Introduction
Laser is emitted through a process of stimulated emission, in which the electrons of atoms transition from the high-energy state to the low-energy state, releasing coherent photons with a single frequency and forming a laser beam. In the 1960s, American physicist Theodore Maiman successfully constructed the first laser using a ruby crystal as the active medium, which is also known as the Maiman laser [1]. Because the experimental intensities of lasers are insufficient to directly excite the atomic nucleus and the available photon energies are lower than the characteristic energies of nuclear transitions, the induction of nuclear processes through laser interactions has long been considered impossible. However, with the continuous advancement of experimental laser technology, the laser energy and peak intensity have recently improved significantly. To date, the peak intensity of laser pulses has reached 1 × 1023 W/cm2 [2]. The laser electric field strength corresponding to this intensity is comparable to the Coulomb field strength from the atomic nucleus at a distance of approximately 10 fm [3-5]. In the near future, the Extreme Light Infrastructure for Nuclear Physics (ELI-NP) and Shanghai Superintense Ultrafast Laser Facility (SULF) are expected to increase laser intensity by one or two orders of magnitude [6-8]. These developments provide a unique opportunity for laser-nuclear interaction studies. Experimentally, Shvyd’ko et al. used an X-ray free-electron laser to perform resonant X-ray excitation on the 45Sc isotope [9]. The uncertainty in the transition energy they determined was two orders of magnitude smaller than that previously reported. Theoretically, many studies have shown that these extreme laser fields not only affect atomic and molecular processes, but also influence nuclear processes. For instance, recent theoretical studies reported that extreme laser fields can excite 229Th to isomeric state through electron recollision [3, 10, 11]. Furthermore, it can affect the half-life of proton radioactivity [12-14] and α decay [15-19] by altering the Coulomb barrier. Nevertheless, as an important decay mode, the influence of extreme laser fields on cluster radioactivity remains to be explored in detail.
Spontaneous nuclear radioactivity has long been regarded as an important channel for exploring the nuclear structures of heavy and superheavy nuclei [20-22]. As one of the main decay modes of superheavy nuclei, cluster radioactivity has received considerable attention in the contemporary nuclear physics community [23-27]. It was first predicted in 1980 by Sǎndulescu, Poenaru, and Greiner [28], and was first observed in the emission of 14C from a 223Ra probe by Rose and Jones in 1984 [29]. This process is an intermediate process between α decay and spontaneous fission, where the parent nucleus emits a cluster particle that is heavier than an α particle but lighter than the lightest fission fragment, while decaying into a doubly magic daughter nucleus 208Pb or its neighboring daughter nucleus [30, 31]. Exploring the effects of extreme laser fields on cluster radioactivity can provide a new perspective for understanding the interactions between laser fields and nuclear decay processes.
In the present work, considering the preformation probability Sc as well as the deformation of the emitted cluster, we quantitatively investigate the influence of the extreme laser field on cluster decay half-life and penetration probability. The results indicate that the cluster penetration probability and half-life can be modified by laser fields that can be achieved in the near future to a finite extent. In the calculation of the cluster-decay half-life, the cluster preformation probability Sc plays an important role [32-34]. Different models treat this in various ways. For instance, in fission-like models, Sc is considered the penetrability of the inner part of the barrier for the overlapping region [35]. In the unified fission model (UFM), Sc is generally considered to be unity [36]. However, because the emitted cluster particles within the entire cluster family are completely
The remainder of this paper is organized as follows. A detailed theoretical framework for calculating the cluster-decay half-life in high-intensity laser fields is provided in Sect. 2. The detailed numerical results and discussion are presented in Sect. 3. A simple summary is provided in Sect. 4.
