1 Introduction
A high-intensity heavy-ion accelerator facility (HIAF) is currently being constructed at the Institute of Modern Physics, Chinese Academy of Sciences (IMP) [1-3], to provide intense primary and radioactive ion beams for nuclear physics [4-6], atomic physics [7], and application research [8]. A schematic of the HIAF accelerator complex is shown in Fig. 1. It is mainly composed of a superconducting heavy-ion linear accelerator (iLinac) [9], a booster synchrotron (BRing), the high energy fragment separator (HFRS), and a high-precision spectrometer ring (SRing).
-202110/1001-8042-32-10-014/alternativeImage/1001-8042-32-10-014-F001.jpg)
Generally, BRing is used to accumulate and accelerate the primary heavy-ion beams provided by iLinac [10]. SRing is used to collect the secondary ions produced by bombarding the target with primary ions extracted from BRing. The precision values of the atomic masses will be measured in SRing [11]. Several internal target experiments using these secondary ions have also been proposed for SRing. To improve the beam quality and compensate for the heating effect of the internal target experiment, an electron cooling system is required [12].
Electron cooling is widely used to reduce the velocity diffusion, suppress the scattering, and compensate for the energy loss of the ion beam in the storage ring. A typical magnetized electron cooler was designed as the main cooling scheme for SRing. The maximum electron energy is up to 450 keV, and the DC current is 2.0 A. To minimize the power consumed by the high-voltage system, an electron energy recuperation method is adopted in the cooler. In this method, a DC electron beam is generated from a thermionic cathode and accelerated to the required energy by an electrostatic tube. After interacting with ions in the cooling section, the electron beam is decelerated and absorbed by the collector.
Inevitably, some electrons are reflected from the collector. The reflected electrons increase the load current of the high-voltage system, thereby reducing the stability of the power supply, or hit the vacuum chamber, destroying the vacuum condition, and causing radiation safety issues. Therefore, collection efficiency is the key parameter for collector design and should be optimized to the maximum possible extent.
In general, the collection efficiency ηcol is defined as the ratio of the electron current reflected from the collector Ileak to the current of the main electron beam Ibeam:
The maximum acceptable value of the collection efficiency ηcol is limited by the maximum load current that the high-voltage system can withstand and the primary electron beam current. For coolers of several hundred keV, such as the cooler in CSR (Lanzhou, China), the current of the high-voltage generator is usually limited to a few milliamperes, and the required collection efficiency ηcol should reach an order of magnitude of 10-4 for several-ampere primary electron beams. For high-energy coolers, such as the coolers for the COSY, HESE, and Fermilab synchrotrons, the maximum load current of the high-voltage generator is limited to a value of several hundred microamperes [13]; in this case, the required collection efficiency ηcol should reach 10-5.
The energy of the electron cooler for HIAF is designed to be 450 keV, and the load current of the high-voltage system is limited to 1 mA. Therefore, the collection efficiency of the HIAF electron cooler must be designed to be < 5× 10-4 at a maximum current of 2 A. The required collection efficiency is better than that of the coolers for CSRe and CSRm, and worse than that of the coolers for COSY, HESR, and Fermilab. The main parameters and design requirements are listed in Table 1 .
| Parameter | Value |
|---|---|
| Electron current (A) | 0–2 |
| Maximum collecting energy ( keV ) | 5 |
| Collection efficiency (ηcol) | < 5× 10-4 |
| Maximum collecting power (kW) | 10 |
Generally, the collection efficiency of a collector can be estimated by a simple formula:
where Ucoll is the potential in the collector, Umin is the potential minimum in front of the collector, Bc and B0 are the magnetic field strengths at the potential minimum and at the collector surface, respectively, and k is the coefficient of reflection from the collector. However, it is impossible to use this formula to optimize the collection efficiency of the collector.
Tracking the movement of electrons in the collector region is an effective method for calculating the collection efficiency. Many computer programs, such as Opera, CST, and Geant4, can be used to calculate beam motion and secondary electron emissions. In Opera and CST, the secondary electrons are generated by the Furman emission model [14] or the Vaughan emission model [15]. In these models, true secondary electrons and backscattering electrons can be generated by probability-distribution functions that depend on the incident energy and angle.
