1 3Introduction
Knowledge about the symmetry energy which is defined as the difference in the binding energy between the pure neutron matter and symmetric nuclear matter is important for understanding not only the nuclear structure and nuclear reactions but also many critical issues in astrophysics. Recent observables used to constrain the symmetry energy range from isospin diffusions in heavy ion collisions (HIC)[1,2,3,4,5,6,7,8,9,10,11,12,13,14], to experiments that measure nuclear properties such as neutron skin, Pygmy Dipole Resonance, masses of Isobaric Analog States, and nuclei masses in Finite Range Droplet Model[15,16,17,18,19,20,21,22,23,24]. Until now, a general consensus on the symmetry energy, S0, at saturation density and its slope, L (
The constraints from heavy ion collisions are obtained by comparing the data of isospin sensitive observables with the predictions from transport models which include the density dependence of symmetry energy as an input variable. Tighter constraints can be obtained from improved experiments or from improved theoretical models by including the missing physics.
In addition to the dependence on nuclear density, the symmetry potential also depends on the momentum of the nucleons in the system. Such dependence leads to the splitting of the nucleon effective mass, especially in the high density regions. An interesting new question arises as to whether the effective mass for neutrons (
2 New version of ImQMD
The Quantum Molecular Dynamics Model (QMD) represents the individual nucleons as Gaussian "wave-packet" with mean values that move in according the Ehrenfest theorem; i.e. Hamilton's equations[8]. At China Institute of Atomic Energy (CIAE), we developed and successfully applied a new QMD code, labeled ImQMD which includes mean field potentials calculated using a Skyrme energy density function with options for different forms of the density dependence of the symmetry potential, to study heavy ion reactions ranging from Coulomb barrier to 400 MeV per nucleon[28]. With these modifications, ImQMD has successfully described the multiplicity of reaction products, collective flows and stopping powers in intermediate energy Heavy Ion Collisions (HICs), but this version lacked to consider the nucleon effective mass splitting.
We improve the mean field part of the Improved Quantum Molecular Dynamics (ImQMD05) code by including the isospin dependent Skyrme like momentum dependence interaction as the form
where f is the nucleon phase space distribution function:
The coefficients C0 and D0 can be determined with following relationship:
In the new version of ImQMD code (ImQMD-Sky), the potential energy U is
The nuclear contributions are represented in a form with
Here, δd is the isospin asymmetry. δ=(ρn-ρp)/ (ρn+ρp ), ρn and ρp are the neutron and proton densities, respectively. The coefficients of αa, βb, gsur, gsur,iso, Asym and Bsym can be obtained by the standard Skyrme interaction parameters as in previous work[28]. Ucoul is Coulomb energy. The mean fields acting on these wavepackets are derived from potential energy.
These calculations use isospin-dependent in-medium nucleon-nucleon scattering cross sections in the collision term and Pauli blocking effects as described in Ref.[28]. With this new version of Improved Quantum Molecular Dynamics code, we can directly test the validity of Skyrme interaction parameters which have been wildly used in nuclear structure studies in heavy ion collisions, and provide constraints on the density dependence of symmetry energy and n/p effective mass splitting.
Based on the Skyrme interaction, one can get the density dependence of symmetry energy, neutron and proton effective mass and the symmetry potential for cold nuclear matter on the mean-field level as follows:
Eq.(9) is the density dependence of symmetry energy for cold nuclear matter, the first term comes from the contribution of kinetic energy part, the second and third terms are from the two-body and three body terms in Skyrme interactions. The last term in Eq.(9) comes from the momentum dependent interaction term in Skyrme interaction, and Csym is determined as in Ref.[28]. Eq.(10) is the effective mass where ρrτt is the neutron or proton density for τt =n, p. Eq.(11) is the symmetry potential also known as the Lane potential which gives the strength of the symmetry potential in asymmetric nuclear matter.
