Introduction
The main goal of producing relativistic nucleus-nucleus collisions at the RHIC and LHC is to create a deconfined quark and gluon plasma (QGP), a new state of matter that forms at a high density and temperature, as predicted by quantum chromodynamics (QCD), and to understand its properties [1-4]. The azimuthal anisotropies of the particles produced in the collisions have proven to be a powerful probe for investigating QGP characteristics and hadron structure [5-16]. Therefore, they have been extensively measured experimentally and studied both experimentally and theoretically. These anisotropies can be quantified in terms of the coefficients vn in the Fourier-series expansion of the particle distributions with respect to the reaction plane (RP), defined by the beam axis and the impact parameter, which is determined on an event-by-event basis [17-21]:
Usually in experimental investigations of number-of-constituent-quark (NCQ) scaling phenomena, both the experimental v2 data and the transverse momentum or energy of an identified particle species are scaled with its number of constituent quarks. Then, the scaled v2 is plotted as a function of the scaled transverse momentum or energy. NCQ scaling is then identified by eye because the experimental data measured are discrete. Several attempts have been made to quantitatively elucidate the NCQ scaling [5, 7, 37, 23, 24]. Such studies adopt a polynomial function to fit the scaled v2 as a function of the scaled transverse momentum or energy for a chosen particle species. (The chosen order of the polynomial, up to the seventh, depends on the particle of interest, the collision energy, and the fitting range of the scaled transverse momentum or energy.) This polynomial defines a baseline from which to calculate the deviation of the scaled v2 for the other particle species. However, such a polynomial function is suboptimal because it may oscillate, and its behavior beyond the data range is determined by the sign of the coefficient of the largest-order term. Other forms of empirical functions have also been proposed to investigate the NCQ scaling by fitting the v2 data for mesons and baryons simultaneously [17, 38, 26]. These are discussed in the next section. Considering the fact that the pT bins differ for mesons and baryons in experimental measurements, we here propose, as a plausible quantitative approach, to search for an empirical function capable of fitting all the experimental v2 data and to conduct the investigation based on this analytical function.
The remainder of this paper is organized as follows. Section 2 briefly introduces two variables (d1, d2) to quantify the NCQ scaling of the identified particles simultaneously. The empirical functions quoted in the literature and our proposed empirical function for fitting the experimental v2 data are also introduced. Section 3 shows the fit results of v2 for different particle species from the beam energy scan (BES) program at the RHIC to LHC. The NCQ scaling is shown quantitatively to be a function of both the scaled transverse momentum and the scaled transverse energy. Section 4 closes with concluding remarks.
Method and empirical functions
Assuming that we know the information at any point of the scaled v2 and the corresponding scaled transverse momentum or energy for each particle species, we can define two variables that simultaneously and quantitatively characterize the quality of the NCQ scaling.
The first variable is the deviation between the scaled v2 for one particle species and the average of all the scaled v2 values for the particle species of interest in the NCQ scaling at each scaled transverse momentum or energy. It can thus be defined as
The second variable is the difference between the maximum of
When we apply the scaled transverse energy
The discreteness of the experimental data precludes their simultaneously satisfying the above assumption for both the scaled transverse momentum and energy. This is because the particle masses differ and the conversion between pT and ET is nonlinear. Therefore, to bridge the gap between the data and our requirements, we utilize an empirical function that provides a good fit to the experimental data.