However, in these programs, the angular distribution of the emitted electrons, especially that of the backscattered electrons, is not well considered. In CST and Opera, the polar angle is considered to satisfy the cosine distribution, when it does not, in fact, do so. For a collector with a potential barrier and magnetic mirror, the majority of the escaped electrons are small-angle backscattered electrons, and the angular distribution should be dealt with in detail. In Geant4, the Monte Carlo method is used to calculate the secondary electron emissions, and the obtained secondary electron distribution is more reliable. However, the beam space-charge field, which is very important in the beam motion of the collector, is not considered in the beam transportation process in Geant4. In short, these programs cannot be used to optimize our collector.
A computer program was developed to simulate the movement of the primary and secondary electrons in the HIAF cooler collector and to conveniently optimize the collector. In this program, the electron-scattering process on the surface of the collector was calculated using a Monte Carlo model. The electron motion in an electromagnetic field in the collector region was solved using the fourth-order Runge–Kutta numerical algorithm.
In this study, the details of this program are presented. The backscattering electron yields and secondary electron yields are calculated to choose an appropriate material for the collector. The magnetic mirror field, collector shape, and electric field are optimized according to the simulation results. Finally, the experimental results for the prototype collector are summarized and compared with the simulated results.
2 Electron-beam motion in the collector and the Monte Carlo procedures
Generally, an axisymmetric structure is used in the collector design. Therefore, the Lorentz force equation in the cylindrical coordinate system (R,θ, Z) is adopted in our software to calculate the electronic motion in the collector area [16]:
where E and B are the strengths of the electric and magnetic fields, respectively. m is the rest mass of the electron, γ is the Lorentz factor, and e is the elementary charge. The fourth-order Runge–Kutta method was used to solve Eq. (3).
Initially, a certain number of model electrons were generated using the primary electron-beam parameters at the entrance to the collector. The electromagnetic field in the collector region was calculated using the Ultra-SAM software, which is widely used for simulations of cylindrically symmetric electron guns and collectors, and the space-charge field was considered in the software. The movement of these electrons in the field is tracked using the solution of Eq. (3). When the primary electrons collide with the collector surface, the Monte Carlo method is used to simulate the interaction process.
There are two different scattering processes: elastic and inelastic. In the elastic process, electrons are scattered by atomic nuclei, and the momentum is transferred without any energy loss. In the inelastic process, electrons interact with the extranuclear electrons of the solid, and the extranuclear electrons are excited. The excited extranuclear electrons have the opportunity to escape from the collector surface and become real secondary electrons. The primary electron also has the opportunity to escape from the collector surface, after many scatterings, and become a backscattering electron. The numbers of primary and escaped electrons are used to estimate the collection efficiency.
Because the energy of the primary electrons, after deceleration in front of the collector, is less than 3.0 keV, the Monte Carlo simulation model is used in our program. It is based on the optical dielectric function and Mott’s elastic cross section, which are suitable for low-energy situations. The scattering process was calculated step by step. The step length was calculated as follows:
where R1 is a uniform random number in the range of 0–-1. λm is the total mean free pass calculated from the elastic mean free pass λe and the inelastic mean free pass: λin
The type of scattering process is determined by another random number, R2. If R2 <λe- 1/λm- 1, elastic scattering will be simulated; otherwise, inelastic scattering will be calculated. In the elastic-scattering process, the azimuthal angle is calculated as ϕ=2π R3, and the scattering angle θ is calculated as follows:
-202110/1001-8042-32-10-014/alternativeImage/1001-8042-32-10-014-M001.jpg)
where R3 and R4 are random numbers generated in the program.
where Pl and P1l are the Legendre and first-order associated Legendre functions, respectively. K=1+E, where E is the total energy of an electron. δl± is the phase shift of the lth partial wave. The signs ’+’ and ’-’ apply to the spin ’up’ and ’down’ cases, respectively.
