [49-52]. For α decay, we adopt the following values [51]: Spre=0.38(eveneven nuclei),Spre=0.24(oddeven nuclei),Spre=0.13(oddodd nuclei). (7) Cluster radioactivity [53] is adopted as Spre=100.01674ZeZd+2.035466(eveneven nuclei),Spre=100.01674ZeZd+2.0354661.175(oddA nuclei),  (8) where Ze and Zd are the number of protons in the emitted particle and daughter nucleus, respectively.

2.2
The frozen Hartree–Fock method

The nucleus–nucleus interaction potential, which consists of the nuclear potential VN and Coulomb potential Vc, is utilized to substitute the corresponding terms in Eq. (5). This potential was calculated using the FHF method, which requires frozen ground-state densities ρi of the two nuclei at all distances. The resulting nucleus–nucleus interaction potential, referred to as the FHF potential in this context, is expressed as follows: VFHF(R)=H[ρ1(r)+ρ2(rR)]drE[ρ1]E[ρ2]. (9) The first term on the right-hand side of Eq. (9) represents the total energy of the system when a distance vector 𝑹 is placed between the centers of mass of the two nuclei. E[ρi] is the binding energy of each nucleus (i = 1,2). To compute the FHF potential, one must first determine the Hartree–Fock ground states of the two nuclei separately. Energy E[ρi] is inherently obtained in the static Hartree–Fock process. The first term on the right side of Eq. (9) is calculated by placing the two aforementioned static Hartree–Fock solutions at a distance R from each other in a TDHF code [54-56] without a boost and computing the energy of the combined system, including the Coulomb contribution [57]. The above calculations are performed in three-dimensional Cartesian geometry without symmetry assumptions and utilizing the Skyrme energy density functional Sly5 [58]. The box sizes for the Hartree–Fock calculations were selected to be 283 fm3 and 283 fm3 and 28 fm × 28 fm × 100 fm. The mesh spacing is 1.0 fm in all directions.

2.3
Laser–nucleus interaction

In this context, a laser field, known as an electromagnetic field, is treated as an electric field. In fact, the magnetic part can be neglected because the subbarrier motion of the emitted particles under investigation remains nonrelativistic. Generally, the wavelength of the laser fields (near-ultraviolet to near-infrared) is much larger than the nuclear length scale (on the order of a femtometer). The dipole approximation can thus be used for the laser electric field, which is given in the length gauge as Vi(r,t,ϕ,θ,I)=QeffrE(t), (10) where Qeff=ZeAdZdAeAe+Ad, (11) is the effective charge, which represents the tendency of the laser electric field to separate the two nuclei in the decay system. Ze and Zd are the proton numbers of the emitted particle and the daughter nucleus, respectively. The laser electric field also influences the decay energy. Similarly, the change in the decay energy ΔQe is expressed as ΔQe=eZeRd(ϕ)E(t), (12) where Rd is the radius of the daughter nucleus that the emitted particle penetrates. The decay energy induced by the laser field is given by Qe*=Qe+ΔQe. (13) In addition, the time required for the emitted particles to penetrate the potential barrier can be estimated. Considering α particles traveling through a barrier of width l50 fm with decay energy of 10 MeV, the traversal time was calculated as approximately 10-21 s. One optical cycle for the 800-nm laser field is on the order of femtoseconds. Consequently, the laser electric field can be treated in the quasistatic approximation, that is, the laser field is viewed as static during particle penetration through the barrier.

The effect of the spatial shape of the laser on the decay processes is of interest. In this study, we consider two types of laser shapes, which are expressed as follows: E(t)=E0sin(2πctλ)er(linear polarization),E(t)=E0(sin(2πctλ)ex+cos(2πctλ)ey)  (circular polarization), (14) where c is the speed of light, and λ is the laser wavelength (800 nm is used here). The peak electric field strength E0 can be represented by the laser intensity I, which is given by: E0=27.44I. (15) Here, the units of E0 and I are V/cm and W/cm2, respectively.

