Introduction
Large-angle deflection of high-current, ultra-short electron bunches is essential for achieving higher luminosity and enhanced photon brightness in recirculating linacs and X-ray free-electron lasers [1-7]. However, maintaining bunch quality during deflection is of paramount importance. Coherent synchrotron radiation (CSR) during deflection can severely degrade bunch quality, especially when charged particles traverse a curved trajectory. In this process, the bunch emits coherent radiation that interacts with the constituent particles, significantly impacting their dynamics and, as a result, affecting overall beam quality and performance.
When a relativistic bunch traverses a dipole magnet, CSR is generated if the bunch length is comparable to the radiation wavelength. This radiation induces energy modulation between the bunch head and tail, resulting in distortion of the longitudinal phase space. Additionally, the coupling between transverse and longitudinal directions can lead to degradation of transverse bunch quality [8, 9].
Methods for suppressing the CSR effect in compressed multi-bend structures have been extensively studied. The research focuses on achieving both CSR suppression and bunch length compression in compressors [10-16]. Unlike the optimization objective of the compressor, non-compressed multi-bend structures need to maintain the longitudinal profile of bunches while suppressing the CSR effect. Since non-compressed multi-bend structures are often used to bend high-intensity bunches, the intensity of the CSR effect in the isochronous arc region, under the same bending angle, is greater than in the compressor. This can lead to degradation of bunch length, micro-bunching structure, and other properties [17-20].
The triple-bend achromat (TBA) is a relatively simple structure that can adjust the R56, and it is commonly used for beam transport and deflection where preservation of the longitudinal profile is required. Research has also shown that, under certain special designs, the TBA structure can deflect high-brightness bunches while suppressing the CSR effect. The beam envelope matching method minimizes projected emittance growth through Twiss function adjustment, while the R-matrix method analyzes CSR effects in achromatic cells and aligns the undisturbed beam distribution in the transverse phase space [21, 22]. The R-matrix method was modified in [23] with the objective of analyzing the horizontal displacement caused by CSR in one dipole magnet, which is called the kick-point method. The C-S formalism analysis [11] was also modified and combined with the kick-point method to effectively reduce the transverse emittance growth caused by the CSR effect. Using the kick-point method, Huang derived the general conditions for eliminating CSR effects in a single TBA cell and obtained a set of numerical solutions that could be applied in TBA design [24-26]. Another set of numerical solutions was demonstrated [27, 28], which not only suppressed CSR effects but also achieved optical stability, enabling the serial connection of multiple cells to increase the deflection angle. Moreover, longitudinal control such as R56 and T566 were applied to maintain the longitudinal profile of the bunch after a 60° deflection, effectively suppressing the gain of microbunching instability (MBI). The integral method achieves CSR suppression through minimizing the integrated
In this study, two methods were employed to optimize a beamline for large-angle deflection to mitigate the effects of CSR. The first method builds on the work in [29, 30]. Our enhanced integral optimization method eliminates the small-angle approximation, enabling accurate CSR suppression even at larger deflection angles. This approach significantly simplifies numerical optimization processes and extends its applicability to various complex lattice designs. The second approach, our optimized I-matrix method, systematically cancels both steady-state (SS CSR) and transient CSR (TR CSR) kicks through precise matrix conditions and second-order dispersion optimization. The beamline based on this method effectively suppresses residual CSR kicks and preserves beam quality even after multiple deflection cells, making it particularly suitable for large-angle deflection beamlines. In Sect. 2, the physics model of emittance degradation caused by CSR is introduced, and we further simplify the integral method. In Sect. 3, a single TBA cell is studied to meet multiple requirements, and a multi-objective optimization algorithm (MOGA) is combined with the integral method to design an isochronous TBA structure. In Sect. 4, the I-matrix method is used to design a double TBA cell, with further optimizations enabling the bunch to be deflected at a larger angle. Additionally, a brief discussion of the SXFEL upgrade plan and preliminary experimental results is provided. Sect. 5 concludes the study.