The numerical method developed by Yamazaki and Ding [18-21] is used to calculate the elastic scattering cross section. The energy loss in the inelastic scattering process Δ E is determined using the following formula:
and the scattering angle is calculated by:
where EF is the Fermi energy of the solid, R5 and R6 are random numbers,
-202110/1001-8042-32-10-014/alternativeImage/1001-8042-32-10-014-M002.jpg)
where
In the inelastic-scattering process, a secondary electron can be excited. In the case of Δ E<EB, the valence electron will be excited. The energy of the excited electron is E=Δ E+E’, the polar angle θ’=arcsin (cos(θ)), and the azimuthal angle ϕ’=2π R8, where EB is the binding energy of the outermost inner-shell edge and E’ is the energy of a Fermi sea electron.
In another case,
In our program, the cut-off energy is adjustable. When calculating the collection efficiency of the HIAF collector, the cut-off energy was set to be 50 eV less than the depth of the collector potential well to save CPU time. When the secondary and backscattering yields were calculated to check the reliability of the software, the cut-off energy was set to the internal potential of the target material, which is equal to the sum of the Fermi energy and the work function.
In the Monte Carlo process, many electrons are calculated together, and the number of electrons N can be changed, according to the memory of the used computer. When the energy of each electron is lower than the cut-off energy or the electron leaves the solid, the simulation will terminate and start the simulation of another N electrons. After completing the simulation for all the primary and cascade electrons, the Monte Carlo process is completed. Then, the movement of the knocked-out electrons is simulated to obtain the collection efficiency.
3 Collector materials
Secondary-electron emissions from the collector surface could severely perturb the collection efficiency. To select the available collector-surface materials and check the reliability of the program, the secondary-electron emission coefficients of different collector materials were simulated and compared with the existing experimental results from several laboratories.
First, the backscattering yields η, which are defined as the ratios between the number of backscattering electrons and the number of incident electrons, are calculated. The simulation results of the backscattering yields with different materials are shown as lines in Fig. 2. In addition, the experimental results from different groups are shown as dots in the figure [23]. It can be seen that the backscattering yield is in good agreement with the experimental yield. For a certain initial electron energy, the yield increases with an increase in the atomic number. When the initial electron energy is greater than 1 keV, the backscattering yield does not change significantly with the initial electron energy.
-202110/1001-8042-32-10-014/alternativeImage/1001-8042-32-10-014-F002.jpg)
The secondary electron yield of copper δ is also calculated. It is defined as the ratio of the number of real secondary electrons to the number of incident electrons, and the results are shown as a line in Fig. 3. The experimental results from several measurements by different groups are shown as dots in that figure.
-202110/1001-8042-32-10-014/alternativeImage/1001-8042-32-10-014-F003.jpg)
The experimental data were collected by D.C. Joy [23] from the literature published over several decades, and the reliability of the data was not judged. Therefore, the discrepancy in the experimental data in Fig. 3 is large. Although this discrepancy is large at lower energies, the simulation results have the same trend as the experimental results. It can be observed that for the experimental data and simulation results, δ has a maximum value of approximately 0.5 keV, and the simulated yield is covered by the experimental data area.
Figure 4 shows the energy spectra of the backscattering electrons and secondary electrons produced by primary electrons with an energy of 0.8 keV. It is observed that the energy of the secondary electrons generated by inelastic scattering is low, and the energy of backscattered electrons is high, with the maximum value reaching the energy of the primary electrons.
-202110/1001-8042-32-10-014/alternativeImage/1001-8042-32-10-014-F004.jpg)
A suppression electrode was installed at the entrance to the collector of the HIAF electronic cooler to create an electric potential barrier. This can reflect secondary electrons and backscattered electrons with lower energies into the collector. From this perspective, the collection efficiency is mainly contributed by backscattered electrons with higher energy. Materials with low backscattered electron yields are good choices for collector designs. Figure 2 shows that carbon has the smallest backscattering yield. Unfortunately, it is difficult to build a collector with carbon, owing to mechanical challenges. Based on experience with existing coolers, the collector for the HIAF electron cooler is made of copper.