Several empirical functions have been proposed in the literature to fit v2 data. The most popular one adopted in the experimental papers is a simple polynomial function. As argued above, it has defects that also become apparent when choosing polynomial orders between 3 and 7 [5, 7, 37, 23, 24]. The second best-known empirical function was proposed by Dong et al. [17] when NCQ scaling was discovered at the RHIC:
To overcome these limitations, another empirical function was proposed in Ref. [38]:
As an alternative, we propose a new empirical function:
Results
We test the empirical function in Eq. (7) by fitting the v2 data for the available identified or charged particles, ignoring data that either display large fluctuations or are scant for A+A collisions from the RHIC and LHC (i.e., from
-202203/1001-8042-33-03-015/alternativeImage/1001-8042-33-03-015-F001.jpg)
-202203/1001-8042-33-03-015/alternativeImage/1001-8042-33-03-015-F002.jpg)
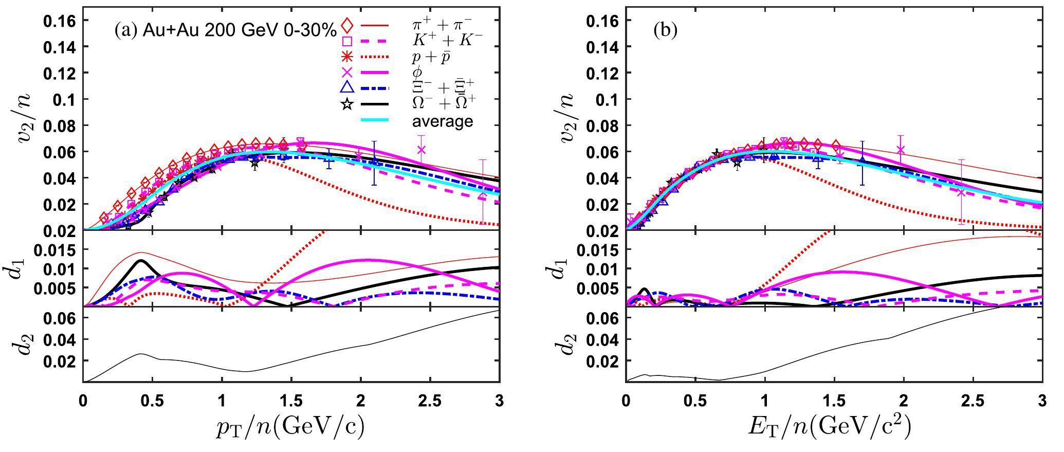
Figure 1 shows examples of fit results for (a) the v2 data of
Figure 2 shows the fit results with Eq. (7) to the v2 data for different centralities and collision energies. Subplots (a)-(g) show v2 for the elliptic flow of protons in Au+Au collisions at
The fit results from the functions frequently adopted in the experimental papers, i.e., the polynomial function, Eqs. (5) and (6), are also shown. For the polynomail function, we choose a 6th-order polynomial as an example. The fitted curve at high pT clearly either increases or decreases depending on whether the sign of the coefficient of the highest order term is, respectively, positive or negative. Extrapolating the results based on this polynomial function is surely unreliable. Oscillations also appear when the fitting range is large. The empirical function in Eq. (5) can only fit the v2 data for low and intermediate pT values, where v2 reaches its maximum because Eq. (5) is constant at large pT by definition. Equation (5) is not guaranteed to equal zero at pT=0 GeV/c. Equation (6) is an improvement of Eq. (5) and can fit almost all of the v2 data presented. We therefore adopted the empirical function in Eq. (7). There is a noticeable limitation for the extrapolation from the fit, which depends on how well the fitting function is constrained beyond the data points. This issue, common to all fitting functions, has consequences for our analysis, as discussed below. Therefore, the two variables d1 and d2, defined in Sect. 2, are utilized to mitigate the problem caused by extrapolation beyond the data points. Fortunately, there is no need to extrapolate in the NCQ scaling region, and our conclusion is not affected.
We can now quantitatively investigate the NCQ scaling of elliptic flow as a function of the scaled transverse momentum (or energy) of the identified particles produced in A+A collisions at the RHIC and LHC. Figures 3 and 4 show, respectively, the NCQ scaling of the elliptic flow v2 of six identified particles, i.e., π+ + π-, K++K-,
-202203/1001-8042-33-03-015/alternativeImage/1001-8042-33-03-015-F003.jpg)
-202203/1001-8042-33-03-015/alternativeImage/1001-8042-33-03-015-F004.jpg)
Figure 3 (a) presents the NCQ scaling of the elliptic flow for the six identified particles at a centrality of 0-30% from Au+Au collisions at
Figures 4 (a) and (b) show, respectively, the NCQ scaling of elliptic flow for the five identified particles at centrality 30-40% from Pb+Pb collisions at
Conclusion
To summarize, we have proposed an empirical function for fitting the elliptic flow v2 data of the identified particles produced in A+A collisions at the RHIC and LHC. We also quantitatively investigate the NCQ scaling of the elliptic flow of the identified particles. This is done by utilizing the analytical empirical function to overcome the challenge posed by the discreteness of the experimental data. Thus, the NCQ scaling cannot be quantitatively investigated simultaneously for the scaled transverse momentum and energy. Given the issues associated with the extrapolation from the fitting function beyond the measured data region, particularly for Au+Au at the RHIC, two variables (d1, d2) are defined to quantify the NCQ scaling simultaneously. As expected, they not only give consistent results with those obtained by intuitively looking at the data (namely, that the NCQ scaling is better for the scaled transverse energy than the scaled transverse momentum); they also provide fine details of the region where the NCQ holds. This approach can be applied to study other experimental scaling phenomena quantitatively.
