Introduction
Ultra-relativistic heavy-ion collisions at the Relativistic Heavy Ion Collider (RHIC) and the Large Hadron Collider (LHC) are believed to have created a new state of matter known as the Quark-Gluon Plasma (QGP)[1-14]. In these extreme environments, heavy quark systems serve as sensitive probes, enabling the investigation of QGP properties and the underlying strong interaction dynamics governed by Quantum Chromodynamics (QCD)[15-21]. Heavy quark-antiquark pairs form bound states through strong interactions mediated by gluons. It has been pointed out that owing to the formation of the hot and dense QGP medium [22], these pairs have a maximum dissociation distance, beyond which the pair becomes unstable and separates. The interquark potential governs the formation and stability of these bound states. As the temperature and density intensify, the medium’s color screening effect weakens the binding potential between heavy quarks, prompting dissociation – a hallmark phenomenon signifying the transition from confinement to deconfinement. Hence, exploring the in-medium heavy quark potential has emerged as a pivotal endeavor for deepening our understanding of hadronic structure and shedding light on the fundamental nature of QCD matter. Furthermore, the concept of the holographic potential for heavy quark-antiquark pairs was systematically introduced for the first time in [23], providing a theoretical foundation for investigating the structure of hadrons and the dynamics of QCD [17, 18, 24-47].
Heavy-ion collisions thus provide a unique and powerful experimental setting for probing QCD matter under extreme conditions. However, fully interpreting these experiments through lattice QCD simulations at finite chemical potentials is hindered by the fermion sign problem [48, 49], which severely limits numerical calculations in regions of high density. Although several innovative methodologies [50-61] have been developed to circumvent this obstacle, a complete and rigorous first-principles theoretical description of strongly coupled QCD matter under experimental conditions remains elusive. Consequently, complementary theoretical frameworks, particularly holographic QCD approaches inspired by the gauge/gravity duality from string theory, have gained prominence. Presently, the "top-down" approach is centered on constructing a realistic holographic QCD theory derived from string theory [62-66], whereas the “bottom-up” approach prioritizes the development of holographic model [67-73] informed by experimental observations and lattice QCD data. For instance, the incorporation of black hole configurations in five-dimensional space-time to elucidate boundary phenomena at finite temperatures, along with the exploration of broader theoretical frameworks, constitutes pivotal research directions in this field [34, 38, 74-79].
Within the framework of holographic theory, the dissociation of heavy quark bound states in QGP medium have been extensively studied [80, 81]. These heavy quark bound states can be geometrically represented by open strings [82, 83] whose endpoints correspond to a heavy quark and antiquark pair located at the spacetime boundary, separated by an interquark distance L. In such models, the thermodynamics of QCD matter at finite temperature is mapped onto a five-dimensional black hole geometry, where the gravitational attraction of the black hole horizon dynamically captures the medium-induced effects experienced by the heavy quark-antiquark string. The string serves as a geometric representation of a bound state in QCD within the holographic framework. Initially, the string remains static at the boundary. However, influenced by the gravitational effects of the background spacetime metric, the string is gradually drawn towards the black hole’s event horizon. This dynamic evolution of the string captures the microscopic mechanisms underlying the quark pair dissociation. As the string approaches the horizon, the system achieves equilibrium, and the binding energy of the string diminishes to a critical value, resulting in the dissociation of the quark-antiquark pair. The timescale associated with this process, known as dissociation time of the quark-antiquark pair, is a critical parameter in the study of quarkonium suppression and provides a key indicator of the non-equilibrium properties of strongly interacting media under extreme conditions. This timescale provides essential theoretical insights into the formation and evolution of the QGP. Moreover, examining the variations in the dissociation time not only helps elucidate the strongly coupled dynamics of QCD but also explains the experimentally observed suppression of heavy quarkonium states. Such analyses significantly enhance our understanding of matter under extreme conditions in high-energy nuclear physics.
Based on the holographic QCD models described in prior works [84-86], the main research objective of this study is to analyze the impact of varying temperature and chemical potential on the thermodynamic properties of heavy quarkonium in a 2+1 flavor system. The remainder of this paper is organized as follows: Section 2 provides a brief review of the holographic model that incorporates information about the QCD phase transition. In Sect. 3, we analyze the dissociation distance, potential energy, entropy, entropy force, binding energy, and internal energy of the heavy quark-antiquark pair under different temperature and chemical potential conditions. Section 4 examines the effects of temperature and chemical potential on the thermodynamic properties of a single quark. Finally, Sect. 5 summarizes the research findings and presents the concluding remarks.
