1 Introduction
In high energy heavy ion collisions [1], a hot and dense matter made of parton degrees of freedom, the quark-gluon plasma (QGP), has been expected to be created [2]. Experimental data from the Relativistic Heavy Ion Collider (RHIC) and the Large Hadron Collider (LHC) [3-8] strongly indicate that the QGP is indeed created in heavy ion collisions at high energies [9]. Comprehensive comparisons beween the experimental data and theoretical models are essential for the extraction of key properties of the high density matter, including the structure of the QCD phase diagram at high temperature and/or high net-baryon density. Many theoretical models including transport models [10-14], hydrodynamic models [15-18], and hybrid models [19-21] have been constructed to simulate and study the phase space evolution of the QGP.
A multi-phase transport (AMPT) model [13] is one such model. The AMPT model aims to apply the kinetic theory approach to describe the evolution of heavy-ion collisions as it contains four main components: the fluctuating initial condition, partonic interactions, hadronization, and hadronic interactions. The default version of the AMPT model [11, 22] was first constructed. Its initial condition is based on the Heavy Ion Jet INteraction Generator (HIJING) two-component model [23, 24], then minijet partons enter the parton cascade and eventually recombine with their parent strings to hadronize via the Lund string fragmentation [25]. The default AMPT model can well describe the rapidity distributions and transverse momentum (pT) spectra of identified particles observed in heavy ion collisions at SPS and RHIC. However, it significantly underestimates the elliptic flow (v2) at RHIC.
Since the matter created in the early stage of high energy heavy ion collisions is expected to have a very high energy density and thus should be in parton degrees of freedom, the string melting version of the AMPT (AMPT-SM) model [26] was then constructed, where all the excited strings from a heavy ion collision are converted into partons and a spatial quark coalescence model is invented to describe the hadronization process. String melting increases the parton density and produces an over-populated partonic matter [27], while quark coalescence further enhances the elliptic flow of hadrons [26, 28]. As a result, the string melting AMPT model is able to describe the large elliptic flow in Au+Au collisions at RHIC energies with a rather small parton cross section [26, 29].
The source code of the AMPT model was first publicly released online around April 2004, and a subsequent publication [13] provided detailed descriptions of the model such as the included physics processes and modeling assumptions. The AMPT model has since been widely used to simulate the evolution of the dense matter created in high energy nuclear collisions. In particular, the string melting version of the AMPT model [13, 26] can well describe the anisotropic flows and particle correlations in collisions of small or large systems at both RHIC and LHC energies [13, 26, 30-33]. The AMPT model is also a useful test bed of different ideas. For example, the connection between the triangular flow and initial geometrical fluctuations was discovered with the help of AMPT simulations [34], and the model has also been applied to studies of vorticity and polarization in heavy ion collisions [35-37].
Experimental data from heavy ion collisions fit with hydrodynamics-inspired models suggest that particles are locally thermalized and possess a common radial flow velocity [38]. Large momentum anisotropies such as the elliptic flow [39] have been measured in large collision systems, as large as the hydrodynamics predictions [7, 40]. This suggests that the collision system is strongly interacting and close to local thermal equilibrium [9]. Transport models can also generate large anisotropic flows. The string melting AMPT model [13, 26] can describe the large anisotropic flows with a rather small parton cross section of ˜3 mb [26] and the flow enhancement from quark coalescence [26, 28, 29, 41, 42]. Without the quark coalescence, a pure parton transport for minijet gluons requires an unusually large parton cross section of ˜40- -50 mb [29, 43] for the freezeout gluons to have a similar magnitude of elliptic flow as charged hadrons in the experiments. This minijet gluon system, despite a factor of ˜2.5 lower parton multiplicity at mid-rapidity, has a factor of ˜6 smaller mean free path than the string melting AMPT model for 200A GeV Au+Au collisions at impact parameter b=8 fm [29]. In general, for large systems at high energies transport models tend to approach hydrodynamics since the average number of collisions per particle is large and thus the bulk matter is close to local equilibrium. Hydrodynamics models and transport models are also complementary to each other. For example, hydrodynamics models provide a direct access to the equation of state and transport coefficients, while transport models can address non-equilibrium dynamics and provide a microscopic picture of the interactions.
Recent data from small systems, however, hint at significant anisotropic flows in high multiplicity pp and pPb collisions at the LHC [44] and p/d/3He+Au collisions at RHIC [45, 46]. Hydrodynamic calculations seem to describe the experimental data well [47, 48]. The AMPT-SM model also seems to describe the measured correlations [30]. This suggests that the collision of these small systems might create a QGP as well, in contrast to naive expectations. On the other hand, it is natural to expect hydrodynamic models and transport models to be different for small colliding systems due to non-equilibrium dynamics. Indeed, recently it has been realized that parton transport can convert the initial spatial anisotropies into significant anisotropic flows in the momentum space through the parton escape mechanism [49, 50], especially in small systems where the average number of collisions per particle is small. Kinetic theory studies also show that a single scattering is very efficient in changing the particle momentum distribution [51]. There are also many studies on whether and how hydrodynamics could be applicable to small systems [52, 53]. In addition, there are active debates on whether the momentum anisotropies in small systems mainly come from initial state correlations [54, 55] or final state interactions [49-51, 56, 57]. Furthermore, the differences between the anisotropic flow data of small systems from different collaborations still need to be fully resolved [46, 58, 59]. Therefore, the system size dependence of various observables, particularly the anisotropic flows from small to large systems, could provide key information on the origin of collectivity.
The paper is organized as follows. After the introduction, in Sec. 2 we review the main developments of the AMPT model after the first public release of its source code in 2004 [13, 60, 61]. They include the addition of deuteron productions in Sec. 2.1, the string melting model that can simultaneously reproduce the yield, transverse momentum spectra and elliptic flow of the bulk matter in heavy ion collisions in Sec. 2.2, the new quark coalescence model in Sec. 2.3, incorporation of the finite nuclear thickness along beam directions in Sec. 2.4, incorporation of modern parton distribution functions of nuclei in Sec. 2.5, improved treatment of heavy quark productions in Sec. 2.6, the introduction of local nuclear scaling of key input parameters to describe the system size dependence in Sec. 2.7, incorporation of PYTHIA8 and nucleon substructure in the initial condition in Sec. 2.8, and benchmark and improvement of the parton cascade algorithm in Sec. 2.9. We then briefly review other developments of the AMPT model in Sec. 3. Finally, in Sec. 4 we summarize and discuss possible directions for further developments of the AMPT model.
2 Main developments
We now review the main developments of the AMPT model after the first public release of the AMPT source code in 2004 [60, 61] and the corresponding publication that described the physics details of the model at that time [13]. These developments are listed mostly in chronological order. In terms of the four main components of the AMPT model, Sections 2.2, 2.4, 2.5, 2.6, 2.7, 2.8 are about the initial condition, Sec. 2.9 is about the parton cascade, Sec. 2.3 is about the hadronization, while Sec. 2.1 is about the hadron cascade. Currently the public versions of the AMPT model since v1.26t5/v2.26t5 [61] have incorporated the changes made in the developments described in Sections 2.1 and 2.2; changes from the other developments will be released in the future.
2.1 Deuteron productions in the hadron cascade
Light nuclei such as deuteron (d) and triton (t) are produced and observed in high energy nuclear collisions at RHIC and LHC [62, 63]. They have been proposed to be important for the search of the QCD critical point [64-67] and thus the study of light nuclei has become more active recently. Currently the production mechanism of light nuclei is still under debate, as there are several different models including the statistical model [68, 69], the nucleon coalescence model [70-74], and dynamical models based on the kinetic theory [75-77].
We have modified the AMPT model to provide a kinetic theory description of deuteron production and annihilation by adding the following reactions [77]:
where M = π, ρ, ω, and η, while B and B’ stand for baryons N, Δ, P11(1440), and S11(1535). Note that the hadron cascade component of the AMPT model [13], based on a relativistic transport (ART) model [84-86], already includes the interactions of π, K, η, ρ, ω, ϕ, K*, N, Δ(1232), P11(1440), S11(1535) as well as their antiparticles. For the cross sections of the reactions
Experimentally, the cross sections for both the reaction
where pN and pπ are, respectively, the magnitude of the three-momenta of initial and final particles in the center of mass frame. The function f(s), which is proportional to the angular integrated mean squared matrix elements that are summed over initial and final spins for the reaction
-202110/1001-8042-32-10-011/alternativeImage/1001-8042-32-10-011-M001.jpg)
where
These parameterizations are compared with the experimental data in Fig. 1. The cross sections for the isospin averaged reactions
We have coupled the above deuteron transport with an initial hadron distribution after hadronization as parameterized by a blast wave model [77], where a nucleon coalescence model using the deuteron Wigner function [88] was also applied for comparison. We find that the transport model gives very similar deuteron pT spectra as the coalescence model; however the elliptic flows from the two models are different. In particular, the transport model gives a deviation of the elliptic flow from the exact nucleon number scaling at relatively high pT and agrees better with the measured data.
On the other hand, the deuteron yield obtained directly from the AMPT-SM model is typically much lower than the experimental data. This could be due to the assumed relation between the
2.2 String melting model to describe the bulk matter
The Lund string model [25] is used in both the default and string melting versions of the AMPT model. In the default AMPT model, minijet partons recombine with their parent strings after the parton cascade to hadronize via the Lund string model into primordial hadrons. In the AMPT-SM model, the primordial hadrons that would be produced from the excited Lund strings in the HIJING model are “melt” into primordial quarks and antiquarks. Therefore, the parameters in the Lund string model affect the AMPT model results. In the Lund model, one assumes that a string fragments into quark-antiquark pairs with a Gaussian distribution in transverse momentum. Hadrons are formed from these quarks and antiquarks, with the longitudinal momentum given by the Lund symmetric fragmentation function [92, 93]
In the above, z represents the light-cone momentum fraction of the produced hadron with respect to that of the fragmenting string and mT is the transverse mass of the hadron.
When using the HIJING values [23, 24] for the key Lund string fragmentation parameters, aL=0.5 and bL=0.9 GeV-2, the default AMPT model works well for particle yields and pT spectra in pp collisions at various energies. However, it gives too small a charged particle yield in central Pb+Pb collisions at the SPS energy of ELAB=158A GeV [11, 22]. Instead, modified values of aL=2.2 and bL=0.5 GeV-2 were needed to fit the charged particle yield and pT spectra in Pb+Pb collisions at SPS. For heavy ion collisions at higher energies such as RHIC energies, the default version of the AMPT model with these parameter values also reasonably describes hadron dN/dη, dN/dy and the pT spectra in heavy ion collisions, although it underestimates the elliptic flow [26].
On the other hand, the AMPT-SM model [26, 13], due to its dense parton phase and quark coalescence, reasonably describes the elliptic flow [26] and two-pion interferometry [94] in heavy ion collisions. However, the versions before 2015 [61] (i.e., before v2.26t5) could not reproduce well the hadron dN/dη, dN/dy and pT spectra (when using the same Lund parameters as the default version). For example, they overestimated the charged particle yield and significantly underestimated the slopes of the pT spectra [13]. In an earlier attempt to reproduce data in Pb+Pb collisions at LHC energies with the AMPT-SM model, the default HIJING values for the Lund string fragmentation parameters were used [95] together with the strong coupling constant αs=0.33 (instead of 0.47); there the model reasonably reproduced the yield and elliptic flow of charged particles but underestimated the pT spectrum (except at low pT).
It was later realized that this problem of the AMPT-SM model can be solved [27] by using a very small value for the Lund fragmentation parameter bL together with an upper limit on strange quark productions. Then the AMPT-SM model can reasonably reproduce the pion and kaon yields, pT spectra, and elliptic flows at low pT (below ˜1.5 GeV/c) in central and semi-central Au+Au collisions at the RHIC energy of
is higher and thus gives a larger mean transverse momentum for the initial quarks after string melting. In addition, the AMPT model assumes that the relative production of strange to non-strange quarks increases with the effective string tension [22, 13]. This is because the quark-antiquark pair production from string fragmentation in the Lund model is based on the Schwinger mechanism [96], where the production probability is proportional to
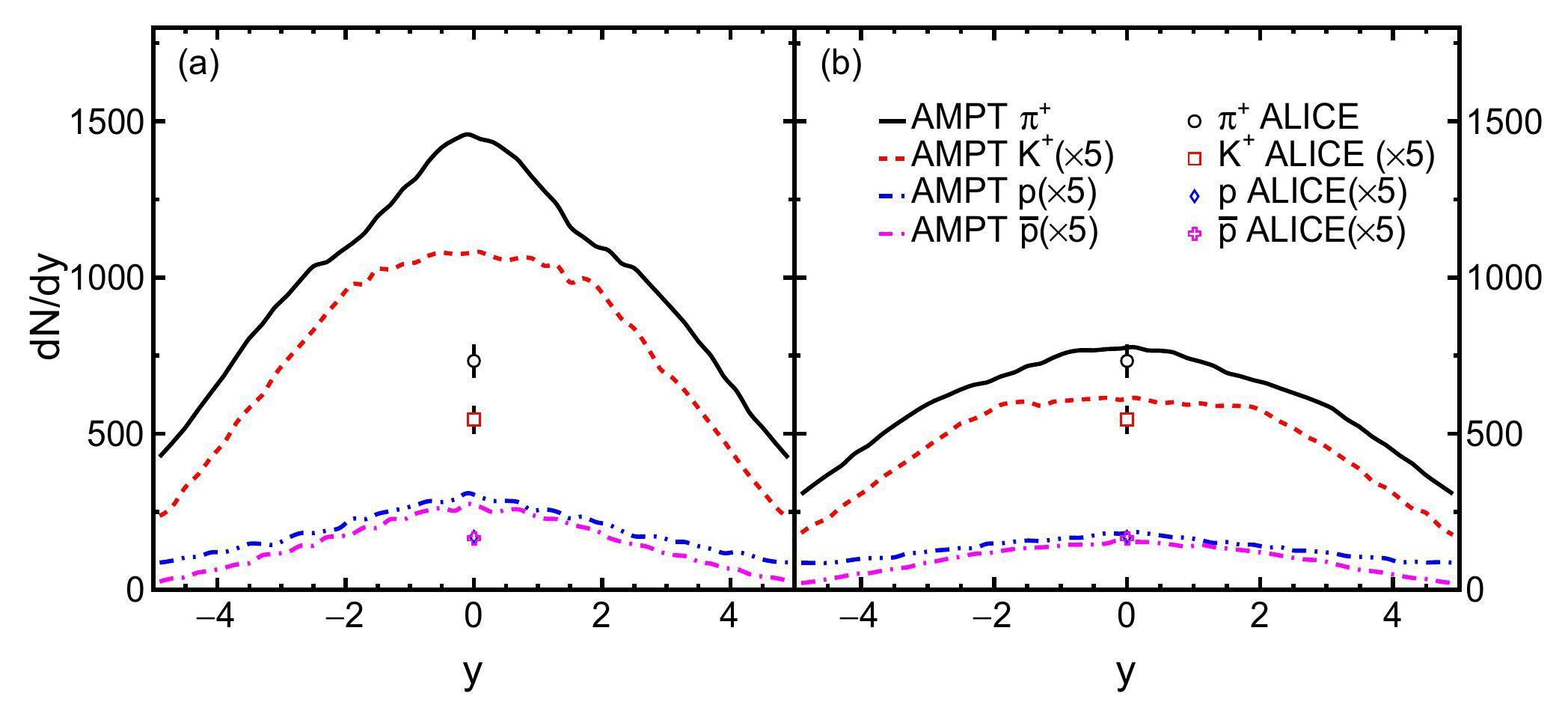
Figure 2 shows the AMPT-SM results of pions and kaons for central (b<3 fm) and mid-central (b=7.3 fm) [97] Au+Au events at 200A GeV as well as central (b<3.5 fm) and mid-central (b=7.8 fm) [98] Pb+Pb events at 2.76A TeV. Also plotted for comparisons are the corresponding data for 0-5% and 20-30% centralities on dN/dy [99-101] in panels (a) and (d), the pT spectra at mid-rapidity for the 0-5% centrality in panels (c) and (e), and v2{EP} at mid-rapidity for the 20-30% centrality in panels (d) and (f). We see good agreements between the model results and the dN/dy data in both central and mid-central events at RHIC and LHC energies. The value of 0.55 is used for aL at the top RHIC energy, while the value of 0.30 is used at the LHC energy since it gives a slightly better fit of the ALICE data [101] than the value of 0.55. We also see that the model roughly reproduces the observed pT spectra at mid-rapidity below ˜2 GeV/c. In addition, the AMPT-SM model roughly describes the pion and kaon elliptic flow data on v2{EP} [102, 103] at low pT.