Theory analysis for emittance degradation caused by CSR
The effect of CSR on bunches is often investigated using a 1D projected model that neglects vertical influences and considers only longitudinal interactions. Within this approximation, the CSR effect depends exclusively on the natural coordinates s and the longitudinal coordinate of particle z. As the particles are deflected in a beam transport line, the transverse displacements x and x’ of the observation point sf along the beam line can be expressed as:_2026_03/1001-8042-2026-03-50/alternativeImage/1001-8042-2026-03-50-M001.png)
_2026_03/1001-8042-2026-03-50/alternativeImage/1001-8042-2026-03-50-M002.png)
_2026_03/1001-8042-2026-03-50/alternativeImage/1001-8042-2026-03-50-M003.png)
_2026_03/1001-8042-2026-03-50/alternativeImage/1001-8042-2026-03-50-M004.png)
_2026_03/1001-8042-2026-03-50/alternativeImage/1001-8042-2026-03-50-M005.png)
_2026_03/1001-8042-2026-03-50/alternativeImage/1001-8042-2026-03-50-M006.png)
_2026_03/1001-8042-2026-03-50/alternativeImage/1001-8042-2026-03-50-M007.png)
CSR effects in single Isochronous TBA cells with periodic optics function
In this study, we focused on the isochronous TBA cells. And the following conditions need to be met to completely eliminate the SS CSR kick in a single TBA cell: 1) and 2): isochronous and achromatic, 3) and 4) I1 and I2 equal to zero, 5)
| Parameters | Gaussian bunch | SXFEL bunch |
|---|---|---|
| Bunch length (μm) | 30 | 57 |
| Beam energy (MeV) | 1500 | 1500 |
| Normalized emittance (μm rad) | 1 | 1.19 |
| Bunch charge (pC) | 500 | 500 |
| Relative rms energy spread (%) | 0.05 | 0.06 |
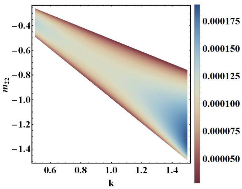
The asymptotic solution must lie within the optically stable region of the isochronous TBA structure. By combining the achromatic, isochronous, and symplectic conditions of the transfer matrix, it is known that for any given k, the two optical stability regions of the isochronous TBA structure are denoted as regions S1 and S2 in Fig. 1. The S1 region is defined within the interval
_2026_03/1001-8042-2026-03-50/alternativeImage/1001-8042-2026-03-50-F001.jpg)
_2026_03/1001-8042-2026-03-50/alternativeImage/1001-8042-2026-03-50-F002.jpg)
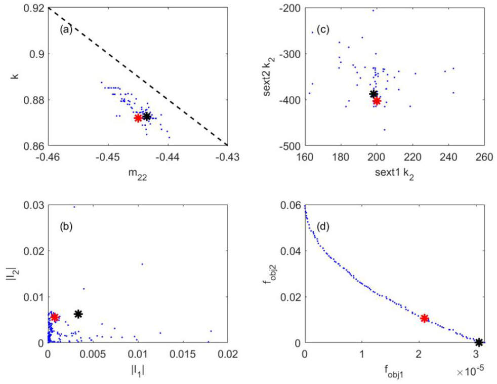
In the optimization process, a set of 12 variables is used. These include three quadrupole magnet strengths (ranging from [-10, 10]), two sextupole magnet strengths (ranging from [-500, 500]), one angular ratio k (between the middle and side bends (ranging from [0.2, 2]), and six drift lengths between magnetic elements (each ranging from [0.1, 2]). The optimization is formulated as a multi-objective problem with two goals:_2026_03/1001-8042-2026-03-50/alternativeImage/1001-8042-2026-03-50-M008.png)
_2026_03/1001-8042-2026-03-50/alternativeImage/1001-8042-2026-03-50-F003.jpg)
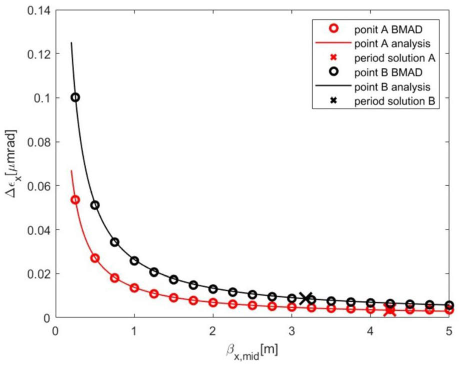
To thoroughly evaluate the suppression capability of SS CSR in Case A (point A) and Case B (point B), we altered the beta function at the midpoint of the TBA under the condition
_2026_03/1001-8042-2026-03-50/alternativeImage/1001-8042-2026-03-50-F004.jpg)
In the simulation work, to better reflect realistic beam dynamics, the effects of TR CSR from components upstream and downstream of the bend were also taken into account. The default order of magnetic elements was set to three. Simulation results for a single TBA cell are summarized in Table 2. As the bunch propagates through a TBA cell, the variation in bunch length for both bunch profiles remains below 0.1%. When only SS CSR is considered, the emittance growth is limited to less than 1%, which is in good agreement with the theoretical predictions from Eq. (5). However, when TR CSR is included, the emittance increases by approximately 3% compared to simulations neglecting CSR effects.