The Setup
This section provides an overview of the Einstein-Maxwell-dilaton (EMD) model. Within the context of the string frame, the action for the EMD model reads [17, 18, 42, 44, 46, 84, 85, 87-90]_2026_04/1001-8042-2026-04-68/alternativeImage/1001-8042-2026-04-68-M001.png)
_2026_04/1001-8042-2026-04-68/alternativeImage/1001-8042-2026-04-68-M002.png)
_2026_04/1001-8042-2026-04-68/alternativeImage/1001-8042-2026-04-68-M003.png)
_2026_04/1001-8042-2026-04-68/alternativeImage/1001-8042-2026-04-68-M004.png)
_2026_04/1001-8042-2026-04-68/alternativeImage/1001-8042-2026-04-68-M005.png)
_2026_04/1001-8042-2026-04-68/alternativeImage/1001-8042-2026-04-68-M006.png)
_2026_04/1001-8042-2026-04-68/alternativeImage/1001-8042-2026-04-68-M007.png)
_2026_04/1001-8042-2026-04-68/alternativeImage/1001-8042-2026-04-68-M008.png)
_2026_04/1001-8042-2026-04-68/alternativeImage/1001-8042-2026-04-68-M009.png)
_2026_04/1001-8042-2026-04-68/alternativeImage/1001-8042-2026-04-68-M010.png)
_2026_04/1001-8042-2026-04-68/alternativeImage/1001-8042-2026-04-68-M011.png)
_2026_04/1001-8042-2026-04-68/alternativeImage/1001-8042-2026-04-68-M012.png)
_2026_04/1001-8042-2026-04-68/alternativeImage/1001-8042-2026-04-68-M013.png)
_2026_04/1001-8042-2026-04-68/alternativeImage/1001-8042-2026-04-68-M014.png)
_2026_04/1001-8042-2026-04-68/alternativeImage/1001-8042-2026-04-68-M015.png)
_2026_04/1001-8042-2026-04-68/alternativeImage/1001-8042-2026-04-68-M016.png)
_2026_04/1001-8042-2026-04-68/alternativeImage/1001-8042-2026-04-68-M017.png)
_2026_04/1001-8042-2026-04-68/alternativeImage/1001-8042-2026-04-68-M018.png)
_2026_04/1001-8042-2026-04-68/alternativeImage/1001-8042-2026-04-68-M019.png)
_2026_04/1001-8042-2026-04-68/alternativeImage/1001-8042-2026-04-68-M020.png)
_2026_04/1001-8042-2026-04-68/alternativeImage/1001-8042-2026-04-68-M021.png)
_2026_04/1001-8042-2026-04-68/alternativeImage/1001-8042-2026-04-68-M022.png)
_2026_04/1001-8042-2026-04-68/alternativeImage/1001-8042-2026-04-68-M023.png)
_2026_04/1001-8042-2026-04-68/alternativeImage/1001-8042-2026-04-68-M024.png)
_2026_04/1001-8042-2026-04-68/alternativeImage/1001-8042-2026-04-68-M025.png)
_2026_04/1001-8042-2026-04-68/alternativeImage/1001-8042-2026-04-68-M026.png)
_2026_04/1001-8042-2026-04-68/alternativeImage/1001-8042-2026-04-68-M027.png)
_2026_04/1001-8042-2026-04-68/alternativeImage/1001-8042-2026-04-68-M028.png)
_2026_04/1001-8042-2026-04-68/alternativeImage/1001-8042-2026-04-68-M029.png)
_2026_04/1001-8042-2026-04-68/alternativeImage/1001-8042-2026-04-68-M030.png)
The entropy of the quark-antiquark pair is derived as_2026_04/1001-8042-2026-04-68/alternativeImage/1001-8042-2026-04-68-M031.png)
_2026_04/1001-8042-2026-04-68/alternativeImage/1001-8042-2026-04-68-M032.png)
_2026_04/1001-8042-2026-04-68/alternativeImage/1001-8042-2026-04-68-M033.png)
_2026_04/1001-8042-2026-04-68/alternativeImage/1001-8042-2026-04-68-M034.png)
For the 2+1 flavor system, the six parameters (a,b,c,d,k,G5) in our model are derived from Ref. [86]. In Ref. [86], we obtained the posterior parameter distribution of the EMD model through Bayesian analysis, which integrates lattice QCD data _2026_04/1001-8042-2026-04-68/alternativeImage/1001-8042-2026-04-68-M035.png)
Then, for the prior distribution
| Prior | ||
|---|---|---|
| Parameter | Min | Max |
| a | 0.110 | 0.310 |
| b | 0.005 | 0.031 |
| c | -0.280 | -0.205 |
| d | -0.240 | -0.110 |
| k | -0.910 | -0.770 |
| G5 | 0.375 | 0.430 |
For the likelihood function _2026_04/1001-8042-2026-04-68/alternativeImage/1001-8042-2026-04-68-M036.png)
| Posterior 95% CL | |||
|---|---|---|---|
| Parameter | Min | Max | MAP |
| a | 0.229 | 0.282 | 0.252 |
| b | 0.019 | 0.027 | 0.023 |
| c | -0.261 | -0.231 | -0.245 |
| d | -0.143 | -0.127 | -0.135 |
| k | -0.871 | -0.808 | -0.843 |
| G5 | 0.388 | 0.406 | 0.397 |
Thermodynamics of heavy quarkonium
In this section, we systematically investigate the thermodynamic properties of heavy quark-antiquark pairs in a 2+1 flavor system, focusing on the effects of temperature and chemical potential on these properties to elucidate their behavior within a strongly interacting medium and the mechanism underlying their transition from the confined phase to the deconfined phase. Specifically, this chapter is divided into five subsections: (A) The interquark distance of heavy quark-antiquark pairs, in which we explore how the dissociation distance varies with temperature and chemical potential, as well as its relationship with confinement effects; (B) The potential energy of heavy quark-antiquark pairs, where we analyze the composition of the potential energy and the phenomenon of its truncation under the influence of temperature and chemical potential; (C) The entropy and entropy force of heavy quark-antiquark pairs, studying the variation of entropy with temperature and chemical potential to reveal the degree of disorder within the system; (D) The binding energy of heavy quark-antiquark pairs, investigating how the binding energy changes with temperature and chemical potential and its connection to quark dissociation; (E) The internal energy of heavy quark-antiquark pairs, analyzing the variation of internal energy with temperature and chemical potential and its role in thermodynamics. Through these studies, we aim to achieve a comprehensive understanding of the thermodynamic behavior of quark-antiquark pairs in a 2+1 flavor system.