3 Results and discussion
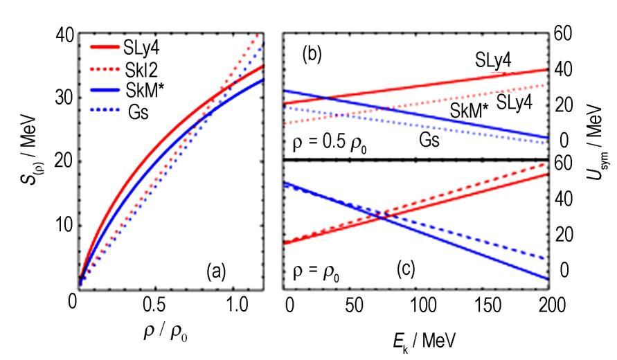
In the following studies, we choose four Skyrme interaction parameter sets, SLy4, SkI2, SkM* and Gs which have similar effective mass and incompressibility[29,30,31,32], i.e., m*~0.7±0.1, K0=230±20 MeV, and have been widely used in the studies of nuclear structure and neutron star. The SLy4 and SkI2 were fitted to properties of neutron matter, neutron star and the ground-state variables of neutron-rich heavy nuclei, and the neutron effective mass is less than the proton effective mass,
Figure 1 shows the density dependence of symmetry energy (left panel) and the energy dependence of the Lane potential (right panel), for cold nuclear matter. At subsaturation density, the strengths of symmetry energy obtained with SLy4 (top solid lines) and SkM* (bottom solid line) are stronger than that obtained with SkI2 (top dashed lines) and Gs (bottom dashed lines). Separation of the two groups of (solid and dashed) lines is strongly correlated with the L values. Smaller L values yield higher symmetry energy at subsaturaion densities while the opposite is true at the suprasaturation density regions. The right panels of Fig.1 show the Lane potentials for the above four interactions at 0.5ρr0 (top panel) and at ρ0 (bottom panel) as a function of nucleon kinetic energy. The energy dependence of symmetry potential for SLy4 and SkI2 are positive and increase with the energy of nucleons. However, those for SkM* and Gs decrease with the kinetic energy and become negative above 200 MeV. When
The symmetry potential (Lane potential) also gives an accurate estimate for the difference of the force between neutron and proton feeling in asymmetric nuclear matter, and directly influences the n/p ratios of emitted nucleons. The larger the Lane potential is, the larger the n/p ratio is. At high energy, one can expect that the n/p ratios with
-201305/1001-8042-24-05-003/alternativeImage/1001-8042-24-05-003-F001.jpg)
Before analyzing the isospin sensitive observables, we firstly check the calculated results on charge distribution for 124Sn+124Sn with ImQMD-Sky. Fig.2 shows the charge distributions for 124Sn+124Sn at Ebeam=50A MeV obtained with four Skyrme parameter sets, SLy4, SkI2, SkM* and Gs. It is clear that the charge distribution, which is considered as an isoscalar observable, is weakly sensitive to the slope of symmetry energy and nucleon effective mass splitting among the selected parameters.
-201305/1001-8042-24-05-003/alternativeImage/1001-8042-24-05-003-F002.jpg)
In previous studies[3,6,8,9,11], the density dependence of symmetry energy has been probed using peripheral collisions to measure the isospin diffusion and isospin transport ratios as a function of rapidity. Moreover, even though there are data from n/p yield ratios and flow, the constraints on the symmetry energy from heavy ion collisions rely heavily on isospin diffusion data[6,11].
In this paper, we simulated the collisions of 124Sn+124Sn, 124Sn+112Sn, 112Sn+124Sn, and 112Sn+112Sn reactions at beam energy of 50 MeV per nucleon using the ImQMD-Sky code. 64,000 events are obtained for each reaction at b=6 fm. In the left panel of Fig.3, we plot the isospin diffusion transport ratios obtained with SLy4, SkI2, SkM* and Gs interactions. As in previous studies[6,8], we analyze the amount of isospin diffusion by constructing a tracer from the isospin asymmetry of emitting source which includes all emitted nucleons (N) and fragments (frag) with the velocity cut (
We also compare the results of the calculations to Ri as a function of the scaled rapidity
-201305/1001-8042-24-05-003/alternativeImage/1001-8042-24-05-003-F003.jpg)
Rizzo[26] has shown that the neutron/proton yield ratio, Y(n)/Y(p), as a function of pt from central collisions is a robust observable to study nucleon effective mass splitting. In Fig.4, we plot the R(n/p)=Y(n)/Y(p) ratio for 112Sn+112Sn (left panel) and 124Sn+124Sn (middle panel) at b=2 fm with angular gate 70°<θc.m.<110°. The lines connecting the solid and open circles correspond to
-201305/1001-8042-24-05-003/alternativeImage/1001-8042-24-05-003-F004.jpg)
The calculations with SLy4 interactions agree with the double ratios data [4], DR(n/p)=(YA(n)/YA(p)) /(YB(n)/YB(p)), where A=124Sn+124Sn and B=112Sn+ 112Sn, from Ref.[4] which have very large uncertainties especially for ratios of the high energy nucleons. Thus, exact constraints on effective mass splitting from heavy ion collisions need re-measurements of the data with high quality. Since the effect of mass splitting should be larger at higher densities, most likely, one needs data on the DR(n/p) ratios at different incident energies which should give more stringent constraints on the momentum dependence of n/p effective mass splitting by comparing with improved transport models calculations.
4 Conclusion
In summary, we have used a new version of the improved quantum molecular dynamics code, which can accommodate Skyrme interaction parameters, to study the isospin sensitive observables, such as isospin diffusion, isospin transport ratios as a function of rapidity, single and double neutron proton yield ratios. We find that the neutron proton effective mass splitting plays an important role on the n/p ratios of transverse emitted nucleons at high kinetic energy. The mass splitting affects isospin diffusion, but the effects are not strong. Our results show that the constrained L~46 MeV value. The isospin diffusion data prefer to the neutron effective mass is greater than proton effective mass, but it is not a strong constraint with deep χ2 minimum. We also show that the single and double n/p ratios from high nucleon energies are more sensitive to the mass splitting effects. The results also suggest that the effective nucleon masses should be further studied at different incident energies. Finally new neutron and proton spectral data with much smaller uncertainties than previous data at different beam energies may allow one to determine the sign and the momentum dependence of the mass splitting.


