Introduction
The number of naturally occurring nuclides on Earth is 339, including 256 stable nuclides and 83 radioactive nuclides. The possible number of bound nuclides has been predicted by nuclear models to be approximately 6000∼9000 [1-3], for which only 3340 nuclides have been experimentally observed [4]. The nuclear drip line is the boundary beyond which the atomic nuclei are unbound with respect to the emission of one or more proton(s) or neutron(s). Although the proton drip line has been extensively explored experimentally over the past decades, the neutron drip line has only been confirmed for light elements up to Ne [5].
The limit of nuclear existence is at fundamental subject in nuclear physics. Nuclei at or near drip lines can exhibit extreme structures [6], offering unique opportunities to study exotic open quantum behaviors and asymmetric nuclear matter. In addition to the naturally occurring radioactive nuclei, the most unstable nuclei are artificially produced in accelerator facilities. Production methods are predominantly divided into two categories [7]: Isotope Separation On-Line (ISOL) and In-Flight fragment separation (IF). ISOL facilities are renowned for generating high-purity isotopes with precise energies and low emittance but suffer from poor extraction efficiencies for refractory materials and long extraction times for certain chemical elements. The In-Flight method effectively delivers all reaction products with lifetimes longer than several hundred ns, making it the most productive route for isotope discovery in recent years [8, 9]. Fission during flight, primarily involving actinide elements, is highly competitive for generating medium-mass neutron-rich nuclei (see Ref. [10]). Hybrid methods that integrate the strengths of ISOL and In-Flight techniques have attracted considerable interest because they offer promising opportunities to enhance the production yield of the most neutron-rich isotopes [11-13].
Despite significant progress in studying neutron-rich nuclei worldwide, exploring “terra incognita” near the neutron drip line remains challenging, where no data are available, primarily because of their small yield. In fragmentation reactions, the evaporation of neutrons from excited pre-fragments reduces the production cross sections of more neutron-rich nuclei [14, 15]. To address these challenges, numerous experimental strategies have been proposed to enhance beam intensity, spectrometer acceptance, and particle identification resolution at existing facility [16, 17]. However, they cannot fully compensate for the decreased production cross sections toward the neutron drip line.
There are various theoretical models from the empirical formula [18-20] to the hybrid method using Bayesian neural networks (BNNs) as well as Qg systematics [21-23]. However, their extrapolations to systems with significant
In this work, we investigate multi-step fragmentation reactions at relativistic energies of ~GeV/nucleon on a thick target to increase the yield of neutron-rich nuclei far from the stability line. In multi-step fragmentation, neutron-rich fragments can undergo further fragmentation processes, producing even more neutron-rich nuclei. This is due to the inherent “memory effect” in fragmentation reactions, which works efficiently to produce fragments with mass-to-charge ratios similar to those of neutron-rich projectile nuclei. Additionally, the diversity of intermediate nuclei increases the ejection probability of neutron-rich fragments to a certain extent [26-28].
In the present study, the effect of multi-step processes was illustrated using the drip line nucleus 34Ne as an example. We simulated its production and transmission processes to evaluate the effectiveness and advantages of multi-step reactions. After optimizing the yields of neutron-rich nuclei, we estimated the production rates of the neutron drip line nuclei above oxygen.
Production in the multi-step fragmentation
For a specific isotope of interest, the yield Y can be expressed as the product of three independent factors:
The production probability of the desired nuclide in a target, along with its angular and energy distribution, was calculated using the computer code LISE++ (version 16.18.20) [28, 29]. The fragment cross sections were calculated using the semi-empirical formula EPAX 2.15 [18], which has good precision in predicting the existing data near the neutron drip line in this mass region [30]. The slowing down processes, including energy loss, energy-loss straggling, and angular straggling, were evaluated using the ATIMA 1.2 code [31, 32], with the results serving as input for subsequent calculations. The momentum distribution of the fragments was assessed based on Goldhaber theory [33]. A higher energy projectile is preferable to optimize the contribution of multi-step reactions; however, the accelerator facility imposes constraints on the energy choice. This study focuses on producing drip line nuclei near 34Ne at the High-Intensity heavy-ion Accelerator Facility (HIAF) [17] under construction. Therefore, the projectile energy was set to 1500 MeV/nucleon.