-202110/1001-8042-32-10-011/alternativeImage/1001-8042-32-10-011-F002.jpg)
This choice of settings for the AMPT-SM model [27] reasonably and simultaneously reproduces the particle yield, pT spectra and elliptic flow of the bulk matter in central and semi-central AA collisions. Therefore, it enables us to make more reliable studies, such as the calculation of the evolution of energy density, effective temperatures, and transverse flow of the parton phase [27], and comprehensive predictions for Pb+Pb collisions at the top LHC energy of 5.02 TeV [31].
An example of the 5.02 TeV predictions from the AMPT-SM version v2.26t5 [31] is shown in Fig. 3, where the results on the η dependence of elliptic flow are shown in panels (a) and (b) for two centralities and the results on the factorization ratio r2(ηa,ηb) are shown in panels (c) to (f) for four centralities. We see that the AMPT-SM model reasonably reproduces the observed v2(η) magnitudes and shapes at 15-25% and 25-50% centralities from CMS [104] (filled circles) and ATLAS [105] (open circles) for Pb+Pb collisions at 2.76 TeV and from PHOBOS [106] (open diamonds) for Au+Au collisions at 200 GeV. We also see that the AMPT results on the factorization ratio r2(ηa,ηb) as a function of ηa at 2.76 TeV are rather consistent with the corresponding CMS data [107], similar to a study [108] that used the AMPT-SM model as the initial condition for an ideal (3+1)D hydrodynamics. Furthermore, the AMPT-SM results show that the longitudinal correlation is much suppressed in Au+Au collisions at 200 GeV but slightly enhanced in Pb+Pb collisions at 5.02 TeV. Note that the longitudinal correlation comes naturally in the AMPT-SM model since each excited string typically produces many initial partons over a finite η range. Therefore, the initial transverse spatial geometry of the parton matter including the event plane has a strong correlation over a finite η range, and through partonic and hadronic interactions, the azimuthal anisotropies vn will then develop longitudinal correlations.
-202110/1001-8042-32-10-011/alternativeImage/1001-8042-32-10-011-F003.jpg)
We note that the AMPT model may not be reliable at higher pT, as indicated by Fig. 2, since it lacks inelastic parton collisions [13, 109] and consequently the radiative energy loss of partons that is important for high pT partons. In addition, the string melting AMPT model up to now uses quark coalescence to model the hadronization of all partons, while the hadronization of high pT partons and partons far away from their coalescing partners should be treated differently, e.g., with independent fragmentation [110] or string fragmentation [111].
2.3 Improved quark coalescence
After parton scatterings, a spatial quark coalescence model is used to describe the hadronization process in the AMPT-SM model. It combines a quark with a nearby antiquark to form a meson and combines three nearby quarks (or antiquarks) into a baryon (or an antibaryon). For quarks and antiquarks in an event, the original quark coalescence model in AMPT [13, 26, 27, 31] searches for a meson partner before searching for baryon or antibaryon partners. Specifically, each quark (or antiquark) has its default coalescence partner(s), which are just the one or two valence parton(s) from the decomposition of the quark’s parent hadron from the string melting process. Then for any available (i.e., not-yet-coalesced) quark (or antiquark) that originally comes from the decomposition of a meson, the quark coalescence model searches all available antiquarks (or quarks) and selects the closest one in distance (in the rest frame of the quark-antiquark system) as the new coalescence partner to form a meson. After these meson coalescences are all finished, for each remaining quark (or antiquark) the model searches all available quarks (or antiquarks) and selects the closest two in distance as the new coalescence partners to form a baryon (or an antibaryon). As a result, the total number of baryons in any event after quark coalescence is the same as the total number before. Similarly, the quark coalescence process also conserves the number of antibaryons and the number of mesons in an event.
However, this separate conservation of the numbers of baryons, antibaryons, and mesons through the quark coalescence for each event is unnecessary, because only conserved charges such as the number of net-baryons and the number of net-strangeness need to be conserved. Therefore, we improved the coalescence method [32, 112] by removing the constraint that forced the separate conservations. Specifically, for any available quark, the new coalescence model searches all available antiquarks and records the closest one in relative distance (denoted as dM) as the potential coalescence partner to form a meson. The model also searches all available quarks and records the closest one in distance as a potential coalescence partner to form a baryon, and then searches all other available quarks again and records the one that gives the smallest average distance (i.e. the average of the three relative distances among these three quarks in the rest frame of the three-quark system, denoted as dB) as the other potential coalescence partner to form a baryon.
In the general case where both the meson partner and baryon partners are available, the quark will form a meson or a baryon according to the following criteria [32]:
In the above, rBM is the new coalescence parameter, which controls the relative probability of a quark forming a baryon instead of forming a meson. Note that the same coalescence procedure is also applied to all antiquarks, and the above criteria are not needed when only the meson partner or baryon partners can be found for a parton. In the limit of
We take central Au+Au collisions at
-202110/1001-8042-32-10-011/alternativeImage/1001-8042-32-10-011-F004.jpg)
Therefore, the new quark coalescence is more efficient, especially for the formation of (anti)baryons, due to the freedom of a parton to form either a meson or a (anti)baryon. As a result, it leads to improvements in the descriptions of (anti)baryon observables from the AMPT-SM model [32, 33, 113]. Figure 5 shows the AMPT results (with rBM=0.61) on various antiparticle-to-particle ratios around mid-rapidity for central Au+Au collisions at 200 GeV [38, 114, 115] and Pb+Pb collisions at 2.76 TeV [101, 116, 117] in comparison with the experimental data at mid-rapidity. Both the data and model results here are for the 0-5% centrality except that Ω at 200 GeV corresponds to the 0-10% centrality. We see that the results from the new quark coalescence (solid curves) are generally consistent with the experimental data, while results from the old quark coalescence (dashed curves) severely overestimate the ratios for Ξ and Ω. In addition, the antibaryon-to-baryon ratios generally increase with the strangeness content in both the AMPT model and the data. This is consistent with models such as the ALCOR model [118], which predict that these ratios are sequentially higher by a multiplicative factor, the K+/K- ratio. Since the K+/K- ratio is usually slightly larger than one at high energies, we see that our results from the improved quark coalescence agree rather well with this expectation and with the experimental data.
-202110/1001-8042-32-10-011/alternativeImage/1001-8042-32-10-011-F005.jpg)
On the other hand, the AMPT model with the improved quark coalescence [32, 119] still underestimates the
The new quark coalescence is not only able to describe the dN/dy yields, pT spectra, and elliptic flows of pions and kaons at low pT, it also better describes the baryon observables in general, especially the pT spectra of (anti)baryons and antibaryon-to-baryon ratios for Ξ and Ω. It has also been shown to qualitatively describe the near-side anticorrelation feature of baryon-baryon azimuthal correlations observed in small systems at the LHC [33, 113]. In addition, it can be easily extended to include individual rBM factors specific to given hadron species, e.g., to describe the enhanced multi-strange baryon productions in nuclear collisions [123]. The string melting AMPT model with the new quark coalescence thus provides a better overall description of the bulk matter in high-energy nuclear collisions.
2.4 Importance of finite nuclear thickness at lower energies
For heavy ion collisions at lower energies, the thickness of the incoming projectile and target nuclei in the center-of-mass frame becomes larger due to the finite Lorentz contraction along the beam directions. Therefore, one needs to consider the finite nuclear thickness in dynamical models of heavy ion collisions at lower energies, which correspond to higher net-baryon densities. The finite nuclear thickness increases the longitudinal width of the created matter and thus will obviously affect the initial energy and net-baryon densities [124, 125]. Furthermore, it will lead to a significant time duration of the initial particle and energy production; therefore, one cannot use a fixed proper time to describe the initial condition for hydrodynamic-based models but use a dynamical initialization scheme [126, 127].
For a central collision of two identical nuclei of mass number A, it takes the following time for the two nuclei to completely cross each other in the center-of-mass frame:
in the hard sphere model of the nucleus. In the above, RA is the hard-sphere radius of the nucleus and ycm is the rapidity of the projectile nucleus. For central Au+Au collisions at
We have developed semi-analytical methods [124, 125] to include the finite nuclear thickness in the calculation of the initial energy density, which is crucial in determining the initial temperature (and net-baryon chemical potential at low energies) of the produced QGP. Traditionally, the Bjorken formula [128] has been the standard semi-analytical tool in estimating the initial energy density in the central rapidity region right after the two nuclei pass each other:
In the above, AT represents the full transverse area of the overlap volume, and dET/dy is the initial rapidity density of the transverse energy at mid-rapidity, which is often approximated with the experimental dET/dy value in the final state. Because the Bjorken energy density diverges as
Using the semi-analytical methods that include the finite nuclear thickness, the initial energy density ϵ(t) averaged over the transverse area of the overlap region as a function of time, including its maximum value ϵmax, have been calculated [124, 125]. We first considered the finite time duration of the initial energy production but neglected the finite longitudinal extension [124], which enabled us to obtain explicit analytical solutions of ϵ(t). Both the uniform time profile and beta time profile have been considered, where in the uniform time profile one assumes that the initial transverse energy at y ≈ 0 is produced uniformly in time (x) from t2 to t2:
In contrast, the beta time profile assumes the following:
Note that n=4 is chosen [124] from the comparison to the time profile of partons within mid-spacetime-rapidity in central Au+Au collisions from the AMPT-SM model. In addition, for the uniform profile shown here, t1=0.29dt & t2=0.71 dt are used since they give the same mean and standard deviation of time as the beta profile at n=4.
Then we considered both the finite time duration and longitudinal extension of the initial energy production [125]. When τf is not too much smaller than the crossing time of the two nuclei, results from the latter study [125] are similar to those from the former study [124]. On the other hand, there is a qualitative difference in that the maximum energy density ϵmax at τf=0 is finite after considering both the finite duration time and longitudinal extension [125], while the Bjorken formula diverges as 1/τf and the method that only considered the finite duration time [124] diverges as ln (1/τf) at low energies but as 1/τf at high energies. Overall, these studies have yielded the following qualitative conclusions: the initial energy density after considering the finite nuclear thickness approaches the Bjorken formula at high colliding energies and/or large formation time τf. At low colliding energies, however, the initial energy density has a much lower maximum, evolves much longer, and is much less sensitive to τf than the Bjorken formula. Note that we have written a web interface [129] that performs the semi-analytical calculation [125] for central AA collisions, where the user can input the colliding system, energy and the proper formation time.
To include the finite nuclear thickness, we have modified the initial condition of the AMPT-SM model [124] to specify in each heavy ion event the longitudinal coordinate z0 and time t0 of each excited string, which is then converted into the initial partons via string melting. Note that in the normal AMPT-SM model [26, 13, 27, 32] the longitudinal coordinate z0 and time t0 of each excited string in the initial state are both set to zero, which would be correct only at very high energies. Figure 6 shows the results on the time evolution of the average energy density at ηs ≈ 0 for central Au+Au collisions at four different energies for formation time τf=0.1 and 0.3 fm/c. At the high energy of 200 GeV, the AMPT-SM results with (curves with filled circles) and without (curves with open circles) the finite nuclear thickness are essentially the same. This is consistent with the fact that the Bjorken result and our semi-analytical result are also very similar (after shifting the results in time); it also confirms the expectation that the finite nuclear thickness can be mostly neglected at high-enough energies.
-202110/1001-8042-32-10-011/alternativeImage/1001-8042-32-10-011-F006.jpg)
At lower energies, however, the AMPT results after including the finite nuclear thickness are very different: the maximum energy density is lower, and the time evolution of the energy density (e.g., the time spent above half the maximum energy density) is longer. These key features agree with the semi-analytical results [124, 125], where the results from the uniform time profile and the more realistic beta time profile are close to each other after the uniform profile is set to the same mean and standard deviation of time as the beta profile [124]. We also see from Fig. 6 that the increase of the maximum initial energy density with the colliding energy is much faster after including the finite nuclear thickness, which is consistent with the analytical finding that the Bjorken formula overestimates the maximum energy density more at lower energies [124, 125]. In addition, we see in Fig. 6 that the AMPT results are generally wider in time; partly because the parton proper formation time in AMPT is not set as a constant but is inversely proportional to the parent hadron transverse mass [13]. Secondary parton scatterings and the transverse expansion of the dense matter in AMPT can also cause differences from the semi-analytical results, which do not consider such effects. Overall, we see that the AMPT results without considering the finite nuclear thickness are similar to the Bjorken results, while the AMPT results including the finite thickness are similar to our semi-analytical results. These results suggest that it is important to include the finite nuclear thickness in dynamical models of relativistic heavy ion collisions, especially at lower energies.