Theoretical framework
The theoretical method
Half-life for the cluster radioactivity
The half-life for the cluster radioactivity can be expressed as [37]_2026_04/1001-8042-2026-04-69/alternativeImage/1001-8042-2026-04-69-M001.png)
_2026_04/1001-8042-2026-04-69/alternativeImage/1001-8042-2026-04-69-M002.png)
_2026_04/1001-8042-2026-04-69/alternativeImage/1001-8042-2026-04-69-M003.png)
_2026_04/1001-8042-2026-04-69/alternativeImage/1001-8042-2026-04-69-M004.png)
Because the daughter nucleus for cluster radioactivity is often the doubly magic nucleus 208Pb or a nucleus in its neighborhood, which exhibits a spherical or near-spherical shape, we only considered the deformation effect of the emitted cluster in this study. The total penetration probability P was determined by averaging Pφ in all directions. They can be defined as_2026_04/1001-8042-2026-04-69/alternativeImage/1001-8042-2026-04-69-M005.png)
_2026_04/1001-8042-2026-04-69/alternativeImage/1001-8042-2026-04-69-M006.png)
_2026_04/1001-8042-2026-04-69/alternativeImage/1001-8042-2026-04-69-M007.png)
_2026_04/1001-8042-2026-04-69/alternativeImage/1001-8042-2026-04-69-M008.png)
In the present work, we choose _2026_04/1001-8042-2026-04-69/alternativeImage/1001-8042-2026-04-69-M009.png)
_2026_04/1001-8042-2026-04-69/alternativeImage/1001-8042-2026-04-69-M010.png)
_2026_04/1001-8042-2026-04-69/alternativeImage/1001-8042-2026-04-69-M011.png)
_2026_04/1001-8042-2026-04-69/alternativeImage/1001-8042-2026-04-69-M012.png)
The Coulomb potential between the daughter nucleus and the deformed cluster can be given as [48, 49]_2026_04/1001-8042-2026-04-69/alternativeImage/1001-8042-2026-04-69-M013.png)
_2026_04/1001-8042-2026-04-69/alternativeImage/1001-8042-2026-04-69-M014.png)
_2026_04/1001-8042-2026-04-69/alternativeImage/1001-8042-2026-04-69-M015.png)
For the cluster preformation probability Sc, when Ac < 28, it is calculated by utilizing the exponential relationship between it and the α decay preformation probability, which is expressed as [50]_2026_04/1001-8042-2026-04-69/alternativeImage/1001-8042-2026-04-69-M016.png)
_2026_04/1001-8042-2026-04-69/alternativeImage/1001-8042-2026-04-69-M017.png)
Cluster-formation model
Within the framework of the CFM, the total initial clusterization state Ψ of the emitted cluster-daughter nucleus system is assumed to be a linear superposition of all its n possible clusterization states Ψi [52]. It can be defined as_2026_04/1001-8042-2026-04-69/alternativeImage/1001-8042-2026-04-69-M018.png)
_2026_04/1001-8042-2026-04-69/alternativeImage/1001-8042-2026-04-69-M019.png)
_2026_04/1001-8042-2026-04-69/alternativeImage/1001-8042-2026-04-69-M020.png)
_2026_04/1001-8042-2026-04-69/alternativeImage/1001-8042-2026-04-69-M021.png)
_2026_04/1001-8042-2026-04-69/alternativeImage/1001-8042-2026-04-69-M022.png)
_2026_04/1001-8042-2026-04-69/alternativeImage/1001-8042-2026-04-69-M023.png)
Case I for even-even nuclei,_2026_04/1001-8042-2026-04-69/alternativeImage/1001-8042-2026-04-69-M024.png)
_2026_04/1001-8042-2026-04-69/alternativeImage/1001-8042-2026-04-69-M025.png)
_2026_04/1001-8042-2026-04-69/alternativeImage/1001-8042-2026-04-69-M026.png)
_2026_04/1001-8042-2026-04-69/alternativeImage/1001-8042-2026-04-69-M027.png)
_2026_04/1001-8042-2026-04-69/alternativeImage/1001-8042-2026-04-69-M028.png)
_2026_04/1001-8042-2026-04-69/alternativeImage/1001-8042-2026-04-69-M029.png)
_2026_04/1001-8042-2026-04-69/alternativeImage/1001-8042-2026-04-69-M030.png)
_2026_04/1001-8042-2026-04-69/alternativeImage/1001-8042-2026-04-69-M031.png)
The quasistatic condition
Currently, based on the chirped pulse amplification technique, a laser pulse with a peak intensity exceeding 1 × 1023 W/cm2 can be achieved in the laboratory, with a full width at half-maximum (FWHM) of approximately 19.6 fs (=1.96 × 10-14 s) [2]. The laser cycles generated by a near-infrared laser with a pulse wavelength of approximately 800 nm and an X-ray free electron laser [57] with a photon energy of 10 keV are approximately 10-15 s and 10-19 s, respectively. In the process of cluster radioactivity, the emitted cluster moves back and forth within the parent nucleus at a certain speed before it penetrates the barrier. Because the length of the tunnel path is less than 100 fm, we can estimate that the time required for it to pass through the tunnel is less than 10-20 s. This is much shorter than the optical cycle of the currently achievable highest-peak-intensity laser pulse. In this case, the process of the emitted cluster penetrating the barrier is regarded as quasistatic, and the variation in the laser field can be neglected.
