1 INTRODUCTION
The Shanghai high repetition rate X-ray free-electron laser and extreme light facility (SHINE) will include the first 8 GeV high repetition rate X-ray free-electron laser (XFEL) in China. The XFEL will be operated at 1 MHz repetition rates and will be driven by a 1.3 GHz continuous wave (CW) superconducting linac. The quality of the electron beam, which highly depends on the electron gun, is the most important factor in the performances of the XFEL [1].
Very high frequency (VHF) photocathode electron guns have several advantages, including low radio frequency (RF), CW operation mode, relatively large volume, easy photocathode replacement, high electric field gradient, low dark current [2-4], and is selected for X-ray FEL electron guns, such as the advanced photocathode experiment (APEX) gun in Linac Coherent Light Source II (LCLS-II) [5] and the Deutsches Elektronen Synchrotron (DESY) VHF gun in the European XFEL [6]. VHF electron guns need a very high RF microwave power (∼100 kW) under high average current intensity and CW operation. Considering the power capacity of coaxial waveguides and the influence of dipole fields, the RF microwave power is delivered by two power couplers [7-9].
To generate high quality electron beams, the acceleration field in the VHF electron gun cavity must be very stable. For example, the APEX gun requires RF amplitude stability of 0.01% (root mean square, RMS) and phase stability of 0.04° (RMS) [5]. However, many random and manufacturing errors result in differences in the microwave parameters between two power couplers. The differences in incident signals and nonlinear noise will result in a difference in the input between two power couplers, leading to an unstable electric field. To explore the influences of these differences and develop measurement formulae for low power and high-power measurements, a multi-port transient LCR circuit model is developed in this study.
In addition to intrinsic errors, there are other extrinsic factors that can influence the cavity field stability. In the process of warm-up, the microwave power increases step-by-step to avoid interlocking that caused by the RF cavity reflection. During the microwave power increase, if the speed of cooling water is constant, the cavity temperature will rise for power dissipation of cavity walls impedance. The cavity structure will be deformed and result in cavity resonant frequency change [10]. If the mechanical tuner is applied for correcting the resonant frequency, it may be damaged due to frequent and long-distance movements. To solve this problem, Z. Fang [11] developed an auto-tuning system to automatically adjust the mechanical tuner and tune the input RF frequency to the cavity resonance frequency by monitoring the zero phase-slope during field decay in superconducting cavities. He presented the proportion relation between the phase-slope and the detuned frequency. However, the detuned frequency is nonlinear with the cavity temperature change, and it is dozens times larger than the bandwidth of the VHF cavity, so this method is not accurate enough.
The self-excited loop (SEL) system is suitable for solving this problem. The fundamental parts of SEL are a linear filter and phase shifter. In low-level RF control systems (LLRFs), the cavity is a narrowband filter, and it oscillates from loop noise. There are only two conditions to be satisfied: the loop gain must be greater than one, and the loop phase must be an integer multiple of 2π. [12]. The SEL algorithm has one distinct advantage over generator-driven resonators (GDRs): the frequency difference between the reference and cavity can be obtained and quickly tuned, even if the cavity has been detuned by many bandwidths [13]. The SEL was first used in an analog version in superconducting accelerator resonators by Delayen in 1978 [14]. Then, a digital SEL (DSEL) was developed and implemented to control superconducting cavities at the TeV–Energy Superconducting Linear Accelerator project (TESLA) test facility and the Continuous Electron Beam Accelerator Facility (CEBAF) in 2001 and 2002, respectively [15-17]. In principle, the phase of CW machines systems do not need to lock to the reference; the SEL is more suitable for accelerating cavities, which operate in CW mode with a high loaded quality factor, but it can be used for any resonator cavity.
This paper is broadly divided into three parts. The first part details the derivation of the steady-state and transient state mathematics model of the multi-port cavity. The second part introduces the simulation result of the steady-state model of the VHF gun. The third part presents the layout and modeling of the LLRF control system and the simulation results of the SEL/GDR control system using the Simulink Toolbox in MATLAB.