2.5 Modern parton distribution functions in nuclei
The initial condition of the AMPT model is based on the HIJING two-component model [23]. The primary interactions between the two incoming nuclei are divided into two parts: the soft component described by the Lund string fragmentation model [25, 92, 93], and the hard component with minijet productions described by perturbative QCD through the PYTHIA5 program [25].
The minijet differential cross sections in HIJING model can be computed using the factorization theorem in the perturbative QCD framework [130] as
In the above, pT is the transverse momentum of the produced minijet parton, y1 and y2 are the rapidities of the two produced partons c and d, the factor K accounts for higher-order corrections to the leading order jet cross section, x1 and x2 are respectively the momentum fraction x carried by the two initial partons, fa(x1, Q2) is the parton distribution function (PDF) of parton type a at x=x1 and factorization scale Q2, σab is the parton-parton cross section for partons a and b, and
The total inclusive jet cross section (for the production of minijet gluons and u/d/s quarks and antiquarks) is then obtained by integrating the above differential cross section with a transverse momentum cutoff p0 and considering all the possible combinations of final state parton flavors [23]:
where
An important ingredient needed in Monte Carlo event generators for hadron collisions is the input parton distribution function [133-135]. Efforts have been made to understand the subtilties of implementing various parton distributions for phenomenological studies based on event generators[136, 137]. The impacts of different parton distributions in the event generators for pp collisions are found to be sizable and the key parameters in the generators usually depend on the details of the input PDF [138]. Specifically, the parton distribution function in the AMPT model affects the initial state radiation and the minijet production within the two-component model framework. Using modern parton distributions along with fine tuned model parameters is required to generate reliable exclusive final states in the AMPT model.
The HIJING 1.0 model [23, 24] that generates the initial condition of the original AMPT model employs the Duke-Owens parton distribution function set 1 [139] for the free proton. However, it is well known that the Duke-Owens PDFs were obtained at a time when a large array of experimental data used in the global fittings for modern PDFs were not yet available [135]. The parton densities at small-x relevant for minijet and heavy flavor productions at high energies are generally underestimated by the Duke-Owens PDFs [140]. Therefore, we have updated the AMPT model with a modern parton distribution function of the free nucleon (the CTEQ6.1M set [141]) and retuning of the relevant p0 and σsoft parameters [119]. Note that this update is based on the AMPT model with the new quark coalescence [32]. Also note that the HIJING 2.0 model [142] is a similar update, which replaces the Duke-Owens PDFs in the HIJING 1.0 model with the GRV PDFs [143].
For nuclear collisions at sufficiently high energies, results from event generators depend on the parton distribution functions inside the incoming nuclei. Analogous to the free nucleon case, global analyses of the parameterizations for the modifications of the nuclear PDFs relative to the free nucleon PDFs have been performed by several groups [144-148]. In addition, it is natural to expect the nuclear modification to depend on a nucleon’s position inside a nucleus. Therefore, the spatial dependence of nuclear parton densities are considered [23, 149-154], and a global analysis to extract the nuclear PDFs with spatial dependence is carried out [155] based on the EKS98 [156] and EPS09 [157] fits. In a recent study [119], we have included the spatially dependent EPS09s nuclear modifications [155] in the AMPT model to replace the original HIJING 1.0 nuclear shadowing parameterization. Note that the HIJING 1.0 shadowing is spatially dependent but independent of Q2 or the parton flavor [13, 23], similar to the HIJING 2.0 nuclear shadowing [142].
For a proton bound in a nucleus, its parton distribution function of flavor i can be written as
where
where TA(s) represents the nuclear thickness function at transverse position s, and
Solid curves in Fig. 7 show the gluon density distributions (multiplied by x) in the free proton from the original and the updated AMPT model. The gluon density distributions of a bound proton at the center of a lead nucleus from the EPS09s and HIJING nuclear modifications are also shown in Fig. 7. We see that in the updated AMPT model with the CTEQ6.1M set the gluon densities are quite different from the old Duke-Owens set and much higher at small x. We also see that the gluon shadowing in EPS09s is much weaker than that in the HIJING 1.0 model.
-202110/1001-8042-32-10-011/alternativeImage/1001-8042-32-10-011-F007.jpg)
As mentioned earlier, p0 and σsoft are the two key parameters in the HIJING model that determine the total and inelastic cross sections of pp and
In our work that implements the CTEQ6.1M PDF in the AMPT model [119], the energy dependent parameters p0(s) and (s) are determined via fitting the experimental total and inelastic cross sections of pp and
-202110/1001-8042-32-10-011/alternativeImage/1001-8042-32-10-011-F008.jpg)
In the above,
When we apply the above p0(s), (s) and the EPS09s nuclear shadowing to central AA collisions at LHC energies, however, we find rather surprisingly that the hadron yields from the AMPT-SM model are significantly higher than the experimental data. As shown in Fig. 9(a), the AMPT-SM model that uses the
The above q(s) function is determined from the fit to the overall particle yields of central Au+Au collisions at the RHIC energies and central Pb+Pb collisions at LHC energies (see [119] for details). Its value is zero at
As shown in Fig. 9(b), the updated AMPT-SM model using
2.6 Improvements of heavy flavor productions
Heavy flavors are predominantly produced from the initial hard scatterings at early times in nuclear collisions [161-163]. Therefore, they are powerful observables to probe the strong electromagnetic field created in heavy ion collisions [164-166] and transport properties of the dense matter [167-171]. Multiple theoretical frameworks have been developed for the description of open heavy flavor productions in high energy pp and pA collisions based on the pQCD framework [172-175]. Medium effects, such as those from pQCD calculations of the parton energy loss [176, 177] or the Langevin/Boltzmann equation methods [178-186] can be included for AA collisions.
Study of heavy flavor productions within the AMPT model [187, 188] has the potential to provide a unified model for both light and heavy flavor transport and improve our understanding of the non-equilibrium effects of the QGP evolution [49, 50, 189, 190]. In addition, using parton scatterings to model the interactions between heavy quarks and the evolving medium, the parton cascade approach is able to implement any scattering angular distribution without the need to assume small-angle scatterings. Therefore, after the update with modern parton distributions for proton and nuclei as discussed in Sec. 2.5, we have made several significant improvements of heavy flavor productions in the AMPT model [122]. First, for self consistency we include the heavy flavor cross sections in the total minijet cross section in the HIJING two-component model. Second, we remove the minimum transverse momentum requirement (p0) for initial heavy quark productions since the heavy quark pair production cross sections from pQCD are already finite due to the heavy quark mass. These changes can be illustrated with the following modified formula for the minijet cross section [122]:
where the first term on the right hand side represents the cross section of light flavor (u/d/s/g) minijets and the second term represents that of heavy flavors such as charm and bottom. Note that the factor 1/(1+δcd) above becomes 1/2 for final states with identical partons, such as
with p0 in GeV/c and
The total
Figure 11 shows the charm quark rapidity and transverse momentum distributions from the AMPT model for pp collisions at
-202110/1001-8042-32-10-011/alternativeImage/1001-8042-32-10-011-F011.jpg)
In AA collisions, heavy quark production is subject to additional medium-induced initial state and final state effects. Within the AMPT model, initial state effects include the nuclear modification of the parton distribution functions in nuclei, while the final state effects are mostly treated with parton elastic rescatterings in the parton cascade [109]. Figure 12 shows the charm quark yield at mid-rapidity for 0-10% central Au+Au or 0-10% central Pb+Pb collisions at different energies. We see that the EPS09s nuclear modification leads to an enhancement of the charm quark yield in central AA collisions at lower energies but a suppression at high energies. This is expected due to the anti-shadowing feature at large x and the shadowing feature at small x in the nuclear modification functions. We also see that the result from the updated AMPT model (solid curve) is in good agreement with the charm quark data, which is obtained for 0-10% central Au+Au collisions at
-202110/1001-8042-32-10-011/alternativeImage/1001-8042-32-10-011-F012.jpg)
The open heavy flavor hadron species formed by quark coalescence include charm and bottom hadrons with all possible charges. To reproduce the observed vector to pseudo-scalar meson ratios of open heavy flavors in pp collisions, we fit the relative probability of forming primordial vector versus pseudo-scalar heavy mesons in the quark coalescence model, e.g., the ratio is set to 1.0 for the primordial D*/D and B*/B ratios [122], instead of using only the invariant mass of the coalescing partons in the original AMPT-SM model [13]. Note that only the primordial ratios right after coalescence are specified with these parameters, not the vector to pseudo-scalar meson ratios in the final state which include effects from resonance decays. In addition, in the new quark coalescence model [32] that is used in this heavy flavor work [122], the relative probability for a quark to form a baryon instead of a meson is determined by the rBM parameter as shown in Eq.(7). In our earlier work that updated the AMPT model with modern PDFs [119], the rBM value for light flavor (u/d/s) hadrons is set to 0.53, which value is also used here. On the other hand, we set the rBM value for heavy flavor hadrons to 1.0, because using the light flavor value would lead to too few charm baryons (by a factor of ˜4) compared to the experimental data in pp or AA collisions. In principle, the rBM value for charm hadrons depends on properties such as the number and masses of available charm baryon states versus charm meson states. The necessity of using a higher rBM value for charm is consistent with the assumption that there are more charm baryon states than charm meson states compared to the light flavor sectors [200].
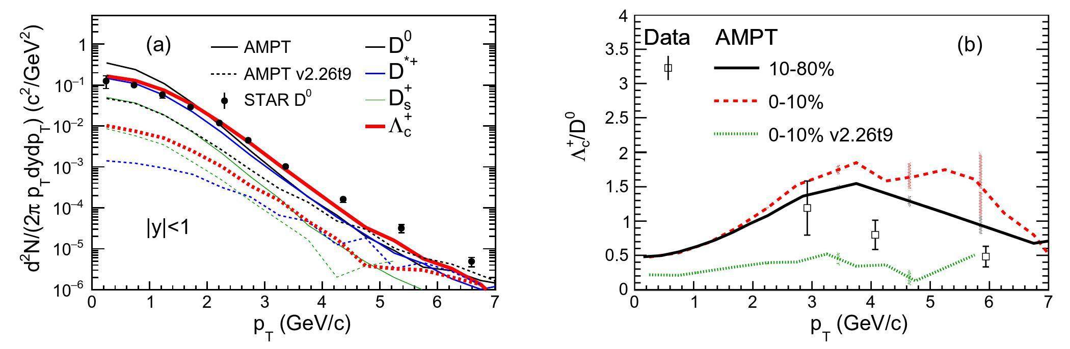
After the improvements on heavy flavor productions, we find that the updated AMPT model [119] can well describe the yields and pT spectra of open charm hadrons including D, D*, Ds and Λc in pp collisions at different energies. The updated model also describes the charm data in central AA collisions much better than the original AMPT model. However, the updated AMPT model still does not well describe the charm hadron productions in AA collisions [122]. As shown in Fig. 13(a), the updated AMPT model overestimates the D0 yield at low pT but underestimates it at pT above 2.5 GeV/c when compared to the STAR data for 0-10% Au+Au collisions at
We note that only elastic parton scatterings are included in the AMPT-SM model; therefore, the model is only applicable in the region where the effect of parton radiative energy loss is small. Studies have suggested that the elastic collisional energy loss could be dominant for charm hadrons below pT ˜5-6 GeV/c in Au+Au collisions at
2.7 System size dependence under local nuclear scaling
The system size dependence of observables can be useful to uncover the transition of certain phenomena in nuclear collisions, such as the onset of collectivity and whether it comes from initial state momentum correlations [54, 55] or final state interactions [49-51, 56, 57]. It is known from multiple studies that certain key parameters in the initial condition of the AMPT model for AA collisions need to be different from their values for pp collisions to reasonably describe the data [13, 22, 27, 32, 95, 119]. First, the Lund bL parameter in the symmetric string fragmentation function [92, 93], as shown in Eq.(5), for large collision systems needs to be significantly smaller than its value for pp collisions. An earlier study has also shown that a constant bL can not describe the centrality dependence of 〈pT〉 in heavy ion collisions [31], where the system size dependence of the Lund fragmentation parameters was suggested as a possible solution. Note that similar frameworks for the system size dependence have been implemented in the string fragmentation model [207-211]. Second, we have found in earlier developments of the AMPT model [119, 122] that the minijet transverse momentum cutoff p0 for central Pb+Pb collisions at the LHC energies needs to be significantly higher than that for pp collisions at the same energy. These observations suggest that the above two parameters should be related to the size of the colliding system to provide better initial conditions for the AMPT model.
Therefore, we have recently proposed [160] that the bL and p0 parameters in AMPT can be considered as local variables that depend on the nuclear thickness functions of the two incoming nuclei. This prescription allows us to use the parameter values obtained for pp collisions and the local nuclear scaling relations to obtain the values for AA collisions; the model would then describe the system size and centrality dependences of nuclear collisions self-consistently.
In the Lund string model [92, 93], the symmetric fragmentation function is given by Eq.(5). The average squared transverse momentum of massless hadrons is related to the Lund fragmentation parameters aL and bL as [13]
Consequently, the 〈pT〉of partons after string melting and the final hadrons are significantly affected by the value of bL. Since the mean transverse momentum of initial partons in heavy ion collisions is expected to be higher in larger systems due to the higher initial temperature, we expect the bL value to decrease with the system size. Note that the string tension is believed to be larger in a denser matter [209, 210, 212, 213], thus a decrease of bL with the system size is consistent with the expectation of a stronger color field and thus a higher string tension κ since κα/ 1=bL[13] as shown in Eq.(6).
In the above,
The exponent function β(s) describes the energy dependence of the local nuclear scaling of bL. From the fits to charged particle 〈pT〉 data in the most central Au+Au collisions at RHIC energies and most central Pb+Pb collisions at LHC energies, it is parameterized as
where E0=200 GeV and Θ(x) is the unit step function. The fitted β(s) function is shown in Fig. 14(a) (dashed curve), which is a constant at RHIC energies but grows rapidly at LHC energies. Note that β=1 at high energies (dotted line) may be a “natural” limit for Eq.(22) if we imagine that all local strings fully overlap so that the string tension adds up. That would give
-202110/1001-8042-32-10-011/alternativeImage/1001-8042-32-10-011-F014.jpg)
Figure 14(b) shows the bL value averaged over the overlap volume versus the impact parameter for Pb+Pb and pPb collisions at 5.02A TeV and Au+Au collisions at two RHIC energies. We see that 〈bL〉 for Pb+Pb collisions at the LHC energy is lower than that for Au+Au collisions at RHIC energies, which corresponds to a larger string tension due to the larger value of the exponent β(s) at LHC energies. On the other hand, the impact parameter dependences of 〈bL〉 at different RHIC energies are essentially the same since β(s) is a constant within that energy range. For pPb collisions at 5.02A TeV, its 〈bL〉 is higher than that in Pb+Pb collisions at small b and grows faster with b due to its smaller system size.