The dissociation of heavy quark-antiquark pairs
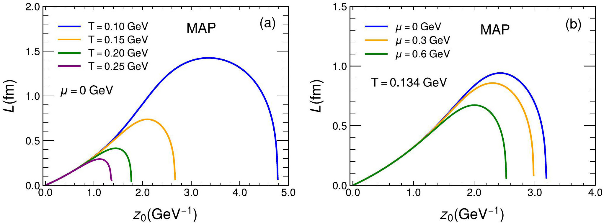
In this subsection, we investigate the behavior of the interquark distance L of heavy quark-antiquark pairs in a 2+1 flavor system as a function of the z0. Our calculated results of
_2026_04/1001-8042-2026-04-68/alternativeImage/1001-8042-2026-04-68-F001.jpg)
As illustrated in Fig. 1, it has been observed that the interquark distance L increases with z0 until it reaches a peak value known as the dissociation distance Lmax. After this maximum point, further increases in z0 lead to a decrease in the interquark distance, L. This trend suggests that the quark-antiquark pairs transition into a deconfined state, resulting in the melting of the string connecting them. Consequently, the bound state of the quark-antiquark pairs dissociates, and they eventually become free heavy quarks. This phenomenon highlights the color screening effect of the medium on these bound states, which means that partons in the medium (QGP) can “shield” the interactions between the quark and antiquark pairs, preventing their tight binding.
By analyzing the behavior of the dissociation distance, we found that as the temperature and chemical potential increased, the dissociation distance Lmax gradually became smaller. This is related to the increasing parton density in the medium with increasing temperature and chemical potential, which thereby enhances the screening effect on the heavy quark bound states. This leads to a decrease in the dissociation distance, making it easier for the quark-antiquark pairs to enter a deconfined state and transition into free quarks.
Potential energy
In this subsection, we investigate the potential energy of heavy quark-antiquark pairs, a crucial physical quantity that characterizes the interaction between quark and antiquark. Recent pNRQCD [111] studies and one-loop hard-thermal-loop (HTL) calculations [112] have shown that the heavy quark potential at finite temperatures also develops a nonvanishing imaginary part, reflecting the Laudau damping and color singlet to octet transition. In holographic models, the imaginary part of the heavy quarkonium potential was first computed in Ref. [113]. In the holographic model employed in this study, similar methods to those in Ref. [113] could also be utilized to calculate the imaginary part of the potential. We plan to address the computation of the imaginary part in a future study, as this study serves as a preliminary exploratory analysis, where we first aim to examine the real part of the potential obtained through Bayesian analysis. Subsequently, we intend to further investigate the imaginary part of the potential in follow-up work, again using Bayesian analysis combined with the EMD model. Currently, in lattice QCD, there is no definitive consensus regarding either the temperature dependence of the heavy quarkonium potential or the precise forms of its real and imaginary parts, and this issue remains under active debate. For example, Ref. [114] applied four distinct methods to compute the real and imaginary parts of the potential, and the conclusions drawn from these four methods are not entirely consistent. Although we also plan to compute the imaginary part of the potential in our future work, how to directly compare it with lattice QCD results remains an open and debated question.
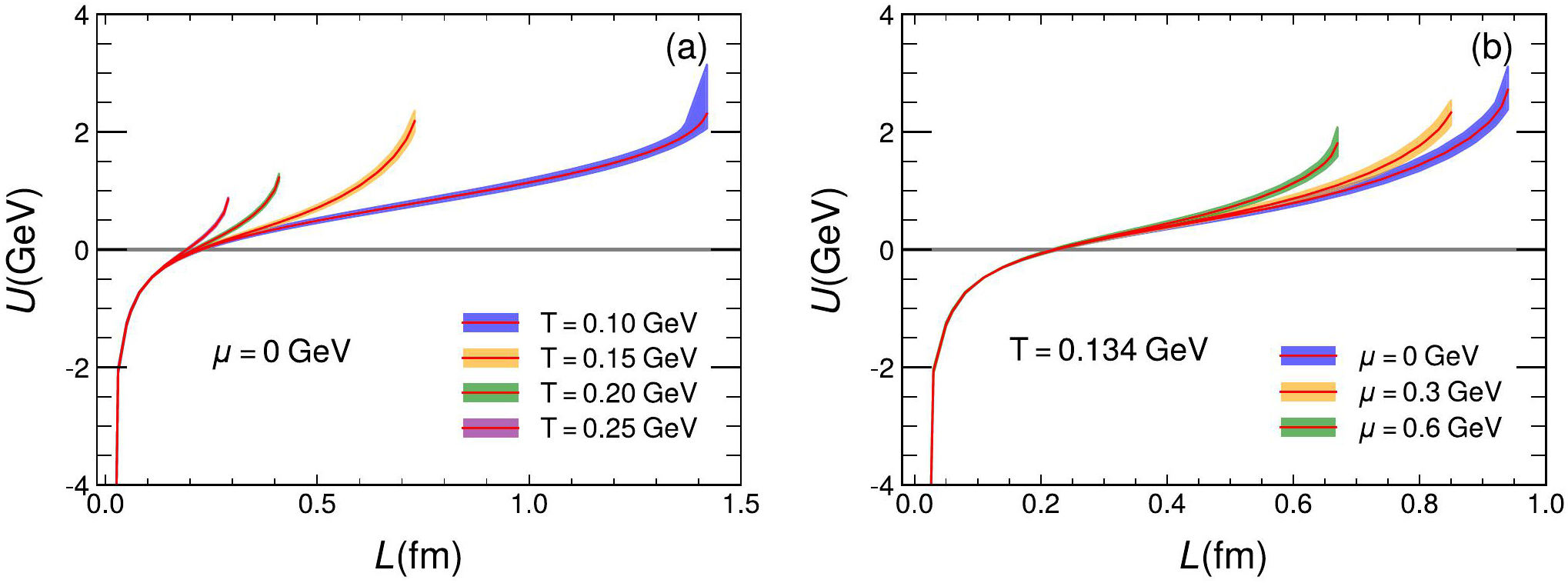
This real part of the potential energy typically consists of a short-range Coulomb potential and a long-range linear potential. At short distances, the Coulomb potential dominates, expressed as
As shown in Fig. 2, when the separation distance between quarks is very small, the potential energy is primarily influenced by the Coulomb potential, resulting in a negative value. As the quark separation distance increases, the potential energy gradually transitions to being dominated by the linear potential. In Fig. 2, We calculated the results for the 95% CL (shaded area) and the MAP (red solid line) setup, sub-figure (a) displays the calculation results of the effect of different temperatures on the potential energy with the chemical potential fixed at zero, while sub-figure (b) presents the calculation results of the effect of chemical potential on the potential energy with the temperature fixed at T=0.134 GeV. Our calculations indicate that with an increase in the system temperature and chemical potential, the linear potential component of the quark pair slightly decreases but does not show a clear color screening effect. This phenomenon may be related to the tendency for quark pairs to dissociate owing to the increased thermal energy, which reduces the length of the linear component of the potential energy. Meanwhile, the Coulomb potential component remains almost unaffected, indicating that the short-range strong interactions remain stable under higher temperatures and chemical potentials. At extremely small interquark distances (typically far smaller than characteristic medium scales, such as the Debye screening length), the interaction enters the perturbative QCD regime. Under these conditions, the strong coupling constant becomes sufficiently small [115-117], rendering the potential energy predominantly governed by the Coulomb interaction mediated through single-gluon exchange. This perturbative mechanism is intrinsically dictated by the local quark-gluon dynamics of QCD. Consequently, across the temperature and chemical potential range considered in our study, medium modifications to the potential remained negligible. As shown in Fig. 3, we compare the results from our model with the recent lattice data [118], where the data points represent the lattice results, and the colored shaded regions along with the red lines depict our model’s predictions, this comparison clearly depicts a significant resemblance between the Bayesian holographic model’s results and the lattice data for heavy quark potential.