To further examine the reliability of the program, the angular distribution of the backscattering coefficients at two different incident angles was calculated. Figure 5 shows the polar diagram of the angular distribution of the backscattering coefficient, when electrons with energies equal to 1 keV are incident on copper. From Fig. 5, it can be seen that for a normal incidence case, the angular distribution obtained by our simulation software agrees with the distribution obtained by the cosine distribution. For an oblique incidence case, the backscattering coefficients are larger in the opposite direction, as reported by others [24-26].
-202110/1001-8042-32-10-014/alternativeImage/1001-8042-32-10-014-F005.jpg)
4 Optimization of the collector
The design of the HIAF electron-cooler collector is shown in Fig. 6. It consists of a pre-deceleration electrode, suppressor electrode, and collector cup. The pre-deceleration electrode and collector cup are connected in series. The potential on the suppressor electrode is slightly lower than the potential on both the pre-deceleration electrode and the collector cup, resulting in an electric trap, as shown in Fig. 6. In this case, the primary electron beam can pass through the barrier to reach the collector cup; however, the secondary electrons whose energy is lower than the electric trap will be prevented from escaping.
-202110/1001-8042-32-10-014/alternativeImage/1001-8042-32-10-014-F006.jpg)
In addition, a magnetic mirror was designed to further improve the collection efficiency of the collector. To form a magnetic mirror, the bottom of the collector is placed in a weak field Bc, and the exit of the collector is placed in a strong magnetic field B0. The magnetic field on the axis is shown in Fig. 6, and the typical primary electron beam trajectory (blue) and several secondary electrons (red) are also shown in Fig. 6. To optimize the collector, the effects of the magnetic mirror, collector structure, and electric potential barrier on the collection efficiency are simulated, and the results are summarized as follows.
a. Magnetic mirror field
One of the most fundamental tasks of a collector design is to ensure that the primary electron beam can be absorbed by the collector cup. Accordingly, the primary electron beam dimensions at the entrance should be smaller than the inner radius of the collector. In the HIAF electron cooler, the magnetic field B0 at the entrance was designed to be equal to 0.220 T. In this case, the radius of the primary electron beam envelope is approximately 20.5 mm. The inner radius of the collector is designed to be 22.5 mm, larger than the beam dimensions. In this manner, the primary electron beam can enter the collector smoothly, as shown in Fig. 6.
Owing to the magnetic mirror field in the collector, the collection efficiency is related to the value of Bc/B0 [27]. Any secondary electrons generated on the surface of the collector at an angle θ (the angle between its velocity and the field line on the collector surface) that are larger than the critical value θc will be reflected by the mirror field. θc is determined as follows:
The effect of the magnetic mirror can be enhanced by reducing Bc/B0. The length of the collector was optimized by choosing a reasonable Bc/B0. In the simulation, the magnetic field at the entrance of collector B0 and the distribution of the magnetic field along the longitudinal direction were not changed directly. The field at the surface of collector Bc was indirectly changed by increasing the length of the collector. When the length of the collector increases, Bc decreases, and Bc/B0 also decreases. In these simulations, to exclude the effect of the electric potential, the voltage on the suppressor was equal to the voltage on the collector. It is worth mentioning that in the simulation, the collector entrance was placed at position 1.1 m.
Figure 7 shows that the collection efficiency depends on where the bottom of the collector is placed. It can be found from Fig. 7 that with the increase of the position of the bottom of the collector, the escape rate of the secondary electrons and the field strength Bc decrease. When the position is greater than 1.4 m, the escape rate becomes almost constant.
-202110/1001-8042-32-10-014/alternativeImage/1001-8042-32-10-014-F007.jpg)
To gain a high collection efficiency, it is suggested that the position of the collector’s bottom should not be less than 1.4 m. For our collector, the position of the collector’s bottom is designed to be placed at 1.4 m, as Fig. 6 shows. In this case, Bc = 0.002 T, and the length of the collector is 0.3 m. The collection efficiency can reach 2.22 × 10-2 without the help of the electric barrier. In other words, when there is only a magnetic mirror field in the collector area and no electrical barrier, approximately 97.78% of primary electrons are collected by the collector.
b. Inner surface shape of the collector
For a collector with a fixed critical angle θc, the escape rate of the electrons is affected by the angular distribution of the backscattered electrons, which is related to the magnetic field lines and the geometry of the collector [13, 27]. Two types of collector shapes were used in the simulations: cones (Fig. 8a) and inverted cones (Fig. 8b).