The exploration of hot nuclear matter
. Science 337, 310-314 (2012). doi: 10.1126/science.1215901New forms of QCD matter discovered at RHIC
. Nucl. Phys. A. 750, 30-63 (2005). doi: 10.1016/j.nuclphysa.2004.10.034Centrality dependence of charged hadron and strange hadron elliptic flow from sNN=200 GeV Au + Au collisions
. Phys. Rev. C 77, 054901 (2008). doi: 10.1103/PhysRevC.77.054901Particle-type dependence of azimuthal anisotropy and nuclear modification of particle production in Au+Au collisions at sNN=200 GeV
. Phys. Rev. Lett. 92, 052302 (2004). doi: 10.1103/PhysRevLett.92.052302Centrality and transverse momentum dependence of elliptic flow of multistrange hadrons and ϕ meson in Au+Au collisions at sNN=200 GeV
. Phys. Rev. Lett. 116, 062301 (2016). doi: 10.1103/PhysRevLett.116.062301Elliptic flow of identified hadrons in Pb-Pb collisions at sNN=2.76 TeV
. JHEP 2015, 190 (2015). doi: 10.1007/JHEP06(2015)190Elliptic flow at large transverse momenta from quark coalescence
. Phys. Rev. Lett. 91, 092301 (2003). doi: 10.1103/PhysRevLett.91.092301Quark coalescence based on a transport equation
. Phys. Lett. B 655, 126-131 (2007). doi: 10.1016/j.physletb.2007.07.043Effect of resonance decays on hadron elliptic flows
. Phys. Rev. C 70, 024901 (2004). doi: 10.1103/PhysRevC.70.024901Coalescence models for hadron formation from quark gluon plasma
. Ann. Rev. Nucl. Part. Sci. 58, 177-205 (2008). doi: 10.1146/annurev.nucl.58.110707.171134Parton coalescence at RHIC
. Phys. Rev. C 68, 034904 (2003). doi: 10.1103/PhysRevC.68.034904Hadron production in heavy-ion collisions: fragmentation and recombination from a dense parton phase
. Phys. Rev. C 68, 044902 (2003). doi: 10.1103/PhysRevC.68.044902Further developments of a multi-phase transport model for relativistic nuclear collisions
. Nucl. Sci. Tech. 32, 113 (2021). doi: 10.1007/s41365-021-00944-5An experimental review of open heavy flavor and quarkonium production at RHIC
. Nucl. Sci. Tech. 31, 81 (2020). doi: 10.1007/s41365-020-00785-8Resonance decay effects on anisotropy parameters
. Phys. Lett. B. 597, 328-332 (2004). doi: 10.1016/j.physletb.2004.06.110Anisotropic Flow of Charged Particles in Pb-Pb Collisions at sNN=5.02 TeV
. Phys. Rev. Lett. 116, 132302 (2016). doi: 10.1103/PhysRevLett.116.132302Anisotropic flow in Xe–Xe collisions at sNN=5.44 TeV
. Phys. Lett. B 784, 82-95 (2018). doi: 10.1016/j.physletb.2018.06.059Anisotropic flow of identified particles in Pb-Pb collisions at sNN=5.02 TeV
. JHEP 2018, 6 (2018). doi: 10.1007/JHEP09(2018)006Flavor ordering of elliptic flows at high transverse momentum
. Phys. Rev. Lett. 89, 202302 (2002). doi: 10.1103/PhysRevLett.89.202302Inclusive charged hadron elliptic flow in Au + Au collisions at sNN=7.7−39 GeV
. Phys. Rev. C 86, 054908 (2012). doi: 10.1103/PhysRevC.86.054908Azimuthal anisotropy in Au+Au collisions at sNN=200 GeV