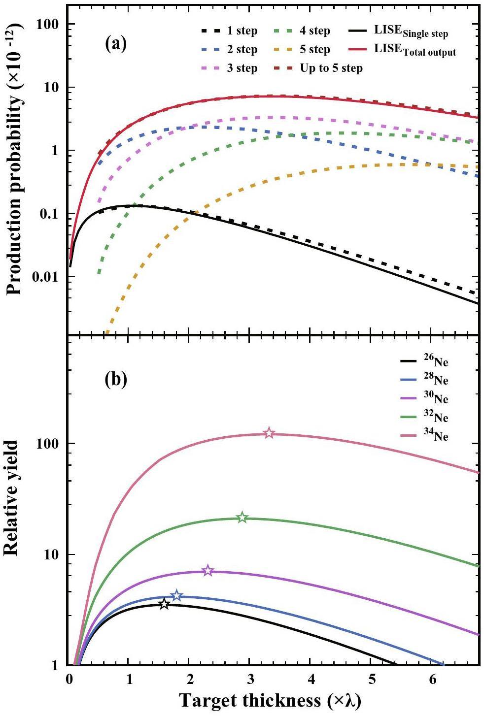
The calculated production probability (P) of 34Ne is shown in Fig. 1(a) as a function of target thickness for a 48Ca beam incident on a Be target. The target thickness is expressed in units of the mean free path (λ), calculated using the reaction cross section of 1547 mb for 48Ca on Be. In this case, the thickness λ corresponds to 9.68 g/cm2 or 5.2 cm. As indicated in Fig. 1(a), the single-step production probability saturates at a thickness of approximately 1.03λ, which is significantly smaller than the thickness required for multi-step yields to plateau. Multi-step fragmentation dominates the production of thick targets, accounting for more than 95% of the total yield when the thickness exceeds λ. The corresponding peak value, observed at 3.33λ, was nearly 50 times higher than that obtained under the assumption of a single-step process alone. We also note that this optimized thickness holds true for beam energies above 0.8 GeV/nucleon. However, as the target thickness increases, the effects of the incident particle attenuation and fragmentation of the objective nuclei become more pronounced, reducing the final production probability. Consequently, optimizing the target thickness is crucial to achieve a high yield of neutron-rich nuclei.

To determine which component plays a key role in multi-step fragmentation, we developed a dedicated code to compute the fragmentation yield similar to Ref. [27]. In this calculation, the reaction target was uniformly segmented along the beam direction. Each segment thickness is much smaller than the mean free path of projectile-like ions, so at most one reaction occurs per segment. The probability of fragment generation at each reaction point was calculated individually. The total probability was determined by evaluating all possible combinations of reaction positions and multi-step pathways. Figure 1(a) presents the calculated production probabilities from the single step to the fifth step. For target thicknesses of up to 2λ, the second-step reaction is the most crucial process. Above this thickness, the third-step process became predominant, steadily increasing its contribution. Contributions of the fifth step account for less than 4% of the total yield, while that beyond the fifth step is negligible. Inclusion of up to 5 steps in our simulation is sufficient for the absolute yield estimates, and is well consistent with the LISE++ results.
We computed the yields using other reaction models. Despite discrepancies in absolute values across models, the overall trends in the production probability of drip line fragments as a function of target thickness remained consistent, indicating that the enhancement via a multi-step mechanism in thick targets is a robust and model-independent feature.