-202110/1001-8042-32-10-014/alternativeImage/1001-8042-32-10-014-F008.jpg)
In these simulations, the shape changes according to the different angles θa and θb. To display the simulation results in one graph, θa is defined as a negative angle varying from 0 to -70, and θb is a positive angle varying from 0 to 80. In these simulations, the magnetic field was fixed at B0=0.220 T and Bc=0.002 T, and the maximum current of the electron beam was 2 A. The collector cup voltage is 4 kV, and the suppressor voltage is set to 0.2 kV, 0.4 kV, 0.6 kV, and 0.8 kV.
Figure 9 shows the dependence of the simulation results on the shape of the collector. The collecting efficiency ηcol=Ne/Np for different structures (θa,b) and voltages on the suppressor Us are shown in this figure. Ne is the number of electrons that escaped from the collector, and Np is the number of primary electrons used in the simulations. The generated electrons at the surface of the collector with an angle larger than the critical angle θ<θc are totaled and represented by Nθ<θc. The total generated electrons are represented by Ns. The rates Nθ<θc/Np and Ns/Np are also shown in Fig. 9.
-202110/1001-8042-32-10-014/alternativeImage/1001-8042-32-10-014-F009.jpg)
The collection efficiency ηcol is dependent on the collector shape. When θa,b is smaller than -50° or θa,b is larger than 40o, ηcol increases quickly; and when θa,b changes from -50 to 40, the change in ηcol is relatively stable. The minimum value of ηcol appears at approximately -50. The trend of the curve Ne/Np is the same as the trend of the curve Nθ<θc/Np, but is different from the trend of the curve Ns/Np. This indicates that the angular distribution of the generated electrons has a greater correlation with ηcol, compared to the correlation with the scattering yield. The simulation results suggest that for the HIAF collector, the angle related to the interface shape should be selected in the range of -50 to 40. Considering the difficulty of processing, a simpler collector with an angle equal to 0 was chosen for HIAF.
c. Influence of the electric field
The highest energy of the secondary electrons that can be reversed by the electric potential barrier of the collector depends on the electric potential at the collector surface and the potential at the entrance to the collector [27]. The electric potential at the collector surface is related to the voltage on the collector Uc. The potential at the entrance to the collector Um is related to the voltage on the suppressor Us, the space charge field of the primary electron beam, and Uc.
To evaluate the influence of Uc and Us on the collection efficiency, the collection efficiency of the primary electron beam with a maximum of 2A and a smaller current of 0.5 A were simulated. The results are shown in Figures 10 and 11, respectively. The collection efficiency was simulated under different collector voltages (Uc) and suppressor voltages (Us). In these simulations, the typical magnetic field B0=0.220 T was chosen.
-202110/1001-8042-32-10-014/alternativeImage/1001-8042-32-10-014-F010.jpg)
-202110/1001-8042-32-10-014/alternativeImage/1001-8042-32-10-014-F011.jpg)
The dependence of the collection efficiency ηcol on Us and Uc is shown in Figs. 10 and 11, respectively. It can be observed that for a certain collector voltage Uc, ηcol decreases with a decrease in Us. This is because when Us decreases, the potential barrier becomes larger, and electrons with higher energy can be stopped. However, when Us is too low, ηcol increases rapidly, owing to the refection of the primary electrons by the potential barrier. When Uc increases, the minimum value of ηcol obtained by decreasing Us decreases.
For a large Uc, a negative voltage is required to obtain the minimum value of ηcol. It can be found that the escape rate can reach 2–3× 10-4 for both 2-A and 0.5-A primary electron beams when Us and Uc are chosen appropriately. The centrifugal drift in the toroid of the HIAF cooler is designed to be compensated by the electric field; in this case, the electrons escaping from the collector may travel through the cooler to the gun, fall into the collector again, and have the chance to be absorbed by the collector.