. Phys. Rev. C 72, 014904 (2005). doi: 10.1103/PhysRevC.72.014904Elliptic flow from two- and four-particle correlations in Au+Au collisions at sNN=130 GeV
. Phys. Rev. C 66, 034904 (2002). doi: 10.1103/PhysRevC.66.034904Centrality dependence of identified particle elliptic flow in relativistic heavy-ion collisions at sNN=7.7−62.4 GeV
. Phys. Rev. C 93, 014907 (2016). doi: 10.1103/PhysRevC.93.014907Parton coalescence and the antiproton/pion anomaly at RHIC
. Phys. Rev. Lett. 90, 202302 (2003). doi: 10.1103/PhysRevLett.90.202302Probing the partonic degrees of freedom in high-multiplicity p-Pb collisions at sNN=5.02 TeV
. Phys. Rev. Lett. 125, 072301 (2020). doi: 10.1103/PhysRevLett.125.072301Elliptic flow: Transition from out-of-plane to in-plane emission in Au + Au collisions
. Phys. Rev. Lett. 83, 1295-1298 (1999). doi: 10.1103/PhysRevLett.83.1295Quark-antiquark recombination in the fragmentation region
. Phys. Lett. B 68, 459 (1977). doi: 10.1016/0370-2693(77)90469-5 [erratum: Phys. Lett. B 73, 504 (1978)]. DOI: https://doi.org/ doi: 10.1016/0370-2693(78)90776-1Inclusive distributions for hadronic collisions in the valon recombination model
. Phys. Rev. C 66, 025205 (2002). doi: 10.1103/PhysRevC.66.025205Scaling behavior at high pT and the p / π ratio
. Phys. Rev. C 67, 034902 (2003). doi: 10.1103/PhysRevC.67.034902Production of strange particles at intermediate pT in central Au+Au collisions at high energies
. Phys. Rev. C 75, 054904 (2007). doi: 10.1103/PhysRevC.75.054904Spectra of identified hadrons in Pb-Pb collisions at LHC
. Phys. Rev. C 84, 064914 (2011). doi: 10.1103/PhysRevC.84.064914Centrality and transverse momentum dependencies of minijets and hadrons in Au-Au collisions
. Phys. Rev. C 88, 044919 (2013). doi: 10.1103/PhysRevC.88.044919Antinuclei in heavy-ion collisions
. Phys. Rept. 760, 1-39 (2018). doi: 10.1016/j.physrep.2018.07.002Measurement of elliptic flow of light nuclei at sNN = 200, 62.4, 39, 27, 19.6, 11.5, and 7.7 GeV at the BNL Relativistic Heavy Ion Collider
. Phys. Rev. C 94, 034908 (2016). doi: 10.1103/PhysRevC.94.034908Charm and beauty isolation from heavy-flavor-decay electrons in Au+Au collisions at sNN=200 GeV at RHIC
. Phys. Lett. B 805, 135465 (2020). doi: 10.1016/j.physletb.2020.135465Flow study in relativistic nuclear collisions by Fourier expansion of Azimuthal particle distributions
. Z. Phys. C 70, 665-672 (1996). doi: 10.1007/s002880050141Excitation function of elliptic flow in Au + Au collisions and the nuclear matter equation of state
. Phys. Lett. B 612, 173-180 (2005). doi: 10.1016/j.physletb.2005.02.060Systematics of azimuthal asymmetries in heavy ion collisions in the 1A GeV regime
. Nucl. Phys. A 876, 1-60 (2012). doi: 10.1016/j.nuclphysa.2011.12.006Anisotropic flow of charged hadrons, pions and (anti-)protons measured at high transverse momentum in Pb-Pb collisions at sNN=2.76 TeV
. Phys. Lett. B 719, 18-28 (2013). doi: 10.1016/j.physletb.2012.12.066