Additionally, the kinetic energy of the emitted clusters is less than 100 MeV, and the velocity of the emitted clusters in vacuum is much slower than the speed of light. This indicates that the influence of the laser electric field on the emitted clusters was much greater than that of the laser magnetic field. Therefore, we ignored the magnetic component of the laser field in this study.
Laser-nucleus interaction
The interaction potential between the laser electric field and the nucleus reads [58]_2026_04/1001-8042-2026-04-69/alternativeImage/1001-8042-2026-04-69-M032.png)
_2026_04/1001-8042-2026-04-69/alternativeImage/1001-8042-2026-04-69-M033.png)
In the present work, the electric component of the laser pulse is chosen to be a linearly polarized Gaussian plane waveforms. It is given as_2026_04/1001-8042-2026-04-69/alternativeImage/1001-8042-2026-04-69-M034.png)
_2026_04/1001-8042-2026-04-69/alternativeImage/1001-8042-2026-04-69-M035.png)
_2026_04/1001-8042-2026-04-69/alternativeImage/1001-8042-2026-04-69-M036.png)
In extreme laser field environments, it is essential to consider the influence of the laser electric field on the decay energy. The change in decay energy is equal to the energy gained by the emitted cluster as it is accelerated by the laser electric field while penetrating the potential barrier. The decay energy of the emitted cluster, considering the laser electric field impact, can be expressed as_2026_04/1001-8042-2026-04-69/alternativeImage/1001-8042-2026-04-69-M037.png)
Results and discussion
Based on the high-intensity laser pulses expected to be achieved by ELI-NP and SULF in the forthcoming years, we quantitatively investigated the impact of the extreme laser fields on cluster radioactivity. To display the effect of the laser electric field on the cluster-decay half-life, we define this effect as the rate of relative change of half-life, and express it as_2026_04/1001-8042-2026-04-69/alternativeImage/1001-8042-2026-04-69-M038.png)
_2026_04/1001-8042-2026-04-69/alternativeImage/1001-8042-2026-04-69-M039.png)
| Decay | l | Qc(MeV) | β2 | β4 | β6 | |
|
|---|---|---|---|---|---|---|---|
| 221Fr→ 207Tl+14C | 3 | 31.32 | -0.361 | 0 | 0 | 14.52 | 14.11 |
| 221Ra→207Pb+14C | 3 | 32.40 | -0.361 | 0 | 0 | 13.39 | 12.89 |
| 222Ra→208Pb+14C | 0 | 33.05 | -0.361 | 0 | 0 | 11.22 | 11.45 |
| 223Ra→209Pb+14C | 4 | 31.83 | -0.361 | 0 | 0 | 15.05 | 14.24 |
| 224Ra→210Pb+14C | 0 | 30.53 | -0.361 | 0 | 0 | 15.86 | 16.23 |
| 226Ra→ 212Pb+14C | 0 | 28.20 | -0.361 | 0 | 0 | 21.19 | 21.19 |
| 223Ac→209Bi+14C | 2 | 33.06 | -0.361 | 0 | 0 | 12.60 | 12.64 |
| 225Ac→211Bi+14C | 3 | 30.48 | -0.361 | 0 | 0 | 17.34 | 17.74 |
| 228Th→208Pb+20O | 0 | 44.72 | 0.01 | -0.024 | 0.02 | 20.87 | 21.42 |
| 230U→208Pb+22Ne | 0 | 61.39 | 0.384 | 0.096 | -0.007 | 19.57 | 18.22 |
| 231Pa→208Pb+23F | 1 | 51.84 | 0.117 | 0.079 | -0.021 | 26.00 | 23.80 |
| 230Th→206Hg+24Ne | 0 | 57.76 | -0.063 | 0.013 | -0.03 | 24.61 | 23.44 |