2 CAVITY MODEL
The VHF electron gun is microwave powered by two solid-state power amplifiers through two power couplers. Considering two power coupler ports and one field detector port, the VHF gun cavity model can be built into a three-port model. Fig. 1 presents the equivalent parallel LCR circuit of the VHF gun cavity. The solid-state power amplifiers are regarded as voltage sources V1 and V2.
-202001/1001-8042-31-01-008/alternativeImage/1001-8042-31-01-008-F001.jpg)
where, ω is the RF angular frequency; Z1 and Z2, which are real values, are the impedances of the two transmission lines; RP is the load of the field detector, which is also a real value; IB represents the influence of the electron beam; R0, L, and C are the resistance, inductance, and capacitance of the VHF cavity; β1, β2, and βP are the coupler coefficients of power couplers 1 and 2 and the field detector coupler, respectively; and N1, N2, and N3 are the equivalent transfer rates of the power couplers 1 and 2 and the field detector coupler, respectively.
For simplicity, the left parts of the cavity and the field detector coupler are moved to the side of the cavity. Fig. 2 shows the equivalent LCR circuit of the VHF cavity at the cavity side. Among the parts, the power sources 1 and 2 are equivalent to current sources
-202001/1001-8042-31-01-008/alternativeImage/1001-8042-31-01-008-F002.jpg)
2.1 Steady-state equation
T. Schilcher [18] obtained the cavity voltage at the side of the transmission line as follows:
Here,
The cavity field established by the dual-port input can be considered as the superposition of the vector field when each port is input separately. First, assuming that only the power source 1 is operated, the impedance of the VHF cavity at the side of the transmission line 1 is
Here, Zc=R0+iωL+1/iωC is the impedance of the VHF cavity,
Based on Eq. (3), the cavity voltage
Here, βT=β1+β2+βP, and
From the measurement equations [19, 20], we obtain the transmitted voltage
Similarly, we can obtain the transmitted voltage
Finally, when both power sources are operated, the cavity voltage at the side of the cavity is
The voltage reflected on the transmission line 1 is
The voltage of the field detector is
According to Eqs. (8), the phase of the reflected voltage can easily change by 180° due to the tiny change of the forward voltage when β1, β2 is equal to 0.5. In the LLRF system, the reflected and forward signals in the ports in the coupler direction can be used to calculate the cavity field, controlled by a feedback loop. Therefore, the frequent change of the phase of the reflected voltage will make the control loop unstable. To avoid this, the coupler coefficient can be set as over coupling. In this study, we set β1=0.51, β2=0.51.
2.2 Transient state equation
The baseband cavity transient model is given by [18]
Here,
By applying a Laplace Transform to Eqs. (10), we obtain a transfer function in baseband:
Neglecting the effect of the beam loading, the reflected voltage
3 CAVITY SIMULATION
The steady-state model of the VHF gun cavity is built based on Eqs. (7), (8), and (9), and the parameters of the VHF gun cavity are listed in Table 1. To obtain the desired high quality electron beam, the stability of the VHF cavity field is required to be 0.04% (RMS) in amplitude and 0.01° (RMS) in phase. In order to acquire the balanced field distribution, the criterions of the microwave parameter difference and the incident signals difference between two input couplers will be discussed in this section. The influence of the detuned resonant frequency is not discussed in this section.