| Parameters | |
|
|
|---|---|---|---|
| Gaussian bunch | 0 | 0.87 | 2.6 |
| SXFEL bunch | 0.02 | 0.83 | 3.4 |
In the simulation of the multi-cell TBA structure, six TBA cells were connected in series to achieve a total deflection angle of 90°. In this section, the values of I1 and I2 at the exit of each cell were computed and compared with the results from SS CSR simulations. In the multi-cell configuration, emittance variation is influenced not only by
_2026_03/1001-8042-2026-03-50/alternativeImage/1001-8042-2026-03-50-F005.jpg)
_2026_03/1001-8042-2026-03-50/alternativeImage/1001-8042-2026-03-50-F006.jpg)
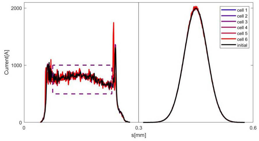
For the Gaussian bunch, the longitudinal profile remained well-preserved throughout the bunch range. At the exit of the sixth TBA cell, there was no significant deviation from the initial bunch profile, as shown by the red and black lines in the right panel of Fig. 6. For the SXFEL bunch, the longitudinal profile in the core region (highlighted within the purple box in the left panel of Fig. 6) was well-maintained. However, degradation in bunch quality was primarily observed at the sides of the bunch. As indicated by the black curve in the left image of Fig. 6, the slices at the edges of the bunch exhibited higher current intensity and steeper gradients in current strength. In practical applications, the core region of the bunch is typically of primary interest. Therefore, the impact of CSR effects on the longitudinal profile of the bunch can be considered negligible within a limited number of cells. For small-angle deflections, the single TBA structure used in this study effectively mitigates beam quality degradation. Compared to the two-cell configuration discussed in Sect. D, the single TBA cell is more practical due to its simpler structure and fewer magnets. However, as the number of cells increased, the projected emittance exhibited a noticeable rise for both bunch types. This increase can be attributed to the neglected CSR effects during the sequence drift and at the entrance of the bends in the design phase. Previous studies have shown that completely canceling CSR effects in the sequence drift of TBA cells is impossible [36].
CSR effects in double Isochronous TBA cells with periodic optics function
For a single isochronous TBA cell, the complete elimination of SS CSR effects remains a challenge. As outlined in Sect. 3, an optimal working point is determined that strikes a balance between suppressing CSR effects and preserving the longitudinal bunch profile. Although the design and optimization process considers only the SS CSR kick, the TBA configuration presented in Sect. 3 proves highly effective in mitigating CSR kick, both in theoretical analysis and simulations. However, as the number of cascaded cells increases, the quality of the bunch progressively degrades. This degradation is primarily due to the cumulative impact of TR CSR effects throughout the beam transport process. Similar to Eq. (5) for SS CSR, the TR CSR kick, in combination with the Twiss functions, contributes to a significant increase in emittance. Consequently, to achieve larger deflection angles while preserving beam quality, it becomes crucial to simultaneously suppress both TR and SS CSR effects.
A -I matrix between bends with identical deflection directions (while an I matrix for bends with opposite deflection directions) is a common approach to suppress SS CSR kicks: For any points sA and sB in bends A and B, the _2026_03/1001-8042-2026-03-50/alternativeImage/1001-8042-2026-03-50-M009.png)
_2026_03/1001-8042-2026-03-50/alternativeImage/1001-8042-2026-03-50-M010.png)
_2026_03/1001-8042-2026-03-50/alternativeImage/1001-8042-2026-03-50-M011.png)
_2026_03/1001-8042-2026-03-50/alternativeImage/1001-8042-2026-03-50-M012.png)
Based on the I matrix method, a large-angle deflection beamline was designed, with a focus on investigating the CSR effects on high-peak-current bunches. A detailed overview of this design is provided in Sect. D. As the bending angles within the TBA cell increase, the local R56 becomes more significant, which invalidates the rigid beam approximation. This leads to substantial and unpredictable growth in the CSR kick. To maintain the validity of the rigid beam approximation, the number of TBA cells in series should be increased proportionally with the bending angle. Additionally, when two double TBA cells with a -I matrix are connected in series, inserting an I matrix between them further enhances the suppression of the CSR kick at the exit of the beamline.