_2026_04/1001-8042-2026-04-68/alternativeImage/1001-8042-2026-04-68-F002.jpg)
_2026_04/1001-8042-2026-04-68/alternativeImage/1001-8042-2026-04-68-F003.jpg)
In our model, when computing the potential energy as a function of L at a specific temperature or chemical potential, there exists a dissociation distance Lmax. As shown in Fig. 1, the peak value of the computed L corresponds to this dissociation distance. When L exceeds Lmax, the bound state of the heavy quarkonium dissociates and ceases to exist. At a temperature of 0.25 GeV, the dissociation distance Lmax is approximately 0.3 fm, which confines our calculated potential energy range to approximately
Entropy
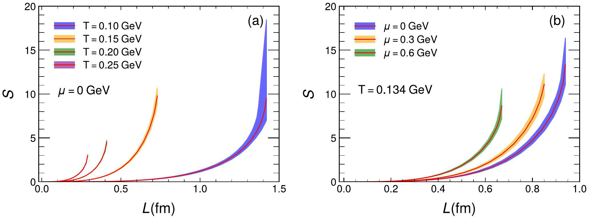
In this subsection, we systematically investigate the entropy of heavy quark anti-quark pairs, an important physical quantity used to characterize the degree of disorder in the micro-states induced by the interactions between quarks and antiquarks. Entropy not only provides crucial insights into the thermodynamic properties of the heavy quark system but also reveals the underlying mechanisms of its dynamic behavior. The specific expression for the entropy is given by Eq. (31). Furthermore, we examine how the entropy varies with the interquark distance L and analyze its behavior under different temperature and chemical potential conditions. The relevant results are presented in Fig. 4, We calculated the results for the 95% CL (shaded area) and the MAP (red solid line), subfigure (a) displays the calculation results of the effect of different temperatures on the entropy with the chemical potential fixed at zero, while subfigure (b) presents the calculation results of the effect of chemical potential on the entropy with the temperature fixed at T=0.134 GeV. Our research indicates that as the temperature and chemical potential increase, the value of the entropy also rises. This finding leads us to conclude that, in environments with higher temperature and chemical potential, the production rate of heavy quark-antiquark pairs is significantly suppressed.
_2026_04/1001-8042-2026-04-68/alternativeImage/1001-8042-2026-04-68-F004.jpg)
Under specific temperature or chemical potential conditions, an increase in the distance between quarks leads to a significant rise in entropy. This increase in entropy directly results in a larger entropy force, expressed as
_2026_04/1001-8042-2026-04-68/alternativeImage/1001-8042-2026-04-68-F005.jpg)
Binding energy
In this section, we use Eq. (32) to calculate the binding energy of heavy quark-antiquark pairs as a function of the distance L between quarks at different temperatures and chemical potentials. As shown in Fig. 6, We calculated the results for the 95% CL (shaded area) and the MAP (red solid line), subfigure (a) displays the calculation results of the effect of different temperatures on the binding energy with the chemical potential fixed at zero, while Subfigure (b) presents the calculation results of the effect of chemical potential on the binding energy with the temperature fixed at T=0.134 GeV. The binding energy increases with rising temperature and chemical potential. When L reaches the critical value Lc (where
_2026_04/1001-8042-2026-04-68/alternativeImage/1001-8042-2026-04-68-F006.jpg)
Internal energy
In this section, we employ Eq. (34) to calculate the relationship between the internal energy of heavy quark-antiquark pairs and the interquark distance L under varying temperatures and chemical potentials. As depicted in Fig. 7, We calculated the results for the 95% CL (shaded area) and the MAP (red solid line), subfigure (a) displays the calculation results of the effect of different temperatures on the internal energy with the chemical potential fixed at zero, while subfigure (b) presents the calculation results of the effect of chemical potential on the internal energy with the temperature fixed at T=0.134 GeV. The results indicate that at smaller interquark distances L, the internal energy U is negative and remains relatively unaffected by changes in temperature and chemical potential. However, at larger interquark distances L, the internal energy becomes positive and increases with rising temperature and chemical potential. According to the definition of internal energy, this behavior suggests that at short interquark distances, the internal energy is predominantly governed by the potential energy, whereas at larger distances, the entropy contributions play a significant role.