2.4
Relative change of penetration possibility ΔP

The FHF method ignores the dynamic effects and Pauli repulsion between nucleons belonging to different nuclei [40, 57]. The latter is regarded as a significant factor in the preformation of the emitted particles on the surface of the parent nucleus. Moreover, our model is incapable of calculating the preformation factor, which remains a great challenge for the beyond-mean field theory. Therefore, this work focuses on the relative change in the penetration possibility induced by the laser field while ignoring the impact of the laser field on the preformation factor [11-14]. The relative change in the penetration possibility is defined as ΔP(t,θ,I)=P(t,θ,I)P(t,θ,I=0)P(t,θ,I=0). (16) It should be noted that ΔP is a function of time t, emission angle θ, and intensity I. It is interesting to consider the temporal and angular effects of the laser field. The time-integrated modification of the penetration possibility can be expressed as follows: ΔP¯t(θ,I)=1T0TΔP(t,θ,I)dt. (17) The time- and angle-integrated modification is expressed as ΔP¯tθ(I)=120πdθΔPt¯(θ,I)sinθ. (18) To elucidate the laser modification of the penetration possibility, it is necessary to further investigate the formula for ΔP. We begin with the penetration possibility, P(t,ϕ,θ,I). P(t,ϕ,θ,I)=exp[2(2μ)1/2RinRout×V(r,t,ϕ,θ,I)Qe*dr]=exp[2(2μ)1/2RinRoutV0(r)×1+Vi(r,t,ϕ,θ,I)ΔQeV0(r)dr], (19) where V0(r)=VFHF(r)+Vl(r)Qe. Assuming |ViΔQe|V0, we proceed with the Taylor expansion of Eq. (19). P(t,ϕ,θ,I)exp[γ(0)+γ(1)+γ(2)]=exp(γ(0))exp(γ(1)+γ(2)), (20) where γ(0), γ(1) and γ(2) are given by γ(0)=2(2μ)1/2RinRoutdrV0(r),γ(1)=(2μ)1/2RinRoutdrVi(r,t,ϕ,θ,I)ΔQeV0(r),γ(2)=(2μ)1/2RinRoutdr(Vi(r,t,ϕ,θ,I)ΔQe)24V03/2(r). (21) Note that exp(γ(0)) is approximately equal to the laser-free penetration possibility P(t,ϕ,θ,I=0) and the relative change in the penetration possibility is given by ΔP(t,ϕ,θ,I)exp(γ(0))exp(γ(1)+γ(2))exp(γ(0))exp(γ(0))=exp(γ(1)+γ(2))1γ(1)+γ(2). (22) γ(1)+γ(2) tends to zero because we assume that |ViΔQe|V0. Given the analysis of diverse spatial profiles of the laser in this study, it is necessary to provide detailed formulations for γ(1) and γ(2). For linear polarization, it follows that γ(1)=27.44(2μ)1/2Isin(2πctλ)cosθ×RinRoutdrQeffr+eZeRin(ϕ)V0(r),γ(2)=188.24(2μ)1/2Isin2(2πctλ)cos2θ×RinRoutdr(Qeffr+eZeRin(ϕ))2V03/2(r). (23) For circular polarization, it follows that γ(1)=27.44(2μ)1/2I(sin(2πctλ)cosθ+cos(2πctλ)sinθ)×RinRoutdrQeffr+eZeRin(ϕ)V0(r),γ(2)=188.24(2μ)1/2I(sin(2πctλ)cosθ+cos(2πctλ)sinθ)2×RinRoutdr(Qeffr+eZeRin(ϕ))2V03/2(r). (24)

3

Results

Figure 1(a) shows a comparison of the experimental and theoretical half-lives. The corresponding deviations between the logarithms of the experimental half-lives and the calculated values are shown in Fig. 1(b). The blue circles represent the calculated α decay of the ground-state parent nuclei 144Nd, 226Ra, 238U, 242Cm, 147Sm, 213Po, 235U, and 239Pu. The green stars represent the calculated 14C cluster radioactivity of the ground-state parent nuclei, 222,223,224,226Ra. It can be observed that the difference between the calculated values and experimental data is small. The values of log10(Texp/Tcal) for α decay and cluster radioactivity were generally within the range of approximately ±0.6. These values correspond to the values of the ratio Texp/Tcal within the range of approximately 0.25–3.98. This demonstrates the reliability of our model for predicting half-lives. Detailed information regarding the experimental and calculated data is presented in Table 1.

Fig. 1
(Color online) (a) Experimental and calculated half-lives for different parent nuclei. The black squares represent the experimental data. The blue circles represent the calculated α decay half-lives of the ground state parent nuclei 144Nd, 226Ra, 238U, 242Cm, 147Sm, 213Po, 235U, and 239Pu. The green stars represent the calculated 14C cluster radioactivity half-lives of the ground state parent nuclei 222,223,224,226Ra. (b) The corresponding logarithms of hindrance factors (HF = Texp/Tcal)
pic

One typically assumes a spherical shape for the nuclei to simplify the calculation of α decay half-lives. However, nuclear deformation has been reported to significantly affect these calculations [50, 51]. Figure 2 shows the FHF potential of α+222Rn for selected orientations. Because the α particle is spherical, the differences in these potentials stem from the orientation of the daughter nucleus 222Rn. This shows that as the orientation rotates from the tip to the side, the Coulomb barrier increases and the nuclear part of the potential becomes shallower. This phenomenon can be attributed to the larger overlap of the nuclear density distribution in the tip orientation, which leads to a more pronounced effect on the nuclear potential. This also shows that the tunneling points differ by approximately 1 fm with varying orientations, resulting in an order-of-magnitude change in the penetration probability and subsequent alterations in α decay half-lives. In addition, the laser–nucleus interaction depends on the angle between the directions of the laser field and particle emission. It is inferred that nuclear deformation is a critical factor that should be incorporated into laser-assisted α decay and cluster radioactivity calculations.

Fig. 2
(Color online) Frozen Hartree–Fock potential for the α+222Rn system with different orientations of 222Rn. In particular, 0 and 90 represent tip and side orientation, respectively. Qα is the experimental α-decay energy
pic

To illustrate the influence of the laser field on the penetration process, a comparison of the laser-free internuclear potentials for the α+222Rn system with the two laser-assisted cases is shown in Fig. 3. For simplicity, only the tip-orientation case is presented. The laser field induces a downward shift in the Coulomb portion of the potential and an increase in the α-decay energy, whereas its impact on the nuclear portion remains negligible. This is not surprising, because the intense laser field of intensity 1032 W/cm2 (1029 W/cm2) is comparable to the Coulomb field strength from the daughter nucleus 222Rn at a distance of approximately 66 fm (371 fm). The Coulomb component is defeated by the nuclear component within the core. Therefore, the laser field alters the tunneling points by deforming the long-range Coulomb part of the potential and changing the energy of the emitted particles, thereby affecting the penetration probability.