| Parameters | Values |
|---|---|
| ω0/2π (MHz) | 162.5 |
| Q0 | 34193 |
| β1 | 0.51 |
| β2 | 0.51 |
| βP | 1e-4 |
| Rs (MΩ) | 7.06 |
| Z1 (Ω) | 50 |
| Z2 (Ω) | 50 |
| ω1/2/2π (kHz) | 9.31 |
3.1 Optimal input coupler coefficient
The amplitudes and phases of the two forward voltages are set as constant values: 1 V and 45°, respectively. The simulation results present the amplitude of the reflected voltage 1 increases with increasing β1, but the relationship between them is nonlinear. This can be explained through Eq. (8). Similarly, the relationship between the amplitude of reflected voltage 2 and β2 is also nonlinear. In addition, the amplitude of the field detector voltage is the highest under β1=β2. In other words, the amplitude of the cavity voltage is maximum. When the value of |β1-0.51| and |β2-0.51| are both less than 0.03,
3.2 Influence of the forward power difference
The forward power is proportional to the square of the forward voltage amplitude of the power source, so we can change the amplitude of the forward voltage to substitute the change in forward power. The phases of the forward voltages 1 and 2 are always 45°. The coefficients of the two input couplers are both 0.51. Because the coupling coefficient of the VHF cavity is over coupling, the amplitudes of the reflected voltages 1 and 2 are not minimum when the amplitudes of the forward voltages 1 and 2 are equal. The results show that the amplitude of the field detector voltage increase with increasing amplitude of the forward voltage. When ΔAmfor/Amfor100%<0.04% (ΔAmfor is the sum of the RMS amplitude change value; Amfor is the sum of the amplitudes of the two forward voltages, and the amplitude stability of the cavity voltage meets the requirement. The phases of reflected voltage 1, reflected voltage 2, and the field detector voltage are always 45°, no matter how many times the amplitudes of the forward voltages change.
3.3 influence of the forward phase difference
In a similar way, the amplitudes of the forward voltages 1 and 2 are fixed to 1 V, and the coefficients of the input couplers 1 and 2 are both 0.51 in order to explore the field instability due to the differences between the phases of the forward voltages 1 and 2. The simulation results show that the amplitude of the reflected voltage increases with increasing difference between the phases of the forward voltages 1 and 2. When the phases of the forward voltages 1 and 2 are equal, the amplitude of the detector voltage is maximum. In addition, when the difference between the phases of the forward and reference voltages is less than 0.01°, we can get ΔAmfor/Amfor100%<0.04%, and the phase stability requirement can be met.
4 CONTROL SYSTEM SIMULATION
The block diagram from the Simulink modeling for the VHF cavity and LLRF control system is presented in Fig. 3. The block of the VHF cavity is built based on matrix (12) and the parameters in table 1. The two solid-state amplifiers are separately controlled by two loops to reduce the difference between the two control loops. In order to simulate the time delay of the cable and perform data acquisition and processing, the loop delay block is built, and the delay is set to 0.2 μ s. The block of the phase shifter is used to simulate the phase shifter, which is usually used in real control systems. For simplicity, the solid-state amplifier is modeled by a simple amplifier with a gain of 1.
-202001/1001-8042-31-01-008/alternativeImage/1001-8042-31-01-008-F003.jpg)
To compare the characteristics of the GDR and SEL modes, the model is first simulated when the resonant frequency is very close to the power source frequency. Then, the SEL mode is also tested after detuning the VHF cavity by many bandwidths.
4.1 Drive signal
To oscillate the control loop, a drive signal is added. This requires the energy of the drive signal to be higher than the quantization noise and much lower than the system state energy. In this study, the drive signal is a single pulse with a 0.5 V amplitude and a 0.1 ms pulse width, which is generated by two-step signals.
4.2 GDR control system
The GDR algorithm is the most popular feedback control method in the LLRF control system. The advantage of GDR is that it can quickly lock the phase when it is used in a pulsed system. The disadvantage is that the cavity resonance frequency must be very close to the power source frequency to prevent the power source from operating in the saturation region. The details of the controller block of the GDR mode are shown in Fig. 4. The reference values of the amplitude and phase are 1 V and 45°, respectively. For correcting the error between set-point values and measured variable values, the proportional-integral-derivative (PID) controller is used in the control system [21, 22]. Because the derivative term is sensitive to the noise signal, the LLRF control system only uses a proportional-integral(PI) controller in a general way [23, 24].