Figure 7 illustrates a simple model for CSR kick error cancellation achieved through an I matrix. While the Double TBA cell theoretically suppresses CSR effects, higher-order dispersion and local bunch length variations result in residual non-zero values of xcsr and
_2026_03/1001-8042-2026-03-50/alternativeImage/1001-8042-2026-03-50-F007.jpg)
Figure 8 presents the simulation results for both cases, with the bunch parameters provided in Table 1. The I matrix configuration results in smaller displacements, which helps preserve the bunch quality. Conversely, for the double TBA cell described in Sect. D, implementing a -I matrix between two double TBA cells effectively reduces these displacements.
_2026_03/1001-8042-2026-03-50/alternativeImage/1001-8042-2026-03-50-F008.jpg)
Furthermore, to achieve larger deflection angles while suppressing CSR-induced emittance and maintaining the longitudinal profile, the second-order matrix cannot be neglected. Similar to _2026_03/1001-8042-2026-03-50/alternativeImage/1001-8042-2026-03-50-M013.png)
_2026_03/1001-8042-2026-03-50/alternativeImage/1001-8042-2026-03-50-M014.png)
_2026_03/1001-8042-2026-03-50/alternativeImage/1001-8042-2026-03-50-M015.png)
_2026_03/1001-8042-2026-03-50/alternativeImage/1001-8042-2026-03-50-M016.png)
From a practical implementation perspective, extremely small initial β functions impose stringent requirements on upstream focusing conditions. To address this, we adopt βps>1 in the current design work, with particular emphasis on mitigating the CSR kick effects in the x’-axis. While the calculation of
_2026_03/1001-8042-2026-03-50/alternativeImage/1001-8042-2026-03-50-F009.jpg)
_2026_03/1001-8042-2026-03-50/alternativeImage/1001-8042-2026-03-50-F010.jpg)
_2026_03/1001-8042-2026-03-50/alternativeImage/1001-8042-2026-03-50-F011.jpg)
Conclusion
This study introduces two enhanced methods for CSR suppression in isochronous structures, addressing the challenges associated with high-peak-current bunch transport through bending systems.
For single TBA cells, the re-lat design facilitates an effective evaluation of SS CSR effects without relying on small-angle approximations. This approach preserves excellent transverse beam quality and longitudinal profiles, even under the combined SS and TR CSR effects, proving particularly effective for small bending angles. Furthermore, the re-lat optimization method directly determines CSR kicks through accelerator simulations, eliminating the need for additional calculations. This streamlined process not only enhances the efficiency of the design phase but also extends its applicability to more complex structures, such as Multi-Bend Achromats (MBA).
The -I matrix method has been further enhanced through two key improvements: implementing an I matrix between cells and optimizing the higher-order term T216 to effectively reduce CSR-induced displacements in the horizontal phase space. This enhanced approach theoretically suppresses both SS and TR CSR effects. For large bending angles, the -I matrix method shows exceptional preservation of bunch quality. Our study demonstrates that combining these improvements allows a configuration of six double TBA cells to achieve a 180-degree deflection while maintaining both transverse emittance and longitudinal profiles for bunches with varying longitudinal distributions. Experimental validation of CSR suppression using the I matrix method is currently underway at SXFEL, with further research planned for future development.