Fig. 3
(Color online) Comparison between laser-free and laser-modified internuclear potentials for the α+222Rn system under two laser intensities, I = 1029 W/cm2 and 1032 W/cm2. 0 represents the tip orientation of 222Rn. The solid line stands for the laser-modified case, and the dashed line stands for the laser-free case. The dotted line represents the α emission energy, where Qα is the experimental α decay energy, and Qα* is the energy of the emitted α particle accelerated by the laser field
pic

As shown in Fig. 3, the modification by the laser field becomes observable only when the intensity reaches 1032 W/cm2. Given the current laser technology, no significant modifications in the half-lives were observed experimentally. Nevertheless, even subtle alterations in the potential or decay energy may give rise to discernible effects on the decay processes because tunneling is highly sensitive to the internuclear potential. This is illustrated in Fig. 4. The relative change in the penetration probability ΔP can reach 10-3 within the accessible laser intensity. In Fig. 4, ΔP is obtained at the moment of the peak electric field strength with a fixed angle θ = 0°. ΔP and the laser intensity I are plotted on a logarithmic scale. As depicted in Fig. 4, the lower the decay energy a parent nucleus has, the greater the relative change in its penetration possibility across different nuclei. Evidently, the parent nucleus 144Nd is susceptible to laser-induced modification. This stems from its relatively low α decay energy, which results in an extended tunneling path, thereby allowing the laser field to exert a prolonged influence on the decay process. At an intensity of 1024 W/cm2, the modification of the penetration possibility is on the order of 0.1% for 144Nd, which is in agreement with Ref. [10, 12].

Fig. 4
(Color online) Relative change in penetration possibility ΔP(t0,θ0,I) for (a) α decay and (b) 14C cluster radioactivity at the moment t0 of the peak electric field strength with a fixed angle θ0 = 0°. The dashed line in (b) represents ΔP for α decay of parent nucleus 226Ra
pic

The laser-assisted α decay modifications for the even–even nuclei also show good agreement with the predictions in Ref. [13, 14]. The above calculations were conducted using the same approximations (dipole and quasistatic approximations) for the laser field and various internuclear potentials. Some studies [10-14] employed the phenomenological internuclear potentials, whereas this work utilized the microscopic potentials and considered nuclear deformation effects. Although the results are similar, the FHF method helps pursue a more microscopic understanding of laser-assisted α decay and cluster radioactivity in a self-consistent manner. In addition, in contrast to the modest impact of the laser field predicted by our model, several studies [15-19] have suggested a significant alteration in the alpha decay processes under current laser intensities. These calculations were obtained by solving the time-dependent Schrödinger equation within the oscillating Kramers–Henneberger frame. The critical assumption was the continuity of the laser field, whereas this study was based on the premise of a single laser pulse. This discrepancy in laser conditions resulted in substantial differences in the respective predictions. However, high-intensity continuous laser fields are unattainable. The potential for future technological advancements in continuous laser technology presents an intriguing area for exploration with the promise of inducing more pronounced modifications in α decay processes.

A comparison of ΔP between α decay and cluster radioactivity for the same parent nucleus, 226Ra, was made. As shown in Fig. 4(b), ΔP for α decay is larger than that for cluster radioactivity of any parent nucleus shown here. This can be illustrated by the sensitivity of tunneling to changes in potential and decay energy. It is known that the α (14C cluster) decay energies used here are approximately 5 MeV (30 MeV) and that the tunneling exit points for α (14C cluster) are approximately 60 fm (25 fm). This implies that the modifications of the laser field in the potential and decay energy for α decay have a larger impact on the decay processes and, subsequently, a higher relative change in the penetration possibility. In addition, ΔP exhibits linear dependence on the laser intensity, whereas the values of the slope change dramatically after 1030 W/cm2. This can be explained using Eq. (22) and Eq. (23) or Eq. (24). At relatively low intensities, ΔP is proportional to I. Only for high intensities, the term γ(2) proportional to I is not negligible, leading to an inflection in the curves. It should be noted that the slope of ΔP versus intensity curve is steeper for the alpha decay at extreme intensities. This indicates a higher sensitivity of alpha decay to high laser intensities. Given the increased sensitivity, it is reasonable to extrapolate that the effect of laser acceleration on proton emission should be even more pronounced. Consequently, it is recommended that laser-accelerated proton emission be used as a diagnostic tool for assessing the impact of an intense laser field.

The aforementioned theoretical calculations were implemented at the peak laser electric field strength and a fixed angle θ = 0°. Figure 5 shows the linearly polarized laser electric field strength E and the relative modification of the penetration possibility ΔP at a fixed angle θ = 0° as a function of time. It is clear that time-dependent Et and ΔP share a similar variation trend, which can be explained by Eq. (22) and Eq. (23). Theoretically, the laser promotion and suppression effects on the possibility of penetration can be observed throughout a laser pulse circle. However, the best time resolution of the experimental detector is of the order of nanoseconds, which is much larger than the current laser period (of the order of femtoseconds). This implies that we cannot observe a time-dependent alteration in ΔP, as shown in Fig. 5(b), but a time averaging result in practice. Therefore, it is necessary to consider the effect of the complete laser period on ΔP.

Fig. 5
(Color online) (a) Linearly polarized laser electric field strength E and (b) relative modification of penetration possibility ΔP(t,θ0,I0) at a fixed angle θ0 = 0° as a function of time. The intensity I0 is 1026 W/cm2 for the α+222Rn system
pic

Figure 6(a) shows the correlation between ΔP and θ for a circular pulse. As illustrated in Eq. (23), ΔP exhibits a linear correlation with cosθ at some moment t. This explains the large variations in ΔP around 0 and 180 and the lack of modification along 90. Along one fixed angle, ΔP appears quite symmetric to be canceled by integrating over time. Thus, no net gain would remain for modification. Figure 6(b) shows the time-integrated modification ΔP¯t as a function of angle θ. We can infer that some small asymmetries do exist such that a residual net gain remains. As can be observed in Eq. (23), the first equation, involving sin(2πcλt), cancels out over time, whereas the second equation remains positive throughout the laser period, contributing to the net gain. The time-integrated modifications are the strongest along 0 and 180, which are three orders of magnitude smaller than those before integration.