-202001/1001-8042-31-01-008/alternativeImage/1001-8042-31-01-008-F004.jpg)
Because the forward and reflected signal of the power coupler 1 are the same as those of the power coupler 2, only the signals of the power coupler 1 are presented in the following discussion. For comparison with the SEL, we assume the detuning frequency is 2 kHz. At steady-state, the amplitude and phase stabilities of the cavity field can meet the requirements. And, while the amplitude of the reflected voltage is stable, it is too high, which often causes interlocking, as shown in Fig. 5.
-202001/1001-8042-31-01-008/alternativeImage/1001-8042-31-01-008-F005.jpg)
At the initial stage (0-0.3 ms), the amplitude of the forward voltage has a 1.2 V flat peak, which is caused by the forward limiter. The differences between the initial and set-point values of the cavity voltage amplitude result in a high peak on the amplitude of the reflected voltage. Then, the amplitude of the reflected voltage rapidly decreases due to the increasing f cavity voltage. For a similar reason, the phase of the reflected voltage also has a peak at the beginning. Then, it has a 180° change due to the change in the transmission direction. The amplitude and phase of the cavity voltage are quickly locked to 1 V at 0.5 ms, respectively, and have perfect stability in the stable state.
4.3 The SEL control system
Based on the SEL model in the I-Q domain [25] and the SEL amplitude and phase feedback concept [12], the SEL model also includes amplitude and phase feedback, as shown in Fig. 6.
-202001/1001-8042-31-01-008/alternativeImage/1001-8042-31-01-008-F006.jpg)
The yellow part indicates a loop limiter, which guarantees the limit of the loop amplitude and is a fundamental part of SEL. The green part of the model indicates an unlocked SEL, also called a free SEL. During free SEL mode, the loop frequency automatically tracks the resonator frequency, and the amplitude of the cavity field will be stable and unaffected by the cavity detuning. Finally, the light blue part indicates the amplitude feedback loop, which can accurately lock the amplitude at the amplitude reference value.
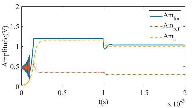
As shown in Fig. 7, the free SEL mode is turned on at 0 ms; the amplitudes of the forward and reflected voltages are both 0.5 V in the beginning, and then increase due to the loop oscillation. However, the peak is reduced by the forward limiter. The amplitude of the reflected voltage quickly drops as the cavity voltage increases sharply in approximately 1 ms. Then, it becomes relatively low after 0.3 ms. The cavity voltage is stabilized at approximately 1.01 V after 0.3 ms. The phases of the forward, reflected, and cavity voltages all oscillate between -180° and 180°.
-202001/1001-8042-31-01-008/alternativeImage/1001-8042-31-01-008-F007.jpg)
At 1 ms, the control mode is switched from free SEL mode to SEL with the amplitude feedback mode. In the initial stage, the difference between the initial phase and set-point value of the cavity voltage results in a small peak in the plot of the amplitude of the forward voltage. Then, the small peak causes a sharp spine of the amplitude of the cavity field and reflected voltages.
As presented in Fig. 8, if the cavity is detuned to 150 kHz, the amplitude of the cavity field can oscillate from the driven signal. However, the gain of the loop must be increased to 2, and a 90° must be added to the phase shifter.
-202001/1001-8042-31-01-008/alternativeImage/1001-8042-31-01-008-F008.jpg)
The frequency spectrum of the control loop (Fig. 9) shows that, even if the resonant frequency is detuned by many bandwidths, the loop frequency also follows the resonant frequency and does not affect the peak power of the frequency spectrum in SEL mode.
-202001/1001-8042-31-01-008/alternativeImage/1001-8042-31-01-008-F009.jpg)
5 CONCLUSION
A dual-feeding model for VHF gun cavities is developed and modeled in Sect. 2, 3. Based on the model, the influences of differences in the coupling coefficient, forward power, and forward phase between two couplers are discussed. This helps to evaluate the performance of the VHF cavity in low power and high power modes and satisfy the requirement of the future FPGA firmware.