The minimum transverse momentum cutoff p0 for light flavor minijet productions is another key parameter in the HIJING model and thus in the initial condition of the AMPT model [23, 119, 142]. In our update of the AMPT model with modern nPDFs [119], the collision energy dependence of p0 is determined from fitting the pp cross section data. Then motivated by the physics of the color glass condensate [159], a global nuclear scaling of the p0 cutoff [119] has been introduced for central AA collisions above the top RHIC energy of 200A GeV to describe the experimental data on charged particle yields in central Pb+Pb collisions at LHC energies. Here [160] we go beyond the global nuclear scaling and instead consider p0 as a local variable that depends on the transverse position of the corresponding hard process in each event. As p0 is expected to increase with the system size, we related its value to the nuclear thickness functions in a general AB collision as [160]
As
Since
with α(s)=0 for
Figure 14(b) also shows the average p0 value as a function of the impact parameter for Pb+Pb collisions at 2.76A TeV and 5.02A TeV as well as pPb collisions at 5.02A TeV. As expected, we see that 〈p0〉 decreases with the impact parameter and that 〈p0〉 at the lower LHC energy is smaller than that at the higher LHC energy due to the smaller α(s) value. Also, 〈p0〉 in pPb collisions is smaller than that in Pb+Pb collisions at the same colliding energy due to its smaller size. In addition, the relative variation of 〈p0〉 with the impact parameter is seen to be much weaker than that of 〈bL〉 since
We show in Fig. 15 the dNch/dη yield in panel (a) and charged particle 〈pT〉 in panel (b) around mid-pseudorapidity versus centrality from different AMPT versions in comparison with the experimental data for Au+Au collisions at 200A GeV and Pb+Pb collisions at 5.02A TeV [216-222]. Using the local nuclear scaling, the improved AMPT model (solid curves) reasonably describes these centrality dependence data in AA collisions at both RHIC and the LHC energies, with a significant improvement in the 〈pT〉 description as shown in Fig. 15(b). When we switch off the local nuclear scaling of p0 and bL but instead use constant bL=0.15 GeV-2 and p0(s) (constant at a given energy), we recover the AMPT model developed earlier [122] and obtain the dot-dashed curves when using
-202110/1001-8042-32-10-011/alternativeImage/1001-8042-32-10-011-F015.jpg)
In Fig. 15(a), we see that the charged particle yield in central Pb+Pb collisions at 5.02A TeV is significantly overestimated when using
The local nuclear scaling relations also predict how observables depend on the system size going from large to small systems. Figures 16(a) and 16(b) show respectively the dNch/dη and charged particle 〈pT〉 around mid-pseudorapidity from the AMPT model [160] versus centrality in comparison with the experimental data for Au+Au collisions and several smaller collision systems [221, 223-226]. We see that the improved AMPT model describes these data rather well, further demonstrating the validity of the local nuclear scaling assumption. Note that, although the mid-pseudorapidity dNch/dη and 〈pT〉 data for the most central Au+Au/Pb+Pb collisions have been used in the determination of the parameter functions α(s) and β(s), the data of these smaller systems are not considered in the fitting of the parameters. Results for Au+Au collisions at 200A GeV are also presented in Fig. 16, and we see that the changes of the charge particle yield and 〈pT〉 from Cu+Cu to Au+Au collisions at 200A GeV are well accounted for by the local nuclear scaling. For example, the 〈pT〉 in Cu+Cu is generally smaller than that in Au+Au due to the larger bL value for Cu+Cu collisions. Note however that our calculations here have not considered the deformation of the Xe nucleus [227].
-202110/1001-8042-32-10-011/alternativeImage/1001-8042-32-10-011-F016.jpg)
2.8 PYTHIA8 initial condition with sub-nucleon structure
The modifications of the AMPT initial condition discussed so far have been performed within the framework of the HIJING two-component model that uses the PYTHIA5 program. While the development of local nuclear scaling [160] enables the AMPT model to reproduce the system size dependence and centrality dependence of changed particle yields and 〈pT〉 in pA and AA collisions using the parameter values for minimum bias pp collisions, we have not directly addressed the multiplicity dependence of these observables, especially the 〈pT〉, in pp collisions. On the other hand, PYTHIA8 [228] is quite successful in describing the particle yields in pp collisions. It has been extended to treat pA or AA collisions based on the Angantyr framework [229], and PYTHIA8 has been used as the initial condition generator for multiple heavy ion Monte Carlo models [230-232]. Therefore, it is worthwhile to have the option to use PYTHIA8 as the initial condition for the AMPT model.
Recently we have coupled PYTHIA8 with the final state parton and hadron interactions and quark coalescence [32] of the AMPT-SM model to study pp collisions [233]. In this approach, the fluctuating initial condition of AMPT originally provided by the HIJING model is replaced by the PYTHIA/Angantyr model [229]. In addition, the sub-nucleon structure, which could be important for collectivity observables in small systems [234-238], can be modeled when implementing the space-time structure of the string system generated by the PYTHIA multiparton interaction. With the proton charge distribution given by
with R=0.2 fm, the sub-nucleon spatial structure can be related to the transverse positions of the excited strings in two ways. In the first way, the transverse coordinates of the produced string objects are sampled according to the overlap function of a pp collision at a given impact parameter b:
where z is along the beam directions. In the second way, the initial transverse spatial condition including event-by-event sub-nucleon fluctuations is generated with a Glauber Monte Carlo method based on the constituent quark picture [236, 239-243]. By modeling the proton as three constituent quarks, the interaction of two protons can be interpreted as collisions between the constituent quarks from each incoming proton within the Glauber model framework [241, 244]. The positions of the quark constituents are first sampled with the proton profile ρ(r), then the transverse coordinates of the excited strings are randomly assigned to the binary collision center of each interacting constituent pair.
Figure 17 shows the effect of using PYTHIA8 as the AMPT initial condition on the identified particle 〈pT〉 versus the charge particle pseudo-rapidity density in pp collisions at
-202110/1001-8042-32-10-011/alternativeImage/1001-8042-32-10-011-F017.jpg)
Figure 18(a) shows the average initial spatial eccentricity of partons in the transverse plane right after string melting as a function of the parton multiplicity of each event from the two ways of generating the sub-nucleon spatial structure. Note that only partons with formation time less than 5 fm/c are considered, and eccentricities are calculated with the initial position of each parton at its formation time [246]. When using the overlap function weighting method (black curves), the eccentricity is largely driven by the geometric shape of the transverse overlap area and thus decreases significantly with the parton multiplicity as shown in panel (a) and increases significantly with the impact parameter as shown in panel (b). On the other hand, when using the Monte Carlo method with constituent quarks (red curves), large eccentricities in the initial condition can be generated even in very central collisions or events at high multiplicities. Figure 18(b) actually shows that the initial eccentricity from the constituent quark method is larger for pp collisions at smaller impact parameters, opposite to the behavior from the overlap function method.
-202110/1001-8042-32-10-011/alternativeImage/1001-8042-32-10-011-F018.jpg)
The difference in the initial spatial eccentricity could certainly affect final state momentum anisotropies in small collision systems after interactions in the AMPT model convert the spatial anisotropies into momentum anisotropies [26, 49, 50]. Using the AMPT model with PYTHIA8 as the initial condition, we have found [233] that two-particle long-range correlations in high multiplicity pp collisions at the LHC depend sensitively on how the sub-nucleon structure of the proton is implemented. We analyze the projected correlation function of two charged hadrons with a large pseudorapidity gap:
Both trigger and associate hadrons are required to be within 1<pT<3 GeV/c and |η|<2.4 following the analysis procedure of the CMS Collaboration [247], and the two hadrons in each pair must be separated in pseudo-rapidity with a gap |Δη|>2. Events are separated into two categories based on Nsel, the number of selected charge tracks with pT>0.4 GeV/c and |η|<2.4. High multiplicity events are defined as those with Nsel>80, while low multiplicity events are defined as those with Nsel<20.
Figure 18(c) shows the multiplicity dependence of the C(Δϕ) function from the two ways of generating the sub-nucleon spatial structure for 0.2 mb parton cross section [233]. We see that the AMPT model using PYTHIA8 shows a long-range ridge-like structure for high multiplicity events when the proton geometry is modeled with the constituent quark method (red solid curve), while the overlap function weighting method (black solid curve) does not show this structure. This demonstrates the connection between two-particle long-range correlations with the underlying sub-nucleon structure and fluctuations. Note that a significant near-side ridge structure in the correlation function is found in the experimental data, which has been regarded as an important signature of collectivity in high multiplicity pp events [44, 247].
We note that the original AMPT-SM model also shows the long-range near-side correlations, although it does not include the sub-nucleon structure [233]. In addition, the PYTHIA event generator itself has considered final state hadronic rescatterings [206, 248-250]. Using the AMPT-SM model with PYTHIA8 initial conditions, we can extend the study of pp collisions [233] to pA and AA collisions with the Angantyr model within the PYTHIA8 framework. That would lay a solid foundation for the studies of different mechanisms of collectivity, such as string shoving and parton/hadron evolutions, with the same model.
2.9 Improved algorithm for the parton cascade
Particle correlations and momentum anisotropies in the AMPT-SM model are usually dominated by parton interactions [13, 26, 41]. We have also found that even a few parton scatterings in a small system is enough to generate significant momentum anisotropies through the parton escape mechanism [49, 50]. It is therefore important to ensure that the parton cascade solution in the AMPT model is accurate.
The ZPC elastic parton cascade [109] in the AMPT model solves the Boltzmann equation by the cascade method, where a scattering happens when the closest distance between two partons is less than the range of interaction
where μ is a screening mass to regular the total cross section. This way the total cross section has no explicit dependence on
The above Eqs.(28-29) represent forward-angle scatterings. For isotropic scatterings,
It is well known that cascade calculations suffer from the causality violation [251, 252] due to the geometrical interpretation of cross section. This leads to inaccurate numerical results at high densities and/or large scattering cross sections (i.e., large opacities). For example, a recent study [29] has shown that the effect of causality violation on the elliptic flow from the AMPT-SM model [13] is small but non-zero. Causality violation also leads to the fact that different choices of performing collisions and/or the reference frame can lead to different numerical results [253-255]. These numerical artifacts due to the causality violation can be reduced or removed by the parton subdivision method [12, 43, 252, 254, 256–260]. However, parton subdivision usually alters the event-by-event correlations and fluctuations, the importance of which has been more appreciated in recent years [34]; it is also much more computationally expensive. Therefore, it is preferred to improve the parton cascade to yield solutions that are accurate enough without using parton subdivision. We have recently pursued this goal for box calculations [261].
In ZPC, one can take different choices or collision schemes to implement the cascade method [109]. With the closest approach criterion for parton scatterings, the closest approach distance is usually calculated in the two-parton center of mass frame. Two partons may collide when their closest approach distance is smaller than
Results from the default ZPC scheme [261] at σp=2.6 mb are shown in Fig. 19 (curves with open circles). Panel (a) shows the final parton pT distribution, while panels (b) and (c) show the time evolution of parton 〈pT〉 (scaled by T) and variance of pT (scaled by T2), respectively. The gluon system is initialized in a box with an off-equilibrium initial momentum distribution as shown by the dot-dashed curve in panel (a), where the gluon density is set the same as that for a thermalized gluon system with the Boltzmann distribution at temperature T=0.5 GeV. We see from Fig. 19(a) that the final distribution from the default ZPC scheme deviates considerably from the expected thermal distribution (dotted curve). On the other hand, we find that a new collision scheme, which uses (ct1,ct2) as both the collision time and ordering time, gives a final distribution very close to the thermal distribution [261]. The causality violation usually suppresses collision rates, which is the case for the default ZPC scheme; it is therefore understandable that choosing time (ct1,ct2) instead of (ct1+ct2)/2 enhances the collision rates and thus suppresses the causality violation.
-202110/1001-8042-32-10-011/alternativeImage/1001-8042-32-10-011-F019.jpg)
We use the parton subdivision method to obtain the “exact” time evolutions of 〈pT〉 and pT variance (dashed curves) in Figs. 19(b) and (c). We see that the time evolution of the pT variance from the default scheme deviates significantly from the “exact” parton subdivision result, although the time evolutions of 〈pT〉 are close to each other (mostly due to the conservation of total momentum). In contrast, the time evolution of the pT variance from the new scheme [261] is very close to the parton subdivision result, which at late times agrees with theoretical expectation (diamond). By examining cases of different parton densities and cross sections [261], we find rather surprisingly that the new scheme for ZPC gives very accurate results (i.e., very close to parton subdivision results and/or theoretical values) even at very large opacities, such as the case of T=0.7 GeV and σp=10 mb.
We have used a novel parton subdivision method for the results shown in Fig. 19. In the standard method, one increases the initial parton number per event by factor l while decreasing the cross section by the same factor, which can be schematically represented by the following:
where N is the initial parton number in an event and V is the initial volume of the parton system. Since the number of possible collisions scales with l2, the subdivision method is very expensive in terms of the computation time, which roughly scales with l2 per subdivision event or l per simulated parton. However, for box calculations where the density function f(x,p,t) is spatially homogeneous, the following new subdivision method can be used:
where we decrease the volume of the box by factor l while keeping the same parton number and momentum distribution in each event. This subdivision method is much more efficient than the standard subdivision method; we therefore use a huge subdivision factor 106 (instead of the usual value of up to a few hundreds).
We emphasize that the differential cross section must not be changed when performing parton subdivision; as a result, the exact transformation for parton subdivision is [261]
This is especially relevant for forward-angle scattering. For example, when parton subdivision requires the decrease of the forward-angle cross section of Eq.(29), one should not do that by increasing the screening mass μ by a factor of
Transport coefficients such as the shear viscosity η represent important properties of the created matter [262]. Therefore, we have also evaluated the effect of the new collision scheme on the shear viscosity η and its ratio over the entropy density η/s. The Green-Kubo relation [263, 264] has been applied [265-269] to calculate the shear viscosity at or near equilibrium. We thus start with an equilibrium initial condition for shear viscosity calculations according to the Green-Kubo relation [265].