To assess the yield of isotopes with varying neutron excesses, we present the relative yields of 26,28,30,32,34Ne isotopes from the multi-step fragmentation in Fig. 1(b). A small scaling factor was introduced for the production probabilities to match the corresponding results at 0.6 GeV/nucleon. The yield curve for each isotope was normalized to the corresponding value at a thickness of 0.2λ. Although the curves exhibit a similar pattern across isotopes, the peak positions shift to a thicker thickness with increasing neutron excess. Two important tendencies were observed: First, the yield enhancement at a larger λ is more pronounced for neutron-rich nuclei, indicating that multi-step fragmentation contributes more efficiently to their production. Second, the yield peaks at greater target thicknesses for more neutron-rich nuclei, highlighting the advantage of multi-step reactions in producing extremely neutron-rich nuclides. This pattern also holds for all neutron-rich isotopes. In contrast, increasing the target thickness to more than 1λ has little effect on the production of nuclei near the stability line. This pronounced disparity in yields implies that employing a thick target for a relativistic projectile, where the multi-step fragmentation process gradually plays a leading role, can compensate for the limitations associated with the smaller production cross-sections of the most exotic nuclei. This approach has a clear advantage in pushing the limits of new isotope discoveries.
Transmission of Multi-step fragments
Reactions and penetration in a thick target inevitably lead to a notable increase in the beam transverse emittance and momentum spread, owing to the cumulative effects of fragmentation reactions and multiple scattering. Therefore, the fragments are eventually characterized by a high production rate but a broad momentum distribution. For experimental purposes, the separation, purification, and delivery of cocktail fragments to the terminal using a spectrometer or separator are often essential. The final yield at the experimental terminal is determined by the momentum distribution and transmission efficiency of the spectrometer.
In the following, we take the HIgh-rigidity Radioactive Ion Beam Line (HIRIBL) of the HIAF facility (in construction) as a realistic case to illustrate the transmission of ejective fragments from a thick target. The HIRIBL, formerly known as the High-energy FRagment Separator (HFRS), was designed to produce, separate, and purify rare isotopes with a maximum magnetic rigidity of 25 Tm. It is characterized by an angular acceptance of ±30 mrad (x) and ±15 mrad (y), and a momentum acceptance of ±2.0%. Details of the HIRIBL can be found in Refs. [34, 35]. The arrangement of the HIRIBL is shown in Fig. 2(a), with a Be production target at PF0. The reaction products were simulated for different focal planes. A clear particle identification is expected in the desired mass range.

The fragments are produced by bombarding a 1500 MeV/nucleon 48Ca beam on Be, then transmitted and separated by HIRIBL. The beam intensity was 3×1011 particles per pulse (ppp). Each pulse lasted for 13 s. Acceptance calculations were performed using the Monte Carlo method implemented in LISE++. A high incident energy was beneficial for reducing the influence of the momentum distribution of the final product. Figure 2(b) illustrates the momentum distribution of 34Ne fragments produced for various target thicknesses. A distinct asymmetric distribution is observed with a broad shoulder on the low momentum side as the target thickness increases from 0.5λ to 3.0λ. The broadening is due to the energy loss difference between the projectile beam and the fragment. The distributions become symmetric after considering the momentum acceptance of the spectrometer for the optimized yield of 34Ne.
Under identical target thicknesses, the momentum distributions at PF4 and MF6 exhibit similarity, reducing the yields from PF4 to MF4 by only 2.6% and 4.5% to MF6. In subsequent analyses, MF6 was used as the experimental terminal. Utilizing a thick target significantly reduces the transmission efficiency, as shown by the transmission efficiency curve in Fig. 2 (c). The transmission efficiency decreased from 92% at 0.21λ to 38% at 3.10λ. The impact of spectrometer acceptance on the final yield is illustrated in Fig. 2 (c). The optimized target thickness with the HIRIBL transmission is slightly reduced from 3.33λ to 1.76λ, and the maximum yield decreases to 45% of the peak value obtained after the reaction target. However, using a thick target enhances the daily yield of 34Ne by more than a factor of 30 compared with the case involving only single-step reactions. Moreover, utilizing a Ni projectile beam at the same beam intensity can enhance the 34Ne yield rate by more than a factor of 130, as indicated in Fig. 3.