Fig. 6
(Color online) (a) Relative changes in penetration possibility ΔP(t,θ,I0) as a function of angle θ seen from one pulse circle. Various curves depict the scenario at a specific moment t within the pulse cycle. (b) Time-integrated modification ΔP¯t(θ,I0) as a function of angle θ. θ represents the angle between the directions of the laser field and particle emission. Linear polarization is used here for system α+222Rn at the intensity of I0 = 1026 W/cm2
pic

Some studies [59, 60] have explored the potential of elliptically polarized lasers to harness more information from strong-field atomic physics. Circular polarization, a specific manifestation of elliptical polarization, was considered. Figure 7(a) shows the correlation between ΔP and θ for a pulse circle with circular polarization. Unlike in the linearly polarized case, ΔP in the circular polarization arises from the superposition of sinθ and cosθ, leading to uniformly distributed modifications across all angles. The time-integrated results are presented in Fig. 7(b). It can be observed that the time-integrated modification ΔP¯t is not affected by the angle between the directions of the laser field and particle emission, emphasizing the advantage of circular polarization in rendering the modification of the penetration possibility free from time averaging. This view coincides with that proposed by Qi et al. [10] who recommended using an elliptically polarized laser over a linearly polarized laser.

Fig. 7
(Color online) The same as Fig. 6 but for circular polarization
pic

As was shown in Fig. 6, the linearly polarized laser results in angular anisotropy, with the most significant modifications along 0 and 180. A comparison of the time-integrated modification ΔP¯t along 0 between linear and circular polarizations is shown in Fig. 8(a). Both exhibit consistent behavior. In other words, the time-integrated modification ΔP¯t in circular polarization maintains the maximum value observed in linear polarization throughout the entire range of angles. This indicates that the primary distinction between the modifications induced by these two types of polarized lasers is associated with their angular distribution characteristics. Xiao et al. [14] indicated that it is important to consider angular integration because nuclei often appear as a population. The time- and angle-integrated modification ΔP¯tθ is represented in Fig. 8(b). Evidently, the modification of the circular polarization was several times larger than that of the linear polarization at the same intensity. It is preferable to employ a circularly polarized laser for a more significant modification.

Fig. 8
(Color online) (a) Time-integrated modification ΔP¯t(θ=0°,I) and (b) time- and angle-integrated modification ΔP¯tθ(I) using two polarization methods. The system is α+222Rn
pic

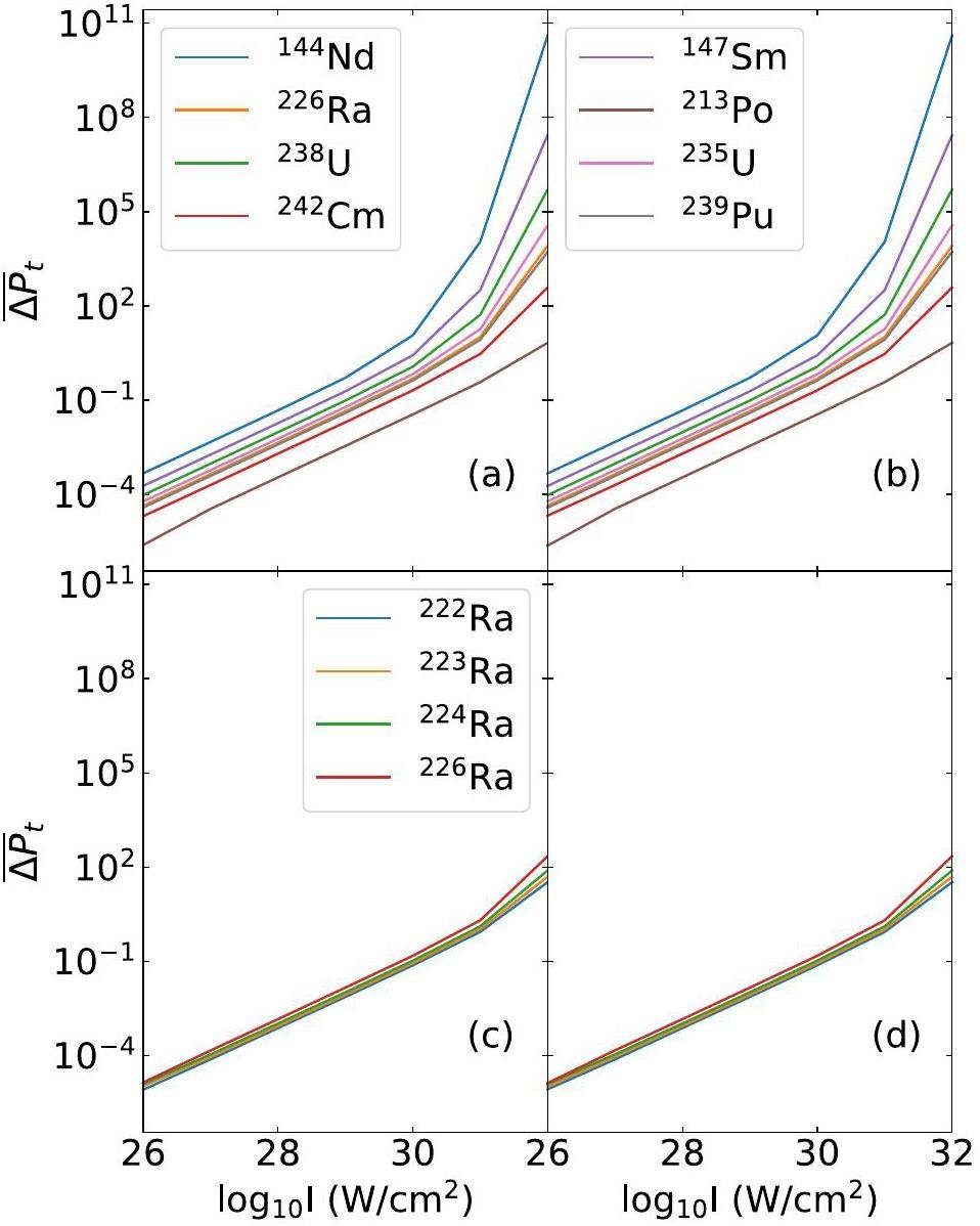
Figure 9 displays the time-integrated modification ΔP¯t along 0 for (a) and (c) α decay and (b) and (d) 14C cluster radioactivity across different nuclei. The left and right panels refer to the linear and circular polarizations, respectively. Similar to Fig. 8(a), the two polarizations show the same behavior when the angle θ is fixed at 0. Among these nuclei, 144Nd remains the parent nucleus that is the most susceptible to laser-induced modification, which is attributed to its relatively low decay energy. This modification attained a value of 0.1% at an intensity of 1027 W/cm2, which significantly exceeded the current laser intensity of 1023 W/cm2. A higher intensity of 1028 W/cm2 was required for 14C cluster radioactivity. Notably, additional physical effects are expected when the intensity approaches or surpasses the Schwinger critical field strength [61], whose corresponding laser intensity is 2.3×1029 W/cm2. The laser intensity I for circular polarization, where the time- and angle-integrated modification ΔP¯tθ reached an order of magnitude of 10-3, is detailed in Table 2. These results are consistent with the scenario where θ = 0°. The modifications reached the order of 0.1% at an intensity of 1027 W/cm2 for α decay and 1028 W/cm2 for cluster radioactivity. Consequently, it is evident that laser-assisted α decay and 14C cluster radioactivity are not practically achievable with current technology.