| 231Pa→207Tl+24Ne | 1 | 60.41 | -0.063 | 0.013 | -0.03 | 22.89 | 21.41 |
| 232U→ 208Pb+24Ne | 0 | 62.31 | -0.063 | 0.013 | -0.03 | 20.39 | 19.60 |
| 233U→ 209Pb+24Ne | 2 | 60.49 | -0.063 | 0.013 | -0.03 | 24.82 | 22.88 |
| 234U→210Pb+24Ne | 0 | 58.82 | -0.063 | 0.013 | -0.03 | 25.07 | 24.87 |
| 235U→211Pb+24Ne | 1 | 57.36 | -0.063 | 0.013 | -0.03 | 27.62 | 27.77 |
| 233U→ 208Pb+25Ne | 2 | 60.70 | 0.053 | 0.002 | -0.03 | 24.82 | 23.32 |
| 234U→208Pb+26Ne | 0 | 59.47 | 0.121 | -0.052 | -0.035 | 25.25 | 25.24 |
| 234U→206Hg+28Mg | 0 | 74.11 | 0.277 | -0.073 | 0.008 | 25.53 | 24.69 |
| 236Pu→208Pb+28Mg | 0 | 79.67 | 0.277 | -0.073 | 0.008 | 21.52 | 20.74 |
| 238Pu→210Pb+28Mg | 0 | 75.91 | 0.277 | -0.073 | 0.008 | 25.67 | 25.16 |
| 236U→206Hg+30Mg | 0 | 72.51 | 0.119 | -0.005 | -0.031 | 27.58 | 28.35 |
| 238Pu→208Pb+30Mg | 0 | 76.79 | 0.119 | -0.005 | -0.031 | 25.67 | 25.35 |
| 238Pu→206Hg+32Si | 0 | 91.21 | -0.124 | -0.03 | -0.033 | 25.27 | 25.27 |
| 242Cm →208Pb+34Si | 0 | 96.54 | 0 | 0 | -0.039 | 23.24 | 23.40 |
_2026_04/1001-8042-2026-04-69/alternativeImage/1001-8042-2026-04-69-F001.jpg)
Because the emitted cluster collides with the potential barrier inside the nucleus, the collision frequency ν is insensitive to the external laser field. This suggests that the external laser field primarily affects the cluster decay half-life by altering the penetration probability. The rate of relative change of penetration probability is defined as_2026_04/1001-8042-2026-04-69/alternativeImage/1001-8042-2026-04-69-M040.png)
Based on Eq. (38) and (40), we calculated the influence of laser fields with an intensity of 1 × 1024 W/cm2 on the cluster penetration probability and half-life when the laser electric field was aligned with the emission direction of the cluster. The detailed results are presented in Table 2. The labels of the first three columns are similar to those in Table 1. The fourth column represents the average tunneling path length
| Decay | l | Qc(MeV) | |R|(fm) | ΔP24 | ΔT24 | ΔP25 | ΔT25 |
|---|---|---|---|---|---|---|---|
| 221Fr→ 207Tl+14C | 3 | 31.32 | 13.22 | 7.37×10-4 | -7.36×10-4 | 2.33×10-3 | -2.33×10-3 |
| 221Ra→207Pb+14C | 3 | 32.40 | 12.74 | 6.90×10-4 | -6.89×10-4 | 2.18×10-3 | -2.18×10-3 |
| 222Ra→208Pb+14C | 0 | 33.05 | 12.27 | 6.70×10-4 | -6.69×10-4 | 2.12×10-3 | -2.12×10-3 |
| 223Ra→209Pb+14C | 4 | 31.83 | 13.13 | 7.25×10-4 | -7.24×10-4 | 2.29×10-3 | -2.29×10-3 |
| 224Ra→210Pb+14C | 0 | 30.53 | 14.02 | 7.88×10-4 | -7.88×10-4 | 2.49×10-3 | -2.49×10-3 |
| 226Ra→ 212Pb+14C | 0 | 28.20 | 15.93 | 9.28×10-4 | -9.27×10-4 | 2.94×10-3 | -2.93×10-3 |
| 223Ac→209Bi+14C | 2 | 33.06 | 12.53 | 6.74×10-4 | -6.73×10-4 | 2.13×10-3 | -2.13×10-3 |
| 225Ac→211Bi+14C | 3 | 30.48 | 14.36 | 7.96×10-4 | -7.95×10-4 | 2.52×10-3 | -2.51×10-3 |
| 228Th→208Pb+20O | 0 | 44.72 | 11.65 | 8.62×10-4 | -8.61×10-4 | 2.73×10-3 | -2.72×10-3 |