Figure 20 shows our η/s results as functions of the opacity parameter χ, which is defined as [254]
-202110/1001-8042-32-10-011/alternativeImage/1001-8042-32-10-011-F020.jpg)
where n is the parton density and λ is the mean free path. The case shown in Fig. 19 for gluons in a box at T=0.5 GeV and σp=2.6 mb then corresponds to χ=2.0, and other χ values shown in Fig. 20 are obtained for the following cases: T=0.2 GeV and σp=2.6 mb, T=0.7 GeV and σp=5.2 mb, and T=0.7 GeV and σp=10 mb [261]. For isotropic scatterings of a massless Maxwell-Boltzmann gluon gas in equilibrium (where s=4n and degeneracy factor dg=16), we have the following Navier-Stokes expectation:
which only depends on the opacity χ. We see in Fig. 20 that for isotropic scatterings the subdivision result agrees well with the Navier-Stokes expectation (solid curve). On the other hand, the extracted η and η/s values from the default ZPC scheme are significantly different from the Navier-Stokes expectation or the parton subdivision results at large opacities, although they agree at low opacities as expected. We also see that the results from the new collision scheme are very close to the subdivision results for both forward-angle scatterings and isotropic scatterings, even at a huge opacity χ=41. The new ZPC collision scheme is the first step towards the validation and improvement of the ZPC parton cascade for scatterings in 3-dimensional expansion cases.
3 Other developments
There are other developments of the AMPT model that have not been covered in the previous section. Here we gave a brief overview of some of these works.
The AMPT model has been extended to include deformed nuclei as the projectile and/or target. First, deformed uranium nuclei are implemented [270] to study various observables in U+U collisions at 200A GeV and the effect of nuclear deformation. Later, the AMPT model has been modified to specify the initial proton and neutron spatial distributions in the 96Ru or 96Zr nucleus according to the density functional theory (DFT) calculations [271-273]. The effects of the DFT nuclear density distributions on the backgrounds and possible signals of the chiral magnetic effect (CME) in isobar collisions are then investigated [271]. The extended AMPT model is also used in the study that proposes a novel method to search for the CME in a single heavy ion collision system [272]. Another study [273] uses the model to study multiplicity distributions and elliptic flow in isobar collisions, where the differences between the two isobar systems have the potential to decisively discriminate DFT nuclear distributions from the usual Woods-Saxon density distributions.
The AMPT model has also been extended to include mean field potentials in the hadronic phase in a study of the elliptic flow splitting of particles and antiparticles at the RHIC BES energies [274]. A later study coupled the AMPT model with a parton transport based on the 3-flavor Nambu-Jona-Lasinio model [275] to include the partonic mean field potentials; it shows that a combination of partonic and hadronic mean field potentials can describe the observed splitting of elliptic flows.
The current AMPT model has been known to violate the electric charge conservation because of two reasons [276]. First, the hadron cascade is based on the ART model [84] that has K+ and K- as explicit particles but not K0 or
Recently we have developed a pure hadron cascade version of the AMPT model (AMPT-HC) [280] to study heavy ion collisions at low energies below a few GeVs. Note that the Eikonal formalism, which is a basis of the HIJING model and thus the initial condition of the standard AMPT model, is expected to break down for nuclear collisions at low enough energies. We thus treat a heavy ion collision as individual nucleon-nucleon collisions in the AMPT-HC model. First, we use the Woods-Saxon nucleon density distribution and the local Thomas-Fermi approximation to initialize the position and momentum of each nucleon in the incoming nuclei. Then primary nucleon-nucleon collisions are treated with the hadron cascade component of AMPT, without going through the Lund string fragmentation, the parton cascade, or quark coalescence. In addition to the usual elastic and inelastic collisions, the hadron cascade in the AMPT-HC model also includes hadron mean field potentials for kaons, baryons and antibaryons. This model has been used to study the
4 Summary and outlook
A multi-phase transport model was constructed to provide a self-contained kinetic theory-based description of relativistic nuclear collisions with its four main components: the fluctuating initial condition, partonic interactions, hadronization, and hadronic interactions. Here we review the main developments since the public release of the AMPT source code in 2004 and the 2005 publication that described the details of the model at that time. Several developments have been carried out to improve the initial condition, including the incorporation of finite nuclear thickness relevant for heavy ion collisions below the energy of tens of GeVs, the incorporation of modern parton distribution functions of nuclei for high energy heavy ion collisions, improvement of heavy quark productions, the use of local nuclear scaling of key input parameters for the system size dependence and centrality dependence, and the incorporation of PYTHIA8 and sub-nucleon structure. There are also ongoing efforts to improve the accuracy of the parton cascade without using the parton subdivision method that would alter event-by-event correlations and fluctuations. In addition, the spatial quark coalescence model has been further developed to allow a quark the freedom to form either a meson or a baryon depending on the distance to its coalescing partner(s), which improves baryon and antibaryon productions of the model. Furthermore, deuteron production and annihilation processes have been included in the hadron cascade, an AMPT version that satisfies the electric charge conservation has been developed, and a pure hadron cascade version of the AMPT model is recently developed to study heavy ion collisions at low energies below a few GeVs. For high energy nuclear collisions where the quark-gluon plasma is expected, the string melting version of the AMPT model can now reasonably and simultaneously describe the yield, transverse momentum spectrum and elliptic flow of the bulk matter from small to large collision systems. Consequently, the AMPT model has been applied to the study of various observables in nuclear collisions such as particle yields, particle correlations and anisotropic flows, vorticity and polarization.
Because the transport model approach can address non-equilibrium dynamics, it provides a complementary framework to hydrodynamical models for large systems at high energies, and more importantly it is well suited to study the transition from the dilute limit to the hydrodynamic limit. Therefore, it will be worthwhile to further develop a multi-phase transport as a dynamical model for relativistic nuclear collisions.
There are multiple areas that should be addressed in the future. Regarding the initial condition, at low enough energies the pure hadron cascade version should be applicable while at high enough energies the Eikonal formalism should be valid. It would be desirable to have a unified physics formulation that self-consistently changes from one regime to the other as the colliding energy increases. In addition, for high enough energies and/or large enough collision systems the QGP is expected to be formed, and consequently the string melting version of the AMPT model should be applicable instead the string-dominated default version. The AMPT model should be improved to dynamically determine whether the QGP should be formed in the initial state; it would then self-consistently change from a string-dominated initial condition to a parton-dominated one when the initial energy density is high enough. Another deficiency in the initial condition of the string melting AMPT model is the lack of gluons in the parton phase, and the color-glass-condensate approach would be ideal for including initial gluons once the approach can be generalized to address the quark degrees of freedom such as the nonzero net-baryon number. Regarding the parton phase, the parton cascade should be generalized to perform transport in the presence of an electromagnetic field to enable studies of the electromagnetic field and related observables. Another area of development concerns the study of high net-baryon density physics and the QCD critical point. The AMPT model could be coupled to or improved with effective theories such as the functional renormalization group method or the Nambu-Jona-Lasinio model to treat parton interactions self-consistently including the effective equation of state and effects from the critical point. Regarding the hadronization process, a dynamical parton recombination criterion, e.g., by using the local parton energy density as the recombination criterion instead of starting hadronization at the parton kinetic freezeout, should be developed. Also, additional mechanisms such as independent fragmentation should be included to treat partons that do not find suitable coalescence partners within the local phase space; this would enable the AMPT model to be applicable to studies of high pT physics once the radiative energy loss of high pT partons is considered in the parton phase. Regarding the hadron cascade, it can benefit from the inclusion of more resonances for more realistic thermodynamic properties and chemical equilibration of the hadron matter, and modern models such as the SMASH model could be a good choice as the new hadron cascade component. We expect that the AMPT model in the near future, even if only improved in a few focused areas, will enable us to address some key questions in heavy ion physics and also serve as a more reliable open source transport model for the community for various studies of nuclear collisions.
Vacuum stability and vacuum excitation in a spin 0 field theory
. Phys. Rev. D 9, 2291-2316 (1974). doi: 10.1103/PhysRevD.9.2291Quark-gluon plasma and hadronic production of leptons, photons and psions
. Phys. Lett. B 78, 150 (1978). doi: 10.1016/0370-2693(78)90370-2Quark gluon plasma and color glass condensate at RHIC? The Perspective from the BRAHMS experiment
. Nucl. Phys. A 757, 1-27 (2005). doi: 10.1016/j.nuclphysa.2005.02.130The PHOBOS perspective on discoveries at RHIC
. Nucl. Phys. A 757, 28-101 (2005). doi: 10.1016/j.nuclphysa.2005.03.084Experimental and theoretical challenges in the search for the quark gluon plasma: The STAR Collaboration’s critical assessment of the evidence from RHIC collisions
. Nucl. Phys. A 757, 102-183 (2005). doi: 10.1016/j.nuclphysa.2005.03.085Formation of dense partonic matter in relativistic nucleus-nucleus collisions at RHIC: Experimental evaluation by the PHENIX collaboration
. Nucl. Phys. A 757, 184-283 (2005). doi: 10.1016/j.nuclphysa.2005.03.086Collective flow and viscosity in relativistic heavy-ion collisions
. Ann. Rev. Nucl. Part. Sci. 63, 123-151 (2013). doi: 10.1146/annurev-nucl-102212-170540Heavy ion collisions: the big picture, and the big questions
. Ann. Rev. Nucl. Part. Sci. 68, 339-376 (2018). doi: 10.1146/annurev-nucl-101917-020852New forms of QCD matter discovered at RHIC
. Nucl. Phys. A 750, 30-63 (2005). doi: 10.1016/j.nuclphysa.2004.10.034Microscopic models for ultrarelativistic heavy ion collisions
. Prog. Part. Nucl. Phys. 41, 255-369 (1998). doi: 10.1016/S0146-6410(98)00058-1A multiphase transport model for nuclear collisions at RHIC
. Phys. Rev. C 61, 067901 (2000). doi: 10.1103/PhysRevC.61.067901Thermalization of gluons in ultrarelativistic heavy ion collisions by including three-body interactions in a parton cascade
. Phys. Rev. C 71, 064901 (2005). doi: 10.1103/PhysRevC.71.064901A Multi-phase transport model for relativistic heavy ion collisions
. Phys. Rev. C 72, 064901 (2005). doi: 10.1103/PhysRevC.72.064901Parton-Hadron-String Dynamics: an off-shell transport approach for relativistic energies
. Nucl. Phys. A 831, 215-242 (2009). doi: 10.1016/j.nuclphysa.2009.09.007Radial and elliptic flow at RHIC: Further predictions
. Phys. Lett. B 503, 58-64 (2001). doi: 10.1016/S0370-2693(01)00219-2Universality of the diffusion wake from stopped and punch-through jets in heavy-ion collisions
. Phys. Rev. C 79, 034902 (2009). doi: 10.1103/PhysRevC.79.034902Elliptic and triangular flow in event-by-event (3+1)D viscous hydrodynamics
. Phys. Rev. Lett. 106, 042301 (2011). doi: 10.1103/PhysRevLett.106.042301Collective flow in p-Pb and d-Pd collisions at TeV energies
. Phys. Rev. C 85, 014911 (2012). doi: 10.1103/PhysRevC.85.014911A fully integrated transport approach to heavy ion reactions with an intermediate hydrodynamic stage
. Phys. Rev. C 78, 044901 (2008). doi: 10.1103/PhysRevC.78.044901Event-by-event simulation of the three-dimensional hydrodynamic evolution from flux tube initial conditions in ultrarelativistic heavy ion collisions
. Phys. Rev. C 82, 044904 (2010). doi: 10.1103/PhysRevC.82.044904200 A GeV Au+Au collisions serve a nearly perfect quark-gluon liquid
. Phys. Rev. Lett. 106, 192301 (2011). [erratum: Phys. Rev. Lett. 109, 139904 (2012)] doi: 10.1103/PhysRevLett.106.192301Charged particle rapidity distributions at relativistic energies
. Phys. Rev. C 64, 011902 (2001). doi: 10.1103/PhysRevC.64.011902HIJING: A Monte Carlo model for multiple jet production in p p, p A and A A collisions
. Phys. Rev. D 44, 3501-3516 (1991). doi: 10.1103/PhysRevD.44.3501HIJING 1.0: A Monte Carlo program for parton and particle production in high-energy hadronic and nuclear collisions
. Comput. Phys. Commun. 83, 307 (1994). doi: 10.1016/0010-4655(94)90057-4High-energy physics event generation with PYTHIA 5.7 and JETSET 7.4
. Comput. Phys. Commun. 82, 74-90 (1994). doi: 10.1016/0010-4655(94)90132-5Partonic effects on the elliptic flow at RHIC
. Phys. Rev. C 65, 034904 (2002). doi: 10.1103/PhysRevC.65.034904Evolution of transverse flow and effective temperatures in the parton phase from a multi-phase transport model
. Phys. Rev. C 90, no.1, 014904 (2014). doi: 10.1103/PhysRevC.90.014904Elliptic flow at large transverse momenta from quark coalescence
. Phys. Rev. Lett. 91, 092301 (2003). doi: 10.1103/PhysRevLett.91.092301How AMPT generates large elliptic flow with small cross sections
. arXiv:1906.12313 [nucl-th].Elliptic and triangular flow in p+Pb and peripheral Pb+Pb collisions from parton scatterings
. Phys. Rev. Lett. 113, no.25, 252301 (2014). doi: 10.1103/PhysRevLett.113.252301Predictions for snn=5.02 TeV Pb+Pb collisions from a multi-phase transport model
. Phys. Rev. C 93, no.5, 054911 (2016). doi: 10.1103/PhysRevC.93.054911Improved quark coalescence for a multi-phase transport model
. Phys. Rev. C 96, no.1, 014910 (2017). doi: 10.1103/PhysRevC.96.014910Two-particle angular correlations in pp and p-Pb collisions at energies available at the CERN Large Hadron Collider from a multiphase transport model
. Phys. Rev. C 98, no.3, 034912 (2018). doi: 10.1103/PhysRevC.98.034912Collision geometry fluctuations and triangular flow in heavy-ion collisions
. Phys. Rev. C 81, 054905 (2010). [erratum: Phys. Rev. C 82, 039903 (2010)] doi: 10.1103/PhysRevC.82.039903Rotating quark-gluon plasma in relativistic heavy ion collisions
. Phys. Rev. C 94, no.4, 044910 (2016). [erratum: Phys. Rev. C 95, no.4, 049904 (2017)] doi: 10.1103/PhysRevC.94.044910Global Λ polarization in heavy-ion collisions from a transport model
. Phys. Rev. C 96, no.5, 054908 (2017). doi: 10.1103/PhysRevC.96.054908Effects of finite coverage on global polarization observables in heavy ion collisions
. Phys. Lett. B 780, 319-324 (2018). doi: 10.1016/j.physletb.2018.02.076Systematic measurements of identified particle spectra in p p, d+ Au and Au+Au collisions from STAR
. Phys. Rev. C 79, 034909 (2009). doi: 10.1103/PhysRevC.79.034909Anisotropy as a signature of transverse collective flow
. Phys. Rev. D 46, 229-245 (1992). doi: 10.1103/PhysRevD.46.229Hydrodynamic modeling of heavy-ion collisions
. Int. J. Mod. Phys. A 28, 1340011 (2013). doi: 10.1142/S0217751X13400113Origin of the mass splitting of elliptic anisotropy in a multiphase transport model
. Phys. Rev. C 93, no.5, 051901 (2016). doi: 10.1103/PhysRevC.93.051901Origin of the mass splitting of azimuthal anisotropies in a multiphase transport model
. Phys. Rev. C 96, no.1, 014901 (2017). doi: 10.1103/PhysRevC.96.014901Saturation of elliptic flow and the transport opacity of the gluon plasma at RHIC
. Nucl. Phys. A 697, 495-520 (2002). [erratum: Nucl. Phys. A 703, 893-894 (2002)]. doi: 10.1016/S0375-9474(01)01224-6Observation of long-range near-side angular correlations in proton-proton collisions at the LHC
. JHEP 09, 091 (2010). doi: 10.1007/JHEP09(2010)091Measurement of long-range angular correlation and quadrupole anisotropy of pions and (anti)protons in central d+Au collisions at sNN=200 GeV
. Phys. Rev. Lett. 114, no.19, 192301 (2015). doi: 10.1103/PhysRevLett.114.192301Creation of quark–gluon plasma droplets with three distinct geometries
. Nature Phys. 15, no.3, 214-220 (2019). doi: 10.1038/s41567-018-0360-0Elliptic flow in proton-proton collisions at sqrt(S) = 7 TeV
. Eur. Phys. J. C 71, 1530 (2011). doi: 10.1140/epjc/s10052-010-1530-0Correlations from hydrodynamic flow in p-Pb collisions
. Phys. Lett. B 718, 1557-1561 (2013). doi: 10.1016/j.physletb.2012.12.051Anisotropic parton escape is the dominant source of azimuthal anisotropy in transport models
. Phys. Lett. B 753, 506-510 (2016). doi: 10.1016/j.physletb.2015.12.051Elliptic anisotropy v2 may be dominated by particle escape instead of hydrodynamic flow
. Nucl. Phys. A 956, 316-319 (2016). doi: 10.1016/j.nuclphysa.2016.01.017Nearly isentropic flow at sizeable η/s
. Phys. Lett. B 783, 274-279 (2018). doi: 10.1016/j.physletb.2018.06.064Hydrodynamic flow in small systems or: “How the heck is it possible that a system emitting only a dozen particles can be described by fluid dynamics?”