Based on experiences with CSR electronic coolers and other coolers around the world [13, 28], the electrostatic compensation method can increase the efficiency of the collector by two orders of magnitude. Hence, it can be expected that for the HIAF cooler, the final recuperation efficiency can reach 10-5-10-6 when the one-time collector efficiency is ηcol=2-3 × 10-4. This is within the design requirement of 5× 10-4.
5 Experimental results
The test setup was built at the Institute of Modern Physics (IMP). The main goal of the test setup is to evaluate the gun design proposed for HIAF and to test the collection efficiency of the collector. The layout of the test setup is shown in Fig. 12. The electron gun was installed at the bottom, and the collector was installed at the top. Three solenoids were used to guide the electron beam from the gun to the collector.
-202110/1001-8042-32-10-014/alternativeImage/1001-8042-32-10-014-F012.jpg)
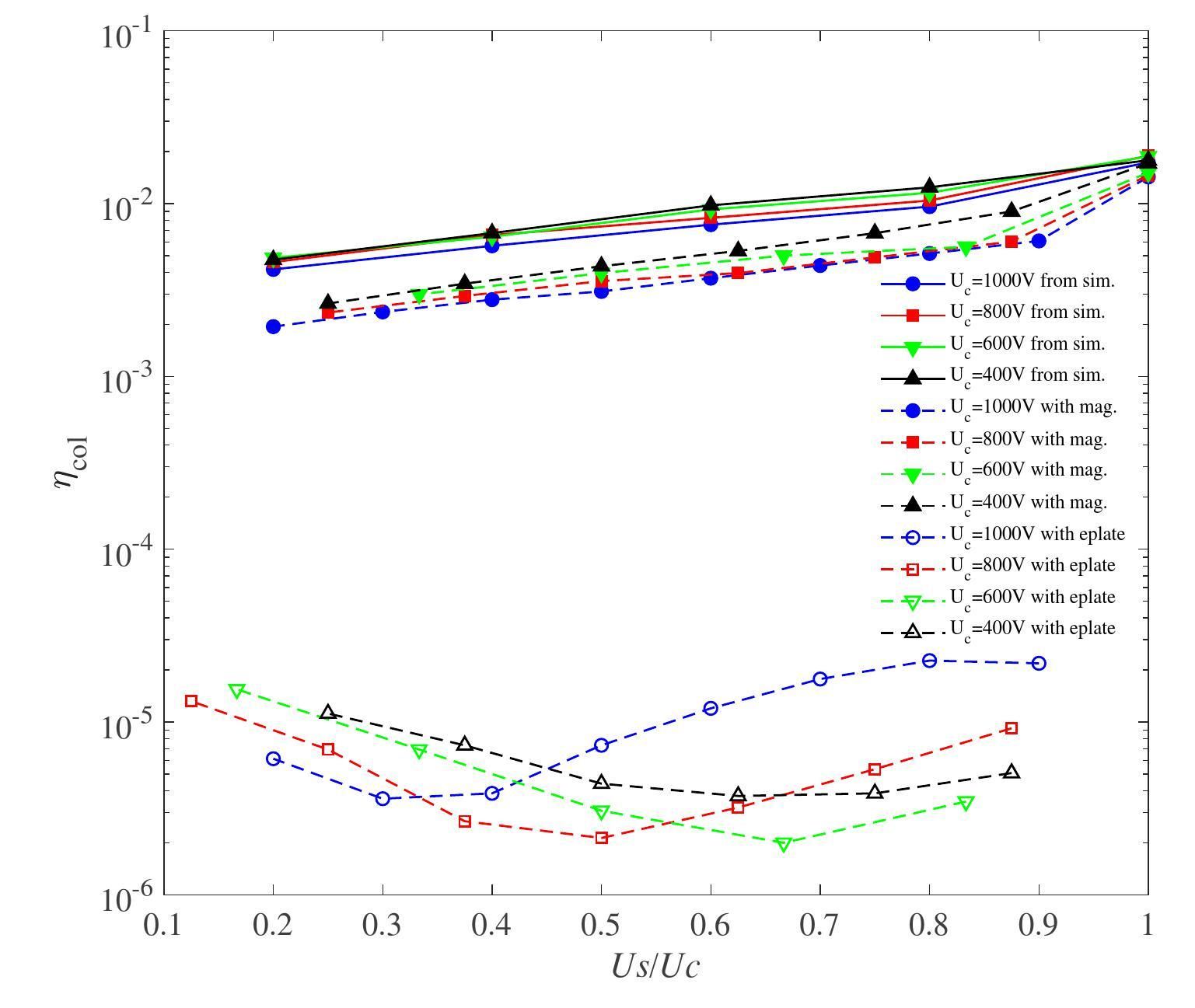
The collection efficiency was measured for different collector voltages (Uc) and suppressor voltages (Us) in the test setup. The results are shown in Fig. 13 by the lines with filled markers, and the results obtained by simulation are shown by the dashed lines with open markers. From the figure, it can be seen that the variation tendencies of the collecting efficiencies obtained from the experiment and simulation are the same. The phenomenon in which the escape rate rises rapidly when Us/Uc is small, for Uc=300 V and Uc=200 V was obtained both by experiments and simulations. This was caused by the reversal of the primary electrons.