Finally, Fig. 3 summarizes the optimized production rates and the enhancement factor in producing the most neutron-rich isotopes between oxygen and chlorine using HIRIBL. The neutron drip lines predicted by the WS4 [1] and UNEDF1 [36] mass models are shown for comparison. The enhancement factor is the ratio between the production rates calculated with multi-step fragmentation and those calculated with only the single-step process. The projectile beam of 64Ni is assumed to be at 1500 MeV/nucleon and has an intensity of 3×1011 ppp. Each isotope was calculated to achieve the best production rate by optimizing the target thickness and transmission in the HIRIBL. Compared to single-step reactions alone, an increase of more than two orders of magnitude in the yields of the most exotic nuclei can typically be achieved. For example, the expected daily event rate of 45Si increases from 1.28×10-3 to approximately 1.69. Other projectile nuclei such as 82Se may help achieve even higher yields [37]. These enhancements provide new possibilities for locating the drip line above sodium, and thus significantly expanding the research horizon.
Conclusion
In summary, the multi-step fragmentation of relativistic ions occurring in a thick target can significantly enhance the yields of neutron drip line nuclei, effectively compensating for their low production cross section. This enhancement is a robust feature that is independent of the reaction model. The fragment separator HIRIBL is expected to be commissioned this year, and a proof-of-principle run will be planned during the first experimental run, which can be coupled naturally with charge-changing reaction studies [38-40]. When coupled with the fragment separator HIRIBL, the production rates can be boosted by several orders of magnitude. Employing a higher-acceptance separator will further highlight such improvements. Thus, the multi-step fragmentation processes open new avenues for searching for new isotopes at the edge of nuclear stability and exploring novel structures and phenomena in extremely neutron-rich nuclei.
Enhancing production rates is expected to be more effective at higher projectile energies, which will be available at HIAF and FAIR facilities. Although we have restricted the discussion to multi-step fragmentation, one can naturally extend the study to other combinations of reactions, such as, projectile fission followed by multi-step fragmentation. Different combinations of multi-step processes can help increase specific isotope rates. We would also like to note that the effect of multi-step fragmentation is present at energies below GeV/nucleon, albeit with reduced efficacy.
Surface diffuseness correction in global mass formula
. Phys. Lett. B 734, 215 (2014). https://doi.org/10.1016/j.physletb.2014.05.049The limits of the nuclear landscape explored by the relativistic continuum Hartree–Bogoliubov theory
. Atomic Data and Nuclear Data Tables 121-122, 1 (2018). https://doi.org/10.1016/j.adt.2017.09.001Quantified limits of the nuclear landscape
. Phys. Rev. C 101,The NUBASE2020 evaluation of nuclear physics properties
. Chin. Phys. C 45,Location of the Neutron Dripline at Fluorine and Neon
. Phys. Rev. Lett. 123,Physics of exotic nuclei
. Nature Reviews Physics 7, 21 (2025). https://doi.org/10.1038/s42254-024-00782-5Secondary Exotic Nuclear Beams
. Annual Review of Nuclear and Particle Science 45, 163 (1995). https://doi.org/10.1146/annurev.ns.45.120195.001115Nuclear fragments in projectile fragmentation reactions
. Progress in Particle and Nuclear Physics 121,Exotic nuclei explored at in-flight separators
. Progress in Particle and Nuclear Physics 97, 53 (2017). https://doi.org/10.1016/j.ppnp.2017.05.001Identification of New Neutron-Rich Isotopes in the Rare-Earth Region Produced by 345 MeV/nucleon 238 U
. J. Phys. Soc. Jpn. 97,Production of neutron-rich nuclei in fragmentation reactions of 132Sn projectiles at relativistic energies