. J. Phys. Conf. Ser. 1271, no.1, 012018 (2019). doi: 10.1088/1742-6596/1271/1/012018The smallest fluid on earth
. arXiv:2102.11189 [nucl-th].Multiparticle collectivity from initial state correlations in high energy proton-nucleus collisions
. Phys. Rev. Lett. 120, no.4, 042002 (2018). doi: 10.1103/PhysRevLett.120.042002Hierarchy of azimuthal anisotropy harmonics in collisions of small systems from the color glass condensate
. Phys. Rev. Lett. 121, no.5, 052301 (2018). [erratum: Phys. Rev. Lett. 123, no.3, 039901 (2019)] doi: 10.1103/PhysRevLett.121.052301One fluid to rule them all: viscous hydrodynamic description of event-by-event central p+p, p+Pb and Pb+Pb collisions at s=5.02 TeV
. Phys. Lett. B 774, 351-356 (2017). doi: 10.1016/j.physletb.2017.09.077Flow in AA and pA as an interplay of fluid-like and non-fluid like excitations
. Eur. Phys. J. C 79, no.11, 965 (2019). doi: 10.1140/epjc/s10052-019-7428-6Long-range collectivity in small collision-systems with two- and four-particle correlations @ STAR
. Nucl. Phys. A 1005, 122041 (2021). doi: 10.1016/j.nuclphysa.2020.122041Kinematic dependence of azimuthal anisotropies in p + Au, d + Au, 3He + Au at sNN = 200 GeV
. arXiv:2107.06634 [hep-ex].The Open Standard Codes and Routines (OSCAR)
project at https://karman.physics.purdue.edu/OSCAR-old/Source codes of various AMPT
versions are available at http://myweb.ecu.edu/linz/ampt/Observation of an antimatter hypernucleus
. Science 328, 58-62 (2010). doi: 10.1126/science.1183980Production of nuclei and antinuclei in pp and Pb-Pb collisions with ALICE at the LHC
. J. Phys. G 38, 124189 (2011). doi: 10.1088/0954-3899/38/12/124189Probing QCD critical fluctuations from light nuclei production in relativistic heavy-ion collisions
. Phys. Lett. B 774, 103-107 (2017). doi: 10.1016/j.physletb.2017.09.056Baryon clustering at the critical line and near the hypothetical critical point in heavy-ion collisions
. Phys. Rev. C 100, no.2, 024903 (2019). doi: 10.1103/PhysRevC.100.024903Mapping the phases of quantum chromodynamics with beam energy scan
. Phys. Rept. 853, 1-87 (2020). doi: 10.1016/j.physrep.2020.01.005A study of the properties of the QCD phase diagram in high-energy nuclear collisions
. Particles 3, no.2, 278-307 (2020). doi: 10.3390/particles3020022Thermal hadron production in high-energy heavy ion collisions
. Z. Phys. C 57, 135-148 (1993). doi: 10.1007/BF01555746Properties of hot and dense matter from relativistic heavy ion collisions
. Phys. Rept. 621, 76-126 (2016). doi: 10.1016/j.physrep.2015.12.003On the coalescence model for high-energy nuclear reactions
. Phys. Lett. B 98, 153-157 (1981). doi: 10.1016/0370-2693(81)90976-XEntropy and cluster production in nuclear collisions
. Phys. Rept. 131, 223-318 (1986). doi: 10.1016/0370-1573(86)90031-1Final state interactions in the production of hydrogen and helium isotopes by relativistic heavy ions on uranium
. Phys. Rev. Lett. 37, 667-670 (1976). doi: 10.1103/PhysRevLett.37.667Light (anti-)nuclei production and flow in relativistic heavy-ion collisions
. Phys. Rev. C 92, no.6, 064911 (2015). doi: 10.1103/PhysRevC.92.064911Analytical coalescence formula for particle production in relativistic heavy-ion collisions
. Phys. Rev. C 95, no.4, 044905 (2017). doi: 10.1103/PhysRevC.95.044905Production of deuterons and pions in a transport model of energetic heavy ion reactions
. Nucl. Phys. A 533, 712-748 (1991). doi: 10.1016/0375-9474(91)90541-DElliptic flow of deuterons in relativistic heavy-ion collisions
. Phys. Rev. C 76, 054910 (2007). doi: 10.1103/PhysRevC.76.054910Deuteron production and elliptic flow in relativistic heavy ion collisions
. Phys. Rev. C 80, 064902 (2009). doi: 10.1103/PhysRevC.80.064902Differential Cross Sections for p+p – > d+pi+ from 1 to 3 BeV
. Phys. Rev. 167, 1232-1239 (1968). doi: 10.1103/PhysRev.167.1232Measurements of the differential cross-section of the reaction p p → d pi+ from 3.0 to 5.0 gev/c
. Phys. Rev. D 9, 580-596 (1974). doi: 10.1103/PhysRevD.9.580Measurement of the p p cross-sections in the momentum range 0.9-2.0 GeV/c
. Nucl. Phys. A 386, 571-588 (1982). doi: 10.1016/0375-9474(82)90037-9Differential cross-section for the pi+ d → p p reaction from 80-MeV to 417-MeV
. Phys. Rev. C 25, 2540-2549 (1982). doi: 10.1103/PhysRevC.25.2540Measurement of the differential cross-sections for the pi+ d → p p reaction at pion energies of 280-MeV, 300-MeV, 330-MeV, 357-MeV, 390-MeV, 420-MeV and 450-MeV
. J. Phys. G 11, 69-83 (1985). doi: 10.1088/0305-4616/11/1/012Total cross-section of the reaction pi+ d → p p at pion energies 26-MeV to 40-MeV
. Phys. Lett. B 300, 24-28 (1993). doi: 10.1016/0370-2693(93)90742-ZFormation of superdense hadronic matter in high-energy heavy ion collisions
. Phys. Rev. C 52, 2037-2063 (1995). doi: 10.1103/PhysRevC.52.2037Excitation functions in central Au + Au collisions from SIS / GSI to AGS Brookhaven
. Nucl. Phys. A 601, 457-472 (1996). doi: 10.1016/0375-9474(96)00037-1Studies of superdense hadronic matter in a relativistic transport model
. Int. J. Mod. Phys. E 10, 267-352 (2001). doi: 10.1142/S0218301301000575Analysis of the reaction pi+ d → p p to 500-MeV
. Phys. Rev. C 48, 1926-1938 (1993). doi: 10.1103/PhysRevC.49.1229Deuteron formation in nuclear collisions
. Nucl. Phys. A 402, 596-611 (1983). doi: 10.1016/0375-9474(83)90222-1Microscopic study of deuteron production in PbPb collisions at s=2.76TeV via hydrodynamics and a hadronic afterburner
. Phys. Rev. C 99, no.4, 044907 (2019). doi: 10.1103/PhysRevC.99.044907Light nuclei production in a multiphase transport model for relativistic heavy ion collisions
. Phys. Rev. C 103, no.6, 064909 (2021). doi: 10.1103/PhysRevC.103.064909Suppression of light nuclei production in collisions of small systems at the Large Hadron Collider
. Phys. Lett. B 792, 132-137 (2019). doi: 10.1016/j.physletb.2019.03.033A general model for jet fragmentation
. Z. Phys. C 20, 317 (1983). doi: 10.1007/BF01407824Parton fragmentation and string dynamics
. Phys. Rept. 97, 31-145 (1983). doi: 10.1016/0370-1573(83)90080-7Partonic effects on pion interferometry at RHIC
. Phys. Rev. Lett. 89, 152301 (2002). doi: 10.1103/PhysRevLett.89.152301Pb-Pb collisions at sNN=2.76 TeV in a multiphase transport model
. Phys. Rev. C 83, 034904 (2011). doi: 10.1103/PhysRevC.83.034904Gauge invariance and mass. II
. Phys. Rev. 128, 2425-2429 (1962). doi: 10.1103/PhysRev.128.2425Neutral pion production with respect to centrality and reaction plane in Au+Au collisions at sNN=200 GeV
. Phys. Rev. C 87, no.3, 034911 (2013). doi: 10.1103/PhysRevC.87.034911Centrality determination of Pb-Pb collisions at sNN = 2.76 TeV with ALICE
. Phys. Rev. C 88, no.4, 044909 (2013). doi: 10.1103/PhysRevC.88.044909Identified charged particle spectra and yields in Au+Au collisions at S(NN)**1/2 = 200-GeV
. Phys. Rev. C 69, 034909 (2004). doi: 10.1103/PhysRevC.69.034909Charged meson rapidity distributions in central Au+Au collisions at s(NN)**(1/2) = 200-GeV
. Phys. Rev. Lett. 94, 162301 (2005). doi: 10.1103/PhysRevLett.94.162301Centrality dependence of π, K, p production in Pb-Pb collisions at sNN = 2.76 TeV
. Phys. Rev. C 88, 044910 (2013). doi: 10.1103/PhysRevC.88.044910PHENIX measurements of higher-order flow harmonics for identified charged hadrons in Au+Au collisions at sNN=39−200 GeV
. Nucl. Phys. A 904-905, 353c-356c (2013). doi: 10.1016/j.nuclphysa.2013.02.022Measurement of the azimuthal anisotropy for charged particle production in sNN=2.76 TeV lead-lead collisions with the ATLAS detector
. Phys. Rev. C 86, 014907 (2012). doi: 10.1103/PhysRevC.86.014907Measurement of the elliptic anisotropy of charged particles produced in PbPb collisions at sNN=2.76 TeV
. Phys. Rev. C 87, no.1, 014902 (2013). doi: 10.1103/PhysRevC.87.014902Measurement of the centrality and pseudorapidity dependence of the integrated elliptic flow in lead-lead collisions at sNN=2.76 TeV with the ATLAS detector
. Eur. Phys. J. C 74, no.8, 2982 (2014). doi: 10.1140/epjc/s10052-014-2982-4Centrality and pseudorapidity dependence of elliptic flow for charged hadrons in Au+Au collisions at s(NN)**(1/2) = 200-GeV
. Phys. Rev. C 72, 051901 (2005). doi: 10.1103/PhysRevC.72.051901Evidence for transverse momentum and pseudorapidity dependent event plane fluctuations in PbPb and pPb collisions
. Phys. Rev. C 92, no.3, 034911 (2015). doi: 10.1103/PhysRevC.92.034911Decorrelation of anisotropic flow along the longitudinal direction
. Eur. Phys. J. A 52, no.4, 97 (2016). doi: 10.1140/epja/i2016-16097-xZPC 1.0.1: A Parton cascade for ultrarelativistic heavy ion collisions
. Comput. Phys. Commun. 109, 193-206 (1998). doi: 10.1016/S0010-4655(98)00010-1Hadrons from coalescence plus fragmentation in AA collisions at energies available at the BNL Relativistic Heavy Ion Collider to the CERN Large Hadron Collider
. Phys. Rev. C 92, no.5, 054904 (2015). doi: 10.1103/PhysRevC.92.054904Jet fragmentation via recombination of parton showers
. Phys. Rev. C 93, no.4, 045207 (2016). doi: 10.1103/PhysRevC.93.045207Baryon spectra and antiparticle-to-particle ratios from the improved AMPT model
. EPJ Web Conf. 171, 14004 (2018). doi: 10.1051/epjconf/201817114004Two-particle angular correlations in heavy ion collisions from a multiphase transport model
. Phys. Rev. C 99, no.5, 054904 (2019). doi: 10.1103/PhysRevC.99.054904Omega- and anti-Omega+ production in Au+Au collisions at s(NN)**(1/2) = 130-GeV and 200-GeV
. Nucl. Phys. A 715, 470-4735 (2003). doi: 10.1016/S0375-9474(02)01451-3Scaling properties of hyperon production in Au+Au Collisions at s**(1/2) = 200-GeV
. Phys. Rev. Lett. 98, 062301 (2007). doi: 10.1103/PhysRevLett.98.062301Multi-strange baryon production at mid-rapidity in Pb-Pb collisions at sNN = 2.76 TeV
. Phys. Lett. B 728, 216-227 (2014). [erratum: Phys. Lett. B 734, 409-410 (2014)]. doi: 10.1016/j.physletb.2014.05.052Quark liberation and coalescence at CERN SPS
. Phys. Lett. B 472, 243-246 (2000). doi: 10.1016/S0370-2693(99)01461-6Update of a multiphase transport model with modern parton distribution functions and nuclear shadowing
. Phys. Rev. C 99, no.6, 064906 (2019). doi: 10.1103/PhysRevC.99.064906Possible resolutions of the D-paradox
. Phys. Rev. C 71, 051901 (2005). doi: 10.1103/PhysRevC.71.051901Phase-space coalescence for heavy and light quarks at RHIC
. Eur. Phys. J. ST 155, 45-59 (2008). doi: 10.1140/epjst/e2008-00588-yImprovement of heavy flavor production in a multiphase transport model updated with modern nuclear parton distribution functions
. Phys. Rev. C 101, no.3, 034905 (2020). doi: 10.1103/PhysRevC.101.034905Enhanced production of strange baryons in high-energy nuclear collisions from a multiphase transport model
. Phys. Rev. C 102, no.1, 014906 (2020). doi: 10.1103/PhysRevC.102.014906Extension of the Bjorken energy density formula of the initial state for relativistic heavy ion collisions
. Phys. Rev. C 98, no.3, 034908 (2018). doi: 10.1103/PhysRevC.98.034908Calculating the initial energy density in heavy ion collisions by including the finite nuclear thickness
. Phys. Rev. C 103, no.2, 024907 (2021). doi: 10.1103/PhysRevC.103.024907New approach to initializing hydrodynamic fields and mini-jet propagation in quark-gluon fluids
. Phys. Rev. C 95, no.5, 054914 (2017). doi: 10.1103/PhysRevC.95.054914A hybrid approach to relativistic heavy-ion collisions at the RHIC BES energies