-202110/1001-8042-32-10-014/alternativeImage/1001-8042-32-10-014-F013.jpg)
The collection efficiency obtained by the simulation is approximately two orders of magnitude greater than the efficiency obtained by the experiment. The main reason for this is that the electron flow in the test setup is completely reversible. The secondary electrons escaping from the collector can travel through the collector to the gun, and then fall into the collector again. This situation is similar to the case in which an electric field is used to compensate for the electron centrifugal drift in the toroid of an electron cooler. In this case, the recovery efficiency can be two orders of magnitude higher than the single collection efficiency [13, 28].
To further verify the reliability of our simulation software and to clarify the improvement effect of the collection efficiency by using the electrostatic compensation method in the toroids, the dependence of the single-time collection efficiency and total collection efficiency on voltages Uc and Us on the CSRm electron cooler are measured under two different conditions.
The single-time collection efficiency is measured when the centrifugal drift in the toroids is compensated by the magnetic field. In this case, the electrons can only be collected once; the secondary electrons escaping from the collector will be lost in the cooler and cannot enter the collector and be collected again. The total collection efficiency is measured when the centrifugal drift in the toroids is compensated by the electric field; in this case, the secondary electrons can be collected once again. For comparison, the single-time collection efficiency was also simulated for the CSRm cooler under the same conditions.
Both the measured and simulation results are shown in Fig. 14. It can be observed that when the centrifugal drift in the toroids is compensated by the magnetic field, the measured results are near the simulation results. When an electric field is used to compensate for the draft, the recovery efficiency can be two orders of magnitude higher than the simulated single-time collection efficiency because the secondary electrons can be collected many times.
-202110/1001-8042-32-10-014/alternativeImage/1001-8042-32-10-014-F014.jpg)
The experimental results show that our simulation software can provide reliable results for single-time collection efficiency. Using electrostatic compensation in the toroids can significantly improve the total collection efficiency of the electron cooler.
6 Summary
A method based on the Monte Carlo method was used for collector efficiency simulations. Using this method, the collector for HIAF was simulated and optimized. The collecting capacities of the collector with different materials, structures, and electromagnetic fields were investigated. Based on these simulations, several conclusions were drawn:
1. The backscattering yield and secondary electron yield were simulated by the Monte Carlo software for different materials; the results were in agreement with the experimental data published by other groups, which proves that the software is reliable.
2. For a certain magnetic field, the magnetic mirror was optimized by optimizing the length of the collector. After optimization, when there was only a magnetic mirror without the help of a potential barrier, approximately 97.78% of the primary electrons were absorbed by the collector.
3. For a certain magnetic field, the collector’s inner-surface shape influences the collector’s efficiency, mainly because the angular distributions of the backscattering electrons are different for collectors with different shapes. For the HIAF electron cooler, a simpler columned collector with angle θa,b=0 was chosen.
4. For the HIAF electron cooler collector, when the appropriate Us and Uc were chosen, the collection efficiency reached 2-3× 10-4, which satisfies the design requirement ηcol<5 × 10-4. Based on experiences with coolers in the world and our experimental results, it can be predicted that for the HIAF cooler, using an electric field in the toroid to compensate for the centrifugal drift of the electron beam, the recuperation efficiency can reach 10-5-10-6.