| 230U→208Pb+22Ne | 0 | 61.39 | 9.89 | 9.67×10-4 | -9.66×10-4 | 3.06×10-4 | -3.05×10-3 |
| 231Pa→208Pb+23F | 1 | 51.84 | 10.92 | 8.93×10-4 | -8.93×10-4 | 2.83×10-4 | -2.82×10-3 |
| 230Th→206Hg+24Ne | 0 | 57.76 | 10.25 | 1.04×10-3 | -1.04×10-3 | 3.28×10-3 | -3.27×10-3 |
| 231Pa→207Tl+24Ne | 1 | 60.41 | 9.60 | 9.60×10-4 | -9.59×10-4 | 3.04×10-3 | -3.03×10-3 |
| 232U→ 208Pb+24Ne | 0 | 62.31 | 9.22 | 9.13×10-4 | -9.12×10-4 | 2.89×10-3 | -2.88×10-3 |
| 233U→ 209Pb+24Ne | 2 | 60.49 | 9.79 | 9.73×10-4 | -9.72×10-4 | 3.08×10-3 | -3.07×10-3 |
| 234U→210Pb+24Ne | 0 | 58.82 | 10.33 | 1.03×10-3 | -1.03×10-3 | 3.27×10-3 | -3.26×10-3 |
| 235U→211Pb+24Ne | 1 | 57.36 | 10.83 | 1.09×10-3 | -1.09×10-3 | 3.45×10-3 | -3.44×10-3 |
| 233U→ 208Pb+25Ne | 2 | 60.70 | 9.74 | 9.29×10-4 | -9.28×10-4 | 2.94×10-3 | -2.93×10-3 |
| 234U→208Pb+26Ne | 0 | 59.47 | 10.14 | 9.19×10-4 | -9.18×10-4 | 2.91×10-3 | -2.90×10-3 |
| 234U→206Hg+28Mg | 0 | 74.11 | 8.95 | 1.07×10-3 | -1.07×10-3 | 3.40×10-3 | -3.39×10-3 |
| 236Pu→208Pb+28Mg | 0 | 79.67 | 8.06 | 9.49×10-4 | -9.48×10-4 | 3.00×10-4 | -3.00×10-3 |
| 238Pu→210Pb+28Mg | 0 | 75.91 | 8.91 | 1.06×10-3 | -1.06×10-3 | 3.36×10-3 | -3.34×10-3 |
| 236U→206Hg+30Mg | 0 | 72.51 | 9.17 | 1.10×10-3 | -1.09×10-3 | 3.49×10-3 | -3.48×10-3 |
| 238Pu→208Pb+30Mg | 0 | 76.79 | 8.53 | 9.99×10-4 | -9.98×10-4 | 3.16×10-3 | -3.15×10-3 |
| 238Pu→206Hg+32Si | 0 | 91.21 | 7.57 | 1.15×10-3 | -1.14×10-3 | 3.63×10-3 | -3.62×10-3 |
| 242Cm →208Pb+34Si | 0 | 96.54 | 6.96 | 1.04×10-3 | -1.04×10-3 | 3.29×10-3 | -3.28×10-3 |
_2026_04/1001-8042-2026-04-69/alternativeImage/1001-8042-2026-04-69-F002.jpg)
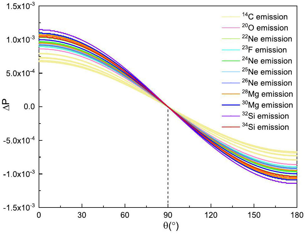
In actual experiments, the direction of cluster emission is random, indicating that the angle between the direction of the laser electric field and that of cluster emission is not consistently zero. In this study, we assumed that the direction of the laser was fixed and that of the emitted cluster was entirely random. To investigate the influence of laser pulses on the cluster penetration probability in any direction, we present the relationship between θ and ΔP for 26 trans-lead nuclei at a peak intensity of 1 × 1024 W/cm2 in Fig. 3. Here, θ ranges from 0 to π. In this figure, various colored lines represent the variation of ΔP with the angle θ for different cluster emissions. From this figure, it can be seen that the maximum value of ΔP is attained when the direction of the laser electric field is the same as that of the emitted cluster (i.e., θ = 0), and the minimum occurs when these two directions are opposite (i.e., θ = π). Notably, when θ = π/2, ΔP is zero. This implies that the laser field has no impact on the cluster penetration probability when the direction of the laser field is perpendicular to that of the emitted cluster. In addition, one can observe from this figure that ΔP varies with θ similarly for different nuclei at the same laser intensity. When