_2026_04/1001-8042-2026-04-68/alternativeImage/1001-8042-2026-04-68-F007.jpg)
Thermodynamics of single quark
In this section, we investigate the free energy of a single quark, as shown in Eq. (33), as well as the entropy and internal energy, with the following expressions:_2026_04/1001-8042-2026-04-68/alternativeImage/1001-8042-2026-04-68-M037.png)
_2026_04/1001-8042-2026-04-68/alternativeImage/1001-8042-2026-04-68-M038.png)
_2026_04/1001-8042-2026-04-68/alternativeImage/1001-8042-2026-04-68-F008.jpg)
_2026_04/1001-8042-2026-04-68/alternativeImage/1001-8042-2026-04-68-F009.jpg)
_2026_04/1001-8042-2026-04-68/alternativeImage/1001-8042-2026-04-68-F010.jpg)
Summary
In this study, we investigated the effects of temperature and chemical potential on the dissociation distance, potential energy, entropy, binding energy, and internal energy of heavy quarkonium based on a Bayesian holographic QCD model. Our study finds that an increase in temperature and chemical potential decrease the dissociation distance and suppress the heavy quark potential. When the interquark distance L is small, the effects of temperature and chemical potential on the potential energy are minimal; however, they become more pronounced when the interquark distance L is large. An increase in the temperature and chemical potential results in an increase in the entropy. Within the dissociation distance, the entropy also increases significantly with the interquark distance, leading to a larger entropic force. This larger entropy force facilitates the dissociation of heavy quark-antiquark bound states. Correspondingly, the binding energy reaches zero at smaller interquark distance L as temperature and chemical potential increase, indicating that under high temperature and high chemical potential, the binding force of heavy quark-antiquark pairs becomes weaker. The internal energy increases with rising temperature and chemical potential. At smaller interquark distance L, the internal energy is primarily dominated by potential energy, whereas at larger interquark distance L, it is dominated by TS. The effects of temperature and chemical potential on the internal energy are minimal at small quark interquark distance, but become significant at larger interquark distance.
Our results robustly demonstrate that elevated temperature and chemical potential accelerate heavy quarkonium dissociation by enhancing entropic forces and suppressing binding energy. These findings deepen our understanding of quark-gluon plasma (QGP) signatures in heavy-ion collisions and provide a framework for probing QCD matter under extreme conditions. The consistency of the single-quark free energy and entropy trends further supports the generality of our conclusions.
It should be noted that within the holographic model framework, the model parameters obtained from lattice QCD thermodynamic data at zero chemical potential can be utilized to compute the thermodynamic quantities at a finite chemical potential. In Ref. [123], using the holographic model combined with lattice QCD data for the equation of state and second-order baryon number susceptibility at zero chemical potential, the model parameters were derived (Table 1). Calculations based on these derived parameters agree with the lattice QCD data at zero chemical potential (as shown in Fig. 1). Furthermore, thermodynamic quantities calculated at finite chemical potential using these derived parameters also show good agreement with the corresponding lattice QCD data (as demonstrated in Fig. 2). This approach has been widely adopted in holographic model calculations. Our calculations were also based on this methodology.
Although our model captures the essential features of quarkonium dissociation, several limitations warrant discussion. The Bayesian framework relies on specific assumptions about the holographic dual, which may not fully capture the non-perturbative QCD effects; The chemical potential range studied here is applicable to heavy-ion collision scenarios; however, extensions to neutron star matter or other high-density systems require further exploration.