High Intensity heavy ion Accelerator Facility(HIAF) in China
. Nucl. Instrum. Methods B 317(5), 263-265. doi: 10.1016/j.nimb.2013.08.046Special Topic: Introduction and Research Topics on the High Intensity heavy-ion Accelerator Facility
. Sci Sin-Phys Mech Astron 50(11) 112001 (2020) doi: 10.1360/SSPMA-2020-0377 (in Chinese)Huizhou accelerator complex facility and its future development
. Sci Sin-Phys Mech Astron 50(11) 112006 (2020). doi: 10.1360/SSPMA-2020-0248 (in Chinese)Research program of superheavy elements and nuclides based on HIAF
. Sci Sin-Phys Mech Astron 50(11) 112002 (2020) doi: 10.1360/SSPMA-2020-0288 (in Chinese)Radioactive ion beam physics related to HIAF
. Sci Sin-Phys Mech Astron 50(11) 112003 (2020) doi: 10.1360/SSPMA-2020-0282 (in Chinese)Research program of nuclear astrophysics based on the HIAF
. Sci. Sin.-Phys. Mech. Astron. 50(11) 112007 (2020) doi: 10.1360/SSPMA-2020-0281 (in Chinese)Investigations of the dielectronic recombination of phosphorus-like tin at CSRm
. Chin. Phys. B 27(6), 063402 (2020). doi: 10.1088/1674-1056/27/6/063402Study of the QCD phase structure at HIAF
. Sci. Sin.-Phys. Mech. Astron. 50(11) 112009 (2020). doi: 10.1360/SSPMA- 2020-0302 (in Chinese)Cryogenic system design for HIAF iLinac
. Nucl. Sci. Tech. 30, 178 (2019). doi: 10.1007/s41365-019-0700-5Two-plane painting injection scheme for BRing of HIAF
. Nucl. Sci. Tech. 28, 114 (2017). doi: 10.1007/s41365-017-0260-5Electrostatic-lenses position-sensitive TOF MCP detector for beam diagnostics and a new scheme for mass measurements at HIAF
. Nucl. Sci. Tech. 30, 152 (2019). doi: 10.1007/s41365-019-0676-1Electron cooling system in the booster synchrotron of the HIAF project
. Nucl. Instrum. Methods B 786 91-96 (2015). doi: 10.1016/j.nima.2015.03.052Efficiency improvement of an electron collector intended for electron cooling systems using a Wien filter. Technical
. Phys. 58(6), 911-918 (2013). doi: 10.1134/S1063784213060078Secondary emission properties as a function of the electron incidence angle
. in IEEE Transactions on Electron Devices 40(4), 824-829 (1993). doi: 10.1109/16.202797Probabilistic model for simulation of secondary electron emissions
. Phys. Rev. ST Accel. Beams 5, 124404 (2002). doi: 10.1103/PhysRevSTAB.5.124404Monte Carlo modelling of electron-solid interactions
, Rep. Prog. Phys. 55, 487-531 (1992).A Monte Carlo modeling of electron interaction with solids including cascade secondary electron production
. Scanning 18, 92 (1996). doi: 10.1002/sca.1996.4950180204Calculations of Mott scattering cross section
. J. Appl. Phys. 68, 3066 (1990). doi: 10.1063/1.346400UTK Metrology Group
. http://web.utk.edu/ srcutk/htm/interact.htmhttp://web.utk.edu/ srcutk/htm/interact.htmMeasuring the angular dependent energy distribution of backscattered electrons at variable geometry
. Scanning 27, 298–304 (2005). doi: 10.1002/sca.4950270605Energy spectra and angular distributions of charged particles backscattered from solid targets
. J. Phys. D Appl. Phys. 41, 055505 (2008). doi: 10.1088/0022-3727/41/5/055505Secondary electron current loss in electron cooling devices
. Nucl. Instrum. Methods A 351, 295-299. doi: 10.1016/0168-9002(94)91356-0Development of a new generation of coolers with a hollow electron beam and electrostatic bending
.