Fig. 9
(Color online) Time-integrated modification ΔP¯t(θ=0,I) for (a)(c) α decay and (b)(d) 14C cluster radioactivity. The left and right panels refer to the linear and circular polarization, respectively
pic
Table 2
Laser intensity I for α decay and cluster radioactivity when the time- and angle-integrated modification ΔP¯tθ reaches the order of magnitude of 10-3
Decay channel Log10I ΔP¯tθ
144Nd 140Ce+α 27 4.66×10-3
226Ra 222Rn+α 28 4.39×10-3
238U 234Th+α 28 9.51×10-3
242Cm 238Pu+α 28 1.97×10-3
147Sm 143Nd+α 27 1.84×10-3
213Po 209Pb+α 29 3.48×10-3
235U 231Th+α 28 5.92×10-3
239Pu 235U+α 28 3.89×10-3
222Ra 208Pb+14C 29 7.28×10-3
223Ra 209Pb+14C 29 8.58×10-3
224Ra 210Pb+14C 28 1.03×10-3
226Ra 212Pb+14C 28 1.43×10-3
Show more
Circular polarization is employed here
4

Conclusion

In this study, we conducted a comprehensive microscopic analysis of the effects of extreme laser fields on α decay and cluster radioactivity. Our primary objective was to quantitatively assess the influence of intense laser fields, accounting for their temporal and angular effects, as well as variations in spatial structure. The theoretical framework is based on the Gamow model of quantum mechanical tunneling, whereas the FHF method provides a self-consistent description of the internuclear potential and nuclear deformation effects. The laser–nucleus interaction is represented by an electric field under the dipole approximation.

Our findings indicated that the laser field induced a downward shift in the Coulomb component of the potential and an increase in the decay energy. Given the high sensitivity of quantum tunneling to internuclear potential changes, even minor alterations in the potential or decay energy significantly affect the penetration probability. At an intensity of 1024 W/cm2, the modification in the penetration probability for the relevant nuclei reached approximately 0.1%, which is consistent with the results reported in Ref. [10].

The time- and angle-dependent modifications of penetration probability were analyzed using both linearly and circularly polarized lasers. In the case of linearly polarized lasers, the penetration probability exhibited its maximum modification at angles of 0 and 180, with no modification at 90. Conversely, circularly polarized lasers produced uniformly distributed modifications across all angles, and the angle-integrated modification induced by circular polarization was several times greater than that produced by linear polarization at the same intensity. Nevertheless, the modifications decreased by three orders of magnitude after temporal and angular integrations.

Finally, we compared the time- and angle-integrated modification of the penetration probability induced by circularly polarized lasers for both α decay and 14C cluster radioactivity across various nuclei. Among the studied nuclei, 144Nd was the most susceptible to laser-induced modifications, primarily because of its relatively low decay energy. At an intensity of 1027 W/cm2, the modification of ΔP¯tθ for 144Nd reached approximately 0.1%. However, this intensity far exceeds the currently achievable laser intensity of 1023 W/cm2, and the 0.1% modification remains below the detection threshold of the current measurement precision. The effect on the 14C cluster is weaker.

In conclusion, achieving observable laser-assisted α decay and 14C cluster radioactivity requires future advancements in laser technology to significantly enhance the intensity and experimental resolution. Consequently, expectations regarding the feasibility of laser-induced mechanisms for recycling nuclear radioactive waste should be carefully calibrated considering these technological constraints.