θ < π/2, the laser increases the cluster penetration probability; conversely, when θ > π/2, the laser decreases this probability. Furthermore, as shown in Fig. 3, the sensitivity of the cluster penetration probability to ultra-intense laser fields appears to be related to the size of the emitted cluster. Specifically, the value range of ΔP in the same cluster emitted by different parent nuclei varies greatly, but the overall range of its value moves approximately linearly upward as the size of the emitted cluster increases.
_2026_04/1001-8042-2026-04-69/alternativeImage/1001-8042-2026-04-69-F003.jpg)
Interestingly, as shown in Fig. 3, the variation of ΔP with θ seems to be centrally symmetric about θ = π/2. This phenomenon spurred our curiosity to explore whether the effects of the laser on the penetration probability at all angles collectively cancel each other out. To verify this, we calculated the average change rate of the cluster penetration probability for I0 = 1 × 1024 W/cm2. It is defined as_2026_04/1001-8042-2026-04-69/alternativeImage/1001-8042-2026-04-69-M041.png)
_2026_04/1001-8042-2026-04-69/alternativeImage/1001-8042-2026-04-69-M042.png)
_2026_04/1001-8042-2026-04-69/alternativeImage/1001-8042-2026-04-69-M043.png)
_2026_04/1001-8042-2026-04-69/alternativeImage/1001-8042-2026-04-69-M044.png)
_2026_04/1001-8042-2026-04-69/alternativeImage/1001-8042-2026-04-69-M045.png)
_2026_04/1001-8042-2026-04-69/alternativeImage/1001-8042-2026-04-69-M046.png)
_2026_04/1001-8042-2026-04-69/alternativeImage/1001-8042-2026-04-69-F004.jpg)
Summary
In summary, considering the preformation probability Sc and the deformation effect, we systematically investigated the influence of ultra-intense laser fields that can be achieved in the near future on the cluster penetration probability and half-life for 26 trans-lead nuclei, aiming to achieve quantitative assessments of the laser’s impact on cluster radioactivity and to gain a deeper understanding thereof. The results show that in the environment of extreme laser fields, the changes in the cluster penetration probability and half-life are not significant. However, these slight variations indicate that lasers that can be achieved in the near future are capable of directly affecting nuclear physics, despite the fact that a single laser photon possesses an extremely low energy. Moreover, we discovered that for different parent nuclei emitting the same cluster, nuclei that provide a longer tunneling path are more easily affected by laser fields. The shell effect on the correlation between ΔP and |R| was observed. Next, we discuss the influence of laser fields on the cluster penetration probability in any direction. The total impact of the laser fields on the penetration probability across all angles was also revealed. This can serve as a reference for future theoretical and experimental research on laser-nucleus interactions.