Formation of dense partonic matter in relativistic nucleus-nucleus collisions at RHIC: Experimental evaluation by the PHENIX collaboration
. Nucl. Phys. A 757, 184-283 (2005). arXiv:nucl-ex/0410003, https://doi.org/10.1016/j.nuclphysa.2005.03.086An Experimental Exploration of the QCD Phase Diagram: The Search for the Critical Point and the Onset of De-confinement
(2010). arXiv:1007.2613Properties of the QCD matter: review of selected results from the relativistic heavy ion collider beam energy scan (RHIC BES) program
. Nucl. Sci. Tech. 35, 214 (2024). https://doi.org/10.1007/s41365-024-01591-2Anisotropy flows in Pb–Pb collisions at LHC energies from parton scatterings with heavy quark trigger
. Nucl. Sci. Tech. 33, 15 (2022). https://doi.org/10.1007/s41365-022-00999-yStudy on open charm hadron production and angular correlation in high-energy nuclear collisions
. Nucl. Sci. Tech. 32, 2 (2021). https://doi.org/10.1007/s41365-020-00839-xCharm hadron azimuthal angular correlations in Au + Au collisions at sNN=200 GeV from parton scatterings
. Nucl. Sci. Tech. 30, 185 (2019). https://doi.org/10.1007/s41365-019-0706-zInfluence of α -clustering nuclear structure on the rotating collision system
. Nucl. Sci. Tech. 29, 186 (2018). https://doi.org/10.1007/s41365-018-0523-9Ω and ϕ production in Au + Au collisions at sNN=11.5 and 7.7 GeV in a dynamical quark coalescence model
. Nucl. Sci. Tech. 29, 54 (2018). https://doi.org/10.1007/s41365-018-0393-1Production of light nuclei and hypernuclei at High Intensity Accelerator Facility energy region
. Nucl. Sci. Tech. 28, 55 (2017), [Erratum: Nucl.Sci.Tech. 28, 89 (2017)]. https://doi.org/10.1007/s41365-017-0207-xBayesian inference of the magnetic field and chemical potential on holographic jet quenching in heavy-ion collisions
(2025). arXiv:2506.00340The medium-temperature dependence of jet transport coefficient in high-energy nucleus–nucleus collisions
. Nucl. Sci. Tech. 35, 125 (2024). https://doi.org/10.1007/s41365-024-01492-4High-energy nuclear physics meets machine learning
. Nucl. Sci. Tech. 34, 88 (2023). https://doi.org/10.1007/s41365-023-01233-zLow-mass vector meson production at forward rapidity in p+p and d+Au collisions at sNN=200 GeV from a multiphase transport model
. Nucl. Sci. Tech. 27, 87 (2016). https://doi.org/10.1007/s41365-016-0093-7Phase Transition Study Meets Machine Learning
. Chin. Phys. Lett. 40,String breaking by light and strange quarks in QCD
. Phys. Lett. B 793, 493-498 (2019). https://doi.org/10.1016/j.physletb.2019.05.018Phase diagram of the three-dimensional subsystem toric code
. Phys. Rev. Res. 6,Confinement-deconfinement phase transition for heavy quarks in a soft wall holographic QCD model
. JHEP 12, 161 (2015). https://doi.org/10.1007/JHEP12(2015)161Thermodynamics of heavy quarkonium in a magnetic field background
. Phys. Rev. D 102,Heavy quark potential in the quark-gluon plasma: Deep neural network meets lattice quantum chromodynamics
. Phys. Rev. D 105,ϒ production in heavy ion collisions at LHC
. Nucl. Phys. A 931, 654-658 (2014). https://doi.org/10.1016/j.nuclphysa.2014.08.104Medium effects on charmonium production at ultrarelativistic energies available at the CERN Large Hadron Collider
. Phys. Rev. C 89,J/ψ Suppression by Quark-Gluon Plasma Formation
. Phys. Lett. B 178, 416-422 (1986). https://doi.org/10.1016/0370-2693(86)91404-8Wilson loops in large N field theories
. Phys. Rev. Lett. 80, 4859-4862 (1998). https://doi.org/10.1103/PhysRevLett.80.4859Thermodynamics of heavy quarkonium in the spinning black hole background
. Phys. Rev. D 110,Heavy quarkonium spectral function in the spinning black hole background
. Eur. Phys. J. C 84, 1252 (2024). https://doi.org/10.1140/epjc/s10052-024-13628-2Heavy-quark potentials and AdS/QCD
. Phys. Rev. D 74,The Spatial String Tension, Thermal Phase Transition, and AdS/QCD
. Phys. Lett. B 645, 437-441 (2007). https://doi.org/10.1016/j.physletb.2007.01.002On Heavy-Quark Free Energies, Entropies, Polyakov Loop, and AdS/QCD
. JHEP 04, 100 (2007). https://doi.org/10.1088/1126-6708/2007/04/100Heavy quark potential and QCD beta function from a deformed AdS5 model
. Prog. Theor. Phys. Suppl. 186, 504-509 (2010). https://doi.org/10.1143/PTPS.186.504Holography, Heavy-Quark Free Energy, and the QCD Phase Diagram
. Phys. Rev. D 83,A holographic critical point
. Phys. Rev. D 83,Thermodynamics of deformed AdS5 model with a positive/negative quadratic correction in graviton-dilaton system
. JHEP 09, 041 (2011). https://doi.org/10.1007/JHEP09(2011)041Heavy quarks in the presence of higher derivative corrections from AdS/CFT
. Eur. Phys. J. C 71, 1799 (2011). https://doi.org/10.1140/epjc/s10052-011-1799-7On meson melting in the quark medium
. Nucl. Phys. B 863, 347-360 (2012). https://doi.org/10.1016/j.nuclphysb.2012.05.022A hQCD model and its phase diagram in Einstein-Maxwell-Dilaton system
. JHEP 03, 033 (2012). https://doi.org/10.1007/JHEP03(2012)033A dynamical soft-wall holographic QCD model for chiral symmetry breaking and linear confinement