In Sect. 4, the Simulink models of the GDR/SEL feedback control system for VHF cavities are established and simulated. The results show that the SEL mode has a much smaller reflection than the GDR mode when the resonant frequency is detuned by a few kHz. Furthermore, the SEL mode can follow the resonant frequency and stabilized the amplitude effectively even if the cavity resonant frequency is detuned by many bandwidths. In the future, the GDR/SEL feedback control system will be developed and implemented in the FPGA firmware.
Advanced photoinjector experiment photogun commissioning results
. Phys. Rev. Spec. Top.-Ac. 15, 103501 (2012). https://doi.org/10.1103/PhysRevSTAB.15.103501Status of the APEX project at LBNL
,The LCLS-II injector design
,Dark current studies on a normal-conducting high-brightness very-high-frequency electron gun operating in continuous wave mode
, Phys. Rev. Spec. Top.-Ac. 18, 013401 (2015). https://link.aps.org/doi/10.1103/PhysRevSTAB.18.013401LCLS-II gun/buncher LLRF system design
,A cryocooled normal-conducting and superconducting hybrid CW photoinjector
,KEK ERL cryomodule development
,Development of the superconducting RF 2-cell cavity for the cERL injector at KEK
. Nucl. Instrum. Meth. A 714, 67 (2013). https://doi.org/10.1016/j.nima.2013.02.035Booster cavity and fundamental power coupler design issues for bERLinPro
,Design and implementation of frequency tracking and amplitude-phase feedback in RFQ low level control system
, Nucl. Tech., 41, 060202(2018).https://doi.org/10.11889/j.0253-3219.2018.hjs.41.060202 (in Chinese)Auto-tuning systems for J-PARC LINAC RF cavities
, Nucl. Instrum. Meth. A 767, 135 (2014). https://dx.doi.org/10.1016/j.nima.2014.08.014Self-ecxited loop. Jefferson lab LLRF workshop
. https://www.jlab.org/intralab/calendar/archive01/LLRF/Delayen.pdf.. AccessedA digital self excited loop for accelerating cavity field control
,Phase and amplitude stabilization of superconducting resonators, Ph. D. Thesis
,Achieving phase and amplitude stability in pulsed superconducting cavities
,RF system development for the CEBAF energy upgrade
,RF control of high QL superconducting cavities
,Vector sum control of pulsed accelerating fields in lorentz force detuned superconduncting cavities, Ph. D. Thesis
,Superconducting RF cavity measurement formulae for an exponential decayed pulse incident power
,Room-temperature test system for 162.5 MHz high-power couplers
. Nucl. Sci. and Tech. 30, 7 (2019). https://doi.org/10.1007/s41365-018-0531-9Development of a control system for the fourth-harmonic cavity of the HLS storage ring
. Nucl. Sci. and Tech. 29, 153 (2018). https://doi.org/10.1007/s41365-018-0497-7Real-time cavity simulator-based low-level radio-frequency test bench and applications for accelerators
, Phys. Rev. Spec. Top. Accel. Beams 21, 032003 (2018). https://doi.org/10.1103/PhysRevAccelBeams.21.032003Linearization of the input and output characteristic curve of a klystron for SXFEL
, Nucl. Tech., 40, 060102 (2017).https://doi.org/10.11889/j.0253-3219.2017.hjs.40.060102 (in Chinese)Implementation of FPGA-based feedforward function in LLRF system for electron LINAC
, Nucl. Tech., 39, 070402 (2016).https://doi.org/10.11889/j.0253-3219.2016.hjs.39.070402 (in Chinese)Digital self-excited loop for a superconducting linac
, Nucl. Instrum. Meth. A 762, 70 (2014). https://dx.doi.org/10.1016/j.nima.2014.05.115