Stimulated Optical Radiation in Ruby
. Nature 187, 493 (1960). https://doi.org/10.1038/187493a0Realization of laser intensity over 1023 W/cm2
. Optica 8, 630 (2021). https://doi.org/10.1364/OPTICA.420520Exciting the Isomeric 229Th Nuclear State via Laser-Driven Electron Recollision
. Phys. Rev. Lett. 127,Enhanced deuterium-tritium fusion cross sections in the presence of strong electromagnetic fields
. Phys. Rev. C 100,Coupled-channels analysis of the α decay in strong electromagnetic fields
. Phys. Rev. C 101,Laser-assisted proton radioactivity of spherical and deformed nuclei
. J. Phys. G 46,Current status and highlights of the ELI-NP research program
. Matter Radiat. Extremes 5,339 J high-energy Ti:sapphire chirped-pulse amplifier for 10 PW laser facility
. Opt. Lett. 43, 5681 (2018). https://doi.org/10.1364/OL.43.005681Resonant X-ray excitation of the nuclear clock isomer 45Sc
. Nature 622, 471 (2023). https://doi.org/10.1038/s41586-023-06491-wIsomeric Excitation of 229Th in Laser-Heated Clusters
. Phys. Rev. Lett. 130,The theory of direct laser excitation of nuclear transitions
. Eur. Phys. J. A 56, 1 (2020). https://doi.org/10.1140/epja/s10050-020-00177-xLaser-assisted proton radioactivity of spherical and deformed nuclei
. J. Phys. G 46,Systematic study of laser-assisted proton radioactivity from deformed nuclei
. Phys. Rev. C 105,Laser-assisted two-proton radioactivity
. J. Phys. G 51,α decay in intense laser fields: Calculations using realistic nuclear potentials
. Phys. Rev. C 99,Laser-assisted α decay of the deformed odd-A nuclei
. Nucl. Sci. Tech. 36, 69 (2025). https://doi.org/10.1007/s41365-024-01610-2Can Extreme Electromagnetic Fields Accelerate the α Decay of Nuclei?
Phys. Rev. Lett. 124,Geiger-Nuttall Law for Nuclei in Strong Electromagnetic Fields
. Phys. Rev. Lett. 119,α decay and cluster radioactivity in extreme laser fields
. Nucl. Sci. Tech. 36, 169 (2025). https://doi.org/10.1007/s41365-025-01753-wSystematic study of cluster radioactivity of superheavy nuclei
. Phys. Rev. C 97,Alpha-decay of deformed superheavy nuclei as a probe of shell closures
. Nucl. Phys. A 958, 202 (2017). https://doi.org/10.1016/j.nuclphysa.2016.11.010Isospin asymmetry dependence of the α spectroscopic factor for heavy nuclei
. Phys. Rev. C 84,Microscopic calculations of nuclear incompressibility from cluster radioactivity
. Phys. Rev. C 110,Systematic study of cluster radioactivity in trans-lead nuclei with various versions of proximity potential formalisms
. Chin. Phys. C 48,Systematic calculations of cluster radioactivity half-lives in trans-lead nuclei
. Chin. Phys. C 47,Cluster radioactivity preformation probability of trans-lead nuclei in the NpNn scheme
. Phys. Rev. C 108,New perspective on complex cluster radioactivity of heavy nuclei
. Phys. Rev. C 70,New type of decay of heavy nuclei intermediate between fission and α decay
. Sov. J. Particles Nucl. 11, 6 (1980). https://www.osti.gov/biblio/6189038A new kind of natural radioactivity
. Nature 307, 245 (1984). https://doi.org/10.1038/307245a0Universal decay rule for reduced widths
. Phys. Rev. C 80,Phosphate glasses for identification of heavy ions
. Nature 325, 137 (1987). https://doi.org/10.1038/325137a0An empirical relation for cluster decay preformation probability
. Int. J. Mod. Phys. E 23,Systematic study of various proximity potentials in 208Pb-daughter cluster radioactivity