. Eur. Phys. J. C 73, 2615 (2013). https://doi.org/10.1140/epjc/s10052-013-2615-3Chiral and Deconfining Phase Transitions from Holographic QCD Study
. Nucl. Phys. B 907, 187-207 (2016). https://doi.org/10.1016/j.nuclphysb.2016.04.003Heavy quark potential from deformed AdS5 models
. Nucl. Phys. A 960, 1-10 (2017). https://doi.org/10.1016/j.nuclphysa.2017.01.007Free Energy of a Heavy Quark-Antiquark Pair in a Thermal Medium from AdS/CFT
. JHEP 03, 088 (2018). https://doi.org/10.1007/JHEP03(2018)088Moving heavy quarkonium entropy, effective string tension, and the QCD phase diagram
. Phys. Rev. D 97,Holographic Anisotropic Background with Confinement-Deconfinement Phase Transition
. JHEP 05, 206 (2018). https://doi.org/10.1007/JHEP05(2018)206Criticality of QCD in a holographic QCD model with critical end point
. Chin. Phys. C 43,Anisotropic string tensions and inversely magnetic catalyzed deconfinement from a dynamical AdS/QCD model
. Phys. Lett. B 801,Quarkyonic phase from quenched dynamical holographic QCD model
. JHEP 03, 073 (2020). https://doi.org/10.1007/JHEP03(2020)073Thermodynamics of heavy quarkonium in rotating matter from holography
. Phys. Rev. D 102,Gluodynamics and deconfinement phase transition under rotation from holography
. JHEP 07, 132 (2021). https://doi.org/10.1007/JHEP07(2021)132Running coupling constant at finite chemical potential and magnetic field from holography *
. Chin. Phys. C 46,A New method to study lattice QCD at finite temperature and chemical potential
. Phys. Lett. B 534, 87-92 (2002). https://doi.org/10.1016/S0370-2693(02)01583-6Lattice QCD at finite density: An Introductory review
. Prog. Theor. Phys. 110, 615-668 (2003). https://doi.org/10.1143/PTP.110.615Potential and Restoration of Rotational Symmetry in SU(2) Lattice Gauge Theory
. Phys. Lett. B 115, 137 (1982). https://doi.org/10.1016/0370-2693(82)90813-9Wilson Loops on 32**4 Lattices and the SU(3) Potential
. Z. Phys. C 35, 369-377 (1987). https://doi.org/10.1007/BF01570774Potentials and glueballs at large beta in SU(2) pure gauge theory
. J. Phys. G 18, 1725-1736 (1992). https://doi.org/10.1088/0954-3899/18/11/005Detailed analysis of the three quark potential in SU(3) lattice QCD
. Phys. Rev. D 65,The Equation of state in lattice QCD: With physical quark masses towards the continuum limit
. JHEP 01, 089 (2006). https://doi.org/10.1088/1126-6708/2006/01/089Phases of QCD: Lattice thermodynamics and a field theoretical model
. Phys. Rev. D 73,Study of the gluon-quark-antiquark static potential in SU(3) lattice QCD
. Phys. Rev. D 77,Properties and uses of the Wilson flow in lattice QCD
. JHEP 08, 071 (2010), [Erratum: JHEP 03, 092 (2014)]. https://doi.org/10.1007/JHEP08(2010)071Chemical Potential on the Lattice
. Phys. Lett. B 125, 308-310 (1983). https://doi.org/10.1016/0370-2693(83)91290-XThree-quark potential at finite temperature and chemical potential*
. Chin. Phys. C 47,Potential and string breaking of doubly heavy baryon at finite temperature and chemical potential
. Phys. Rev. D 108,Exploring QCD matter in extreme conditions with Machine Learning
. Prog. Part. Nucl. Phys. 135,Confront Holographic QCD with Regge Trajectories
. Eur. Phys. J. C 66, 187-196 (2010). https://doi.org/10.1140/epjc/s10052-010-1239-0Holographic duals of flavored N=1 super Yang-mills: Beyond the probe approximation
. JHEP 02, 022 (2005). https://doi.org/10.1088/1126-6708/2005/02/022More on a holographic dual of QCD
. Prog. Theor. Phys. 114, 1083-1118 (2005). https://doi.org/10.1143/PTP.114.1083Low energy hadron physics in holographic QCD
. Prog. Theor. Phys. 113, 843-882 (2005). https://doi.org/10.1143/PTP.113.843Gauge/gravity dynamics for composite Higgs models and the top mass
. Phys. Rev. Lett. 126,AdS/QCD duality and the quarkonia holographic information entropy
. Phys. Lett. B 776, 78-83 (2018). https://doi.org/10.1016/j.physletb.2017.11.034Thermal dissociation of heavy mesons and configurational entropy
. Phys. Lett. B 787, 16-22 (2018). https://doi.org/10.1016/j.physletb.2018.10.036Tensor mesons, AdS/QCD and information
. Eur. Phys. J. C 80, 375 (2020). https://doi.org/10.1140/epjc/s10052-020-7978-7Logarithmic correction in the deformed AdS5 model to produce the heavy quark potential and QCD beta function
. Phys. Rev. D 83,Refining holographic models of the quark-gluon plasma
. Phys. Rev. D 110,HQCD: HIC in Holographic Approach
. Phys. Part. Nucl. 54, 924-930 (2023). https://doi.org/10.1134/S1063779623050039Hot QCD phase diagram from holographic Einstein–Maxwell–Dilaton models
. Prog. Part. Nucl. Phys. 135,Wilson-Polyakov loop at finite temperature in large N gauge theory and anti-de Sitter supergravity
. Nucl. Phys. B 527, 171-186 (1998). https://doi.org/10.1016/S0550-3213(98)00471-4Wilson loops in the large N limit at finite temperature
. Phys. Lett. B 434, 36-40 (1998). https://doi.org/10.1016/S0370-2693(98)00730-8The Heavy Quark Free Energy in QCD and in Gauge Theories with Gravity Duals
. Phys. Rev. D 82,Heavy quark potential with hyperscaling violation
. Adv. High Energy Phys. 2017,Studying the potential of QQq at finite temperature in a holographic model *