References
1. T. Brabec, H. Kapteyn, Strong field laser physics, Vol. 1, (Springer, 2008). https://doi.org/10.1007/978-0-387-34755-4
2. M.A. Marques, E.K. Gross,

Time-dependent density functional theory

. Annu. Rev. Phys. Chem. 55, 427-455 (2004). https://doi.org/10.1007/b11767107
Baidu ScholarGoogle Scholar
3. H. Schwoerer, J. Magill, B. Beleites, Lasers and nuclei: Applications of ultrahigh intensity lasers in nuclear science, Vol. 694, (Springer Science & Business Media, 2006). https://doi.org/10.1007/b11559214
4. W. Li, Z. Gan, L. Yu et al.,

339 J high-energy Ti: sapphire chirped-pulse amplifier for 10 PW laser facility

. Optics letters 43, 5681-5684 (2018). https://doi.org/10.1364/OL.43.005681
Baidu ScholarGoogle Scholar
5. L. Yu, Y. Xu, Y. Liu et al.,

High-contrast front end based on cascaded XPWG and femtosecond OPA for 10-PW-level Ti: sapphire laser

. Optics express 26, 2625-2633 (2018). https://doi.org/10.1364/OE.26.002625
Baidu ScholarGoogle Scholar
6. Ş. Mişicu, M. Rizea,

Laser-assisted proton radioactivity of spherical and deformed nuclei

. J. Phys. G: Nucl. Part. Phys. 46, 115106 (2019). https://doi.org/10.1088/1361-6471/ab1d7c
Baidu ScholarGoogle Scholar
7. K. Tanaka, K. Spohr, D. Balabanski et al.,

Current status and highlights of the ELI-NP research program

. Matter Radiat. at Extremes 5, 024402 (2020). https://doi.org/10.1063/1.5093535
Baidu ScholarGoogle Scholar
8. A. Bashinov, A. Gonoskov, A. Kim et al.,

New horizons for extreme light physics with mega-science project XCELS

. Eur. Phys. J. Special Topics 223, 1105-1112 (2014). https://doi.org/10.1140/epjst/e2014-02161-7
Baidu ScholarGoogle Scholar
9. H.M. Castañeda Cortés, C. Müller, C.H. Keitel et al.,

Nuclear recollisions in laser-assisted α decay

. Phys. Lett. B 723, 401-405 (2013). https://doi.org/10.1016/j.physletb.2013.05.025
Baidu ScholarGoogle Scholar
10. J. Qi, T. Li, R. Xu et al.,

α decay in intense laser fields: Calculations using realistic nuclear potentials

. Phys. Rev. C 99, 044610 (2019). https://doi.org/10.1103/PhysRevC.99.044610
Baidu ScholarGoogle Scholar
11. A. Pálffy, S.V. Popruzhenko,

Can extreme electromagnetic fields accelerate the α decay of nuclei?

Phys. Rev. Lett. 124, 212505 (2020). https://doi.org/10.1103/PhysRevLett.124.212505
Baidu ScholarGoogle Scholar
12. J. Qi, L. Fu, X. Wang,

Nuclear fission in intense laser fields

. Phys. Rev. C 102, 064629 (2020). https://doi.org/10.1103/PhysRevC.102.064629
Baidu ScholarGoogle Scholar
13. J.H. Cheng, W.Y. Zhang, Q. Xiao et al.,

Determinants in laser-assisted deformed α decay

. Phys. Lett. B 848, 138322 (2024). https://doi.org/10.1016/j.physletb.2023.138322
Baidu ScholarGoogle Scholar
14. Q. Xiao, J.H. Cheng, Y.Y. Xu et al.,

α decay in extreme laser fields within a deformed Gamow-like model

. Nucl. Sci. Tech. 35, 27 (2024). https://doi.org/10.1007/s41365-024-01371-y
Baidu ScholarGoogle Scholar
15. Ş. Mişicu, M. Rizea,

α-decay in ultra-intense laser fields

. J. Phys. G: Nucl. Part. Phys. 40, 095101 (2013). https://doi.org/10.1088/0954-3899/40/9/095101
Baidu ScholarGoogle Scholar
16. D.S. Delion, S.A. Ghinescu,

Geiger-nuttall law for nuclei in strong electromagnetic fields

. Phys. Rev. Lett. 119, 202501 (2017). https://doi.org/10.1103/PhysRevLett.119.202501
Baidu ScholarGoogle Scholar
17. D.P. Kis, R. Szilvasi,

Three dimensional α-tunneling in intense laser fields

. J. Phys. G: Nucl. Part. Phys. 45, 045103 (2018). https://doi.org/10.1088/1361-6471/aab0d5
Baidu ScholarGoogle Scholar
18. D. Bai, D. Deng, Z. Ren,

Charged particle emissions in high-frequency alternative electric fields

. Nucl. Phys. A 976, 23-32 (2018). https://doi.org/10.1016/j.nuclphysa.2018.05.004
Baidu ScholarGoogle Scholar
19. S.A. Ghinescu, D.S. Delion,

Coupled-channels analysis of the α decay in strong electromagnetic fields

. Phys. Rev. C 101, 044304 (2020). https://doi.org/10.1103/PhysRevC.101.044304
Baidu ScholarGoogle Scholar
20. J.H. Cheng, Y. Li, T.P. Yu,

Systematic study of laser-assisted proton radioactivity from deformed nuclei

. Phys. Rev. C 105, 024312 (2022). https://doi.org/10.1103/PhysRevC.105.024312
Baidu ScholarGoogle Scholar
21. F. Queisser, R. Schützhold,