. Nucl. Phys. A 967, 796-799 (2017). doi: 10.1016/j.nuclphysa.2017.06.008Highly relativistic nucleus-nucleus collisions: the central rapidity region
. Phys. Rev. D 27, 140-151 (1983). doi: 10.1103/PhysRevD.27.140A web interface that calculates the average initial energy density at mid-pseudorapidity of central AA collisions with the semi-analytical method of Ref. [125]
is available at http://myweb.ecu.edu/linz/densities/Super collider physics
. Rev. Mod. Phys. 56, 579-707 (1984). doi: 10.1103/RevModPhys.56.579Soft hard scattering in the TeV range
. Phys. Rev. Lett. 54, 1754 (1985). doi: 10.1103/PhysRevLett.54.1754Low pT jets and the rise with energy of the inelastic cross-section
. Phys. Lett. B 182, 199-207 (1986). doi: 10.1016/0370-2693(86)91577-7Progress in the determination of the partonic structure of the proton
. Ann. Rev. Nucl. Part. Sci. 63, 291-328 (2013). doi: 10.1146/annurev-nucl-102212-170607Structure functions
. Prog. Part. Nucl. Phys. 66, 727-781 (2011). doi: 10.1016/j.ppnp.2011.06.001Hadronic structure in high-energy collisions
. Rev. Mod. Phys. 92, no.4, 045003 (2020). doi: 10.1103/RevModPhys.92.045003Parton distributions for event generators
. JHEP 04, 035 (2010). doi: 10.1007/JHEP04(2010)035Parton distribution functions suitable for Monte Carlo event generators
. JHEP 06, 018 (2002). doi: 10.1088/1126-6708/2002/06/018A Comparison of new MC-adapted Parton Densities
. Eur. Phys. J. C 69, 19-29 (2010). doi: 10.1140/epjc/s10052-010-1391-6Q**2 dependent parametrizations of parton distribution functions
. Phys. Rev. D 30, 49-54 (1984). doi: 10.1103/PhysRevD.30.49Current status and further improvements of a multi-phase transport (AMPT) model
. Indian J. Phys. 85, 837-841 (2011). doi: 10.1007/s12648-011-0086-7New generation of parton distributions with uncertainties from global QCD analysis
. JHEP 07, 012 (2002). doi: 10.1088/1126-6708/2002/07/012Hadron production in p+p, p+Pb, and Pb+Pb collisions with the HIJING 2.0 model at energies available at the CERN Large Hadron Collider
. Phys. Rev. C 83, 014915 (2011). doi: 10.1103/PhysRevC.83.014915Dynamical parton distributions of the proton and small x physics
. Z. Phys. C 67, 433-448 (1995). doi: 10.1007/BF01624586EPPS16: Nuclear parton distributions with LHC data
. Eur. Phys. J. C 77, no.3, 163 (2017). doi: 10.1140/epjc/s10052-017-4725-9Global analysis of nuclear parton distributions
. Phys. Rev. D 85, 074028 (2012). doi: 10.1103/PhysRevD.85.074028nCTEQ15 - Global analysis of nuclear parton distributions with uncertainties in the CTEQ framework
. Phys. Rev. D 93, no.8, 085037 (2016). doi: 10.1103/PhysRevD.93.085037Determination of nuclear parton distribution functions and their uncertainties in next-to-leading order
. Phys. Rev. C 76, 065207 (2007). doi: 10.1103/PhysRevC.76.065207Nuclear parton distributions from lepton-nucleus scattering and the impact of an electron-ion collider
. Eur. Phys. J. C 79, no.6, 471 (2019). doi: 10.1140/epjc/s10052-019-6983-1Shadowing effects on quark and gluon production in ultrarelativistic heavy ion collisions
. Z. Phys. C 51, 633-642 (1991). doi: 10.1007/BF01565590The Effect of shadowing on initial conditions, transverse energy and hard probes in ultrarelativistic heavy ion collisions
. Phys. Rev. C 61, 044904 (2000). doi: 10.1103/PhysRevC.61.044904Inhomogeneous shadowing effects on J/psi production in dA collisions
. Phys. Rev. Lett. 91, 142301 (2003). doi: 10.1103/PhysRevLett.91.142301Leading twist nuclear shadowing phenomena in hard processes with nuclei
. Phys. Rept. 512, 255-393 (2012). doi: 10.1016/j.physrep.2011.12.002Theoretical modeling of J/psi yield modifications in proton (deuteron) - nucleus collisions at high energy
. Phys. Rev. C 84, 044911 (2011). doi: 10.1103/PhysRevC.84.044911Factorization and transverse phase-space parton distributions
. arXiv:2102.12916 [hep-ph].Impact-parameter dependent nuclear parton distribution functions: EPS09s and EKS98s and their applications in nuclear hard processes
. JHEP 07, 073 (2012). doi: 10.1007/JHEP07(2012)073Scale evolution of nuclear parton distributions
. Nucl. Phys. B 535, 351-371 (1998). doi: 10.1016/S0550-3213(98)00589-6EPS09: A new generation of nlo and lo nuclear parton distribution functions
. JHEP 04, 065 (2009). doi: 10.1088/1126-6708/2009/04/065Role of multiple mini-jets in high-energy hadronic reactions
. Phys. Rev. D 43, 104-112 (1991). doi: 10.1103/PhysRevD.43.104Computing quark and gluon distribution functions for very large nuclei
. Phys. Rev. D 49, 2233-2241 (1994). doi: 10.1103/PhysRevD.49.2233Using local nuclear scaling of initial condition parameters to improve the system size dependence of transport model descriptions of nuclear collisions
. Phys. Rev. C. 104, 014908 (2021).Probing parton thermalization time with charm production
. Phys. Rev. Lett. 68, 2437-2439 (1992). doi: 10.1103/PhysRevLett.68.2437Open charm as a probe of preequilibrium dynamics in nuclear collisions
. Phys. Rev. C 51, 2177-2187 (1995). [erratum: Phys. Rev. C 52, 440 (1995)] doi: 10.1103/PhysRevC.52.440Open heavy-flavor production in heavy-ion collisions
. Ann. Rev. Nucl. Part. Sci. 69, 417-445 (2019). doi: 10.1146/annurev-nucl-101918-023806Directed flow of charm quarks as a witness of the initial strong magnetic field in ultra-relativistic heavy ion collisions
. Phys. Lett. B 768, 260-264 (2017). doi: 10.1016/j.physletb.2017.02.046Large directed flow of open charm mesons probes the three dimensional distribution of matter in heavy ion collisions
. Phys. Rev. Lett. 120, no.19, 192301 (2018). doi: 10.1103/PhysRevLett.120.192301Directed flow of open charm in Au+Au collisions at sNN = 200 GeV using a quark coalescence model
. Phys. Rev. C 97, no.6, 064917 (2018). doi: 10.1103/PhysRevC.97.064917Ds-meson as quantitative probe of diffusion and hadronization in nuclear collisions
. Phys. Rev. Lett. 110, no.11, 112301 (2013). doi: 10.1103/PhysRevLett.110.112301A T-Matrix calculation for in-medium heavy-quark gluon scattering
. Nucl. Phys. A 896, 24-45 (2012). doi: 10.1016/j.nuclphysa.2012.09.008Heavy quark transport in heavy ion collisions at energies available at the BNL Relativistic Heavy Ion Collider and at the CERN Large Hadron Collider within the UrQMD hybrid model
. Phys. Rev. C 93, no.1, 014901 (2016). doi: 10.1103/PhysRevC.93.014901Toward the determination of heavy-quark transport coefficients in quark-gluon plasma
. Phys. Rev. C 99, no.5, 054907 (2019). doi: 10.1103/PhysRevC.99.054907Resolving discrepancies in the estimation of heavy quark transport coefficients in relativistic heavy-ion collisions
. Phys. Rev. C 99, no.1, 014902 (2019). doi: 10.1103/PhysRevC.99.014902Heavy quark correlations in hadron collisions at next-to-leading order
. Nucl. Phys. B 373, 295-345 (1992). doi: 10.1016/0550-3213(92)90435-EInclusive D*+- production in p anti-p collisions with massive charm quarks
. Phys. Rev. D 71, 014018 (2005). doi: 10.1103/PhysRevD.71.014018Revisiting the D-meson hadroproduction in general-mass variable flavour number scheme
. JHEP 05, 196 (2018). doi: 10.1007/JHEP05(2018)196QCD predictions for charm and bottom production at RHIC
. Phys. Rev. Lett. 95, 122001 (2005). doi: 10.1103/PhysRevLett.95.122001Predictions of heavy-flavor suppression at 5.1 TeV Pb + Pb collisions at the CERN Large Hadron Collider
. Phys. Rev. C 92, no.2, 024918 (2015). doi: 10.1103/PhysRevC.92.024918Bridging soft-hard transport properties of quark-gluon plasmas with CUJET3.0
. JHEP 02, 169 (2016). doi: 10.1007/JHEP02(2016)169Heavy flavors in heavy-ion collisions: quenching, flow and correlations
. Eur. Phys. J. C 75, no.3, 121 (2015). doi: 10.1140/epjc/s10052-015-3336-6Heavy flavor at the large hadron collider in a strong coupling approach
. Phys. Lett. B 735, 445-450 (2014). doi: 10.1016/j.physletb.2014.05.050Energy loss, hadronization and hadronic interactions of heavy flavors in relativistic heavy-ion collisions
. Phys. Rev. C 92, no.2, 024907 (2015). doi: 10.1103/PhysRevC.92.024907Elastic and radiative heavy quark interactions in ultra-relativistic heavy-ion collisions
. J. Phys. G 42, no.11, 115106 (2015). doi: 10.1088/0954-3899/42/11/115106Heavy and light flavor jet quenching at RHIC and LHC energies
. Phys. Lett. B 777, 255-259 (2018). doi: 10.1016/j.physletb.2017.12.023Influence of hadronic bound states above Tc on heavy-quark observables in Pb + Pb collisions at at the CERN Large Hadron Collider
. Phys. Rev. C 89, no.1, 014905 (2014). doi: 10.1103/PhysRevC.89.014905Charm production in Pb + Pb collisions at energies available at the CERN Large Hadron Collider
. Phys. Rev. C 93, no.3, 034906 (2016). doi: 10.1103/PhysRevC.93.034906Toward a solution to the RAA and v2 puzzle for heavy quarks
. Phys. Lett. B 747, 260-264 (2015). doi: 10.1016/j.physletb.2015.06.003Charmed Hadrons from Coalescence plus Fragmentation in relativistic nucleus-nucleus collisions at RHIC and LHC
. Eur. Phys. J. C 78, no.4, 348 (2018). doi: 10.1140/epjc/s10052-018-5828-7Charm elliptic flow at RHIC
. Phys. Rev. C 72, 024906 (2005). doi: 10.1103/PhysRevC.72.024906Charm quarks are more hydrodynamic than light quarks in final-state elliptic flow
. Phys. Rev. C 99, no.4, 044911 (2019). doi: 10.1103/PhysRevC.99.044911Matching the nonequilibrium initial stage of heavy ion collisions to hydrodynamics with QCD kinetic theory
. Phys. Rev. Lett. 122, no.12, 122302 (2019). doi: 10.1103/PhysRevLett.122.122302Effective kinetic description of event-by-event pre-equilibrium dynamics in high-energy heavy-ion collisions
. Phys. Rev. C 99, no.3, 034910 (2019). doi: 10.1103/PhysRevC.99.034910Heavy flavour hadro-production from fixed-target to collider energies
. Phys. Rept. 433, 127-180 (2006). doi: 10.1016/j.physrep.2006.05.005Heavy quark production in p+p and energy loss and flow of heavy quarks in Au+Au collisions at sNN=200 GeV
. Phys. Rev. C 84, 044905 (2011). doi: 10.1103/PhysRevC.84.044905Measurements of D0 and D* production in p+p collisions at s=200 GeV
. Phys. Rev. D 86, 072013 (2012). doi: 10.1103/PhysRevD.86.072013Prompt charm production in pp collisions at sqrt(s)=7 TeV
. Nucl. Phys. B 871, 1-20 (2013). doi: 10.1016/j.nuclphysb.2013.02.010Measurement of D*±, D± and Ds± meson production cross sections in pp collisions at s=7 TeV with the ATLAS detector
. Nucl. Phys. B 907, 717-763 (2016). doi: 10.1016/j.nuclphysb.2016.04.032Measurement of charm production at central rapidity in proton-proton collisions at s=2.76 TeV
. JHEP 07, 191 (2012). doi: 10.1007/JHEP07(2012)191Measurement of D-meson production at mid-rapidity in pp collisions at s=7 TeV
. Eur. Phys. J. C 77, no.8, 550 (2017). doi: 10.1140/epjc/s10052-017-5090-4Centrality and transverse momentum dependence of D0-meson production at mid-rapidity in Au+Au collisions at sNN=200 GeV
. Phys. Rev. C 99, no.3, 034908 (2019). doi: 10.1103/PhysRevC.99.034908Measurements of open charm hadron production in Au+Au Collisions at sNN = 200 GeV at STAR
. PoS HardProbes2018, 142 (2018). doi: 10.22323/1.345.0142Charm-baryon production in proton-proton collisions
. Phys. Lett. B 795, 117-121 (2019). doi: 10.1016/j.physletb.2019.06.004First measurement of Λc baryon production in Au+Au collisions at sNN = 200 GeV
. Phys. Rev. Lett. 124, no.17, 172301 (2020). doi: 10.1103/PhysRevLett.124.172301A Model for J/psi absorption in hadronic matter
. Phys. Rev. C 62, 034903 (2000). doi: 10.1103/PhysRevC.62.034903Hadronic scattering of charm mesons