. Chin. Phys. C 46,Doubly-heavy tetraquark at finite temperature in a holographic model
. Eur. Phys. J. C 84, 101 (2024). https://doi.org/10.1140/epjc/s10052-024-12453-xHolographic entropy and real-time dynamics of quarkonium dissociation in non-Abelian plasma
. Phys. Rev. D 93,Entropic force and real-time dynamics of holographic quarkonium in a magnetic field
. Phys. Rev. D 105,The Thermal width of heavy quarkonia moving in quark gluon plasma
. Phys. Lett. B 659, 621-627 (2008). https://doi.org/10.1016/j.physletb.2007.11.084Heavy Quarkonium moving in a Quark-Gluon Plasma
. Phys. Rev. D 87,Machine learning holographic black hole from lattice QCD equation of state
. Phys. Rev. D 109,Flavor dependent Critical endpoint from holographic QCD through machine learning
(2024). arXiv:2405.06179Bayesian inference of the critical end point in a (2+1)-flavor system from holographic QCD
. Phys. Rev. D 112,Phase structure in a dynamical soft-wall holographic QCD model
. JHEP 04, 093 (2013). https://doi.org/10.1007/JHEP04(2013)093A Refined Holographic QCD Model and QCD Phase Structure
. JHEP 11, 149 (2014). https://doi.org/10.1007/JHEP11(2014)149Thermal entropy of a quark-antiquark pair above and below deconfinement from a dynamical holographic QCD model
. Phys. Rev. D 96,Interplay between the holographic QCD phase diagram and entanglement entropy
. JHEP 07, 120 (2018). https://doi.org/10.1007/JHEP07(2018)120Critical point in the phase diagram of primordial quark-gluon matter from black hole physics
. Phys. Rev. D 96,Holographic cold dense matter constrained by neutron stars
. Phys. Rev. D 106,Thermodynamics of Black Holes in anti-De Sitter Space
. Commun. Math. Phys. 87, 577 (1983). https://doi.org/10.1007/BF01208266AdS/CFT Duality User Guide 903, 2015
. arXiv:1409.3575, https://doi.org/10.1007/978-4-431-55441-7Anti-de sitter space, thermal phase transition, and confinement in gauge theories
. Adv. Theor. Math. Phys. 2, 505-532 (1998). https://doi.org/10.4310/ATMP.1998.v2.n3.a3Wilson loops, confinement, and phase transitions in large N gauge theories from supergravity
. JHEP 06, 001 (1998). https://doi.org/10.1088/1126-6708/1998/06/001Aspects of large N gauge theory dynamics as seen by string theory
. Phys. Rev. D 58,Flavor Corrections in the Static Potential in Holographic QCD
. Phys. Rev. D 85,Macroscopic strings as heavy quarks in large N gauge theory and anti-de Sitter supergravity
. Eur. Phys. J. C 22, 379-394 (2001). https://doi.org/10.1007/s100520100799Can quarkonia survive deconfinement?
Phys. Rev. D 77,Quarkonium Binding and Entropic Force
. Eur. Phys. J. C 75, 193 (2015). https://doi.org/10.1140/epjc/s10052-015-3424-7The QCD phase diagram for external magnetic fields
. JHEP 02, 044 (2012). https://doi.org/10.1007/JHEP02(2012)044Equation of state in (2+1)-flavor QCD
. Phys. Rev. D 90,The QCD Equation of State to O(μB6) from Lattice QCD
. Phys. Rev. D 95,Orthogonal array-based latin hypercubes
. Journal of the American Statistical Association 88, 1392-1397 (1993)Exploratory designs for computational experiments
. Journal of Statistical Planning and Inference 43, 381-402 (1995). https://doi.org/10.1016/0378-3758(94)00035-TMixtures of Probabilistic Principal Component Analyzers
. Neural Computation 11, 443-482 (1999). https://doi.org/10.1162/089976699300016728emcee: The MCMC Hammer
. Publ. Astron. Soc. Pac. 125, 306-312 (2013). https://doi.org/10.1086/670067Ensemble samplers with affine invariance
. Commun. Appl. Math. Comput. Sc. 5, 65-80 (2010). https://doi.org/10.2140/camcos.2010.5.65Static quark-antiquark pairs at finite temperature
. Phys. Rev. D 78,Real-time static potential in hot QCD
. JHEP 03, 054 (2007). https://doi.org/10.1088/1126-6708/2007/03/054Thermal suppression of moving heavy quark pairs in a strongly coupled plasma
. JHEP 01, 051 (2015). arXiv:1406.2683, https://doi.org/10.1007/JHEP01(2015)051In-medium static inter-quark potential on high resolution quenched lattices
. Phys. Rev. D 110,Ultraviolet Behavior of Nonabelian Gauge Theories
. Phys. Rev. Lett. 30, 1343-1346 (1973). https://doi.org/10.1103/PhysRevLett.30.1343Reliable Perturbative Results for Strong Interactions?
Phys. Rev. Lett. 30, 1346-1349 (1973). https://doi.org/10.1103/PhysRevLett.30.1346THE BIRTH OF ASYMPTOTIC FREEDOM
. Nucl. Phys. B 254, 11-18 (1985). https://doi.org/10.1016/0550-3213(85)90206-8Unscreened forces in the quark-gluon plasma?
Phys. Rev. D 109,Deconfinement as an entropic self-destruction: a solution for the quarkonium suppression puzzle?
Phys. Rev. D 90,Entropic destruction of heavy quarkonium in non-Abelian plasma from holography
. Phys. Rev. D 90,Entropic destruction of heavy quarkonium in a rotating hot and dense medium from holography*
. Chin. Phys. C 46,Stability of strings binding heavy-quark mesons
. JHEP 04, 079 (2007). https://doi.org/10.1088/1126-6708/2007/04/079Phase transition of hot dense QCD Matter from a refined holographic EMD model
(2025). arXiv:2507.09113The authors declare that they have no competing interests.