. Phys. Rev. C 85,Alpha and cluster decay using Modified Generalized Liquid Drop Model with iso-spin dependent pre-formation factor
. Nucl. Phys. A 992,Theory of cluster radioactive decay and of cluster formation in nuclei
. Phys. Rev. C 39, 1992 (1989). https://doi.org/10.1103/PhysRevC.39.1992Proton and α-radioactivity of spherical proton emitters
. Phys. Rev. C 71,Cluster decay half-lives using modified generalized liquid drop model (MGLDM) with different pre-formation factors
. Indian J. Phys. 95, 121 (2021). https://doi.org/10.1007/s12648-020-01685-8Semi-analytic calculations of barrier penetration and alpha particle preformation probabilities
. J. Phys. G 47,Systematic study of cluster radioactivity half-lives based on a modified Gamow-like model
. Phys. Scr. 96,Neck formation and deformation effects in a preformed cluster model of exotic cluster decays
. Phys. Rev. C 55, 218 (1997). https://doi.org/10.1103/PhysRevC.55.218Theoretical Estimates of the Rates of Radioactive Decay of Radium Isotopes by 14C Emission
. Phys. Rev. Lett. 54, 300 (1985). https://doi.org/10.1103/PhysRevLett.54.300Alpha emission and spontaneous fission through quasi-molecular shapes
. J. Phys. G 26, 1149 (2000). https://doi.org/10.1088/0954-3899/26/8/305Cluster decay half-lives and preformation probabilities
. Phys. Scr. 95,The AME 2020 atomic mass evaluation (II). Tables, graphs and references
. Chin. Phys. C 45,The NUBASE2020 evaluation of nuclear physics properties
. Chin. Phys. C 45,Cluster decay investigation within a modified Woods–Saxon potential
. Mod. Phys. Lett. A 30,Nuclear ground-state masses and deformations: FRDM (2012)
. At. Data Nucl. Data Tables 109, 1 (2016). https://doi.org/10.1016/j.adt.2015.10.002Interaction Barrier in Charged-Particle Nuclear Reactions
. Phys. Rev. Lett. 31, 766 (1973). https://doi.org/10.1103/PhysRevLett.31.766Optimum orientations of deformed nuclei for cold synthesis of superheavy elements and the role of higher multipole deformations
. J. Phys. G 31, 631 (2005). https://doi.org/10.1088/0954-3899/31/7/009Systematics of Cluster-Radioactivity-Decay Constants as Suggested by Microscopic Calculations
. Phys. Rev. Lett. 61, 1930 (1988). https://doi.org/10.1103/PhysRevLett.61.1930Cluster preformation law for heavy and superheavy nuclei
. Phys. Rev. C 96,Realistic α preformation factors of odd-A and odd-odd nuclei within the cluster-formation model
. J. Phys. G 42,Alpha-cluster preformation factors in alpha decay for even–even heavy nuclei using the cluster-formation model
. J. Phys. G 40,Systematic study ofα decay of nuclei around the Z=82, N=126 shell closures within the cluster-formation model and proximity potential 1977 formalism
. Phys. Rev. C 97,α preformation factors of medium-mass nuclei and the structural effects in the region of crossing the Z=82 shell
. Phys. Rev. C 93,Alpha-cluster preformation factor within cluster-formation model for odd-A and odd–odd heavy nuclei
. Nucl. Phys. A 962, 103 (2017). https://doi.org/10.1016/j.nuclphysa.2017.03.005Birefringence-Managed Normal-Dispersion Fiber Laser Delivering Energy-Tunable Chirp-Free Solitons
. Ultr. Sci. 2022,α-Decay in ultra-intense laser fields
. J. Phys. G 40,Effects of deformation on the cluster and the α-decay half-lives for isotopes of the Trans-lead and the undetected superheavy nuclei
. Chin. J. Phys 90, 49 (2024). https://doi.org/10.1016/j.cjph.2024.05.007The authors declare that they have no competing interests.