Dynamically assisted nuclear fusion

. Phys. Rev. C 100, 041601 (2019). https://doi.org/10.1103/PhysRevC.100.041601
Baidu ScholarGoogle Scholar
22. W. Lv, H. Duan, J. Liu,

Enhanced deuterium-tritium fusion cross sections in the presence of strong electromagnetic fields

. Phys. Rev. C 100, 064610 (2019). https://doi.org/10.1103/PhysRevC.100.064610
Baidu ScholarGoogle Scholar
23. S. Liu, H. Duan, D. Ye et al.,

Deuterium-tritium fusion process in strong laser fields: Semiclassical simulation

. Phys. Rev. C 104, 044614 (2021). https://doi.org/10.1103/PhysRevC.104.044614
Baidu ScholarGoogle Scholar
24. A. Pálffy, H.A. Weidenmüller,

Laser-nucleus reactions: Population of states far above yrast and far from stability

. Phys. Rev. Lett. 112, 192502 (2014). https://doi.org/10.1103/PhysRevLett.112.192502
Baidu ScholarGoogle Scholar
25. L. von der Wense, B. Seiferle, S. Stellmer et al.,

A laser excitation scheme for 229mTh

. Phys. Rev. Lett. 119, 132503 (2017). https://doi.org/10.1103/PhysRevLett.119.132503
Baidu ScholarGoogle Scholar
26. W. Wang, J. Zhou, B. Liu et al.,

Exciting the isomeric 229Th nuclear state via laser-driven electron recollision

. Phys. Rev. Lett. 127, 052501 (2021). https://doi.org/10.1103/PhysRevLett.127.052501
Baidu ScholarGoogle Scholar
27. A.N. Andreyev, M. Huyse, P. Van Duppen et al.,

Signatures of the z=82 shell closure in α-decay process

. Phys. Rev. Lett. 110, 242502 (2013). https://doi.org/10.1103/PhysRevLett.110.242502
Baidu ScholarGoogle Scholar
28. Y.T. Oganessian, F.S. Abdullin, P.D. Bailey et al.,

Synthesis of a new element with atomic number z=117

. Phys. Rev. Lett. 104, 142502 (2010). https://doi.org/10.1103/PhysRevLett.104.142502
Baidu ScholarGoogle Scholar
29. A. Sobiczewski, K. Pomorski,

Description of structure and properties of superheavy nuclei

. Prog. Part. Nucl. Phys. 58, 292-349 (2007). https://doi.org/10.1016/j.ppnp.2006.05.001
Baidu ScholarGoogle Scholar
30. T. Otsuka, T. Abe, T. Yoshida et al.,

α-clustering in atomic nuclei from first principles with statistical learning and the hoyle state character

. Nat. Commun. 13, 2234 (2022). https://doi.org/10.1038/s41467-022-29582-0
Baidu ScholarGoogle Scholar
31. J.P. Ebran, E. Khan, T. Nikšić et al.,

How atomic nuclei cluster

. Nature 487, 341-344 (2012). https://doi.org/10.1038/nature11246
Baidu ScholarGoogle Scholar
32. J. Magill, J. Galy, T. Žagar, in Lasers and Nuclei: Applications of Ultrahigh Intensity Lasers in Nuclear Science, Laser transmutation of nuclear materials. (Springer, 2006) https://doi.org/10.1007/3-540-30272-7_9
33. J. Magill, J. Galy, Radioactivity, radionuclides, radiation, Vol. 259, (Springer, 2005). https://doi.org/10.1007/b138236
34. G. Gamow,

Zur quantentheorie des atomkernes

. Zeitschrift für Physik 51, 204-212 (1928). https://doi.org/10.1007/BF01343196
Baidu ScholarGoogle Scholar
35. C. Simenel,

Nuclear quantum many-body dynamics: From collective vibrations to heavy-ion collisions

. Eur. Phys. J. A 48, 152 (2012). https://doi.org/10.1140/epja/i2012-12152-0
Baidu ScholarGoogle Scholar
36. V.Y. Denisov, W. Nörenberg,

Entrance channel potentials in the synthesis of the heaviest nuclei

. The European Physical Journal A-Hadrons and Nuclei 15, 375-388 (2002). https://doi.org/10.1140/epja/i2002-10039-3
Baidu ScholarGoogle Scholar
37. K. Washiyama, D. Lacroix,

Energy dependence of the nucleus-nucleus potential close to the coulomb barrier

. Phys. Rev. C 78, 024610 (2008). https://doi.org/10.1103/PhysRevC.78.024610
Baidu ScholarGoogle Scholar
38. X.X. Sun, L. Guo,

Microscopic study of fusion reactions with a weakly bound nucleus: Effects of deformed halo

. Phys. Rev. C 107, L011601 (2023). https://doi.org/10.1103/PhysRevC.107.L011601
Baidu ScholarGoogle Scholar
39. X.X. Sun, L. Guo,

Microscopic study of the hot-fusion reaction 48Ca+238U with the constraints from time-dependent hartree-fock theory

. Phys. Rev. C 107, 064609 (2023). https://doi.org/10.1103/PhysRevC.107.064609
Baidu ScholarGoogle Scholar
40. C. Simenel, A.S. Umar, K. Godbey et al.,

How the pauli exclusion principle affects fusion of atomic nuclei

. Phys. Rev. C 95, 031601 (2017). https://doi.org/10.1103/PhysRevC.95.031601
Baidu ScholarGoogle Scholar
41. H. Rose, G. Jones,

A new kind of natural radioactivity

. Nature 307, 245-247 (1984). https://doi.org/10.1038/307245a0
Baidu ScholarGoogle Scholar
42. R. Kumar,