Status of the SXFEL Facility
. Appl. Sci. 7, 607 (2017). https://doi.org/10.3390/app7060607CBETA: first multipass superconducting linear accelerator with energy recovery
. Phys. Rev. Lett. 125,Bridging the gap of storage ring light sources and linac-driven free-electron lasers
. Phys. Rev. Accel. Beams 24,Recirculating linac free-electron laser driver
. Phys. Rev. ST Accel. Beams 14,Energy recovery linac based fully coherent light source
. Sci. Rep. 11, 23875 (2021). https://doi.org/10.1038/s41598-021-03354-0Inhibition of current-spike formation based on longitudinal phase space manipulation for high-repetition-rate X-ray FEL
. Nucl. Instrum. Meth. Phys. Res. Sect. A 1026,High-power EUV free-electron laser for future lithography
. Jap. J. Appl. Phys. 62,Observation of coherent synchrotron radiation
. Phys. Rev. Lett. 63, 1245 (1989). https://doi.org/10.1103/PhysRevLett.63.1245Compensating effect of the coherent synchrotron radiation in bunch compressors
. Phys. Rev. ST Accel. Beams 16,Cancellation of coherent synchrotron radiation kicks with optics balance
. Phys. Rev. Lett. 110,Compact compressive arc and beam switchyard for energy recovery linac-driven ultraviolet free electron lasers
. Phys. Rev. Accel. Beams 20,Novel bunch compressor chicane: The five-bend chicane
. Phys. Rev. Accel. Beams 25,Feasibility study of a periodic arc compressor in the presence of coherent synchrotron radiation
. Nucl. Instrum. Meth. Phys. Res. Sect. A 806, 184-192 (2016). https://doi.org/10.1016/j.nima.2015.10.015Feasibility analysis of emittance preservation during bunch compression in the presence of coherent synchrotron radiation in an arc
, in 8th Int. Particle Accelerator Conf.(IPAC’17), Copenhagen, Denmark, 14–19 May, 2017.Suppression of the coherent synchrotron radiation induced emittance growth in a double-bend achromat with bunch compression
. Phys. Rev. Accel. Beams 26,Beam instability and microbunching due to coherent synchrotron radiation. PACS2001
. in Proceedings of the 2001 Particle Accelerator Conference (Cat. No.01CH37268),Conditions for coherent-synchrotron-radiation-induced microbunching suppression in multibend beam transport or recirculation arcs
. Phys. Rev. Accel. Beams 20,An alternative view of coherent synchrotron radiation induced microbunching development in multibend recirculation arcs
. Nucl. Instrum. Meth. Phys. Res. Sect. A 943,A first-order matrix approach to the analysis of electron beam emittance growth caused by coherent synchrotron radiation
. Jap. J. Appl. Phys. 42, L974 (2003). https://doi.org/10.1143/JJAP.42.L974An analysis of the coherent synchrotron radiation effect in an energy-recovery linac by first-order transfer matrix
. in the 14th Symposium on Accelerator Science and Technology,Generic conditions for suppressing the coherent synchrotron radiation induced emittance growth in a two-dipole achromat
. Phys. Rev. ST Accel. Beams 17,Minmization of the emittance growth induced by coherent synchrotron radiation in arc compressor
. in Proceedings of the 37th International Free Electron Laser Conference, FEL 2015,Suppression of the emittance growth induced by coherent synchrotron radiation in triple-bend achromats
. Chinese Physics C 39,Suppression of the CSR emittance in a single achromatic cell
. in Proceedings, 12th Symposium on Accelerator Physics (SAP 2014):Quasi-isochronous triple-bend achromat with periodic stable optics and negligible coherent-synchrotron-radiation effects
. Phys. Rev. Accel. Beams 24,Optimization of a TBA with stable optics and minimal longitudinal dispersion and CSR-induced emittance growth
. in 12th International Particle Accelerator Conference (IPAC’21), Campinas, SP, Brazil, 24-28 May 2021.Design of a triple-bend isochronous achromat with minimum coherent-synchrotron-radiation-induced emittance growth
. Phys. Rev. Acceler. Beams 19,Emittance dilution through coherent energy spread generation in bending systems
. in Proceedings of the 1997 Particle Accelerator Conference (Cat. No. 97CH36167).Reference point based multi-objective optimization using evolutionary algorithms
. in Proceedings of the 8th annual conference on Genetic and evolutionary computation. 2006. https://doi.org/10.1145/1143997.1144112Bmad: A relativistic charged particle simulation library
. Nucl. Instrum. Meth. Phys. Res. Sect. A 558, 356-359 (2006). https://doi.org/10.1016/j.nima.2005.11.001Elegant: A flexible SDDS-compliant code for accelerator simulation
. in 6th International Computational Accelerator Physics Conference (ICAP 2000),Shanghai soft X-ray free electron laser test facility
. Acta Optica Sinica 41,The SXFEL upgrade: from test facility to user facility
. Appl. Sci. 12, 176 (2021). https://doi.org/10.3390/app12010176Suppression of coherent synchrotron radiation-induced emittance growth in a multi-bend deflection line
. arXiv:2405.05585 (2024).CSR wake for a short magnet in ultrarelativistic limit
. Particle accelerator. in Proceedings, 8th European Conference, EPAC 2002,On the coherent radiation of an electron bunch moving in an arc of a circle
. Nucl. Instrum. Meth. Phys. Res. Sect. A 398, 373-394 (1997). https://doi.org/10.1016/S0168-9002(97)00822-XHai-Xiao Deng is an editorial board member for Nuclear Science and Techniques and was not involved in the editorial review, or the decision to publish this article. All authors declare that there are no competing interests.