. Phys. Rev. C 61, 024904 (2000). doi: 10.1103/PhysRevC.61.024904Charm meson scattering cross-sections by pion and rho meson
. Nucl. Phys. A 689, 965-979 (2001). doi: 10.1016/S0375-9474(00)00611-4Charmonium absorption by nucleons
. Phys. Rev. C 63, 044906 (2001). doi: 10.1103/PhysRevC.63.044906Hadronic rescattering in pA and AA collisions
. Eur. Phys. J. A 57, no.7, 227 (2021). doi: 10.1140/epja/s10050-021-00543-3On the dynamics of a color rope: The Fragmentation of interacting strings and the longitudinal distributions
. Nucl. Phys. B 355, 82-105 (1991). doi: 10.1016/0550-3213(91)90303-FEffects of color reconnection on hadron flavor observables
. Phys. Rev. D 92, no.9, 094010 (2015). doi: 10.1103/PhysRevD.92.094010Effects of overlapping strings in pp collisions
. JHEP 03, 148 (2015). doi: 10.1007/JHEP03(2015)148Thermodynamical string fragmentation
. JHEP 01, 140 (2017). doi: 10.1007/JHEP01(2017)140Rope hadronization and strange particle production
. EPJ Web Conf. 171, 14003 (2018). doi: 10.1051/epjconf/201817114003Color rope model for extreme relativistic heavy ion collisions
. Nucl. Phys. B 245, 449-468 (1984). doi: 10.1016/0550-3213(84)90441-3Increase of effective string tension and production of strange particles
. Phys. Lett. B 409, 393 (1997). doi: 10.1016/S0370-2693(97)00793-4Alternative ansatz to wounded nucleon and binary collision scaling in high-energy nuclear collisions
. Phys. Rev. C 92, no.1, 011901 (2015). doi: 10.1103/PhysRevC.92.011901Applying Bayesian parameter estimation to relativistic heavy-ion collisions: simultaneous characterization of the initial state and quark-gluon plasma medium
. Phys. Rev. C 94, no.2, 024907 (2016). doi: 10.1103/PhysRevC.94.024907Bulk properties of the medium produced in relativistic heavy-ion collisions from the Beam Energy Scan program
. Phys. Rev. C 96, no.4, 044904 (2017). doi: 10.1103/PhysRevC.96.044904Centrality dependence of charged hadron transverse momentum spectra in Au + Au collisions from s(NN)**(1/2) = 62.4-GeV to 200-GeV
. Phys. Rev. Lett. 94, 082304 (2005). doi: 10.1103/PhysRevLett.94.082304Transverse momentum and collision energy dependence of high p(T) hadron suppression in Au+Au collisions at ultrarelativistic energies
. Phys. Rev. Lett. 91, 172302 (2003). doi: 10.1103/PhysRevLett.91.172302Centrality dependence of charged particle production at large transverse momentum in Pb-Pb collisions at sNN=2.76 TeV
. Phys. Lett. B 720, 52-62 (2013). doi: 10.1016/j.physletb.2013.01.051Transverse momentum spectra and nuclear modification factors of charged particles in pp, p-Pb and Pb-Pb collisions at the LHC
. JHEP 11, 013 (2018). doi: 10.1007/JHEP11(2018)013Transverse energy production and charged-particle multiplicity at midrapidity in various systems from sNN=7.7 to 200 GeV
. Phys. Rev. C 93, no.2, 024901 (2016). doi: 10.1103/PhysRevC.93.024901Centrality dependence of the pseudorapidity density distribution for charged particles in Pb-Pb collisions at sNN=5.02 TeV
. Phys. Lett. B 772, 567-577 (2017). doi: 10.1016/j.physletb.2017.07.017Transverse momentum spectra and nuclear modification factors of charged particles in Xe-Xe collisions at sNN = 5.44 TeV
. Phys. Lett. B 788, 166-179 (2019). doi: 10.1016/j.physletb.2018.10.052Centrality and pseudorapidity dependence of the charged-particle multiplicity density in Xe–Xe collisions at sNN =5.44TeV
. Phys. Lett. B 790, 35-48 (2019). doi: 10.1016/j.physletb.2018.12.048System size and centrality dependence of charged hadron transverse momentum spectra in Au + Au and Cu + Cu collisions at s(NN)**(1/2) = 62.4-GeV and 200-GeV
. Phys. Rev. Lett. 96, 212301 (2006). doi: 10.1103/PhysRevLett.96.212301Centrality dependence of particle production in p-Pb collisions at sNN = 5.02 TeV
. Phys. Rev. C 91, no.6, 064905 (2015). doi: 10.1103/PhysRevC.91.064905Nuclear ground-state masses and deformations: FRDM(2012)
. Atom. Data Nucl. Data Tabl. 109-110, 1-204 (2016). doi: 10.1016/j.adt.2015.10.002An introduction to PYTHIA 8.2
. Comput. Phys. Commun. 191, 159-177 (2015). doi: 10.1016/j.cpc.2015.01.024The Angantyr model for heavy-ion collisions in PYTHIA8
. JHEP 10, 134 (2018). doi: 10.1007/JHEP10(2018)134Unified description of hadron yield ratios from dynamical core-corona initialization
. Phys. Rev. C 101, no.2, 024912 (2020). doi: 10.1103/PhysRevC.101.024912First results with HIJING++ on high-energy heavy ion collisions
. arXiv:1805.02635 [hep-ph].The JETSCAPE framework
. arXiv:1903.07706 [nucl-th].Investigating high energy proton proton collisions with a multi-phase transport model approach based on PYTHIA8 initial conditions
. arXiv:2104.05998 [hep-ph].Eccentric protons? Sensitivity of flow to system size and shape in p+p, p+Pb and Pb+Pb collisions
. Phys. Rev. Lett. 113, 102301 (2014). doi: 10.1103/PhysRevLett.113.102301Evidence of strong proton shape fluctuations from incoherent diffraction
. Phys. Rev. Lett. 117, no.5, 052301 (2016). doi: 10.1103/PhysRevLett.117.052301Initial state fluctuations in collisions between light and heavy ions
. Phys. Rev. C 94, no.2, 024919 (2016). doi: 10.1103/PhysRevC.94.024919Imprints of fluctuating proton shapes on flow in proton-lead collisions at the LHC
. Phys. Lett. B 772, 681-686 (2017). doi: 10.1016/j.physletb.2017.07.038Estimates of hadron azimuthal anisotropy from multiparton interactions in proton-proton collisions at s=14 TeV
. Eur. Phys. J. C 66, 173-185 (2010). doi: 10.1140/epjc/s10052-009-1232-7Nucleon participants or quark participants?
. Phys. Rev. C 67, 064905 (2003). doi: 10.1103/PhysRevC.67.064905A systematic study of the initial state in heavy ion collisions based on the quark participant assumption
. Eur. Phys. J. A 52, 45 (2016). doi: 10.1140/epja/i2016-16045-xGlauber modeling of high-energy nuclear collisions at the subnucleon level
. Phys. Rev. C 94, no.2, 024914 (2016). doi: 10.1103/PhysRevC.94.024914Wounded quarks in A+A, p+A, and p+p collisions
. Phys. Rev. C 94, no.1, 014902 (2016). doi: 10.1103/PhysRevC.94.014902GLISSANDO 3: GLauber Initial-State Simulation AND mOre, ver. 3
. Comput. Phys. Commun. 245, 106850 (2019). doi: 10.1016/j.cpc.2019.07.014Progress in the Glauber model at collider energies
. arXiv:2011.14909 [hep-ph].Multiplicity dependence of π , K, and p production in pp collisions at s=13 TeV
. Eur. Phys. J. C 80, no.8, 693 (2020). doi: 10.1140/epjc/s10052-020-8125-1Minimal conditions for collectivity in e+e- and p+p collisions
. Phys. Rev. C 97, no.2, 024909 (2018). doi: 10.1103/PhysRevC.97.024909Evidence for collectivity in pp collisions at the LHC
. Phys. Lett. B 765, 193-220 (2017). doi: 10.1016/j.physletb.2016.12.009A framework for hadronic rescattering in pp collisions
. Eur. Phys. J. C 80, no.10, 907 (2020). doi: 10.1140/epjc/s10052-020-8399-3The space–time structure of hadronization in the Lund model
. Eur. Phys. J. C 78, no.11, 983 (2018). doi: 10.1140/epjc/s10052-018-6459-8Studies of heavy-ion collisions using PYTHIA Angantyr and UrQMD
. arXiv:2002.10236 [hep-ph].Causality and relativistic effects in intranuclear cascade calculations
. Phys. Rev. C 29, 2146-2152 (1984). doi: 10.1103/PhysRevC.29.2146Causality violations in cascade models of nuclear collisions
. Phys. Rev. C 52, 2714-2724 (1995). doi: 10.1103/PhysRevC.52.2714Frame dependence of parton cascade results
. Phys. Rev. C 56, 2185-2190 (1997). doi: 10.1103/PhysRevC.56.2185Equation of state and collision rate tests of parton cascade models
. Phys. Rev. C 58, 1175-1182 (1998). doi: 10.1103/PhysRevC.58.1175The Effect of finite range interactions in classical transport theory
. Phys. Rev. C 65, 024901 (2002). doi: 10.1103/PhysRevC.65.024901Dynamics of nuclear fluid. VIII. Time-dependent Hartree-Fock approximation from a classical point of view
. Phys. Rev. C 25, 1460-1475 (1982). doi: 10.1103/PhysRevC.25.1460Collisional relaxation in simulations of heavy-ion collisions using Boltzmann-type equations
. Phys. Rev. C 40, 2611-2620 (1989). doi: 10.1103/PhysRevC.40.2611General Cascade Program
, inNew solutions to covariant nonequilibrium dynamics
. Phys. Rev. C 62, 054907 (2000). doi: 10.1103/PhysRevC.62.054907Dissipation and elliptic flow at RHIC
. Phys. Rev. Lett. 94, 012302 (2005). doi: 10.1103/PhysRevLett.94.012302Validation and improvement of the ZPC parton cascade inside a box
. Phys. Rev. C 102, no.2, 024904 (2020). doi: 10.1103/PhysRevC.102.024904Nearly perfect fluidity: from cold atomic gases to hot quark gluon plasmas
. Rept. Prog. Phys. 72, 126001 (2009). doi: 10.1088/0034-4885/72/12/126001Markoff random processes and the statistical mechanics of time-dependent phenomena. II. Irreversible processes in fluids
. J. Chem. Phys. 22, 398 (1954).Statistical-mechanical theory of irreversible processes. I. General theory and simple applications to magnetic and conduction problems
. J. Phys. Soc. Jpn. 12, 570 (1957).Shear viscosity coefficient from microscopic models
. Phys. Rev. C 69, 044901 (2004). doi: 10.1103/PhysRevC.69.044901Shear-viscosity to entropy-density ratio of a relativistic hadron gas
. Phys. Rev. Lett. 102, 172302 (2009). doi: 10.1103/PhysRevLett.102.172302Shear viscosity in a perturbative quark-gluon-plasma
. J. Phys. G 38, 015004 (2011). doi: 10.1088/0954-3899/38/1/015004Calculation of shear viscosity using Green-Kubo relations within a parton cascade
. Phys. Rev. C 84, 054911 (2011). doi: 10.1103/PhysRevC.84.054911Shear viscosity to entropy density ratio in the Boltzmann-Uehling-Uhlenbeck model
. Phys. Rev. C 84, 024607 (2011). doi: 10.1103/PhysRevC.84.024607Multiplicity, average transverse momentum and azimuthal anisotropy in U+U collisions at sNN = 200 GeV using AMPT model
. Phys. Rev. C 85, 034905 (2012). doi: 10.1103/PhysRevC.85.034905Importance of isobar density distributions on the chiral magnetic effect search
. Phys. Rev. Lett. 121, no.2, 022301 (2018). doi: 10.1103/PhysRevLett.121.022301Varying the chiral magnetic effect relative to flow in a single nucleus-nucleus collision
. Chin. Phys. C 42, no.8, 084103 (2018). doi: 10.1088/1674-1137/42/8/084103Multiphase transport model predictions of isobaric collisions with nuclear structure from density functional theory
. Phys. Rev. C 98, no.5, 054907 (2018). doi: 10.1103/PhysRevC.98.054907Effects of hadronic potentials on elliptic flows in relativistic heavy ion collisions
. Phys. Rev. C 85, 041901 (2012). doi: 10.1103/PhysRevC.85.041901Elliptic flow splitting as a probe of the QCD phase structure at finite baryon chemical potential
. Phys. Rev. Lett. 112, 012301 (2014). doi: 10.1103/PhysRevLett.112.012301Recent developments of a multi-phase transport model
. Acta Phys. Polon. Supp. 7, no.1, 191-197 (2014). doi: 10.5506/APhysPolBSupp.7.191Probe chiral magnetic effect with signed balance function
. Chin. Phys. C 44, no.5, 054101 (2020). doi: 10.1088/1674-1137/44/5/054101Background evaluations for the chiral magnetic effect with normalized correlators using a multiphase transport model
. Eur. Phys. J. C 80, no.5, 383 (2020). doi: 10.1140/epjc/s10052-020-7928-4Double strangeness Ξ− production as a probe of nuclear equation of state at high densities
. Phys. Lett. B 820, 136521 (2021). doi: 10.1016/j.physletb.2021.136521

-202110/1001-8042-32-10-011/alternativeImage/1001-8042-32-10-011-F001.jpg)
-202110/1001-8042-32-10-011/alternativeImage/1001-8042-32-10-011-F009.jpg)
-202110/1001-8042-32-10-011/alternativeImage/1001-8042-32-10-011-F010.jpg)
-202110/1001-8042-32-10-011/alternativeImage/1001-8042-32-10-011-F013.jpg)