. Phys. Lett. B. 703, 552 (2011). https://doi.org/10.1016/j.physletb.2011.08.037Production of neutron-rich nuclei in the vicinity of 78Ni: Fragmentation reactions of unstable 81Ga and 82Ge beams
. Phys. Lett. B. 858,The Beijing ISOL initial conceptual design report
. Nucl. Instrum. Meth. Phys. Res. B 317, 257 (2013). https://doi.org/10.1016/j.nimb.2013.07.059Single-proton removal reaction in the IQMD+GEMINI model benchmarked by elemental fragmentation cross sections of 29-33Si on carbon at ∼230 MeV/nucleon
. Phys. Lett. B. 859,Isospin-dependence of the charge-changing cross-section shaped by the charged-particle evaporation process
. Phys. Lett. B 847,Full realization of the RIBLL2 separator at the HIRFL-CSR facility
. Science Bulletin 70, 1026 (2025). https://doi.org/10.1016/j.scib.2025.01.020Status of the high-intensity heavy-ion accelerator facility in China
. AAPPS Bulletin 32, 1 (2022). https://doi.org/10.1007/s43673-022-00064-1Modified empirical parametrization of fragmentation cross sections
. Phys. Rev. C 61,Improved empirical parametrization of fragmentation cross sections
. Phys. Rev. C 86,Improved empirical parameterization for projectile fragmentation cross sections
. Phys. Rev. C 95,Predictions from several models for the cross sections of light neutron-rich isotopes by Qg systematics in 40Ar projectile-fragmentation reactions
. Phys. Rev. C 111,Multiple-models predictions for drip line nuclides in projectile fragmentation of 40,48Ca, 58,64Ni, and 78,86Kr at 140 MeV/u
. Nucl. Sci. Tech 33, 155 (2022). https://doi.org/10.1007/s41365-022-01137-4Precise machine learning models for fragment production in projectile fragmentation reactions using Bayesian neural networks
. Chin. Phys. C 46,Odd-even effect in heavy-ion collisions at intermediate energies Phys
. Rev. C 83,New measurement of the elemental fragmentation cross sections of 218 MeV/nucleon 28Si on a carbon target
. Phys. Rev. C 107,Yield calculations for a facility for short-lived nuclear beams
. Nucl. Instrum. Meth. Phys. Res. A 492, 57 (2002). https://doi.org/10.1016/S0168-9002(02)01352-9Secondary Reactions in Relativistic Fragmentation of Nuclei
. Acta Physica Polonica B 56, 1 (2025). https://doi.org/10.5506/APhysPolB.56.1-A3The program LISE: a simulation of fragment separators
. Nucl. Instrum. Meth. Phys. Res. A 482, 307 (2002). https://doi.org/10.1016/S0168-9002(01)01504-2LISE++: Radioactive beam production with in-flight separators
. Nucl. Instrum. Meth. Phys. Res. B 266, 4657 (2008). https://doi.org/10.1016/j.nimb.2008.05.110Production cross section measurements of radioactive isotopes by BigRIPS separator at RIKEN RI Beam Factory
. Nucl. Instrum. Meth. Phys. Res. B 317, 756 (2013). https://doi.org/10.1016/j.nimb.2013.08.049Energy-loss straggling of (200–1000) MeV/u uranium ions
. Nucl. Instrum. Meth. Phys. Res. B 193, 1 (2002). https://doi.org/10.1016/S0168-583X(02)00718-8ATIMA web site
, https://web-docs.gsi.de/weick/atima/.AccessedStatistical models of fragmentation processes
. Phys. Lett. B 53, 306 (1974). https://doi.org/10.1016/0370-2693(74)90388-8Ion-optical design of high energy fragment separator (HFRS) at HIAF
. Nucl. Instrum. Meth. Phys. Res. B 469, 1 (2020). https://doi.org/10.1016/j.nimb.2020.02.026Ion-optical updates and performance analysis of High energy FRagment Separator (HFRS) at HIAF
. Nucl. Instrum. Meth. Phys. Res. B 547,Nuclear energy density optimization: Large deformations
. Phys. Rev. C 85,Charge-changing cross section measurements of 300 MeV/nucleon 28Si on carbon and data analysis
. Chin. Phys. C 47,A new approach for deducing rms proton radii from charge-changing reactions of neutron-rich nuclei and the reaction-target dependence
. Science Bulletin 69, 1647 (2024). https://doi.org/10.1016/j.scib.2024.03.051Charge pickup reaction cross section for neutron-rich p-shell isotopes at 900A MeV
. Phys. Rev. X (2025) (Accepted). https://doi.org/10.1103/k9tj-jq8sThe authors declare that they have no competing interests.