Cluster radioactivity using various versions of nuclear proximity potentials

. Phys. Rev. C 86, 044612 (2012). https://doi.org/10.1103/PhysRevC.86.044612
Baidu ScholarGoogle Scholar
43. R. Kumar, M.K. Sharma,

Systematic study of various proximity potentials in 208Pb-daughter cluster radioactivity

. Phys. Rev. C 85, 054612 (2012). https://doi.org/10.1103/PhysRevC.85.054612
Baidu ScholarGoogle Scholar
44. Z. Ren, C. Xu, Z. Wang,

New perspective on complex cluster radioactivity of heavy nuclei

. Phys. Rev. C 70, 034304 (2004). https://doi.org/10.1103/PhysRevC.70.034304
Baidu ScholarGoogle Scholar
45. Y. Qian, Z. Ren,

Unified description of α-decay and cluster radioactivity in the trans-tin region

. J. Phys. G: Nucl. Part. Phys. 39, 015103 (2011). https://doi.org/10.1088/0954-3899/39/1/015103
Baidu ScholarGoogle Scholar
46. D. Ni, Z. Ren, T. Dong et al.,

Unified formula of half-lives for α decay and cluster radioactivity

. Phys. Rev. C 78, 044310 (2008). https://doi.org/10.1103/PhysRevC.78.044310
Baidu ScholarGoogle Scholar
47. G. Röpke, P. Schuck, Y. Funaki et al.,

Nuclear clusters bound to doubly magic nuclei: The case of 212Po

. Phys. Rev. C 90, 034304 (2014). https://doi.org/10.1103/PhysRevC.90.034304
Baidu ScholarGoogle Scholar
48. S. Yang, R. Li, C. Xu,

α clustering in nuclei and its impact on the nuclear symmetry energy

. Phys. Rev. C 108, L021303 (2023). https://doi.org/10.1103/PhysRevC.108.L021303
Baidu ScholarGoogle Scholar
49. C. Xu, Z. Ren,

Favored α-decays of medium mass nuclei in density-dependent cluster model

. Nucl. Phys. A 760, 303-316 (2005). https://doi.org/10.1016/j.nuclphysa.2005.06.011
Baidu ScholarGoogle Scholar
50. C. Xu, Z. Ren,

New deformed model of α-decay half-lives with a microscopic potential

. Phys. Rev. C 73, 041301 (2006). https://doi.org/10.1103/PhysRevC.73.041301
Baidu ScholarGoogle Scholar
51. C. Xu, Z. Ren,

Global calculation of α-decay half-lives with a deformed density-dependent cluster model

. Phys. Rev. C 74, 014304 (2006). https://doi.org/10.1103/PhysRevC.74.014304
Baidu ScholarGoogle Scholar
52. D. Ni, Z. Ren,

Half-lives and cluster preformation factors for various cluster emissions in trans-lead nuclei

. Phys. Rev. C 82, 024311 (2010). https://doi.org/10.1103/PhysRevC.82.024311
Baidu ScholarGoogle Scholar
53. L.J. Qi, D.M. Zhang, S. Luo et al.,

Cluster radioactivity preformation probability of trans-lead nuclei in the NpNn scheme

. Phys. Rev. C 108, 014325 (2023). https://doi.org/10.1103/PhysRevC.108.014325
Baidu ScholarGoogle Scholar
54. J. Maruhn, P.G. Reinhard, P. Stevenson et al.,

The TDHF code Sky3D

. Comput. Phys. Commun. 185, 2195-2216 (2014).
Baidu ScholarGoogle Scholar
55. B. Schuetrumpf, P.G. Reinhard, P. Stevenson et al.,

The TDHF code Sky3D version 1.1

. Comput. Phys. Commun. 229, 211-213 (2018). https://doi.org/10.1016/j.cpc.2018.03.012
Baidu ScholarGoogle Scholar
56. P. Stevenson, Y. Shi, E. Yüksel et al.,

The TDHF code Sky3D version 1.2

. Comput. Phys. Commun. 301, 109239 (2024). https://doi.org/10.1016/j.cpc.2024.109239
Baidu ScholarGoogle Scholar
57. C. Simenel, A. Umar,

Heavy-ion collisions and fission dynamics with the time-dependent hartree-fock theory and its extensions

. Prog. Part. Nucl. Phys. 103, 19-66 (2018). https://doi.org/10.1016/j.ppnp.2018.07.002
Baidu ScholarGoogle Scholar
58. E. Chabanat, P. Bonche, P. Haensel et al.,

A skyrme parametrization from subnuclear to neutron star densities part ii. nuclei far from stabilities

. Nucl. Phys. A 635, 231-256 (1998). https://doi.org/10.1016/S0375-9474(98)00180-8
Baidu ScholarGoogle Scholar
59. P. Eckle, A.N. Pfeiffer, C. Cirelli et al.,

Attosecond ionization and tunneling delay time measurements in helium

. Science 322, 1525-1529 (2008). https://doi.org/10.1126/science.1163439
Baidu ScholarGoogle Scholar
60. X. Wang, J. Tian, J.H. Eberly,

Angular correlation in strong-field double ionization under circular polarization

. Phys. Rev. Lett. 110, 073001 (2013). https://doi.org/10.1103/PhysRevLett.110.073001
Baidu ScholarGoogle Scholar
61. J. Schwinger,

On gauge invariance and vacuum polarization

. Phys. Rev. 82, 664-679 (1951). https://doi.org/10.1103/PhysRev.82.664
Baidu ScholarGoogle Scholar
Footnote

The authors declare that they have no competing interests.